High-Efficiency Biomass Burner for Forest By-Products
Abstract
1. Introduction
2. Materials and Methods
2.1. Mass Balance
2.2. Energy Balance
3. Numerical Validation
Input Parameters
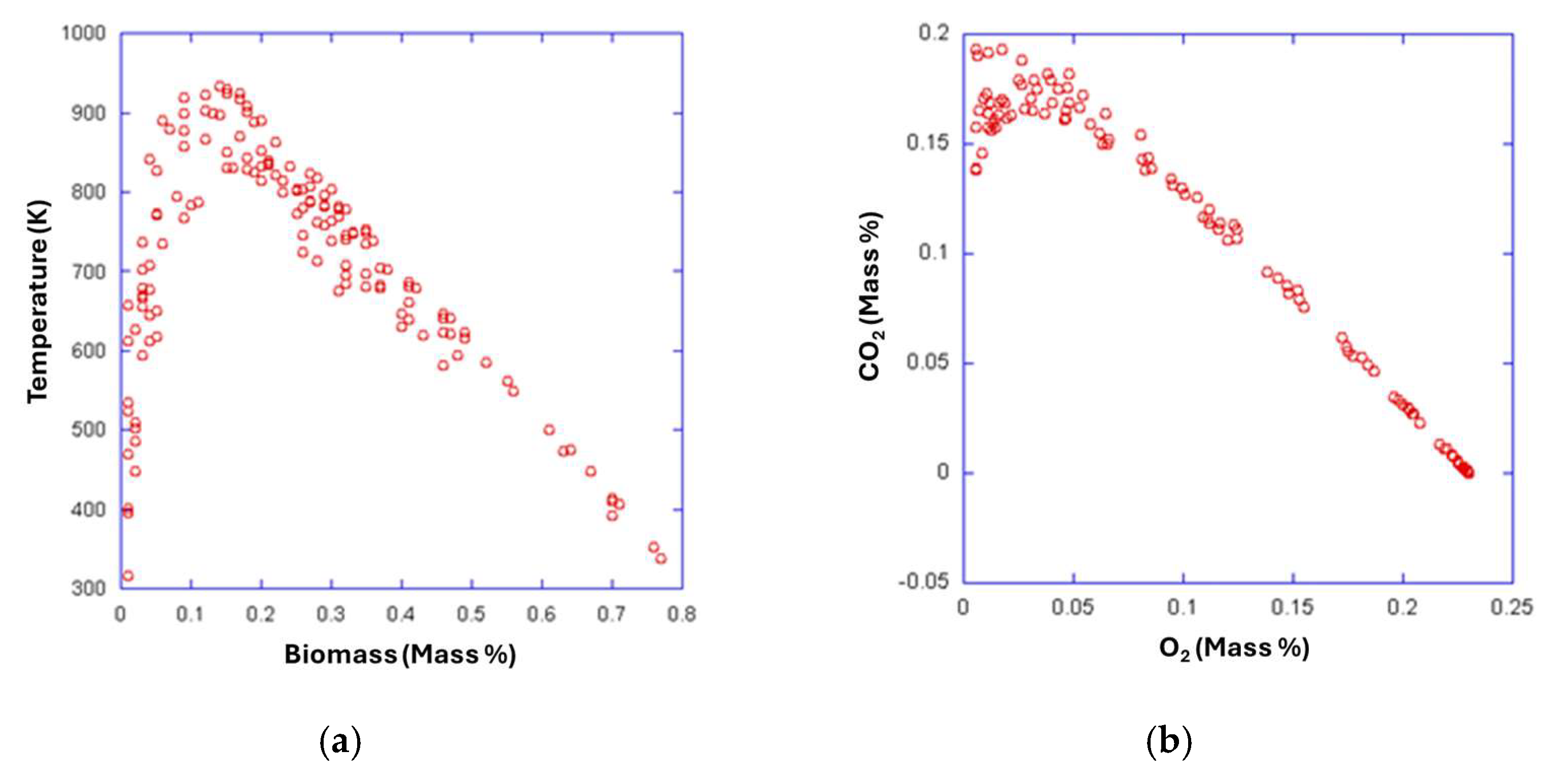
4. Numerical Results
- (a)
- CO2 (dry basis) ranging from 10 to 11.5%,
- (b)
- O2 (dry basis): 2–4%
- (c)
- Excess air ratio (λ): 1.05–1.15
5. Experimental Analysis
Experimental Results
6. Discussion
7. Conclusions
Author Contributions
Funding
Data Availability Statement
Acknowledgments
Conflicts of Interest
Abbreviations
| Enthalpy of the incoming air | |
| Enthalpy of the outgoing gas | |
| HHV | Higher heating value |
| LD | Linear dichroism |
| LHV | Lower heating value |
| Lower heating value of the fuel | |
| mc | Mass of completely burned fuel |
| mf | Total mass of fuel supplied |
| Lower heating value of the generated gas | |
| PM | Particulate matter |
| Heat loss through ash | |
| Heat loss to the environment | |
| Qpotential | Potential energy of the fuel |
| Qreleased | Energy released through combustion |
References
- Pandey, A.K.; Gupta, A.; Bijalwan, P.; Sayal, A. A Review of the Determinants and Barriers to Renewable Energy Utilization in Driving Economic Growth. In Rethinking Resources; Springer: Singapore, 2025; pp. 315–333. [Google Scholar]
- Muneer, T.; Dowell, R. Potential for Renewable Energy–Assisted Harvesting of Potatoes in Scotland. Int. J. Low-Carbon Technol. 2022, 17, 469–481. [Google Scholar] [CrossRef]
- Mohammed, K.S.; Magdalena, R.; Alofaysan, H.; Hagiu, A. The Impact of Green and Energy Investments on Environmental Sustainability in China: A Technological and Financial Development Perspectives. Environ. Model. Assess. 2025, 30, 1147–1167. [Google Scholar] [CrossRef]
- Ehman, N.; de León, A.; Quintero Torres, I.N.; Vallejos, M.E.; Area, M.C. Lignocellulosic Agro-Forest Byproducts as Feedstock for Fused Deposition Modeling 3D Printing Filaments: A Review. Fibers 2025, 13, 124. [Google Scholar] [CrossRef]
- Pradhan, S.; Abdelaal, A.H.; Mroue, K.; Al-Ansari, T.; Mackey, H.R.; McKay, G. Biochar from Vegetable Wastes: Agro-Environmental Characterization. Biochar 2020, 2, 439–453. [Google Scholar] [CrossRef]
- Pramanik, A.; Sinha, A.; Chaubey, K.K.; Hariharan, S.; Dayal, D.; Bachheti, R.K.; Bachheti, A.; Chandel, A.K. Second-Generation Bio-Fuels: Strategies for Employing Degraded Land for Climate Change Mitigation Meeting United Nation-Sustainable Development Goals. Sustainability 2023, 15, 7578. [Google Scholar] [CrossRef]
