Effects of Air-Entraining Agent Type on Air Entrainment and Air-Void Structure of Cement Mortars Under Low Atmospheric Pressure
Abstract
1. Introduction
2. Raw Materials and Test Methods
2.1. Raw Materials
2.2. Test Methods
2.2.1. Measurement of Foam Height of AEA Solutions and Analysis of Foam Morphology Changes
2.2.2. Mortar Mix Proportions and Casting Method
2.2.3. Test for Air Content of Fresh Cement Mortar
2.2.4. Test for Air-Void Structure of Hardened Mortar
3. Test Results and Analysis
3.1. Initial Foam Height and Time-Dependent Variation in Foam Height
3.1.1. Initial Foam Volume
3.1.2. Time-Dependent Variation in Foam Height in Aqueous Solution and Cement Filtrate
3.1.3. Effect of Atmospheric Pressure on the Variation in Foam Height in AEA Solutions
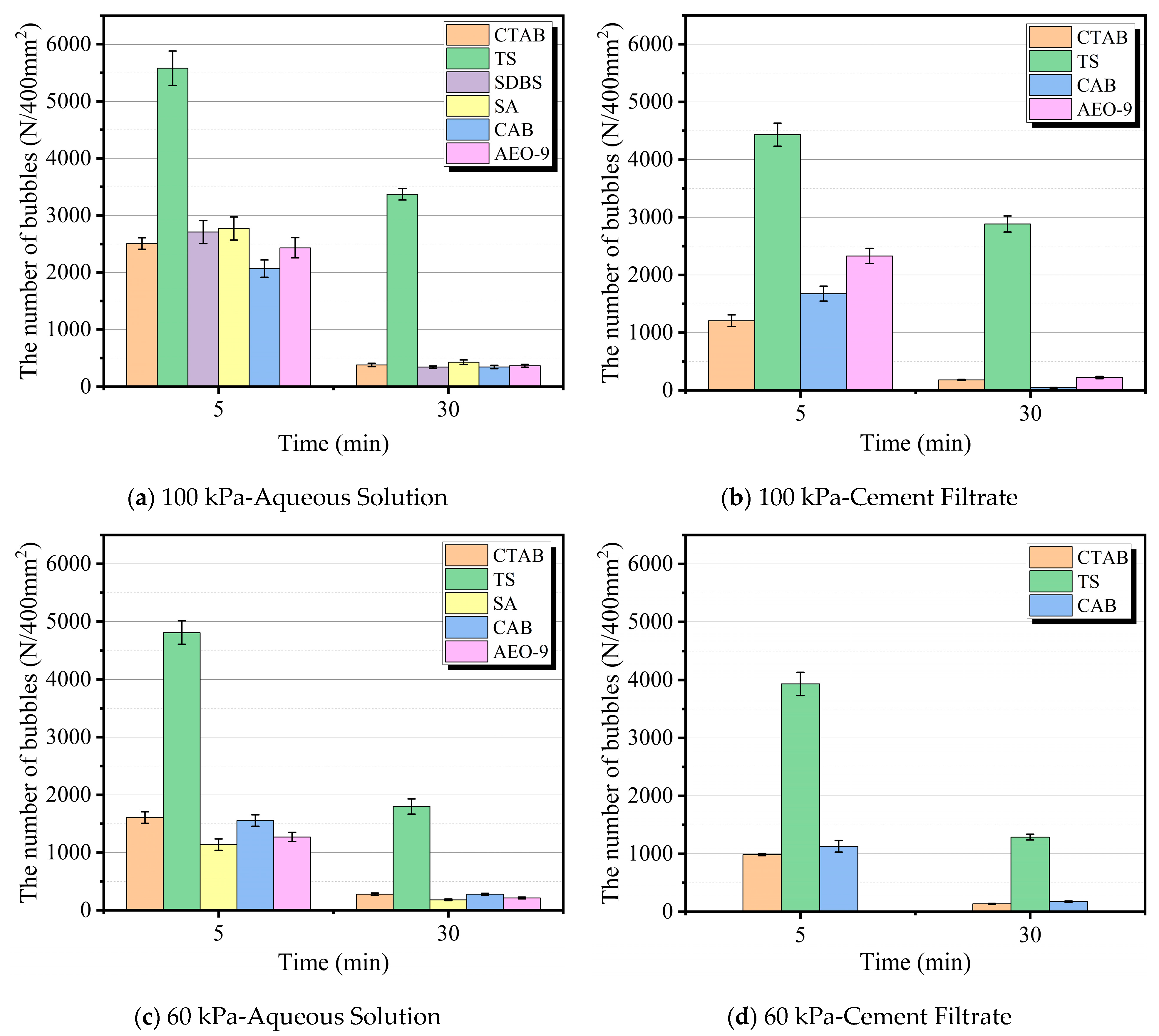
3.2. Evolution Patterns of Bubbles in Aqueous Solutions and Cement Filtrate Under Different Pressures
3.3. The Surface Tension of Different AEA Solutions
3.4. Evolution of Air-Void Structure in Cement Mortar Under Low Pressure
3.4.1. Initial Air Content of Fresh Mortar Under Different Pressures
3.4.2. Internal Air-Void Structure of Hardened Mortar
4. Conclusions
- (1)
- Significant differences exist in the foaming capacity and foam structure of different AEAs under normal pressure. At 100 kPa in deionized water, the initial foam height and time-dependent stability of TS, CAB, and CTAB are generally superior to those of AEO-9, SA, and SDBS. In terms of foam morphology, TS and CAB can maintain a higher density of small bubbles and a slower coalescence rate.
