Abstract
The presented research examined the impact of using biodiesel as a fuel for existing diesel engines during the transition to the broader adoption of electric vehicles powered by renewable energy or through integrated hybrid drive systems. The authors considered previous research on this topic, which is demonstrated by a literature review. This paper will utilize the findings to further explore the potential of optimizing existing engines by using biodiesel and thus propose their continued use in the transition period as one of the clean fuels. This paper outlines the standards that define fuel quality and presents a test bench equipped with an experimental engine and specialized equipment for laboratory examination, enabling the measurement of emissions and the determination of cylinder pressure. To ensure the repeatability of the experimental conditions and facilitate future comparison of the obtained results, the engine examination was conducted according to the standard ESC 13-mode test. The examination process confirmed a significant reduction in particulate matter emissions (on average 40%) but, simultaneously, an increase in nitrogen oxide emissions (on average 25%), whose level, according to data from the literature, depends on the type of raw materials used for biodiesel production. Brake thermal efficiency is higher when operating with biodiesel (on average 1.5%). Still, it was concluded that the use of biodiesel in existing diesel engines is feasible only if the engines are equipped with variable systems for automatically adjusting the compression ratio, fuel injection time, valve timing, and so on. The outcomes from the examination conducted can be further processed by applying statistical methods and represent an essential database for further research in this scientific area.
1. Introduction
With the daily engagement of vehicles in transportation, a person’s environment is significantly compromised. One way to reduce emissions and preserve fuel reserves is to use biodiesel as a carbon-neutral fuel [1,2].
To better link the use of biodiesel to the broader energy transition, several key aspects can be highlighted:
- Sustainable energy: Biodiesel is a renewable energy source that reduces dependence on fossil fuels. Its use contributes to reducing greenhouse gas emissions, which is crucial in the fight against climate change;
- Hybrid systems: In hybrid systems, biodiesel can be used in combination with other energy sources, such as solar or wind power. This integration allows for a more efficient use of resources and a more stable energy grid;
- Energy security: The use of biodiesel can increase energy security by reducing dependence on imported fuels, which is particularly important for countries striving for energy independence;
- Technological development: The development of technologies for the production and use of biodiesel can stimulate innovation in the energy sector, contributing to a broader transition to sustainable energy sources;
These points can further illuminate the role of biodiesel in the broader framework of the energy transition and its importance in hybrid systems.
Regarding vehicles with compression ignition (so-called diesel) engines, issues related to nitrogen oxide (NOx) and particulate matter (PM) emissions are addressed in several ways. One option is to blend biodiesel or a biodiesel mixture with basic diesel fuel at varying rates. Biodiesel is an alternative fuel for diesel engines, with both advantages and disadvantages. The use of biodiesel offers environmental benefits due to its production from renewable energy sources, such as vegetable oils, and lower emissions of toxic particles compared to conventional diesel fuel. The use of biodiesel reduces dependence on fossil fuels, thereby contributing to energy security and the preservation of fuel reserves.
The use of biodiesel can contribute to achieving carbon neutrality due to its production and utilization methods. Biodiesel is produced from renewable sources, such as vegetable oils or animal fats, which means that CO2 is absorbed from the atmosphere as the plants grow. When biodiesel is burned, CO2 is released; however, the process can be considered “neutral” because all the CO2 released during combustion has been previously absorbed by the plants during their growth. Additionally, the use of biodiesel can reduce emissions of other harmful gases, such as particulate matter (PM), nitrogen oxides (NOx), and sulfur oxides (SOx), compared to fossil fuels. In addition, biodiesel can contribute to resource sustainability, as it can be produced locally, thereby reducing the need for transportation and, consequently, emissions from transportation.
From the aspect of application in internal combustion (IC) engines operating with the diesel combustion process, biodiesel can be used in pure form (B100) or in mixtures with base diesel fuel (e.g., B20, which means 20% biodiesel and 80% diesel). Higher concentrations of biodiesel in diesel fuel may necessitate adjustments to the IC engine and fuel supply equipment. At concentrations up to B20, no significant changes to the equipment are necessary. When applying biodiesel, the critical advantage is that the existing pumping station infrastructure can be used [3,4]. In this case, when using fuel with physical–chemical properties that differ from those of base diesel fuel, the problem is solved by applying variable systems to the engine, such as Variable Compression Ratio (VCR) and Variable Valve Train (VVT), among others [5,6].
From the aspect of production methods, biomass-based fuels are divided into biodiesel (Fatty Acid Methyl Ester, FAME) and renewable diesel fuel (hydrocarbon-based renewable fuels, such as hydrogenated vegetable oil (HVO)). Sources for the production of vegetable oils and animal fats include soybeans, palm, sunflower, coconut, rapeseed, and used cooking oil (UCO), as well as several non-edible oils, such as those derived from Jatropha seeds, among others [7,8]. Essentially, FAME for biodiesel production is obtained from greases, animal fats, and vegetable oils through a chemical conversion process called trans esterification, in the presence of a catalyst (sodium hydroxide).
The use of biodiesel, as mentioned earlier, is one potential option for reducing exhaust emissions from mobile systems in traffic. The research presented in this manuscript aims to reduce emissions by specific regulations and standards. The manuscript contains research studies on the influence of biodiesel use instead of conventional diesel fuel on PM emissions and secondary harmful matter in the exhaust gases of a single-cylinder experimental diesel engine.
The possibility of using biofuels creates a perspective on production that respects the principles of sustainable development.
In the era of changing regulations in the field of environmental protection, each fuel, in addition to its efficiency, should also be characterized by its ecological nature and reduced carbon dioxide emissions. Biofuels remain a desirable energy carrier for reducing emission levels, creating further opportunities to expand theoretical and practical knowledge of their industrial use.
2. Literature Review
A diesel engine, known for its high thermal efficiency and well-torque characteristics, remains a dominant propulsion system in various sectors, including transportation, agriculture, and power generation [9]. Nevertheless, its reliance on fossil-based diesel fuel contributes significantly to the production of greenhouse gas (GHG) emissions and air pollution, raising serious environmental and health concerns [10]. Biodiesel produced from specific renewable sources, such as vegetable oils and animal fats, has emerged as a promising alternative fuel due to its biodegradability, renewability, and potential to reduce the production of specific greenhouse gas emissions [11]. This literature review aims to synthesize existing research, along with EA standards relevant to this topic. This research focusses on the analytical characterization of thermal efficiency and emissions in diesel engines operating on both conventional diesel and unconventional (alternative) biodiesel fuels, with an emphasis on key findings, comparative analyses, and remaining challenges.
Global standards for each continent and individual countries specify the characteristics of diesel fuel. In the EU, several standards define the specification of biodiesel fuel [12,13]:
- EN 14214 specifications for FAME biodiesel fuel. If it meets the specifications of this standard, biodiesel fuel can be used in a modified diesel engine as B100 or in any other lower concentration;
- EN 590 standards include the EU diesel fuel specifications, which are also applicable to biodiesel fuel blends with a FAME concentration of no more than 7%;
- EN 16734 refers to diesel fuel with a concentration of max 10% FAME;
- EN 16709 refers to diesel with a concentration of max 14–20% or 24–30% FAME.
Regarding the standard EN 14214, the general requirements for biodiesel fuels are systematized within (Table 1) [12].
Table 1.
General requirements for biodiesel fuel quality according to the EN 14214 standard [12].
Due to the nature of the raw materials used in biodiesel production, as well as the production process, handling, and various factors, the quality of biodiesel fuel can be influenced. From that aspect, applicable general fuel quality specifications are shown in (Table 1).
Apart from the EU standards mentioned above, the subsequent works have also addressed the issue under investigation. As for the fundamental principles of diesel engine operation and combustion; for example, Stone (1999) and Turns (2012) address interesting works [14,15]. Stone discussed the fundamental principles of diesel engine operation as a crucial aspect for analyzing the impact of fuel properties on performance and emissions. The abovementioned literature extensively covers the four-stroke cycle, the process of compression ignition, and the complex physiochemical processes involved in diesel fuel combustion [14]. To this end, key attributes, including fuel injection, atomization, vaporization, mixture formation, ignition delay, combustion duration, and heat release rates, all of which are affected by fuel characteristics such as viscosity, density, cetane number, and heating value, are described in [15].
