Abstract
Biodrying and composting are aerobic processes to treat and stabilize organic solid waste, but biodrying involves a shorter process time and does not require the addition of water. The resulting biodried material (BM) is mainly used as an energy source in cement production or in municipal solid waste incineration with energy recovery, but when obtained from agricultural or agroindustrial organic waste, it could also be used as a soil amendment, such as compost (CO). In this study, the phytotoxicity of BM compared to CO, both made from organic wastes (orange peel, mulch and grass), was evaluated on seed germination and growth (for 90 days) of lettuce (Lactuca sativa L.) seedlings on treatments prepared from mixtures of BM and soil, soil (100%) and a mixture of CO and soil. The germination index (GI%) was higher for BM extracts (200 g/L) than for CO extracts (68% vs. 53%, respectively). According to their dry weight, lettuce grew more on the CO mixture (16.5 g) than on the BM (5.4–7.4 g), but both materials far exceeded the soil values (0.15 g). The absence of phytotoxicity suggests that BM acts as a soil amendment, improving soil structure and providing nutrients to the soil. Therefore, biodrying is a quick and low-cost bioprocess to obtain a soil improver.
1. Introduction
Biodrying is an aerobic bioprocess used to reduce the moisture content of waste, in which the metabolic heat generated by microbial activity in the biowaste acts as a drying force. Currently, within mechanical-biological treatment (MBT) technologies, biodrying is mainly used as an optimized biostabilization treatment of residual municipal solid waste (i.e., waste containing contaminated packaging, non-recyclable plastics, hygiene products, and other mixed wastes) prior to final disposal or to produce waste-derived fuels [1]. The latter case is a relatively new approach to MBT, whereby mechanical separation yields a solid waste-derived fuel as the main product, but also a secondary product of partially degraded and biodried organic matter destined for landfill [1,2]. In both cases, the partially biodegraded organic fraction deposited in landfills can contribute to air pollution because of methane generation [3,4]. On the other hand, research on biodrying of clean organic waste, such as agricultural, agroindustrial, green, and food waste, remains limited and similarly emphasizes energy recovery without outputs destined for landfills [5,6,7].
As an aerobic process suited for treating and partially stabilizing wet biowaste, biodrying shares similarities with composting, taking advantage of the metabolic heat generated by microorganisms in piles of organic waste with high moisture content (60–90%). However, biodrying is favored by the aeration of the waste mass to promote the escape of water vapor and reduce the moisture content. The fundamental difference between composting and biodrying lies in their objectives; composting focuses on biological decomposition and stabilization of organic materials under thermophilic conditions to produce a stable, mature, pathogen-free product with degraded organic carbon that is suitable for agricultural and forestry applications [8,9]. In contrast, biodrying aims to remove water while preserving organic carbon content, resulting in a dried material optimized for use as fuel [10], but also significant removal of water content optimizes the MB for short-term storage and lowers transportation costs to the final disposal site [7].
Compared to composting, biodrying offers distinct advantages, such as shorter processing time (45 days), no need to add water, and better conservation of nutrients in the resulting BM. Furthermore, when applied to clean, contaminant-free waste, biodrying also results in a value-added product that could be used as a soil improver, such as compost, helping to preserve natural resources, mitigate environmental problems related to poor organic waste management by reducing methane and carbon dioxide emissions [7], rehabilitate degraded soils affected by natural factors (e.g., rain, wind) or by human activities (e.g., erosion, compaction, pollution), improving their ability to sustain ecosystems.
For plants, nutrient absorption is highly dependent on bioavailability, which is strongly influenced by the soil’s physical and chemical properties [11]. While the use of organic amendments and soil improvers is a common agricultural practice, it must be carefully managed. The application of fresh or immature organic matter can lead to the release of phytotoxic compounds such as ammonia [12], ethylene oxide, and low molecular weight organic acids. Additionally, an elevated C/N ratio and competition for assimilable nitrogen [13] may negatively impact seed germination and plant growth. Although BM is a substrate with high electrical conductivity (EC) and could inhibit seed germination and plant development, its high content of organic matter (OM) and nutrients could favor its role as a soil improver.
Lettuce (Lactuca sativa L.), a vascular plant that absorbs various macro- and micronutrients from the soil through its roots, is particularly sensitive to phytotoxic substances [14]. In fact, it is one of the 10 main plant species recommended as a biological model for assessing the ecological effects of toxic substances [15], both on germination and development. Acute toxicity tests conducted during lettuce seed germination allow for the evaluation of toxic effects caused by BM, as germination is a critical stage in the plant life cycle that significantly influences crop growth [16]. Therefore, this study aimed to evaluate the effects of BM applied as a soil improver on seed germination and growth in lettuce, using it as a biological model. For comparative purposes, compost (CO) was used as a control substrate.
2. Materials and Methods
To obtain the substrates used in this work, BM and CO (Figure 1), two semi-static piles of organic waste with a mass of 357.2 kg were formed. Both piles (one for the biodrying process and the other for composting) had the same composition: 56% orange (Citrus spp.) peel, 24.9% mulch (shredded lignocellulosic waste), and 19.1% garden pruning waste. At the beginning, the dimensions of semi-static piles were 1.40 m wide, 1.85 m long, and 0.90 m high.
Figure 1.
Substrates. (A) Biodried material; (B) Compost.