- Danso-Boateng, E.; Achaw, O.-W. Bioenergy and Biofuel Production from Biomass Using Thermochemical Conversions Technologies—A Review. AIMS Energy 2022, 10, 585–647. [Google Scholar] [CrossRef]
- Li, S.; Zhang, M.; Wang, L.; Cao, Q.; Qin, W. The Evolution of Open Biomass Burning during Summer Crop Harvest in the North China Plain. Prog. Phys. Geogr. Earth Environ. 2023, 47, 873–891. [Google Scholar] [CrossRef]
- García-Flores, A.; Gutiérrez-Paredes, G.J.; Merchán-Cruz, E.A.; Zacarías, A.; Flores-Herrera, L.A.; Sandoval-Pineda, J.M. Review of Wood Sawdust Pellet Biofuel: Preliminary SWOT and CAME Analysis. Processes 2025, 13, 3607. [Google Scholar] [CrossRef]
- Kardaś, D.; Wantuła, M.; Pieter, S.; Kazimierski, P. Effect of Separating Air into Primary and Secondary in an Integrated Burner Housing on Biomass Combustion. Energies 2024, 17, 4648. [Google Scholar] [CrossRef]
- Laphirattanakul, P.; Charoensuk, J.; Turakarn, C.; Kaewchompoo, C.; Suksam, N. Development of Pulverized Biomass Combustor with a Pre-Combustion Chamber. Energy 2020, 208, 118333. [Google Scholar] [CrossRef]
- Piawanich, K.; Aggarangsi, P.; Moran, J. Modifications of SME Biomass Boiler for High Efficiency Multi-Fuel Input. In Proceedings of the 2018 International Conference and Utility Exhibition on Green Energy for Sustainable Development (ICUE), Phuket, Thailand, 24–26 October 2018; pp. 1–6. [Google Scholar]
- Sadeq, A.M.; Homod, R.Z.; Hasan, H.A.; Alhasnawi, B.N.; Hussein, A.K.; Jahangiri, A.; Togun, H.; Dehghani-Soufi, M.; Abbas, S. Advancements in Combustion Technologies: A Review of Innovations, Methodologies, and Practical Applications. Energy Convers. Manag. X 2025, 26, 100964. [Google Scholar] [CrossRef]
- Bermúdez, C.A.; Porteiro, J.; Varela, L.G.; Chapela, S.; Patiño, D. Three-Dimensional CFD Simulation of a Large-Scale Grate-Fired Biomass Furnace. Fuel Process. Technol. 2020, 198, 106219. [Google Scholar] [CrossRef]
- Gómez, M.A.; Martín, R.; Collazo, J.; Porteiro, J. CFD Steady Model Applied to a Biomass Boiler Operating in Air Enrichment Conditions. Energies 2018, 11, 2513. [Google Scholar] [CrossRef]
- Sabbaghi, M.A.; Baniasadi, E.; Genceli, H. Thermodynamic Assessment of an Innovative Biomass-Driven System for Generating Power, Heat, and Hydrogen. Int. J. Hydrogen Energy 2024, 75, 529–539. [Google Scholar] [CrossRef]
- Erdoğdu, A.; Dayi, F.; Yanik, A.; Yildiz, F.; Ganji, F. Innovative Solutions for Combating Climate Change: Advancing Sustainable Energy and Consumption Practices for a Greener Future. Sustainability 2025, 17, 2697. [Google Scholar] [CrossRef]