Moreover, numerous studies have analytically and experimentally investigated the effect of biodiesel on the thermal efficiency of diesel engines [16,17,18,19,20,21]. Whereas Canakci (2007) claims that biodiesel generally has a lower heating value compared to conventional diesel [16], Ramadhas et al. (2004) state that such lower energy content per unit mass can potentially lead to a slight reduction in brake thermal efficiency if the fuel injection system is not adjusted to deliver an equivalent energy input [17]. On the other hand, the inherent oxygen content in biodiesel (typically 10–12%) can promote complete combustion, potentially leading to improved combustion efficiency and thus offsetting some of the efficiency loss due to lower heating value under certain operating conditions, as discussed in [18], and in another study [15], analytical models incorporating detailed chemical kinetics are used to simulate the impact of oxygenated fuels on combustion efficiency. In addition, Senthil Kumar et al. (2003) conclude that biodiesel typically exhibits higher viscosity and density compared to diesel, which can influence fuel injection characteristics such as spray atomization and penetration [19], and optimized fuel injection strategies and engine parameters are often required to mitigate any negative impacts on combustion and efficiency, a topic analyzed in detail in [20]. Some studies, for instance [21], suggest that minor engine modifications, such as adjusting the injection timing and pressure, can optimize the combustion of biodiesel and achieve comparable or even slightly improved thermal efficiency compared to diesel in specific engine designs and operating conditions.
A significant number of sources from the literature focus on topics such as the effects of biodiesel on various exhaust emissions from diesel engines, for example [22,23,24,25,26,27,28]. As far as the issue of PM is concerned, while McCormick et al. (2001) deal with the significant reduction in PM emissions in general when using biodiesel blends [22]; and Agarwal (2007) focuses on the oxygen content in biodiesel, which promotes more complete combustion, leading to lower formation of soot precursors and carbonaceous particles [18]. On the other hand, biodiesel combustion often results in lower carbon monoxide (CO) and unburned hydrocarbon (HC) emissions due to the complete combustion facilitated by its high oxygen content, as elaborated, for instance, in [23]. Joshi et al. (2008) and Ozsezen et al. (2009) state that the effect of biodiesel on NOx emissions is more comprehensive and often depends on engine operating conditions, biodiesel feedstock, and blend ratio [24,25]. Furthermore, Knothe et al. (2006) conclude that biodiesel, being processed from non-sulfur sources, inherently contains a negligible amount of sulfur; therefore, the use of biodiesel or biodiesel blends notably reduces sulfur dioxide (SO2) and particulate sulfate emissions, which are primary contributors toward acid rain and health (respiratory) issues [26]. Last but not least, whereas the tailpipe emissions of CO2 from biodiesel combustion are similar to those from diesel, biodiesel is regarded as a renewable fuel, and its overall GHG footprint can be substantially lower on a life-cycle basis, considering the CO2 absorbed by the feedstock during its growth [27,28]. Life-cycle assessment (LCA) studies provide a comprehensive analysis of the GHG emissions associated with various biodiesel production pathways.
In addition to the previous considerations, comparative analysis, analytical, and computational models also play a crucial role, particularly in understanding and predicting the performance and emissions characteristics of diesel engines fueled with biodiesel [29,30,31]. These models can range from simplified thermodynamic cycle analyses to complex, multidimensional computational fluid dynamics (CFD) simulations that encompass comprehensive combustion chemistry and emission creation mechanisms [29].
Despite extensive research on using biodiesel in diesel engines, multiple challenges and ideas for further research remain [32,33,34]:
- Developing efficient strategies to mitigate NOx emissions from biodiesel combustion without deterioration of other performance and emission-related benefits [24].
- Research on fuel additives, blending strategies, and chemical modification of biodiesel to improve cold-flow characteristics [32].
- Further investigation is needed regarding the long-term effects of biodiesel on engine materials, seals, and fuel-system components to ensure engine durability and prevent operational issues [33].
- Further development and validation of sophisticated analytical models to accurately predict and optimize the performance and emission-related parameters of diesel engines fueled with various biodiesel blends [30].
- Research on the performance and emission-related characteristics of biodiesel processed from novel and sustainable feedstocks (such as algae, waste cooking oil, and so on) and produced using advanced technologies for diversifying biodiesel sources and improving its environmental and economic viability [34].
Following the literature review elaborated above, the analytical characterization of thermal efficiency and emissions from diesel engines fueled with diesel and biodiesel has been substantially studied. It reveals that biodiesel offers notable environmental advantages, primarily in reducing PM, CO, HC, and SOx emissions, and contributes to a reduction in the GHG footprint. While a slight decrease in thermal efficiency and potential increases in NOx emissions have both been observed in some areas, optimized engine parameters, advanced combustion technologies, and fuel modifications can mitigate these deficiencies. Further research on NOx reduction, cold-flow properties, engine durability, advanced modelling, and the introduction of novel biodiesel feedstocks is crucial for facilitating the wider utilization of biodiesel as a sustainable alternative fuel in diesel engines and contributing to a more ecological, or so-called “greener”, transportation and energy sector.
The above facts indicate the necessity of applying variable systems to engines. As for “variable systems”, their importance lies in the ability to adjust engine operating parameters, such as compression ratio and fuel-injection timing, to optimize engine efficiency. These adaptive features enable us to reduce NOx emissions, which often increase when alternative fuels, such as biodiesel, are used. Understanding these trade-offs helps in developing engines that are not only efficient but also environmentally friendly. The influence of compression ratio value and fuel injection timing is the subject of other research performed by the authors [5,6].
To compare the results, an experimental apparatus was designed by other researchers to repeat the experiment, testing the engine characteristics according to the standard ESC 13-mode test. The results are characterized to determine the advantages of using biodiesel, primarily in terms of reducing exhaust emissions. The obtained results should inform potential changes to the design of the diesel engine and the fuel supply system to adapt them to work with biodiesel.
This conducted study is based on the analysis of thermal parameters during the combustion of various fuels. A computer tool was used to analyze the actual course of the processes.
A series of simulation tests were performed using pure diesel fuel and its mixtures. The obtained data served as a reference for the influence of the mixture composition on the combustion process and thermal efficiency.
A novelty of this research lies in the knowledge supplementation on the fuel characteristics and their impact on the processes occurring in the engine during combustion. Currently, the tightening of requirements for reducing the emission of toxic compounds requires a more detailed understanding of the mechanisms of all chemical and physical processes that interact and determine the direction of the motor vehicle design development.
3. Materials and Methods
3.1. Test Rig with Experimental Single-Cylinder Diesel Engine
The application of biodiesel was investigated under controlled laboratory conditions, using a test rig equipped with a single-cylinder, air-cooled diesel engine (Figure 1).
Figure 1.
Experiment-flow scheme inside the test rig for diesel engines.
The primary technical data about the investigated single-cylinder diesel IC engine are shown in (Table 2).
Table 2.
Experimental engine specifications.
The tests were aimed solely at partially determining the influence of biodiesel on the engine’s performance characteristics. The influence of the combustion chamber-shape design on the piston head (piston bowl geometry), as well as changes in compression ratio (CR), injection angle, heat exchange, etc., is the subject of other studies [5,6].
During the examination, standardized experimental research was conducted using biodiesel and standard diesel fuel. The physical and chemical characteristics of both used fuels are presented in (Table 3). In parallel, the same table displays the attributes of classic diesel fuel with the trademark D2. The literature partially presents the results of testing the same engine with conventional diesel fuel D2 [5,6].
Table 3.
Experimental fuels characteristics.
Compared to conventional diesel fuel, biodiesel has a higher cetane number (CN) of up to 2% and specific density but a lower heating value (LHV), as well as lower sulfur and carbon content. The experimental biodiesel has a lower kinematic viscosity than conventional diesel fuel, which is uncommon. Therefore, the use of biodiesel has also addressed the issues of fluidity and filterability at low ambient temperatures [35,36].
3.2. Specification of Measuring Equipment and Experimental Engine Test Regime
The specification of the measuring equipment used for experimental investigations according to the scheme in Figure 1 is shown in Table 4.
Table 4.
Experimental measuring-equipment specification.
Equipment uncertainty may be related to the experimental procedure on the test rig and operating conditions, including, for example, the engine loading system with a load simulation dynamometer, the use of different fuels in variable proportions, and the purity of the tested fuel (total hydrocarbon content and particulate matter). Thermal efficiency tests in the future must be based on methods for controlling the actual emission of harmful components under established operating conditions.
Before the examination began, the pressure transducer and measuring equipment were calibrated according to the recommended methods specified by the manufacturers [5,6].
The measuring equipment used to indicate cylinder pressure (IMEP, indicating mean in-cylinder pressure) (Figure 2), sample exhaust emissions from the experimental engine, and transfer and process data originates from AVL List GmbH, Graz, Austria.
Figure 2.
(a) Position of the pressure transducer with cooling tube and wiring in the cylinder head, near fuel injector. (b) Engine operating regimes defined according to the ESC 13-mode test.