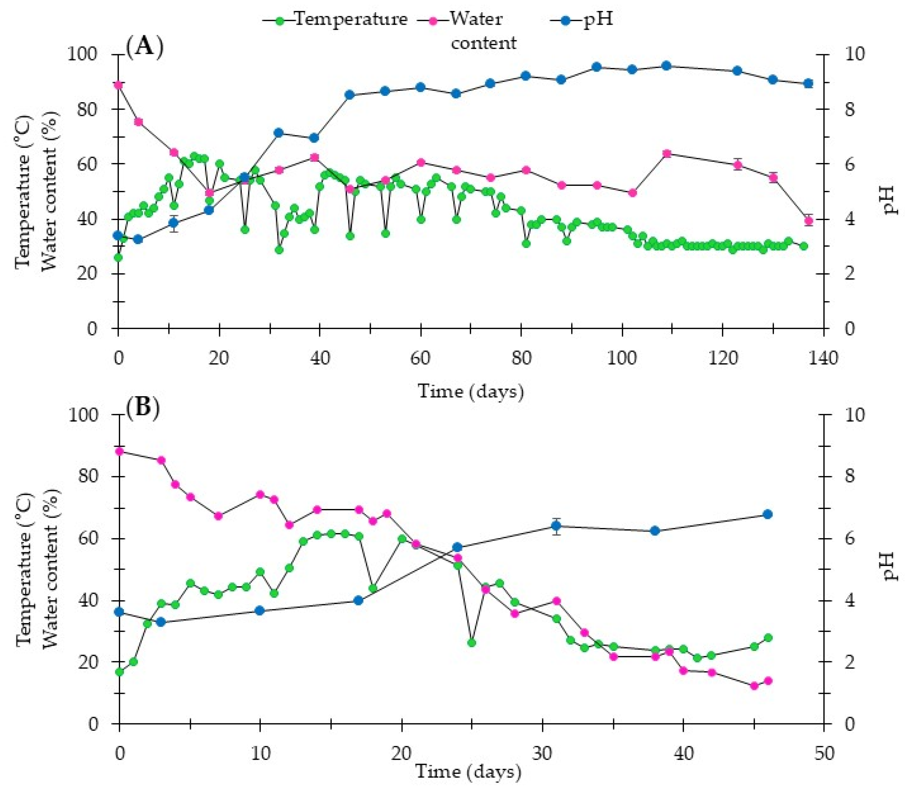
To establish a comparison between biodrying and composting, and their respective products, both bioprocesses were simultaneously carried out inside a greenhouse tunnel, and the moisture, temperature, and pH of the piles were monitored during both processes. Both piles were manually turned over every week to favor gas exchange and to be supplied with oxygen. Water was added to the compost pile every week to keep the moisture level between 45% and 75% during the whole process. No water was added to the biodrying pile because the aim of this process is to help water evaporation to obtain stable BM. The biodrying and composting processes lasted 45 and 136 days, respectively. The thermophilic phase (>45 °C) occurred in both piles, with a duration of 31 and 50 days for biodrying and composting, respectively, achieving a maximum between 61 °C and 62 °C in both piles (Figure 2).
Figure 2.
Behavior of temperature, water content, and pH during (A) Composting and (B) Biodrying processes.
The physicochemical characterization of the BM, CO, and nursery soil was performed based on NOM-021-RECNAT-2000 [17], which establishes the specifications for soil fertility, salinity, classification, study, sampling, and analysis. The parameters determined were total nitrogen (N), nitrate and ammonium (NO3− and NH4+), soluble phosphorus (P), potassium (K), cation exchange capacity (CEC), organic matter (OM), and organic carbon (C). The C/N ratio was calculated using the individual values of C and N.
Total nitrogen, nitrate, and ammonium (NO3− and NH4+) were measured by the micro–Kjeldahl method. It is based on the extraction of exchangeable ammonia by the equilibration of the soil sample with KCl 2N and its determination by steam distillation in the presence of MgO. The addition of Devarda’s alloy makes it possible to include the determination of nitrates and nitrites. The amount of inorganic nitrogen (nitrates + ammonium + nitrites) is reported in mg kg−1.
Soluble phosphorus (P) was measured by the method for the determination of soluble phosphorus in ascorbic acid. The sample is extracted with a 1% citric acid solution, and the phosphates in the extract are determined colorimetrically with the molybdenum blue method, with ascorbic acid as reducing agent.
The cation exchange capacity (CEC) and exchangeable bases of the soils were determined using 1N ammonium acetate at pH 7.0 as a saturating solution.
Organic matter (OM) was quantified by applying the Walkley–Black colorimetric method [17]. This procedure detects between 70% and 84% of the total organic carbon (C), so it is necessary to introduce a correction factor, which may vary from soil to soil. In Mexican soils, it is recommended to use the factor 1.298.
Total metals were measured in a sub-sample of 0.3 g of soil after microwave digestion (Q Lab 6000, Questron, USA) with 10 mL nitric acid (HNO3) and 2 mL 10% hydrogen peroxide (H2O2). Metals were measured by inductively coupled plasma-optical emission spectrometry (ICP-OES) spectrometer (4600DV-Perkin Elmer, Waltham, MA, USA). SRM 2710 soil standard reference materials were obtained from the National Institute of Standards and Technology (USA) and served as controls. A quality control was conducted for each batch of 20 samples. Recovery was greater than 85% for the six elements analyzed in the soil. The plastic beakers used for analysis of metals were new and treated with 2% HNO3 24 h before use [18].