- Korpeh, M.; Lotfollahi, A.; Moghimi, M.; Anvari-Moghaddam, A. Combustion Optimization of Various Biomass Types to Hydrogen-Rich Syngas: Two-Stage Pyrolysis Modeling, Methane Addition Effects, and Environmental Impact Assessment. Int. J. Hydrogen Energy 2025, 133, 458–471. [Google Scholar] [CrossRef]
- Álvarez-Bermúdez, C.; Chapela, S.; Gómez, M.A.; Porteiro, J. CFD Simulation of a 4 MW Biomass Grate Furnace Using an Eulerian Fixed-Bed Model: Validation of in-Bed and Freeboard Results. Fuel 2025, 387, 134378. [Google Scholar] [CrossRef]
- Silva, J.P.; Teixeira, S.; Teixeira, J.C. Development of a CFD Model to Study the Fundamental Phenomena Associated with Biomass Combustion in a Grate-Fired Boiler. Processes 2025, 13, 2617. [Google Scholar] [CrossRef]
- Rashidi, N.A.; Mohd Yusoff, M.H.; Ahmad Termezi, M.F.; Azmi, N. Sustainable Valorization of Agricultural Biomass: Progress in Thermochemical Conversion for Bioenergy Production. Biofuels Bioprod. Biorefining 2025, 19, 2662–2679. [Google Scholar] [CrossRef]
- Szyszlak-Bargłowicz, J.; Wasilewski, J.; Zając, G.; Kuranc, A.; Koniuszy, A.; Hawrot-Paw, M. Evaluation of Particulate Matter (PM) Emissions from Combustion of Selected Types of Rapeseed Biofuels. Energies 2022, 16, 239. [Google Scholar] [CrossRef]
- Luo, Y.; Li, G.; Bennett, N.S.; Luo, Z.; Munir, A.; Islam, M.S. Heat Transfer Enhancement in Heat Exchangers by Longitudinal Vortex Generators: A Review of Numerical and Experimental Approaches. Energies 2025, 18, 2896. [Google Scholar] [CrossRef]
- Popescu, F.; Mahu, R.; Ion, I.V.; Rusu, E. A Mathematical Model of Biomass Combustion Physical and Chemical Processes. Energies 2020, 13, 6232. [Google Scholar] [CrossRef]
- Costa, V.A.F.; Tarelho, L.A.C.; Sobrinho, A. Mass, Energy and Exergy Analysis of a Biomass Boiler: A Portuguese Representative Case of the Pulp and Paper Industry. Appl. Therm. Eng. 2019, 152, 350–361. [Google Scholar] [CrossRef]
- Mameri, F.; Delacourt, E.; Morin, C.; Schiffler, J. 0D Dynamic Modeling and Experimental Characterization of a Biomass Boiler with Mass and Energy Balance. Entropy 2022, 24, 202. [Google Scholar] [CrossRef]
- Uzakov, G.; Mamatkulova, S.; Ergashev, S. Thermal Mode of the Condenser of a Pyrolysis Bioenergy Plant with Recuperation of Secondary Thermal Energy. E3S Web Conf. 2023, 411, 01021. [Google Scholar] [CrossRef]
- Cabrera, M.; Van Liew, J.; Turoski, N.; Baysa, M.; Han, Y.-L. Utilizing Computational Modeling to Aid the Development of a Wearable Soft Robot for Finger Rehabilitation. In Proceedings of the 2022 International Conference on Advanced Mechatronic Systems (ICAMechS), Toyama, Japan, 17–20 December 2022; pp. 10–15. [Google Scholar]