Tests of the experimental engine were performed according to operating modes defined as per the conditions of the ESC 13-mode European Stationary Cycle for engines used in off-road machinery (Figure 2) [5,37].
Cylinder pressure indication and emission measurement are implemented at all 13 points (modes) by the ESC 13-mode requirements. In each test mode, the experimental engine operated in defined time intervals: exactly 4 min in the first, and 2 min in all others. Changes and the establishment of stable engine speed and load were realized simultaneously in each mode within the first 20 s (during engine heating). The engine speed was maintained with a prescribed accuracy of ±50 rpm, while the torque value was kept in the interval of ±2% of the maximum torque at the established test speed.
Based on the engine speed vs. power and torque diagram received from the maker, reference data were taken relating to nominal power according to DIN 6270, with the fuel injection pump blocked: Pe_nom = 9 kW under ne_nom = 3000 rpm.
The engine speeds in appropriate modes are calculated by using ESC forms [38,39]:
- The maximum engine speed, defined as ne_nom_30, is determined by calculating 70% of the declared nominal power value (the power drops by 30% compared to the nominal value): Pe = 0.7 × Pe_nom = 4.2 kW and ne_nom_30 = 3050 rpm.
- The low engine speed, defined as ne_nom_50, is determined by calculating 50% of the declared nominal power value (the power drops by 50% compared to the nominal value): Pe = 0.5 × Pe_nom = 3.0 kW and ne_nom_50 = 1600 rpm.
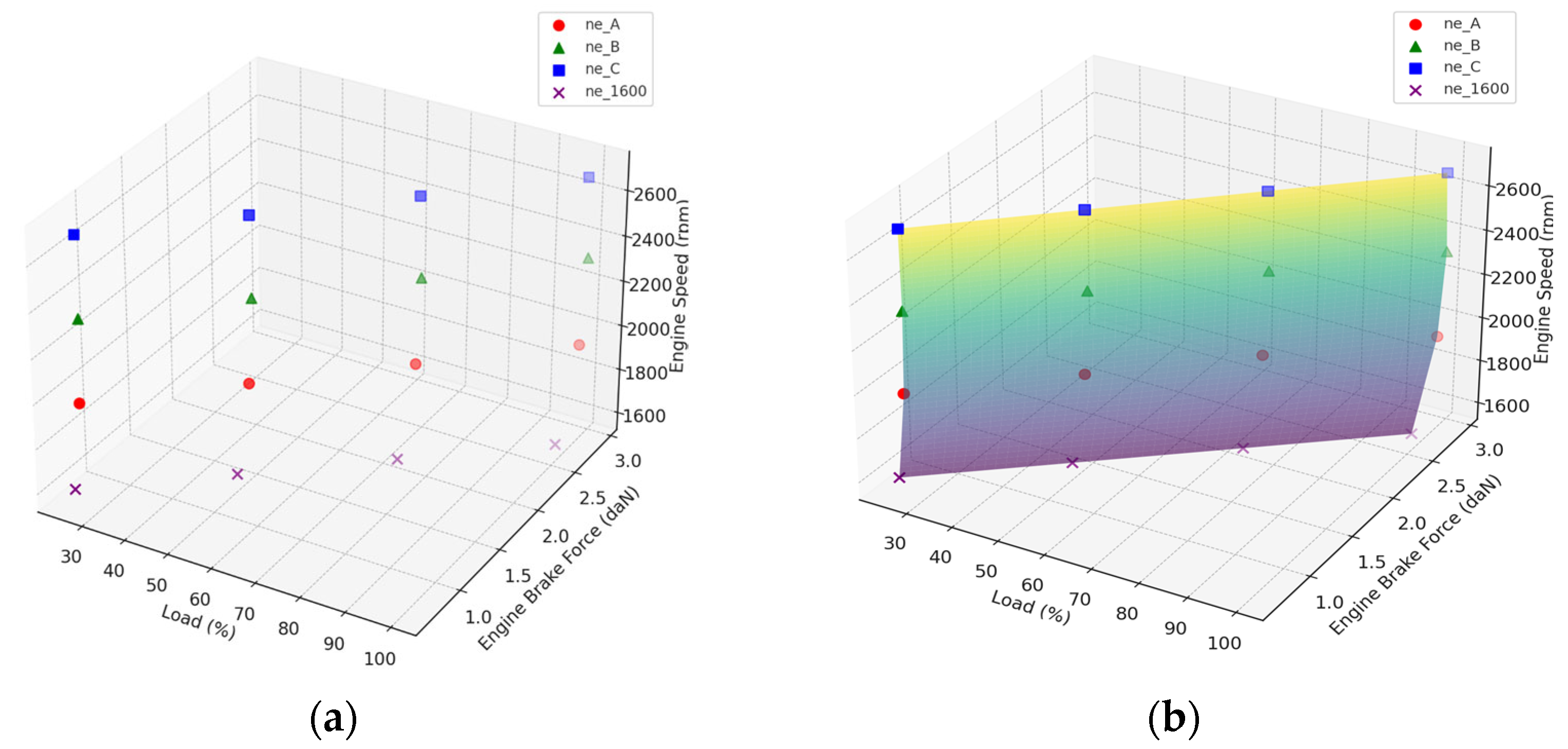
- The engine is tested at speeds corresponding to points A, B, and C, as shown in the diagrams (Figure 3 and Figure 4), where these speeds are calculated using the following three formulas:
Figure 3. (a) Three-dimensional plot of engine brake force vs. load and speed. (b) Interpolated surface of engine brake force.
Figure 4. Changes in (a) PM and (b) NOx emission levels under standard ESC 13-mode cycle with diesel and biodiesel fuel and under constant SOI = 18.5 cad BTDC and CR = 17.5:1.
ne_A = ne_nom_30 + 0.25 × (ne_nom_50 − ne_nom_30) = 1960 rpm,
ne_B = ne_nom_30 + 0.50 × (ne_nom_50 − ne_nom_30) = 2325 rpm,
ne_C = ne_nom_30 + 0.75 × (ne_nom_50 − ne_nom_30) = 2690 rpm.
The engine speed under idle is ne_idle = 1000 rpm.
Power values at defined test speeds were taken based on the engine’s external universal speed characteristic, as shown in (Table 5):
Table 5.
Power values in defined test engine speeds.
In the concrete–specific case, when the arm length between the engine brake and the experimental engine on the test bench is R = 0.716 m, for a given power (kW) and engine speed (rpm), the engine brake force is calculated using the following equation:
Fk = Pe × 30 × 1000 × (R × π × ne × 9.806)−1, (daN)
The values of the engine brake forces, which are calculated according to the previous formula with which the engine should be loaded in the defined test modes, i.e., the speeds according to the ESC 13-mode test, are shown in Table 6.
Table 6.
Forces on the engine brake at test points (modes).
In the stable engine regimes (ESC modes), emissions were measured in each mode. As already explained, the indicating diagram was recorded, and the corresponding engine temperatures were also measured. Within the AVL indicating software, a separate file was created for each test, storing the raw data files (a total of 231 files and 213 test modes). Other calculated and read test data were entered into the appropriate table using Microsoft Excel, from which they were later analyzed. For comparison with standard values, the measured raw exhaust emissions were converted into (g∙kW−1∙h−1) using the appropriate equations, as presented in [6].
Before each test and measurement, the absolute temperature of the air inside the intake manifold, Ta (K), as well as the atmospheric air pressure inside the test laboratory, Ps (kPa), was measured, and the specific coefficient (Fcoef.) was calculated. For naturally aspirated diesel engines, like the experimental diesel engine, (Fcoef.) values are calculated using the following formula [6]:
Fcoef. = 99 × (PS)−1 × [Ta × (298)−1]0.7, (-)
Every experiment, as well as the laboratory examinations, is valid only if the following condition is satisfied:
0.96 ≤ Fcoef. ≤ 1.06
First, before the start of the laboratory examination, steady-state conditions were achieved in mode (1) at a 15% load or 0.015 MPa brake mean adequate pressure (BMEP) with a fuel mass of 5 mg per cycle. In mode (1), at idle speed, the engine speed is 1000 rpm (Figure 2).
The calculated engine speeds at modes A, B, and C are 1960, 2325, and 2690 rpm, respectively, according to Equations (1)–(3).
After idling, the engine was tested in the following 12 modes (Figure 3):
- Under 25% load, which corresponds to BMEP = 0.14 MPa with 9 mg/cycle;
- Under 50% load, which corresponds to BMEP = 0.28 MPa with 12 mg/cycle;
- Under 75% load, which corresponds to BMEP = 0.42 MPa with 16 mg/cycle;
- Under 100% load, which corresponds to BMEP = 0.56 MPa with 20 mg/cycle.