As part of the phytotoxic characterization of the substrates and to assess a priori whether the substrates (BM and CO) would have a toxic effect on the germination of the lettuce seeds, a short-term (120 h) acute toxicity bioassay was performed in triplicate, following the methodology proposed by Sobrero and Ronco [19]. By means of a germination test with distilled water to corroborate the viability of the seeds, it was determined that the L. sativa seeds used had a germination power greater than 80%. An aqueous extract of 500 and 200 g of each substrate was obtained in 1 L of distilled water, and after mechanical stirring at low speed for 5 h, it was centrifuged for 10 min at 16,000× g. Distilled water was used as a negative control. The indicators determined were relative germination percentage (RG%) and root elongation (RE%), from which the germination index (GI%) was obtained.
To evaluate the effect of BM on lettuce growth, a one-factor experimental design was used with five treatments (Table 1) with ten replicates per treatment. The BM was mixed with nursery soil in different concentrations (10%, 20%, and 30%) in the different treatments (B-10, B-20, and B-30), respectively. The CO-30 treatment (mixture of soil + 30% compost) was the positive control for growth, while the negative control was the soil (S) treatment. The proportion of CO used in this study was determined based on what was proposed by Román et al. [13].
Table 1.
Composition of the growth substrates of lettuce plants.
In seedbeds with sterile agrolite as nutrient support, L. sativa seeds were placed and irrigated with 10 mL of water three times a week, until obtaining seedlings with three true leaves (22 days after emergence) that were transplanted to the pots with the treatments (Table 1). Since the water requirement for each substrate varies according to its physicochemical properties (mineralized OM, FC, among others), the approximate amount of water needed for each treatment was estimated using two moisture constants: field capacity (FC) and permanent wilting point (PWP). At the beginning of the experiment, FC was determined by a gravimetric method by measuring the moisture of the substrates 72 h after being saturated with water and letting it drain for 24 h. PWP was obtained through the following correlation proposed by Silva et al. [20]:
PWP = (FC × 0.74) − 5
Drip irrigation was applied with adjustable flow drippers and was based on the moisture constants; for each treatment, three irrigations per day (12:00, 15:00, and 18:00 h) were established, supplying the water necessary to maintain each replicate of each treatment at 80% of FC.
The growth of the potted lettuce seedlings was evaluated over 90 days, monitoring every other day the width, length, and number of leaves using a Viskase brand Model. D-2921/B/n Vernier caliper. At the end of 90 days, the concentration (%) of N, P, and K and the chlorophyll content in the leaves were determined, based on the handbook of reference methods for plant analysis [21]. Finally, the dry weight of each plant of the mentioned treatments was quantified.
To determine the variation in lettuce growth (width, length, and number of leaves) and concentration of nutrients (N, P, K), an ANOVA (p ≤ 0.05) was performed using Tukey’s test with a significance level of p ≤ 0.05 (GraphPad Prism 5).
3. Results and Discussion
3.1. Physicochemical Characterization of Substrates
According to the standard NOM-021-RECNAT-2000 [17], the soil used in this study is classified as acidic and non-saline soil, with a medium cation exchange capacity and high concentrations of OM, C, N, P, K, and NH4+, and low NO3− (Table 2). The origin of the soil, acquired from a nursery, is unknown; however, the accumulation of ammonium could be due to its pH of 5.3. Aciego-Pietri and Brookes [22] state that at low pH levels, the generation of NH4+ is high due to a low nitrification rate, but as the pH increases, the nitrification rate is fast enough to prevent NH4+ accumulation.
Table 2.
Physicochemical characterization of substrates on a dry basis (DB).
Although nitrification is more difficult in acidic soils, Mengel and Kirkby [23] pointed out that the nitrification process requires a pH of 5.5 to 7.5 in the soil, sufficient availability of moisture and oxygen, a temperature above 20 °C, and the presence of nitrifying bacteria.
The more remarkable differences between BM and CO were for FC, K, CEC, EC, N, C, OM, C/N, NO3−, and NH4+, but not for pH and P content (Table 2). Given the moisture range (45–75%) during the composting process in this study, the higher concentrations of N, NO3−, and NH4+ can be attributed to enhanced OM mineralization. According to Amuah et al. [24], optimal moisture levels (40–60%) are necessary to ensure high composting efficiency, as they promote effective microbial degradation of OM. As expected, BM had the highest presence of C, OM, and, consequently, a C/N ratio higher than CO. The value of the C/N ratio (22.23), derived from the OM content, is an indicator of the immaturity of BM, which confirms that it was only partially degraded. Román et al. [13] propose the C/N ratio as an indicator of compost maturity, placing mature compost at a C/N value of 10. The CO in this work had a marginal value of 10.75, which suggests that it is a mature compost and supports its use as a control material.
To assess the quality of the CO obtained in this study, it was compared with the levels established by environmental standard NADF-020-AMBT-2011 [25], which considers most of the variables measured in this research, classifying compost into three categories and providing recommendations for their respective use; Type A (substrate recommended for application in nurseries and as a substitute for potting soil), Type B (substrate used in organic farming and reforestation) and Type C (to be used in landscaping, urban green areas, and reforestation). According to this standard, the CO obtained in this work can be classified as “Type A Compost” due to the values reached in EC, OM, C/N, and marginally in pH. On the other hand, based on the same standard and for comparison purposes, BM was classified in the “Type C Compost” category, according to the values of EC, C/N, and pH; however, due to its high OM content, it does not comply with the criteria for this classification.