- (2)
- The solution type significantly alters the foaming performance and stability of different AEAs. Amphoteric/saponin-based AEA systems exhibit greater tolerance to strong electrolyte and high-alkali environments and better inhibit drainage and coalescence. In cement filtrate, the foam height and foam stability of all systems decreased significantly compared to those in deionized water, with SDBS, SA, and AEO-9 being the most affected; TS, CAB, and CTAB showed relatively smaller reductions.
- (3)
- A decrease in atmospheric pressure reduces the air content of mortar, but the extent of reduction depends on the type of AEA used. When the pressure decreased from 100 kPa to 60 kPa, the air content of the four air-entrained mortars decreased overall by 8.2–15.2%. Among them, the TS group had the smallest reduction (approximately 8.2%), while the CTAB group had the largest (approximately 15.2%).
- (4)
- The TS AEA possesses the best retention capability for fine air bubbles in cement mortar under low-pressure environments. At 60 kPa, the number of effective fine pores with a radius less than 250 µm in hardened mortar decreased compared to 100 kPa for all groups: the control, CTAB, and AEO-9 groups decreased by 51.48%, 25.64%, and 27.55%, respectively, whereas the TS group decreased by only 14.48%. TS not only generates a higher density of small bubbles during mixing but also more effectively suppresses coalescence and coarsening under low pressure and strong electrolyte conditions, making it most suitable as an air-entraining agent for plateau concrete.
Author Contributions
Funding
Data Availability Statement
Conflicts of Interest
References
- Fu, S.; Zhang, X.; Kuang, W.; Guo, C. Characteristics of Changes in Urban Land Use and Efficiency Evaluation in the Qinghai–Tibet Plateau from 1990 to 2020. Land 2022, 11, 757. [Google Scholar] [CrossRef]
- He, R.; Wang, T.; Chen, H.X.; Xue, C.; Bai, Y.H. Impact of Qinghai-Tibet Plateau’s Climate on Strength and Permeability of Concrete. China J. Highw. Transp. 2020, 33, 29–41. [Google Scholar] [CrossRef]
- Lu, X.; Wu, H.; Li, L.; He, R.; Guo, H. Confined photocatalysis and interfacial reconstruction for durability wettability in road markings. Colloids Surf. A: Physicochem. Eng. Asp. 2026, 729, 138902. [Google Scholar] [CrossRef]
- Li, L.; Dang, L.; Wang, C.; Wei, Z.; Han, D.; Chen, Z.; He, R. Effects of plateau environment on cement concrete properties: A review. J. Road Eng. 2025, 5, 467–479. [Google Scholar] [CrossRef]
- He, R.; Guo, J.; Hu, Y.Y.; Li, R.; Fang, J.H. Research progress on moisture transport and numerical simulation methods of cement-based materials. J. Chang’an Univ. (Nat. Sci. Ed.) 2023, 43, 1–12. [Google Scholar] [CrossRef]
- Jin, L.J.; Shao, Y.H.; Chen, M.T.; Chen, J.; Liu, J.Q.; Wang, W. Experimental study on frost resistance of manufactured sand concrete. Highw. Transp. Technol. 2025, 42, 88–97. [Google Scholar] [CrossRef]
- Li, L.; Sun, S.; Ke, W.; He, R. Air-Entraining Behavior of Concrete in Low Atmospheric Pressure Environments—A Review. J. Traffic Transp. Eng. 2025, 1–45. Available online: https://link.cnki.net/urlid/61.1494.u.20250630.0929.002 (accessed on 25 November 2025).