The exhaust-gas emission samples were converted to mass flow rates, and then their specific emissions were calculated for each mode. Particulate-matter emissions were calculated using standardized formulas, using the BOSCH method for measuring opacity or smoke [6,40].
3.3. Indicators Characterizing Engine Operation
Engine performance indicators are the indicated parameters, mechanical losses, and effective parameters. There are specific dependencies between the effective and indicated parameters of the engine used to compare experimental engine characteristics in both cases during work with diesel and biodiesel. The indicated parameters of the IC engines are shown in Table 7 and Equations (7)–(10) [41,42]:
Table 7.
Engine’s indicated parameters.
The engine’s indicated power cannot be fully utilized due to mechanical losses (Pm) inside IC engines, primarily due to friction (Pf), where the other part of the power is used to drive auxiliary devices (Paux), such as steering pumps, compressors, fuel pump drives, etc. Table 8 presents the parameters for evaluating the mechanical losses of the IC engine, as outlined in Equations (11) and (12) [41,42].
Table 8.
Engine’s mechanical loss parameters.
Mechanical losses of the engine are evaluated by the mechanical engine efficiency, which represents the ratio of the power (or work) taken from the crankshaft to drive the working machine (adequate power) and the indicative power (or work). The evaluation of the IC engine as a whole is carried out using effective parameters, which consider internal losses. Based on these, the quality of the working process in the cylinder, as well as the quality of the IC engine construction itself, is determined.
The engine’s adequate power is the part of the engine’s indicated power (reduced by a part of mechanical losses) that can be used to drive the working machine or transmission on the vehicle or second mobile system: (Table 9), Equations (13)–(17) [41,42].
Table 9.
Engine’s effective parameters.
Table 10 presents typical values for effective engine parameters at the nominal operating regime without supercharging (turbine), as used in the construction design of the experimental diesel engine.
Table 10.
Values of effective parameters at nominal engine operating regime.
The energy obtained from fuel combustion in a diesel engine depends on the amount of fuel injected per work cycle; the fuel calorific value, Hd; and the engine’s thermal efficiency, ηe. The total engine braking power (brake power) is expressed by Formula (14) (Table 9).
The values of individual components of the tested fuel mixtures are of significant importance. The software environment and the research tool used for the simulations and mathematical studies may, to some extent, affect the deviations in the results. It was also observed that, during simulation studies, the calculation block for the emission of the tested engine, as determined by the applicable tests, influences signal processing, model building, and mechanical systems. In the future, further simulations will be conducted within the scope of the data, taking into account the assumed variability of the mathematical model’s input parameters.
4. Results
4.1. Diesel Engine Emissions When Processing Diesel and Biodiesel Fuel
The results of PM and NOx emission measurements in different ESC cycle modes, i.e., at certain engine speeds and loads, are shown in Figure 4, in parallel, when operating with diesel and biodiesel fuel. The tests were performed at the factory SOI = 18.5 cad BTDC and also at a constant CR = 17.5:1 value.
In this regard, the research topic is the influence of fuel type on emissions and other characteristics of experimental diesel engines. The influence of changes in CR, SOI, fuel injection pressure, and air vortex due to changes in the shape of the combustion chamber in the piston head (piston bowl volume) is the subject of another study by the author [6].
No other changes were made to the experimental engine compared to the factory version, except for the modified and adapted fuel supply, loading, and exhaust systems, which facilitated easy fuel changes, engine loading, and emission sampling.
Under the same conditions, sampling of raw exhaust products was performed, and the emissions of CO and HC in the exhaust gases were determined (Figure 5).
Figure 5.
Changes in (a) CO and (b) HC emissions under standard ESC 13-mode cycle with diesel and biodiesel fuel and constant SOI = 18.5 cad BTDC and CR = 17.5:1.
To more precisely explain the mechanism of emission of individual components in exhaust gases, Figure 6 shows the values and the change in the maximum temperature in the cylinder for each ESC cycle mode and both fuels.
Figure 6.
Changes in the maximum temperature in the cylinder under standard ESC 13-mode cycle with diesel and biodiesel fuel and constant SOI = 18.5 cad BTDC and CR = 17.5:1.
The particulate matter emission of the experimental diesel engine, as measured by the ESC 13-mode test, is lower in all modes: on average, it is reduced by 40–45% (Figure 4). In modes 8 and 10 at full load and higher engine speeds (Table 3), there was a significant increase in PM emissions, which were reduced by approximately 40% and 50%, respectively, when operating with biodiesel (Figure 4). Generally, at full load, due to the rich air–fuel ratio mixture, diesel engines emit more PM when running on conventional diesel fuel. When operating with biodiesel, partly due to the higher oxygen content in the fuel and the higher cylinder temperature (Figure 6), PM emission values are lower. At high engine speeds, in modes 11, 12, and 13, a constant decrease in PM emissions was observed when operating with biodiesel fuel, with differences in emission levels of approximately 50% and 70% compared to operating the engine on conventional diesel fuel.
In this case, the finished diffusive combustion continued because the temperature was higher, and the air–biodiesel mixture was better during the fuel pre-mixing period in the cylinder. This resulted in lower smoke and PM emissions. Similar results and reasons are listed in other research papers and results [43,44]. When it comes to NOx emissions, the results obtained show higher emissions when operating with biodiesel fuel in all test modes (Figure 5). The average difference in NOx emission levels when operating with diesel and biodiesel fuel is about 26%. Similar results were obtained by other researchers when testing diesel engines with base diesel fuel blended in various proportions with biodiesel [45].
The primary cause of higher NOx emissions is the higher cylinder temperature (Figure 5) when operating with biodiesel fuel. This is also due to the excess free oxygen incorporated in biodiesel, unlike conventional diesel fuel of petroleum origin. Apart from the physical and chemical characteristics of the fuel, higher NOx emissions when operating with biodiesel fuel are a consequence of the classic diesel fuel injection system (earlier fuel injection and primary combustion near TDC) that the experimental engine is equipped with. This once again confirms the necessity of applying variable systems to the engine, as described above [6,46].
At full load, with increasing engine speed, the minor difference in NOx emission levels was recorded in all modes when operating with diesel and biodiesel fuels. As noted above, the loads increase under operation with biodiesel fuel, resulting in a gradual increase in the NOx concentration in exhaust gases. The recorded mechanism of NOx emission coincides with the research cited in the literature [47,48].
Considering the test results, it is concluded that the problems in diesel engine operation, from the perspective of PM and NOx emission trends, can be addressed by integrating variable systems on the engine [49]. By applying these systems, engine operation can be maintained in an optimal mode, at the smoke limit, or with minimal raw emissions, resulting in optimal fuel consumption. The results obtained in this context can be used to create optimal maps of diesel engine operation in exploitation [6,50].
One way to lower NOx emissions is through examples such as exhaust-gas recirculation (EGR). However, on the other hand, a higher EGR rate also results in higher soot, HC, and CO emissions, even in diesel–biodiesel fuel blends. This is another example of a situation where an optimal working regime map is needed, and the presented research can contribute to this [51].
It is worth noting that emissions from biodiesel fuels are highly dependent on the type of fuel source. For example, lower CO, HC, and NOx emissions were recorded when using biodiesel produced from crude mahua (illupai) oil [52]. Considering the ester content in biodiesel, CO and HC emissions were also measured, despite their less problematic emissions compared to conventional diesel fuels [53,54]. One way to reduce CO2 emissions and increase efficiency is to add hydrogen in specific percentages to biodiesel fuel [55]. Another possibility is the application of appropriate polymer-based additives or other compounds to biodiesel fuel, similar to the process known as fuel oxygenation [56,57].
In general, brake thermal efficiency (ηe) decreases while brake-specific fuel consumption (BSFC) increases with increasing biodiesel content in the fuel due to the higher viscosity of this fuel. In this area, variable systems on the engine, such as those that enable automatic changes in the CR, can be beneficial. For example, by increasing the biodiesel content and compression ratio, CO, HC, and PM emissions can be reduced, which, in turn, results in increased NOx emissions. This fact alone indicates the necessity of optimization through the selection of biodiesel fuel composition or a mixture with conventional diesel fuel, with the mandatory use of variable systems [58].