Although biodrying and composting exhibit similar behavior in their early stages [26], the key difference lies in the sustained moisture levels during composting (Figure 2), which leads to significant variations between the two processes and the properties of their end products. The most outstanding physicochemical characteristics of BM (texture, porosity, FC, C/N, pH, and OM content) are closely linked to the dehydration conditions of the material during bioprocessing.
Alzate et al. [27] report that the onset of dehydration in plant tissues occurs due to capillarity, in which the capillary ducts decrease their diameter, causing shrinkage and deformation of the material and reducing the free spaces. Subsequently, the water is displaced by diffusivity towards the surface of the plant material that has a lower concentration of water, causing the contraction of its structure. In addition, the polysaccharides in fruit waste are sensitive to temperatures above 70 °C during the drying process [28,29].
3.2. Toxicity Test on Seeds of Lactuca sativa L. var. Buttercrunch
The viability test of lettuce seeds showed 83% germination which confirmed that they did not have dormancy and that they were suitable for use in the germination toxicity bioassay and subsequent use in plant growth and development tests.
The environmental standard NADF-020-AMBT-2011 [25] proposes the germination index (GI%) as an indicator of the phytotoxicity of compost and relates it to the three different qualities of compost (Type A: GI ≥ 85%, Type B: GI ≥ 75% and Type C: GI ≥ 60%). At the concentration proposed by this standard (200 g L−1), the GI% in the aqueous extract of BM was higher than that of CO, which allows BM to be classified as a substrate like type C compost but leaves CO outside the classification ranges (60–85%) (Figure 3A). In other words, CO is more phytotoxic than BM. However, considering root vigor (measured through the RE% parameter) at the same concentration, good vigor was obtained in both BM (80.5%) and CO (77.1%), compared to the control (100%) (Figure 3B).
Figure 3.
(A) Germination index (GI%) in the extract of BM and CO. (B) Root elongation (RE%) in the extract of BM and CO, relative to the control (distilled water).
The CO extract at a concentration of 50 g L−1 allowed germination and favored root elongation up to a level higher than the control, which is interpreted as a hormetic effect, whereas the BM extract did not cause this effect.
It is important to highlight the toxicity of CO at high concentrations, since the CO extract at the 500 g L−1 concentration completely inhibited germination, while the BM extract at the same concentration maintained a GI of 38.6% and the seedlings of the seeds that managed to germinate maintained a RE% higher than 75%.
Overall, the results of the lettuce seed toxicity bioassay indicate that BM does not cause a severe phytotoxic effect, both at low and high concentrations. In addition, although the use of CO as a soil improver and organic amendment is a common practice in Mexico, BM could also be applied for the same purposes, given its low toxicity in germination. Even if the BM is not completely degraded, it will biodegrade slowly, as it happens naturally with plant waste decomposition in natural ecosystems, where important processes happen for the main contribution of organic matter in the soil and regulate nutrient cycle patterns.
3.3. Growth of L. sativa L. var. Buttercrunch
The seedlings with three true leaves (Figure 4A) were transplanted to the pots with the substrates (Figure 4B), according to treatments in Table 1. After 90 days of growth in pots, L. sativa L. plants were measured in terms of leaf width, length, and number as indicators of their growth and development, observing greater lettuce growth from treatments including BM and CO compared to the S treatment (Figure 5A). Statistically significant differences were found in the width, length, and number of leaves (Figure 5B) and, accordingly, the dry weight of the lettuces grown in the CO-30 treatment (16.5 g) was higher with respect to the treatments with BM (7.4, 5.4 and 5.6 g for B-10, B-20, and B-30, respectively), greatly exceeding the values obtained in the S treatment (0.15 g).
Figure 4.
Lettuce plants during (A) germination in seedbeds, and (B) growth in substrates.
Figure 5.
(A) Lettuce grown in the treatments used. (B) The width, length, and number of leaves of the lettuce in each treatment. Arithmetic mean of width, length, and number of leaves of lettuce plants grown in treatments B-10, B-20, B-30, CO-30, and S. Different letters show significant differences among treatments (p ≤ 0.05) (n = 10).
The above shows that although the dry weight of the lettuce plants in the BM treatments did not exceed those of the CO-30 treatment, the addition of both biomaterials (CO and BM) to the soil improved the physicochemical characteristics of the substrate and favored the growth and development of the lettuce plants, because they acted as a source of nutrients, their concentration being higher in CO (Table 2).
It is well known that the incorporation of compost increases soil fertility due to an increase in nutrient availability, resulting in an increase in crop production [30].
Arancon et al. [31] reported that composts are a source of humic and growth-regulating substances, and that a 30% addition to agricultural soils substantially improves their physical and chemical characteristics and positively influences plant growth. Therefore, the result obtained for the CO-30 treatment was as expected, but in this case, BM functioned also as a soil structuring material and improved their physical, chemical, and biological characteristics.
Plant material composition and foliar analysis show that there was sufficient nutrient concentration in the tested substrates; however, the difference in plant growth could be linked to nutrient availability and concentration. For each treatment, the concentration (%) of nutrients in the leaves was compared to standards, one proposed for C [32] and another for N, P, and K [33] in lettuce leaves. Despite notable differences in the length, width, and number of lettuce leaves in each treatment (Figure 4B), the nutrients in the leaves were not statistically different among the various treatments (Figure 6), and, except for P, nutrient concentrations were like those specified in the proposed standards. These results indicate that in all the evaluated treatments the absorption of N, K and P by the plants was favored and that the greater growth observed in the treatments with BM and CO is attributed to the concentration and availability of N, since this is in the form of ammonium, the form assimilable by plants.