- Huo, J.; Wang, Z.; Chen, H.; He, R. Impacts of Low Atmospheric Pressure on Properties of Cement Concrete in Plateau Areas: A Literature Review. Materials 2019, 12, 1384. [Google Scholar] [CrossRef]
- Tunstall, L.E.; Ley, M.T.; Scherer, G.W. Air entraining admixtures: Mechanisms, evaluations, and interactions. Cem. Concr. Res. 2021, 150, 106557. [Google Scholar] [CrossRef]
- Li, X.F.; Fu, Z. The influence of low-pressure environment on the air content and bubble stability of concrete. J. Silic. Soc. 2015, 43, 1076–1082. [Google Scholar] [CrossRef]
- Li, X.; Yang, P. Effect of Low Atmospheric Pressure on Bubble Stability of Air-Entrained Concrete. Adv. Civ. Eng. 2021, 2021, 5533437. [Google Scholar] [CrossRef]
- Chen, X.; Liu, X.; Tian, B.; Ge, Y.; Li, L. Effect of Low Atmospheric Pressure on Air Entrainment in Cement-Based Materials: An On-Site Experimental Study at Different Elevations. Materials 2020, 13, 3975. [Google Scholar] [CrossRef]
- Li, Y. Characteristics of Air Bubbles over the Life Cycle Under Low Air Pressure and Improvement of the Performance of Air En-trained Concrete; China National Building Materials Research Institute: Beijing, China, 2020. [Google Scholar]
- Liu, X. Effect of Low Atmospheric Pressure on Air Entraining Effectiveness and Pore Structure of Concrete; Institute of Technology Harbin: Harbin, China, 2020. [Google Scholar]
- Liu, X.; Chen, X.; Tian, B.; Li, L.H.; Ge, Y. Cement Concrete Properties under Low Atmospheric Pressures-A Short Review. J. Chin. Ceram. Soc. 2021, 49, 1743–1752. [Google Scholar] [CrossRef]
- GB 175-2023; Common Portland Cement. Standardization Administration of China. State Administration for Market Regulation: Beijing, China, 2023.
- ISO 679:2020; Cement—Test Methods—Determination of Strength. International Organization for Standardization: Geneva, Switzerland, 2020.
- Şahin, Y.; Akkaya, Y.; Boylu, F.; Taşdemir, M.A. Characterization of air entraining admixtures in concrete using surface tension measurements. Cem. Concr. Compos. 2017, 82, 95–104. [Google Scholar] [CrossRef]
- Du, Z.; Xiong, J.; Zuo, W.; She, W. Using modified nano-silica to prevent bubble Ostwald ripening under low atmospheric pressure: From liquid foam to air-entrained cement mortar. Cem. Concr. Compos. 2022, 132, 104627. [Google Scholar] [CrossRef]
- Rosa, D.; Rizzo, F.; Palma, L.D. Lime and pozzolan-based matrices for an efficient immobilization of hazardous waste. Chem. Eng. Sci. 2025, 313, 121735. [Google Scholar] [CrossRef]
- JTG 3420-2020; Test Methods of Cement and Concrete for Highway Engineering. Ministry of Transport of the People’s Republic of China: Beijing, China, 2020.
- Amani, P.; Miller, R.; Ata, S.; Hurter, S.; Rudolph, V.; Firouzi, M. Dynamics of interfacial layers for sodium dodecylbenzene sulfonate solutions at different salinities. J. Ind. Eng. Chem. 2020, 92, 174–183. [Google Scholar] [CrossRef]
- Dudek, M.; Olsen, A.O.J.; Øye, G. The influence of divalent cations on the dynamic surface tension of sodium dodecylbenzenesulfonate solutions. Colloids Surf. A: Physicochem. Eng. Asp. 2023, 675, 132007. [Google Scholar] [CrossRef]
- Vollpracht, A.; Lothenbach, B.; Snellings, R.; Haufe, J. The pore solution of blended cements: A review. Mater. Struct. 2016, 49, 3341–3367. [Google Scholar] [CrossRef]
- Ádám, A.A.; Ziegenheim, S.; Janovák, L.; Szabados, M.; Bús, C.; Kukovecz, Á.; Kónya, Z.; Dékány, I.; Sipos, P.; Kutus, B. Binding of Ca2+ Ions to Alkylbenzene Sulfonates: Micelle Formation, Second Critical Concentration and Precipitation. Materials 2023, 16, 494. [Google Scholar] [CrossRef]
- Quan, X.; Liu, X.; Li, J.; Gao, X. Lattice Boltzmann study of the interaction between a single solid particle and a thin liquid film. Appl. Math. Mech. 2020, 41, 1179–1194. [Google Scholar] [CrossRef]