4.2. Diesel Engine Efficiency When Processing Diesel and Biodiesel Fuel
Using the equations (Table 7, Table 8 and Table 9), with a known mechanical efficiency, it is not difficult to calculate the effective engine parameters if the engine-indicated parameters are known, and vice versa. The engine’s indicated efficiency is, on average, about 2.5% higher when processing with biodiesel (Figure 7). Similar results have been obtained by other researchers [59,60]. In specific operating modes, such as those outlined in point 4, a more pronounced drop in engine-indicated efficiency is observed during biodiesel operation (Figure 7). In this operating mode, the engine operated with 75% BMEP and load, according to Figure 3.
Figure 7.
Changes in (a) indicated engine efficiency and (b) BTE under standard ESC 13-mode cycle with diesel and biodiesel fuel and constant SOI = 18.5 cad BTDC and CR = 17.5:1.
The most significant difference in engine-indicated efficiency in favor of biodiesel was calculated in operating modes and examined under the conditions at points 9 and 12 (Figure 2). At these points, the engine was operated at 25% and 75% BMEP, or 75% and with maximal test speed, respectively. If we analyze the BTE (Figure 7), we can conclude that it is about 1.5% higher when operating with biodiesel, according to the ESC cycle. The obtained BTE values are mostly in line with the limit values for this type of IC engine (Table 10).
The increase in BTE when operating with biodiesel at higher loads has also been shown by other researchers in their research papers [61,62]. The main reason for this is more complete combustion and higher temperatures in the engine cylinder. On the experimental engine, at operating points 8 and 10, where the maximum load and higher engine speed are achieved, a more pronounced increase in BTE is observed.
As a characteristic phenomenon and slight deviation, the operating point of (2) ESC cycles at full load and medium speed can be taken. At this point, the expected increase in BTE did not occur, which can be mainly attributed to the fuel injection parameters of the classic injection system, as installed on this engine, including the fixed compression ratio [5,63].
The mechanical efficiency is very similar for both fuels; however, at higher engine loads, we observe a higher BTE, which is primarily attributed to lower mechanical losses, depending on engine speed. Similar results have been reported in the literature [5,64].
Additionally, at a low load, at points 7, 9, and 11 of the ECS load cycle (Figure 2), very low BTE values are observed, regardless of the speed (Figure 7).
The recorded values for BTE for both fuels at low loads are lower than the lower limit value (0.3) recommended for the group of four-stroke diesel engines to which the experimental one belongs (Table 10). Furthermore, the presented results correspond to data obtained by other researchers under similar engine testing conditions on a test rig [65,66].
5. Discussion
First of all, it needs to be emphasized that, these days, biodiesel plays a significant and multifaceted role in the broader energy transition, primarily by offering a readily deployable, low-carbon alternative to conventional fossil fuels. Its specific contributions and role in hybrid systems can be, for example, emphasized as follows [16,47]:
- One of biodiesel’s most crucial roles is providing an immediate way to reduce GHG emissions in sectors that are difficult to electrify or where infrastructure replacement is slow and costly. This includes heavy-duty road transport (trucks and buses), maritime shipping, and aviation (such as Sustainable Aviation Fuel, SAF). These sectors rely on energy-dense liquid fuels, and biodiesel offers a “drop-in” or blend-able alternative that can be used in existing diesel engines with little to no modification.
- Biodiesel significantly reduces life-cycle CO2 emissions compared to fossil diesel (e.g., up to 74% for B100), as the carbon released during combustion is largely offset by the CO2 absorbed by the feedstock plants during their growth. This “biogenic carbon cycle” is one of the fundamental reasons for its climate benefit.
- By adding a renewable liquid-fuel option, biodiesel contributes to a more diverse and robust energy mix, reducing the vulnerability associated with over-reliance on a single energy source.
- Advanced biodiesel production increasingly focuses on utilizing waste and residue streams (e.g., used cooking oil, animal fats, and agricultural waste). This not only provides a sustainable feedstock but also contributes to waste management, reducing landfill use and methane emissions from decomposing organic matter, thus supporting a circular economy model.
- While electrification is key for many sectors, the variability of renewable electricity sources such as solar and wind necessitates dispatch-able power generation. Biodiesel can provide a reliable, on-demand source of power, acting as a flexible backup in grid systems.
At the same time, biodiesel plays a crucial role in hybrid energy systems (HESs), which combine multiple energy generation and storage technologies to optimize performance, reliability, and sustainability [39,60]:
- In off-grid or micro-grid hybrid systems that heavily rely on intermittent renewable energy sources (such as solar PV and wind turbines), biodiesel generators can provide “firming” power. This means they can quickly compensate for fluctuations in renewable output, ensuring a consistent and reliable power supply.
- Biodiesel generators can be dispatched during peak demand periods, reducing the strain on the grid or the need for oversized renewable installations and battery storage. This optimizes the overall system’s economic viability and operational efficiency.
- In hybrid systems involving internal combustion engines, biodiesel can improve fuel lubricity and cetane number, potentially enhancing engine performance and reducing wear.
- Hybrid vehicle systems can utilize biodiesel as a fuel for their internal combustion engine component, allowing for an extended range and faster refueling compared to purely electric vehicles while still benefiting from the electric motor for efficiency gains and emissions reduction in urban driving. The electric component can handle lower loads and city driving, while the biodiesel engine provides power for higher speeds or longer distances.
- Biodiesel facilitates a smoother transition to a low-carbon future by enabling the continued use of existing diesel engine assets while significantly reducing their environmental impact. This avoids the immediate and massive capital investment required for the complete replacement of a fleet or infrastructure.
- Biodiesel generators can work in conjunction with battery storage systems in hybrid configurations. The batteries handle short-term fluctuations and provide immediate power. At the same time, the biodiesel generator recharges the batteries or provides sustained power during more extended periods of low renewable output, reducing the need for giant battery banks.
Based on the experiences of previous research related to the application of variable systems on an experimental diesel engine, this work aimed to highlight the possibility of using alternative fuels, such as biodiesel [5,67]. The results obtained indicate the possibility of reducing engine emissions when processing biodiesel, as well as increasing BTE by approximately 1.5% on average in test modes according to the ESC 13-mode cycle.
The tests have confirmed the initial hypothesis that the multi-fuel capability of diesel engines is achievable through the necessary application of variable systems on the engine, such as VCR and VVT. Generally, in all modes, the course of change in the investigated diesel engine parameters is similar when operating with biodiesel; the characteristics of biodiesel as a fuel are shown in Table 3. According to the set goals and hypotheses, standardized diesel engine tests were conducted on the test rig under laboratory conditions. The zero-dimensional model of the combustion process was used to indicate the pressure in the cylinder of the experimental engine, as well as for data processing and exhaust emission analysis equipment from the maker (AVL List GmbH, Graz, Austria).
This paper provides a brief literature review as an introduction to the essential problem of increasing environmental pollution due to regulated exhaust emissions. It also highlights the fact that the use of alternative fuels from renewable energy sources, such as biodiesel, can contribute to global trends in preserving clean air and the environment. At the same time, the methodology of engine testing on the test rig and the method of establishing standardized test conditions are explained, contributing to a more precise comparison of results with those of other researchers. In parallel, the indicators characterizing engine operation, which was used to compare engine output parameters when operating with diesel fuel and biodiesel, are explained.
The goal of this research is to confirm the application of diesel engines with biodiesel, aiming to achieve minimal exhaust emissions and higher thermal efficiency. For this purpose, the impact of engine work with diesel and biodiesel on emissions and indicators characterizing engine operation under different engine speeds and loads was analyzed. The geometric parameters of the engine remain unchanged from the factory version. The factory and original fuel system, which had not been modified, were also used to supply biodiesel to the engine’s injection system. This also refers to SOI and CR, as well as fuel injection pressure values.
The engine test conditions and results are systematically reviewed and presented in the following order:
- Changes in PM and NOx emission levels with diesel and biodiesel fuel under constant SOI = 18.5 cad BTDC and CR = 17.5:1;
- Changes in CO and HC emission with diesel and biodiesel under SOI = 18.5 cad BTDC and CR = 17.5:1;
- Changes in the maximum temperature in a cylinder with diesel and biodiesel under SOI = 18.5 cad BTDC and CR = 17.5:1;
- Changes in Indicated Engine Efficiency and BTE with diesel and biodiesel fuel under SOI = 18.5 cad BTDC and CR = 17.5:1.