Figure 6.
Macronutrient content in the plants of each treatment. Arithmetic mean of N, C, K, and P content in lettuce plants grown in treatments B-10, B-20, and B-30, CO-30, and S, compared to the proposed standard for C [32] and for N, P, and K [33]. Same letters show no significant differences among treatments. (p ≤ 0.05) (n = 10).
An important factor in nutrient availability is soil pH, and P availability for plants is known to be optimal in a pH range of 6 to 7. When there is an excess of this nutrient, it can affect the absorption of micronutrients such as Zn and Fe, just as an excess of K in the form of potash increases soil pH, which causes poor absorption of nutrients [34]. In acid soils, the P content in the form of phosphate ions precipitates in the presence of Fe, Mn, and Al and remains in its chemical form, not assimilable by plants, while in alkaline soils, the precipitation of phosphates occurs in the presence of calcium [11]. Therefore, although the evaluated substrates (soil, BM, and CO) had a high concentration of P (according to NOM-021-RECNAT-2000 [17]), it is not available for plants since there are also high concentrations of Ca and Fe (Table 2), which can give rise to the formation of precipitates. On the other hand, Dourado et al. [35] reported that the presence of bacteria that produce alkaline phosphatase, the enzyme responsible for transforming P to the bioavailable form for plants (HPO42−), is necessary; it is possible that the P concentration present in substrates is not available due to the absence of this type of bacteria.
Once an immature fertilizer is incorporated into the soil and under suitable moisture conditions, the remaining OM (unmineralized) is available for aerobic biodegradation, and can result in an increase in temperature, changes in pH and generation of intermediate phytotoxic metabolites such as ammonia [12,13], which can act as a prooxidant, causing oxidative stress in the plant through various mechanisms [36]. In addition, Román et al. [13] suggest that the use of fertilizers with a high OM content and a high C/N proportion causes an increase in the microbial population that degrades OM and generates strong competition with the plant for assimilable N.
In this study, leaves of lettuce plants grown in substrate with BM were not deficient in N concentration, despite the high presence of OM. Since composting is a process to transform organic waste into humified material and biodrying is a dehydration process at temperatures above 60 °C, the different structural characteristics of both materials can determine the rate of degradation of the remaining OM in each one. The results of this work suggest that the remaining OM provided by the BM degrades slowly in the soil helped by the irrigation water, preventing the competition of the microorganisms for the N to be a threat to the plant, while there is a slower or possibly no release of intermediate compounds (metabolites) with phytotoxic potential.
Although Wu et al. [37] reported that plants in soil with a high OM content may show slow growth or defoliation, in the present study, these problems were not observed in treatments with BM that still have a high OM content. Two reasons can be given about the plant; for one, Gómez-Brandón et al. [12] state that once the root encounters the OM and there is no immediate toxic effect, the plant overlaps and can grow in OM-rich soils. This adaptive response that increases the resistance of a cell or organism against more severe stress is known as hormesis [38]. On the other hand, the soil’s resilience helps mitigate the effects of accelerated OM decomposition caused by a surge in microbial activity following the application of organic material rich in labile carbon.
The chlorophyll content in the leaves was evaluated as a measure of color, which impacts the sensory quality and nutritional value of a vegetable [39], but also as an indicator of the level of stress in the plant due to light limitations in crops [40]. Figure 7 shows the concentration of chlorophyll in treatments with BM and CO, compared to a proposed standard, corresponding to the concentrations of chlorophyll found by Da Silva et al. [41] in lettuce plants.
Figure 7.
Chlorophyll content in BM and CO treatment plants. Arithmetic mean of the content of chlorophyll a, b, and total in lettuce plants grown in treatments B-10, B-20, B-30, and CO-30, compared to the standard proposed by Da Silva et al. [41]. Different letters show significant differences among treatments. (p ≤ 0.05) (n = 10).
The analysis of variance showed significant differences in the concentration of chlorophyll a and total chlorophyll in the lettuces of the B-20 treatment compared to those of the CO-30 treatment, while the concentration of chlorophyll b in the lettuces of the B-10, B-20, B-30, and CO-30 treatments showed no differences. Ali et al. [42] found a lower leaf chlorophyll content in lettuce plants grown in vermicompost, compared to those that grew in mixtures of vermicompost and compost at 20/80 and 50/50 (v/v) proportions. These authors attribute the decreased chlorophyll content to lower N consumption by plants, based on the N concentrations available in the substrates.
Leaf chlorophyll concentrations, like the proposed standard, suggest that there was enough inorganic N available in the soil treatments containing BM and CO; however, as in some studies [30,43], the N content in the plant did not correlate with its chlorophyll content. Argenta et al. and Zotarelli et al. [44,45] found that when there is a high availability of N, the leaf chlorophyll and N content are weakly correlated since the potential of the photosynthetic system is converting the light energy into chemical energy, and the excess N is forming part of other reserve compounds. In agreement with these authors, although in the present study the concentrations of chlorophyll a and total were higher in the lettuce leaves of the CO-30 treatment, they do not correspond to a higher N content; therefore, these differences can be attributed to the heterogeneity of the samples.