- Marchelli, F.; Hou, Q.; Bosio, B.; Arato, E.; Yu, A. Comparison of Different Drag Models in CFD-DEM Simulations of Spouted Beds. Powder Technol. 2020, 360, 1253–1270. [Google Scholar] [CrossRef]
- Ahmad, A.H.; Darmanto, P.S.; Hariana, H.; Darmawan, A.; Aziz, M.; Juangsa, F.B. Numerical Investigation of Coal-Sawdust Co-Firing in a Carolina-Type Boiler: Power Derating and Emission Analysis. Appl. Therm. Eng. 2025, 266, 125681. [Google Scholar] [CrossRef]
- Mularski, J.; Li, J. Assessment of Biomass Ignition Potential and Behavior Using a Cost-Effective CFD Approach. Fuel 2024, 361, 130637. [Google Scholar] [CrossRef]
- Jadhav, B.; Roy, R.; Rahman, M.S.; Raynie, D.E. Extraction and Depolymerization of Lignin from Pine Sawdust and Pistachio Shells. Biomass 2022, 2, 348–357. [Google Scholar] [CrossRef]
- Varma, A.K.; Thakur, L.S.; Shankar, R.; Mondal, P. Pyrolysis of Wood Sawdust: Effects of Process Parameters on Products Yield and Characterization of Products. Waste Manag. 2019, 89, 224–235. [Google Scholar] [CrossRef]
- Tomić, N.; Podunavac, J.; Tomić, M.; Anđelković, A.; Kljajić, M.; Živković, P. Optimizing Flue Gas Recirculation for Enhanced Efficiency in Biomass-Fired Boilers: A Comprehensive Study. In Proceedings of the SimTerm Proceedings 2024—Zbornik Radova, Niš, Serbia, 22–25 October 2024; pp. 343–348. [Google Scholar]
- Horvat, I.; Dović, D.; Filipović, P. Numerical and Experimental Methods in Development of the Novel Biomass Combustion System Concept for Wood and Agro Pellets. Energy 2021, 231, 120929. [Google Scholar] [CrossRef]
- Holubcik, M.; Nosek, R.; Jandacka, J. Optimization of the Production Process of Wood Pellets by Adding Additives. Int. J. Energy Optim. Eng. 2012, 1, 20–40. [Google Scholar] [CrossRef]












| Input Type | Name | Description/Value |
|---|---|---|
| Fuel properties | Elemental Composition (dry basis) | Carbon (C): 50% by weight |
| Hydrogen (H): 6.5% by weight | ||
| Oxygen (O): 45% by weight | ||
| Nitrogen (N): 0.5% by weight | ||
| Sulphur (S): 0.1% by weight | ||
| Ash: 2.0% by weight | ||
| Volatiles (dry basis) | 98% by weight (cellulose, hemicellulose, lignin) | |
| Fixed carbon (dry basis) | 25% by weight | |
| Moisture Content | 10% by weight | |
| Particle Density | 700 kg/m3 | |
| Particle Size | 8 mm in length | |
| Lower Heating Value | 19 MJ/kg | |
| Particle Emissivity | 0.95 | |
| Solid Specific Heat | 2.8 kJ/(kg·K) | |
| Inlet conditions | Biomass Mass Flow Rate | 20 kg/h |
| Excess Air | 30% | |
| Biomass Inlet Temperature | Ambient temperature, 298 K | |