Generally, as an explanation, combustion of methyl esters (e.g., FAME) with the general formula CxHyO2 leads to the emission of CO2 and H2O, but in the case of incomplete combustion, also CO, HC, and soot (C≡C); an example of such a reaction is as shown in Equation (18) [41,42]:
C18H34O2 + 512O2 → 18CO2 + 17H2O (complete combustion)
In the case of oxygen deficiency, the reaction is according to Equation (19) [41,42]:
C18H34O2 + xO2 → aCO2 + bCO + cC + dH2O + eHC (oxygen deficiency)
When the excess-air ratio is (λ < 1), it can lead to increased CO and HC emissions. Emission values can be estimated empirically based on the efficiency and actual fuel combustion. Assuming efficiency (ηe = 0.35), the total energy not realized as mechanical or effective power is given by the following Equation (20):
Losses = Le’ (1 − ηe)
Part of this energy can be realized as follows:
- Heat emission (for cooling and exhaust gases);
- Emissions of harmful combustion products.
The engine power can be directly determined from the braking force, as shown in Equation (4).
According to the EN14214 standard, as specified in (Table 1) above, the quality of FAME methyl esters depends on the following, among other things:
- Heat emission (for cooling and exhaust gases);
- Methanol content (max 9.20%);
- Cetane number (min 51);
- Oxidation stability (min 8 h);
- Presence of unsaturated compounds (linolenic max 12%).
Fuels that do not meet these requirements result in a decrease in combustion efficiency and an increase in CO, HC, and soot emissions.
For example, calculations are made for the operating point at 100% load, BMEP = 0.56 MPa, and ne = 2695 rpm, according to Equation (14); Pe = 5.69 kW.
For an injection cycle quantity of mg = 20 mg/cycle or (20 10−5 kg/cycle), the number of working strokes per minute is ne/2 = 1345, so the fuel mass per minute can be determined according to Equation (21):
mg = mg × ne/2 = 20 × 10−5 × 1345 = 0.0269 kg/min = 1.61 kg/h
With the caloric value for biodiesel being Hd = 36.2 × 106 J/kg, according to Table 3, chemical energy delivered per hour is determined with Equation (22) [41,42]:
Le = mg × Hd = 1.61 × 36.2 × 106 = 5.83 × 107 J/h = 16.15 kW
Engine thermal efficiency is determined according to Equation (23):
ηe = Pe × (Le)−1 = 5.69/16.15 = 0.352
Energy losses calculated according to Equation (20) are as follows: losses = 10.46 kW.
These losses include exhaust emissions, heat for cooling, and fugitive combustion products (CO, HC, and soot). Assuming that 30% of energy losses are due to emissions from incomplete combustion, upon receiving emissions power, we have Equation (24):
Emissions = 0.3 × Losses = 3.13 kW
If the dominant component of incomplete combustion is CO (heat of combustion of CO: 10.1 MJ/kg), this corresponds to emissions calculated according to Equation (25):
mCO = (3.13 × 3600)/(10.1 × 106) = 1.13 × 10−3 kg/h
It is concluded that the test results indicated a significant possibility of reducing raw engine emissions if biodiesel is used. It also showed a relative reduction in mechanical losses in the engine and an increase in BTE when operating with biodiesel. Reducing mechanical losses should also contribute to reducing fuel consumption, as confirmed by tests with diesel fuel [5]. In general, reducing mechanical losses when operating with biodiesel is expected to contribute to a longer IC engine service life and lower maintenance costs, as consequence of reduced friction and wear. By reducing friction and wear, factory clearances are also maintained within normal limits, preventing oil penetration and combustion, and creating favorable conditions for combustion, which keeps emissions within prescribed limits [68]. A significant database was made during the examination. Further optimization processes can be performed using some machine learning methods [69].
Not least, the ongoing quest for cleaner and more efficient internal combustion engines has led to significant research into advanced combustion strategies (ACSs), such as Homogeneous-Charge Compression Ignition (HCCI) and Reactivity-Controlled Compression Ignition (RCCI). When combined with the use of biodiesel blends, these strategies provide a promising approach to mitigating the environmental impact of diesel engines. The following references highlight the latest advancements in this field when focusing on recent publications:
- During the HCCI process, the fuel-and-air mixture is homogeneously mixed before entering the combustion chamber. This process can eliminate the need for conventional spark ignition, as the mixture spontaneously ignites due to the high pressure and temperature in the combustion chamber.
- HCCI combustion, characterized by simultaneous auto-ignition of a well-mixed fuel-air charge, holds the promise of achieving high thermal efficiency alongside ultra-low NOx and soot emissions. Several recent studies, as follows, have explored how biodiesel affects HCCI operation:
- ○
- A key challenge in HCCI is controlling the combustion phasing and duration, which are highly sensitive to fuel properties and operating conditions. Biodiesel’s higher cetane number can lead to earlier and faster combustion, potentially narrowing the HCCI operating window [70,71,72].
- ○
- Biodiesel’s inherent oxygen content generally helps reduce particulate matter (PM) emissions. However, the trade-off with NOx often remains [73].
- RCCI is an evolution of HCCI that utilizes two different fuels with varying reactivity (e.g., biodiesel and diesel or biodiesel and bioethanol). This approach enables control over the combustion process by mixing fuels with differing characteristics.
- RCCI, a dual-fuel combustion strategy using two fuels with different relativities, offers greater control over combustion phasing compared to HCCI, extending the low-emission operating range:
- ○
- Biodiesel, with its higher cetane number, makes it an ideal candidate for use as a high-reactivity fuel in an RCCI system, allowing for precise control of ignition [74,75].
- ○
- RCCI’s ability to decouple mixture preparation from ignition timing allows for a wider operating range than HCCI. Research continues to focus on optimizing injection strategies, fuel ratios, and engine parameters (such as EGR) to maximize the benefits of biodiesel in RCCI. For instance, studies might explore the impact of varying the direct injection timing of the biodiesel and the port injection quantity of the low-reactivity fuel to extend the RCCI operating window and achieve optimal emissions [76].
Regarding the performance of second- and third-generation biodiesels in terms of emissions, the shift from first-generation biodiesels (derived from food crops) to second- and third-generation biodiesels is crucial for sustainability and avoiding the “food vs. fuel” dilemma. The recent literature, including the works mentioned below, confirms their growing importance and specific emission profiles.
- Second-generation biodiesels (waste and non-food feedstocks) are derived from non-food crops (e.g., jatropha, Pongamia, and camelina), agricultural residues (e.g., lignocellulosic biomass), and waste products (e.g., used cooking oil, animal fats). Studies consistently show that second-generation biodiesels offer a significant reduction in life-cycle GHG emissions compared to fossil diesel, primarily due to their sustainable feedstock sources, and emphasize their greater sustainability and reduced competition with food resources [77,78].
- Third-generation biodiesels (algae-based), primarily from microalgae, are considered highly promising due to their rapid growth rates, high lipid content, minimal land-use requirements, and ability to utilize CO2 during cultivation, offering a pathway to potentially carbon-negative fuel. The ability of microalgae to absorb CO2 during growth makes algal biodiesel exceptionally attractive for its low carbon footprint [79,80].
6. Conclusions
This paper aims to highlight the possibility of optimizing diesel engines from the aspects of emissions and thermal efficiency by using biodiesel. The facts are that, when using biodiesel, changes to existing diesel engine construction are not necessary, and, in parallel, the available infrastructure of diesel fuel pumping stations can also be used. The tests were performed on an experimental engine at operating modes defined by the ESC 13-mode cycle, highlighting the importance of applying standard research methods in terms of experimental repeatability and comparison of results. The primary goal of this research was to justify further investigation into the application of biodiesel as a fuel.
Based on the analysis process and systematization of data from the literature and, in parallel, experimental research on the test rig, the following facts can be stated as conclusions:
- (i)
- Due to their economy, diesel engines are still used intensively, equipped with modern technologies so that they can run on various environmentally clean alternative fuels such as biodiesel;
- (ii)
- In this way, the use of alternative fuels represents one of the available ways to reduce the primarily problematic emissions of PM, while measures on the engine or after-treatment system of a diesel engine can control NOx emissions;
- (iii)
- In this way, the use of alternative fuels represents one of the available ways to reduce the primarily problematic emissions of PM, while measures on the engine or after-treatment system of diesel engines can control NOx emissions;
- (iv)
- When operating an experimental diesel engine with dedicated biodiesel fuel, an average increase in BTE of about 1.5% was achieved;
- (v)
- The recorded PM emission is lower in all operating modes when using biodiesel and is notably lower in modes 8 and 10 at full load and at increased engine speeds, as defined by the ESC 13-mode cycle.
- (vi)
- The recorded PM emission is lower in all operating modes when using biodiesel and is notably lower in modes 8 and 10 at full load and at increased engine speeds, as defined by the ESC 13-mode cycle;
- (vii)
- Further compromises in the relationship between PM and NOx emissions, or fuel consumption, can be achieved when operating with biodiesel by applying variable systems to the engine, such as VCR, VVT, multi-stage, or split fuel injection under higher pressure, and so forth.