4. Conclusions
The extract of BM favors the germination of lettuce seeds better than the compost extract. The addition of BM to the soil is as beneficial as compost for lettuce growth, due to its contribution of nutrients and because it acts as a structuring material that improves the physical and chemical characteristics of the soil. BM concentration in the different treatments (B-10, B-20, and B-30) did not cause any phytotoxic effect or negative impact on the development of lettuce plants, measured through the width, length, and number of plant leaves. In addition to being a bioprocess that allows dehydrating waste to obtain alternative fuels, biodrying can also be a faster method than composting to obtain soil amendment from fresh organic waste, with the advantage that no water is used, which could be reflected in a lower cost of the process.
Author Contributions
Conceptualization, F.R.-M. and A.B.P.-G.; data curation, F.R.-M., M.O.F.-H. and A.B.P.-G.; formal analysis, R.M.C.-C.; funding acquisition, F.R.-M. and A.B.P.-G.; investigation, F.R.-M. and R.M.C.-C.; methodology, F.R.-M., R.M.C.-C. and A.B.P.-G.; project administration, F.R.-M. and A.B.P.-G.; resources, F.R.-M., M.O.F.-H. and A.B.P.-G.; supervision, F.R.-M. and A.B.P.-G.; validation, F.R.-M. and A.B.P.-G.; writing—original draft, R.M.C.-C. and A.B.P.-G. All authors will be informed about each step of manuscript processing, including submission, revision, revision reminder, etc., via emails from our system or the assigned Assistant Editor. All authors have read and agreed to the published version of the manuscript.
Funding
This research was funded by Secretaría de Investigación y Posgrado del Instituto Politéc-nico Nacional, grant number SIP 20161867, SIP 20241607 and SIP 20253570.
Data Availability Statement
The original contributions presented in this study are included in the article. Further inquiries can be directed to the corresponding authors.
Conflicts of Interest
The authors declare no conflicts of interest. The funders had no role in the design of this study; in the collection, analyses, or interpretation of data; in the writing of the manuscript, or in the decision to publish the results.
References
- Grilli, S.; Giordano, A.; Spagni, A. Stabilisation of biodried municipal solid waste fine fraction in landfill bioreactor. Waste Manag. 2012, 32, 1678–1684. [Google Scholar] [CrossRef] [PubMed]
- Velis, C.A.; Longhurst, P.J.; Drew, G.H.; Smith, R.; Pollard, S.J.T. Biodrying for mechanical-biological treatment of wastes: A review of process science and engineering. Bioresour. Technol. 2009, 100, 2747–2761. [Google Scholar] [CrossRef]
- Heyer, K.U.; Hupe, K.; Stegmann, R. Methane emissions from MBT landfills. Waste Manag. 2013, 33, 1853–1860. [Google Scholar] [CrossRef] [PubMed]
- Pantini, S.; Verginelli, I.; Lombardi, F.; Scheutz, C.; Kjeldsen, P. Assessment of biogas production from MBT waste under different operating conditions. Waste Manag. 2015, 43, 37–49. [Google Scholar] [CrossRef] [PubMed]
- Colomer-Mendoza, F.J.; Herrera-Prats, L.; Robles-Martínez, F.; Gallardo-Izquierdo, A.; Piña-Guzmán, A.B. Effect of airflow on biodrying of gardening wastes in reactors. J. Environ. Sci. 2013, 25, 865–872. [Google Scholar] [CrossRef]
- Mutala, M.; Ismail, O.; Ertan, D. Bio-drying of green waste with high moisture content. Process Saf. Environ. Prot. 2017, 111, 420–427. [Google Scholar]
- Orozco-Álvarez, C.; Gervacio-Hernández, A.; Moreno-Rivera, M.L.; Piña-Guzmán, B.; Robles-Martínez, F. Microbiological and physicochemical characterization during biodrying of organic solid waste. Processes 2025, 13, 78. [Google Scholar] [CrossRef]
- Mehta, C.M.; Sirari, K. Comparative study of aerobic and anaerobic composting for better understanding of organic waste management: A mini review. Plant Arch. 2018, 18, 44–48. [Google Scholar]
- Bilgin, M.; Tulun, S. Biodrying for municipal solid waste: Volume and weight reduction. Environ. Technol. 2015, 36, 1691–1697. [Google Scholar] [CrossRef]
- Jalil, N.A.; Basri, H.; Basri, A.; Abushammala, M.F.M. Biodrying for municipal solid waste under different ventilation periods. Environ. Eng. Res. 2016, 21, 145–151. [Google Scholar] [CrossRef]
- Johan, P.D.; Ahmed, O.H.; Omar, L.; Hasbullah, N.A. Phosphorus transformation in soils following co-application of charcoal and wood ash. Agronomy 2021, 11, 2010. [Google Scholar] [CrossRef]
- Gómez-Brandón, M.; Lazcano, C.; Domínguez, J. The evaluation of stability and maturity during the composting of cattle manure. Chemosphere 2008, 70, 436–444. [Google Scholar] [CrossRef]
- Román, P.; Martínez, M.M.; Pantoja, A. Manual del Compostaje del Agricultor, 3rd ed.; Organización de las Naciones Unidas para la Alimentación y la Agricultura: Santiago de Chile, Chile, 2013; pp. 154–196. [Google Scholar]
- Lee, S.M.; Radhakrishnan, R.; Kang, S.M.; Kim, J.H.; Lee, I.Y.; Moon, B.K.; Yoon, B.W.; Lee, I.J. Phytotoxic mechanisms of bur cucumber seed extracts on lettuce with special reference to analysis of chloroplast proteins, phytohormones, and nutritional elements. Ecotoxicol. Environ. Safe 2015, 122, 230–237. [Google Scholar] [CrossRef]
- U.S. Environmental Protection Agency. Seedling Emergence and Seedling Growth; OCSPP 850.4100; EPA: Washington, DC, USA, 2012. Available online: https://nepis.epa.gov/Exe/ZyNET.exe/P100IRBM.txt?ZyActionD=ZyDocument&Client=EPA&Index=2011%20Thru%202015&Docs=&Query=&Time=&EndTime=&SearchMethod=1&TocRestrict=n&Toc=&TocEntry=&QField=&QFieldYear=&QFieldMonth=&QFieldDay=&UseQField=&IntQFieldOp=0&ExtQFieldOp=0&XmlQuery=&File=D%3A%5CZYFILES%5CINDEX%20DATA%5C11THRU15%5CTXT%5C00000010%5CP100IRBM.txt&User=ANONYMOUS&Password=anonymous&SortMethod=h%7C-&MaximumDocuments=1&FuzzyDegree=0&ImageQuality=r75g8/r75g8/x150y150g16/i425&Display=hpfr&DefSeekPage=&SearchBack=ZyActionL&Back=ZyActionS&BackDesc=Results%20page&MaximumPages=1&ZyEntry=1 (accessed on 2 July 2025).