- Arkhipov, V.P.; Arkhipov, R.V.; Filippov, A. Micellar and Extraction Properties of Ethoxylated Monoalkylphenols, a Review. J. Solut. Chem. 2025, 54, 737–753. [Google Scholar] [CrossRef]
- Emami, H.; Tanha, A.A.; Manshad, A.K.; Mohammadi, A.H. Experimental investigation of foam flooding using anionic and nonionic surfactants: A screening scenario to assess the effects of salinity and ph on foam stability and foam height. ACS Omega 2022, 7, 14832–14847. [Google Scholar] [CrossRef] [PubMed]
- Slowinski, E.J.; Gates, E.E.; Waring, C.E. The Effect of Pressure on the Surface Tensions of Liquids. J. Phys. Chem. 1957, 61, 808–810. [Google Scholar] [CrossRef]













| Component | CaO | SiO2 | Al2O3 | Fe2O3 | MgO | SO3 | K2O | Na2O | TiO2 | MnO | ZnO | SrO | LOI |
|---|---|---|---|---|---|---|---|---|---|---|---|---|---|
| Content | 63.56 | 20.61 | 5.65 | 3.63 | 2.53 | 1.85 | 0.32 | 0.24 | 0.19 | 0.05 | 0.12 | 0.13 | 1.12 |
| Density (g/cm3) | Specific Surface Area (m2/kg) | Setting Time (min) | Flexural Strength (MPa) | Compressive Strength (MPa) | |||
|---|---|---|---|---|---|---|---|
| Initial Setting | Final Setting | 3 d | 28 d | 3 d | 28 d | ||
| 3.15 | 349 | 175 | 225 | 4.1 | 6.8 | 22.1 | 49.2 |
| Code | Air-Entraining Agent Name | AEA Type | Appearance |
|---|---|---|---|
| CTAB | Cetyltrimethylammonium bromide | Cationic | White powder |
| TS | Triterpenoid saponin | Nonionic | Brown powder |
| SDBS | Sodium dodecylbenzenesulfonate | Anionic | White powder |
| SA | Sodium abietate | Anionic | Pale yellow viscous liquid |
| CAB | Cocamidopropyl betaine | Amphoteric | Colorless viscous liquid |
| AEO-9 | Fatty alcohol polyoxyethylene ether | Nonionic | Colorless viscous liquid |
| No. | Cement (g) | Water (g) | Sand (g) | AEA Type | AEA Dosage (% by Cement Mass) | Air Content at 100 kPa (%) |
|---|---|---|---|---|---|---|
| Control | 450 | 180 | 765 | - | 0 | 1.46 |
| M-CTAB | CTAB | 0.02 | 11.26 | |||
| M-TS | TS | 0.03 | 11.80 | |||
| M-AEO-9 | AEO-9 | 0.09 | 10.82 | |||
| M-CAB | CAB | 0.02 | 10.67 |
Disclaimer/Publisher’s Note: The statements, opinions and data contained in all publications are solely those of the individual author(s) and contributor(s) and not of MDPI and/or the editor(s). MDPI and/or the editor(s) disclaim responsibility for any injury to people or property resulting from any ideas, methods, instructions or products referred to in the content. |
© 2025 by the authors. Licensee MDPI, Basel, Switzerland. This article is an open access article distributed under the terms and conditions of the Creative Commons Attribution (CC BY) license (https://creativecommons.org/licenses/by/4.0/).
Share and Cite
Ma, L.; He, R.; Zhang, Y.; Li, L. Effects of Air-Entraining Agent Type on Air Entrainment and Air-Void Structure of Cement Mortars Under Low Atmospheric Pressure. Processes 2026, 14, 61. https://doi.org/10.3390/pr14010061
Ma L, He R, Zhang Y, Li L. Effects of Air-Entraining Agent Type on Air Entrainment and Air-Void Structure of Cement Mortars Under Low Atmospheric Pressure. Processes. 2026; 14(1):61. https://doi.org/10.3390/pr14010061
Chicago/Turabian StyleMa, Lianxia, Rui He, Yinbo Zhang, and Liangliang Li. 2026. "Effects of Air-Entraining Agent Type on Air Entrainment and Air-Void Structure of Cement Mortars Under Low Atmospheric Pressure" Processes 14, no. 1: 61. https://doi.org/10.3390/pr14010061
APA StyleMa, L., He, R., Zhang, Y., & Li, L. (2026). Effects of Air-Entraining Agent Type on Air Entrainment and Air-Void Structure of Cement Mortars Under Low Atmospheric Pressure. Processes, 14(1), 61. https://doi.org/10.3390/pr14010061