Although this study focuses on a single vehicle with a four-cylinder engine (not a single-cylinder engine), the conclusions regarding CO2 emissions and energy consumption trends—particularly the identification of optimal operating speeds (50–70 km/h)—are based on chassis dynamometer data under WLTP cycles and can be generalized for modern multi-cylinder engines. The neural network models (MLP and SANN) used are data-driven and not strictly tied to engine configuration. Therefore, the derived relationships between speed, emissions, and energy use can be applied to similar classes of passenger vehicles with multi-cylinder engines, particularly for urban and suburban traffic profiles.
This study does not directly involve engine performance tuning via variable compression ratio or injection timing. Instead, it focuses on the post-analysis of emission and energy consumption data under fixed engine parameters. Optimization in this context refers to identifying optimal vehicle operating ranges (e.g., a speed range of 50–70 km/h) using neural networks rather than relying on hardware-based engine control strategies. Thus, the “optimization” mentioned is systemic and operational rather than mechanical.
The progressive depletion of the world’s natural resources poses a significant threat to energy security and exacerbates the rapid pace of climate change. Therefore, in the long term, it is necessary to improve the combustion processes of fuels from alternative renewable energy sources. The developed algorithm is a crucial tool for planning research on real-world processes. To eliminate low-emission solutions, this type of analysis can be used to study an extensive system or an independently functioning process.
At the same time, it is worth noting that IC engines operate across a wide range of speeds, loads, and environmental conditions. A fixed engine design, with static parameters such as compression ratio and injection timing, represents a compromise. It is optimized for a specific operating point (for instance, peak power or maximum efficiency) but will be suboptimal across most of its operating range. This inherent limitation leads to significant trade-offs, particularly between fuel efficiency and emissions.
“Variable systems” in modern engines, such as VCR, variable injection timing (VIT), and variable valve timing/lift (VVT/VVL), are crucial because they overcome the fixed design compromises inherent in traditional engines. They enable the engine to dynamically adjust its operating parameters in real time to match instantaneous demands, thereby optimizing performance, fuel economy, and emissions across the entire operating range.
The reasons for the necessity of the aforementioned variable systems are summarized as follows:
- In a conventional engine, a single set of design parameters must balance conflicting objectives. Examples in the following:
- ○
- A high compression ratio generally improves thermal efficiency and fuel economy, but it increases the risk of engine knock (pre-ignition) at high loads or with lower-octane fuels.
- ○
- An early injection timing in diesel engines can improve combustion efficiency and power but leads to higher NOx emissions due to higher peak temperatures.
Fixed valve timing may be beneficial for high-rpm power, but it results in poor idle quality, reduced low-end torque, and increased emissions at low loads.
- By making these parameters variable, engines can “have their cake and eat it too”. They can adapt to different operating conditions, achieving optimal performance closer to each other.
Furthermore, vehicles and engines operate under a wide range of conditions: idling, city driving, highway cruising, and aggressive acceleration; each of these conditions has different optimal engine settings for efficiency and emissions, whereas variable systems enable the engine to continuously adjust to these demands, rather than being stuck with a single, average setting.
Lastly, the VCR increases the compression ratio to maximize thermal efficiency and fuel economy. Simultaneously, it decreases the compression ratio to prevent knock (in gasoline engines) or manage peak pressures (in diesel engines), allowing for higher boost pressures and power output without excessive NOx or engine damage. Moreover, in diesel engines, VCR can allow for a lower compression ratio at high loads, helping to reduce the peak combustion temperatures primarily responsible for NOx formation without sacrificing efficiency at lower loads. It can also aid in performing cold starting by temporarily increasing the compression ratio (CR).
As far as VIT (primarily in diesel engines) is concerned, it allows the engine control unit (ECU) to precisely adjust the start of fuel injection based on engine speed and load; at high loads or when power is prioritized, injection timing might be advanced for better efficiency; and, in addition, when NOx reduction is critical (e.g., specific emission cycles), injection timing can be retarded to lower combustion temperatures. Modern common-rail diesel systems with multiple injection events work in conjunction with VIT to further optimize combustion and balance the trade-offs between NOx and PM emissions. Pilot injections pre-heat the combustion chamber to reduce ignition delay and combustion noise, while post-injections can aid in soot oxidation or regeneration of after-treatment systems.
When it comes to VVT and VVL, these systems continuously adjust the timing of valve opening and closing, as well as the degree of valve lift, in response to changes in engine speed and load. By controlling valve overlap, VVT can achieve an “internal exhaust gas recirculation” (EGR) effect. This involves keeping the exhaust valve open slightly longer or opening the intake valve earlier, allowing some hot, inert exhaust gases to re-enter the cylinder. This dilutes the incoming fresh air, lowering peak combustion temperatures and significantly reducing NOx formation, without the need for an external EGR valve in some cases. Furthermore, by optimizing valve timing and lift, the engine can “breathe” more efficiently across its entire rpm range, leading to improved torque at low speeds and higher power at high speeds.
All the aforementioned considerations provide a solid foundation for further investigation.
Considering the restrictive emission standards, further research is needed on fuels and mixtures, taking into account the design of engines with some variable systems. This affects legal regulations and the continuous development of motorization. From the perspective of sustainable development, using a fuel mixture with a minimum share of bio-additive yields the highest carbon dioxide emission values.
Optimization should consider the use of additives in the fuel–air mixture, given their impact on the molecular structure, which affects the reduction of carbon dioxide emissions and the reduction of air demand. The development of simulation models for ongoing monitoring of processes by the new homologation tests in force is also recommended. Modifying vehicle power supply systems can achieve more accurate results.
The experiment conducted and the results obtained confirm that the use of biodiesel fuel applies to low-power engines, which is the case and is expected to be the case with engines of higher power and displacement. Additionally, the advantage is that no significant changes to the engine systems are necessary. On the other hand, the use of biodiesel primarily reduces PM emissions, but there is a relative increase in NOx emissions due to the fuel’s composition. In this way, the initial hypothesis of this study was confirmed, namely the necessity of applying variable systems to the engine to automatically adjust the compression ratio, valve timing, fuel injection angle, and ignition timing of the mixture, thereby optimizing the combustion process and emissions, i.e., the trade-off between NOx and PM emissions.
Author Contributions
Conceptualization, S.M. and O.S.; methodology, S.M., O.S. and O.O.; software, S.M. and N.K.; validation, O.O., B.S. and M.H.; formal analysis, O.S., O.O. and M.R.; resources, S.M., O.S. and O.O.; writing—original draft preparation, S.M. and O.S.; writing—review and editing, S.M., O.O. and N.K.; visualization, S.M., O.S. and M.H.; supervision, B.S. and M.R.; funding acquisition, S.M. and M.R. All authors have read and agreed to the published version of the manuscript.
Funding
This paper is a result of the research within the project of the Operational Programme Integrated Infrastructure titled “Support of research and development capacities to generate advanced software tools designed to increase the resilience of economic entities against excessive volatility of the energy commodity market”, ITMS2014+ code 313011BUK9, co-funded by the European Regional Development Fund. This study was financed in part by the Faculty of Engineering Management (WIZ) of Bialystok University of Technology, No. WZ/WIZ-INZ/2/2025.
Data Availability Statement
The original contributions presented in this study are included in the article. Further inquiries can be directed toward the corresponding authors.
Conflicts of Interest
The authors declare no conflicts of interest.