- Finch-Savage, W.E.; Bassel, G.W. Seed vigour and crop establishment: Extending performance beyond adaptation. J. Exp. Bot. 2016, 67, 567–591. [Google Scholar] [CrossRef]
- DOF. NORMA Oficial Mexicana NOM-021-RECNAT-2000; DOF: Mexico City, Mexico, 2002. [Google Scholar]
- Razo, I.; Carrizales, L.; Castro, J.; Díaz-Barriga, F.; Monroy, M. Arsenic and heavy metal pollution of soil, water and sediments in a semi-arid climate mining area in Mexico. Water Air Soil Pollut. 2004, 152, 129–152. [Google Scholar] [CrossRef]
- Sobrero, M.C.; Ronco, A. Ensayo de Toxicidad Aguda con semillas de lechuga (Lactuca sativa L). In Ensayos Toxicológicos y Métodos de Evaluación de Calidad de Aguas, 2nd ed.; IDRC-IMTA, Ed.; IDRC: Ottawa, ON, Canada, 2004; Chapter 4; pp. 71–79. [Google Scholar]
- Silva, A.; Ponce de León, J.; García, F.; Durán, A. Aspectos metodológicos en la determinación de la capacidad de retener agua en los suelos del Uruguay. Bol. Investig. 1988, 10, 567–591. [Google Scholar]
- Kalra, Y.P. Handbook of Reference Methods for Plant Analysis, 3rd ed.; CRC Press: Boca Raton, FL, USA, 1998; pp. 129–156. [Google Scholar]
- Aciego-Pietri, J.C.; Brookes, P.C. Nitrogen mineralization along a pH gradient of a silty loam UK soil. Soil Biol. Biochem. 2008, 40, 797–802. [Google Scholar] [CrossRef]
- Mengel, K.; Kirkby, E.A. Principles of Plant Nutrition, 4th ed.; International Potash Institute (IPI): Berne-Worblaufen, Switzerland, 1987; pp. 567–591. [Google Scholar]
- Amuah, E.E.Y.; Fei-Baffoe, B.; Sackey, L.N.A.; Douti, N.B.; Kazapoe, R.W. A review of the principles of composting: Under-standing the processes, methods, merits, and demerits. Org. Agric. 2022, 12, 547–562. [Google Scholar] [CrossRef]
- DOF. NORMA Ambiental NADF-020-AMBT-2011; DOF: Mexico City, Mexico, 2012. [Google Scholar]
- Tom, A.P.; Pawels, R.; Haridas, A. Biodrying process: A sustainable technology for treatment of municipal solid waste with high moisture content. Waste Manag. 2016, 49, 64–72. [Google Scholar] [CrossRef] [PubMed]
- Alzate, L.M.; Cardona, B.L.; Hincapié, S.; Londoño-Londoño, J.; Jiménez-Cartagena, C. La deshidratación como una alternativa en el aprovechamiento de residuos de repollo y lechuga para su utilización en alimento animal. J. Agric. Anim. Sci. 2015, 4, 34–48. [Google Scholar]
- Femenia, A.; Bestard, M.J.; Sanjuan, N.; Roselló, C.; Mulet, A. Effect of rehydration temperature on the cell wall components of broccoli (Brassica oleracea L. var. itálica) plants tissues. J. Food Eng. 2000, 46, 157–163. [Google Scholar]
- Garau, M.C.; Simal, S.; Roselló, C.; Femenia, A. Effect of air-drying temperature on physico-chemical properties of dietary fibre and antioxidant capacity of orange (Citrus aurantium v. Canoneta) by-products. J. Food Chem. 2007, 104, 1014–1024. [Google Scholar] [CrossRef]
- Ravindran, B.; Lee, S.R.; Chang, S.W.; Nguyen, D.D.; Chung, W.J.; Balasubramanian, B.; Mupambwa, H.A.; Arasu, M.V.; Al-Dhabi, N.A.; Sekaran, G. Positive effects of compost and vermicompost produced from tannery waste animal fleshing on the growth and yield of commercial crop-tomato (Lycopersicon esculentum L.) plant. J. Environ. Manag. 2019, 234, 154–158. [Google Scholar] [CrossRef]
- Arancon, N.Q.; Edwards, C.A.; Babenko, A.; Cannon, J.; Galvis, P.; Metzger, J.D. Influences of vermicomposts, produced by earthworms and microorganisms from cattle manure, food waste and paper waste, on the germination, growth and flowering of petunias in the greenhouse. Appl. Soil Ecol. 2008, 39, 91–99. [Google Scholar] [CrossRef]
- Barbazán, M. Análisis de Plantas y Síntomas Visuales de Deficiencia de Nutrientes, 3rd ed.; Universidad de la República: Montevideo, Uruguay, 1998; pp. 154–196. [Google Scholar]