| Air Inlet Temperature | Ambient temperature, 298 K | |
| Inlet Pressure | Atmospheric pressure, 101,325 Pa (1 atm) | |
| Boundary conditions | Wall Material | Carbon steel |
| Wall Emissivity | 0.9 | |
| External Wall Temperature | Ambient temperature | |
| No-Slip Conditions | For all wall surfaces | |
| Simulation Parameters | Turbulence Model | k-epsilon |
| Combustion/Reaction Model | Eddy-Dissipation/Finite-Rate model Char: Surface combustion reaction | |
| Radiation Model | P1 | |
| Heterogeneous Fuel Model | Discrete Phase Model for biomass particles |
| Title | Value | Reference |
|---|---|---|
| Optimizing flue gas recirculation for enhanced efficiency in biomass-fired boilers: A comprehensive study | 90%-700 °C | [34] |
| Numerical and experimental methods in development of the novel biomass combustion system concept for wood and agro-pellets | 80% | [35] |
| Optimization of the Production Process of Wood Pellets by Adding Additives | 88–93% | [36] |
Disclaimer/Publisher’s Note: The statements, opinions and data contained in all publications are solely those of the individual author(s) and contributor(s) and not of MDPI and/or the editor(s). MDPI and/or the editor(s) disclaim responsibility for any injury to people or property resulting from any ideas, methods, instructions or products referred to in the content. |
© 2025 by the authors. Licensee MDPI, Basel, Switzerland. This article is an open access article distributed under the terms and conditions of the Creative Commons Attribution (CC BY) license.
Share and Cite
García-Flores, A.; Sandoval-Pineda, J.M.; Flores-Herrera, L.A.; Zacarías-Santiago, A.; Vargas, R.O.; Rivera-Blas, R. High-Efficiency Biomass Burner for Forest By-Products. Processes 2026, 14, 140. https://doi.org/10.3390/pr14010140
García-Flores A, Sandoval-Pineda JM, Flores-Herrera LA, Zacarías-Santiago A, Vargas RO, Rivera-Blas R. High-Efficiency Biomass Burner for Forest By-Products. Processes. 2026; 14(1):140. https://doi.org/10.3390/pr14010140
Chicago/Turabian StyleGarcía-Flores, Artemio, Juan Manuel Sandoval-Pineda, Luis Armando Flores-Herrera, Alejandro Zacarías-Santiago, René O. Vargas, and Raúl Rivera-Blas. 2026. "High-Efficiency Biomass Burner for Forest By-Products" Processes 14, no. 1: 140. https://doi.org/10.3390/pr14010140
APA StyleGarcía-Flores, A., Sandoval-Pineda, J. M., Flores-Herrera, L. A., Zacarías-Santiago, A., Vargas, R. O., & Rivera-Blas, R. (2026). High-Efficiency Biomass Burner for Forest By-Products. Processes, 14(1), 140. https://doi.org/10.3390/pr14010140