- Casas, A.; Casas, E. Análisis de Suelo-Agua-Planta y su Aplicación en la Nutrición de Cultivos Hortícolas en la Zona Peninsular, 2nd ed.; Caja Rural de Almería: Almería, Spain, 1999; 249p. [Google Scholar]
- Stevenson, F.J.; Cole, M.A. The phosphorous cycle. In Cycles of Soil: Carbon, Nitrogen, Phosphorus, Sulfur, Micronutrients, 2nd ed.; John Wiley and Sons: New York, NY, USA, 1999; pp. 279–329. [Google Scholar]
- Dourado, N.M.; Camargo, N.A.A.; Souza, S.D.; Araujo, L.W. Biotechnological and agronomic potential of endophytic pink-pigmented methylotrophic Methylobacterium spp. Biomed. Res. Int. 2015, 39, 1–9. [Google Scholar]
- Xu, D.; Raza, W.; Yu, G.; Zhao, Q.; Shen, Q.; Huang, Q. Phytotoxicity analysis of extracts from compost and their ability to inhibit soil-borne pathogenic fungi and reduce root-knot nematodes. World J. Microb. Biot. 2012, 28, 1193–1201. [Google Scholar] [CrossRef]
- Wu, L.; Ma, L.Q.; Martínez, G.A. Comparison of methods for evaluating stability and maturity of biosolids compost. J. Environ. Qual. 2000, 29, 424–429. [Google Scholar] [CrossRef]
- López-Diazguerrero, N.E.; González, P.V.Y.; Hernández-Bautista, R.J.; Alarcón-Aguilar, A.; Luna-López, A.; Königsberg, F.M. Hormésis: Lo que no mata, fortalece. Gac. Médica México 2013, 149, 438–447. [Google Scholar]
- Brotons, J.M.; Manera, J.; Conesa, A.; Porras, I. A fuzzy approach to the loss of green color in lemon (Citrus lemon L. Burns. f) rind during ripening. Comput. Electron. Agric. 2013, 98, 222–232. [Google Scholar] [CrossRef]
- Cambróm-Sandoval, V.H.; España-Boquera, M.L.; Sánchez-Vargasm, N.; Sáenz-Romero, C.; Vargas-Hernández, J.J.; Herrerías-Diego, Y. Producción de clorofila en Pinus pseudostrobus en etapas juveniles bajo diferentes ambientes de desarrollo. Rev. Chapingo Ser. Cienc. For. Ambiente 2011, 17, 253–260. [Google Scholar]
- Da Silva, J.M.; Ongarelli, M.G.; Saavedra, A.J.; Sasaki, F.F.; Kluge, R.A. Métodos de determinaçao de clorofila em alface e cebolinha minimamente processadas. Rev. Iberoam. Tecnol. Postcosecha 2007, 8, 53–59. [Google Scholar]
- Ali, M.; Griffiths, A.J.; Williams, K.P.; Jones, D.L. Evaluating the growth characteristics of lettuce in vermicompost and green waste compost. Eur. J. Soil Biol. 2007, 43, 316–319. [Google Scholar] [CrossRef]
- Valdez-Pérez, M.A.; Fernández-Luqueño, F.; Franco-Hernandez, O.; Flores Cotera, L.B.; Dendooven, L. Cultivation of beans (Phaseolus vulgaris L.) in limed or unlimed wastewater sludge, vermicompost or inorganic amended soil. Sci. Hortic. 2011, 28, 380–387. [Google Scholar] [CrossRef]
- Argenta, G.; Ferreira, P.; Bortolini, C.; Forsthofer, E.L.; Strieder, M.L. Relação da leitura do colorofilometrocom os teores de clorofila extraível e de nitrogênio na folha de milho. Rev. Bras. Fisiol. Veg. 2001, 13, 134–139. [Google Scholar] [CrossRef]
- Zotarelli, L.; García, C.; Piccinin, J.L.; Urquiaga, S.; Boddey, R.M.; Torres, E.; Rodrigues, B.J. Calibração do medidor de clorofila minolta SPAD 502 para avaliação du conteúdo de nitrogênio do milho. Pesqui. Agropecuária Bras. 2003, 38, 1117–1122. [Google Scholar] [CrossRef]
Disclaimer/Publisher’s Note: The statements, opinions and data contained in all publications are solely those of the individual author(s) and contributor(s) and not of MDPI and/or the editor(s). MDPI and/or the editor(s) disclaim responsibility for any injury to people or property resulting from any ideas, methods, instructions or products referred to in the content. |
© 2025 by the authors. Licensee MDPI, Basel, Switzerland. This article is an open access article distributed under the terms and conditions of the Creative Commons Attribution (CC BY) license (https://creativecommons.org/licenses/by/4.0/).