References
- Lenz, B. Development of the Global Mobility Sector. In Powerfuels. Green Energy and Technology; Bullerdiek, N., Neuling, U., Kaltschmitt, M., Eds.; Springer: Cham, Switzerland, 2025. [Google Scholar] [CrossRef]
- Fukutomi, M. Oil or geopolitical issues? Quantitative rethinking of political instability in the Middle East and North Africa. GeoJournal 2024, 89, 55. [Google Scholar] [CrossRef]
- Van, N.K.; Le Anh, V.; Van, T.T.; Anh, T.T.; Hoang, V.N. Real-Time Modeling of a Biodiesel B20 Fuelled CRDI Engine. In Proceedings of the International Conference on Advanced Mechanical Engineering, Automation, and Sustainable Development 2021 (AMAS2021). AMAS 2021; Long, B.T., Kim, H.S., Ishizaki, K., Toan, N.D., Parinov, I.A., Kim, Y.H., Eds.; Lecture Notes in Mechanical Engineering; Springer: Cham, Switzerland, 2022. [Google Scholar] [CrossRef]
- Nagaprasad, K.S.; Banapurmath, N.R.; Madhu, D.; Soudagar, M.E.M.; Mujtaba, M.A.; Kalam, M.A.; Vadlamudi, C.; Krishnappa, S. Emission characteristics of diesel engines fuelled with B20 with different DPF, DOC and EGR arrangements. Int. J. Ambient Energy 2023, 45, 2277308. [Google Scholar] [CrossRef]
- Milojević, S.; Savić, S.; Marić, D.; Stopka, O.; Krstić, B.; Stojanović, B. Correlation between Emission and Combustion Characteristics with the Compression Ratio and Fuel Injection Timing in Tribologically Optimized Diesel Engine. Teh. Vjesn. 2022, 29, 1210–1219. [Google Scholar] [CrossRef]
- Milojević, S.; Glišović, J.; Savić, S.; Bošković, G.; Bukvić, M.; Stojanović, B. Particulate Matter Emission and Air Pollution Reduction by Applying Variable Systems in Tribologically Optimized Diesel Engines for Vehicles in Road Traffic. Atmosphere 2024, 15, 184. [Google Scholar] [CrossRef]
- Patel, G.C.M.; B. S., A.; Jagadish; Shettigar, A.K.; Samuel, O.D. Studies on Oil Extraction, Biodiesel Production Methods, and Engine Performance and Emission Characteristics. In Biofuel Production, Performance, and Emission Optimization; Springer Optimization and Its Applications; Springer: Cham, Switzerland, 2025; Volume 215. [Google Scholar] [CrossRef]
- Sallet, D.; Ugalde, G.A.; Tres, M.V.; Mazutti, M.A.; Zabot, G.L.; Kuhn, R.C. Oil and Biodiesel Production from Mortierella isabellina Biomass by a Direct Near-Critical Fluid Extraction and Transesterification Method. Biomass 2025, 5, 6. [Google Scholar] [CrossRef]
- Heywood, J.B. Internal Combustion Engine Fundamentals; McGraw-Hill: New York, NY, USA, 1988; ISBN 978-0-07-028637-5. [Google Scholar]
- Kulkarni, M.G.; Dalai, A.K. Waste cooking oil as a raw material for biodiesel production: A review. Ind. Eng. Chem. Res. 2006, 45, 6601–6613. [Google Scholar] [CrossRef]
- Demirbas, A. Biofuels sources, biofuel policy, biofuel economy and global biofuel projections. Energy Convers. Manag. 2008, 49, 2106–2116. [Google Scholar] [CrossRef]
- EU: Biodiesel Standards. Available online: https://dieselnet.com/standards/eu/fuel_biodiesel.php (accessed on 3 February 2025).
- Raj, S.P.; Solomon, P.R.; Thangaraj, B. Standards for Biodiesel. In Biodiesel from Flowering Plants; Springer: Singapore, 2022. [Google Scholar] [CrossRef]
- Stone, R. Introduction to Internal Combustion Engines, 3rd ed.; SAE International: Warrendale, PA, USA, 1999; 641p. [Google Scholar] [CrossRef]
- Turns, S.R. An Introduction to Combustion: Concepts and Applications; McGraw-Hill: New York, NY, USA, 2012; ISBN 978-0-07-338019-3. [Google Scholar]
- Canakci, M. The potential of restaurant waste lipids as biodiesel feedstocks. Bioresour. Technol. 2007, 98, 183–190. [Google Scholar] [CrossRef]
- Ramadhas, A.S.; Jayaraj, S.; Muraleedharan, C. Use of vegetable oils as I.C. engine fuels—A review. Renew. Energy 2004, 29, 727–742. [Google Scholar] [CrossRef]
- Agarwal, A.K. Biofuels (alcohols and biodiesel) applications as fuels for internal combustion engines. Prog. Energy Combust. Sci. 2007, 33, 233–271. [Google Scholar] [CrossRef]
- Ibrahim, S.M.A.; Abed, K.A.; Gad, M.S.; Hashish, H.M.A. Performance and emissions of a diesel engine burning blends of Jatropha and waste cooking oil biodiesel. Proc. Inst. Mech. Eng. C J. Mech. Eng. Sci. 2023, 238, 1157–1169. [Google Scholar] [CrossRef]
- Joshi, A.S.; Ramesh, S. The Performance and Emission Analysis of Diesel Engine with Sunflower Biodiesel. In Techno-Societal 2020; Pawar, P.M., Balasubramaniam, R., Ronge, B.P., Salunkhe, S.B., Vibhute, A.S., Melinamath, B., Eds.; Springer: Cham, Switzerland, 2021. [Google Scholar] [CrossRef]
- Murayama, T.; Oh, Y.T.; Miyamoto, K.; Chikahisa, T.; Gotoh, Y. Reduction of NOx emissions from a diesel engine with biodiesel fuels. SAE Trans. 2000, 109, 1109–1116. [Google Scholar]
- McCormick, R.L.; Alleman, T.L.; Graboski, M.S.; Tyson, K.S.; Vertin, K.L.; Anderson, J.E. Exhaust emissions from biodiesel-fueled heavy-duty trucks. SAE Trans. 2001, 110, 1471–1484. [Google Scholar]
- Graboski, M.S.; McCormick, R.L.; Alleman, T.L.; Herring, A.M. The effect of biodiesel composition on engine emissions from a heavy-duty engine. SAE Trans. 1998, 107, 1601–1614. [Google Scholar]
- Joshi, H.C.; Sharma, R.K.; Mathur, H.B. Effect of biodiesel on engine performance and emissions. Renew. Sustain. Energy Rev. 2008, 12, 1637–1647. [Google Scholar] [CrossRef]
- Ozsezen, A.N.; Canakci, M.; Turkcan, A.; Sayin, C. Performance and combustion characteristics of a DI diesel engine fueled with waste palm oil and canola oil methyl esters. Fuel 2009, 88, 629–636. [Google Scholar] [CrossRef]
- Knothe, G.; Van Gerpen, J.H.; Krahl, J. The Biodiesel Handbook; AOCS Press: Champaign, IL, USA, 2006; ISBN 978-1-893997-98-1. [Google Scholar]
- Sheehan, J.; Camobreco, V.; Duffield, J.; Graboski, M.; Shapouri, H. Life Cycle Inventory of Biodiesel and Petroleum Diesel for Use in Urban Bus; Technical Report; National Renewable Energy Laboratory (NREL): Golden, CO, USA, 1998. [CrossRef]
- Gnansounou, E.; Dauriat, A.; Villegas, E. Life cycle assessment of biodiesel from jatropha in West Africa. Biomass Bioenergy 2009, 33, 1510–1522. [Google Scholar] [CrossRef]
- Rakopoulos, C.D.; Antonopoulos, K.A.; Rakopoulos, D.C. Development and application of multi-zone model for combustion and pollutants formation in direct injection diesel engine running with vegetable oil or its bio-diesel. Energy Convers. Manag. 2007, 48, 1881–1901. [Google Scholar] [CrossRef]
- Abdelrazek, M.K.; Abdelaal, M.M.; El-Nahas, A.M. Numerical simulation of a diesel engine performance powered by soybean biodiesel and diesel fuels. Beni-Suef Univ. J. Basic Appl. Sci. 2023, 12, 11. [Google Scholar] [CrossRef]
- Agarwal, D.; Agarwal, A.K. Performance and emissions characteristics of biodiesel-fueled diesel engines. Fuel 2007, 86, 2563–2579. [Google Scholar] [CrossRef]
- Knothe, G. Dependence of biodiesel fuel properties on the structure of fatty acid alkyl esters. Fuel Process. Technol. 2005, 86, 1059–1070. [Google Scholar] [CrossRef]
- Tiwari, A.K.; Kumar, D.; Sharma, Y.C. Biodiesel production from jatropha oil (Jatropha curcas Linn.) with high free fatty acid: An optimized process. Bioresour. Technol. 2007, 98, 2864–2871. [Google Scholar] [CrossRef]
- Demirbas, A. Biodiesel: A realistic fuel alternative for diesel engines. Energy Convers. Manag. 2008, 49, 2708–2720. [Google Scholar] [CrossRef]
- Musthafa, B.; Asokan, M.A. Influence of Fuel Filterability, Performance, and Emission Characteristics of Dual Biodiesel Mixture with Diesel Blends in Compression Ignition Engine. Int. J. Automot. Technol. 2024. [Google Scholar] [CrossRef]
- Fersner, A.; Galante-Fox, J. Biodiesel Feedstock and Contaminant Contributions to Diesel Fuel Filter Blocking. SAE Int. J. Fuels Lubr. 2014, 7, 783–791. [Google Scholar] [CrossRef]
- Rahman, S.M.A.; Fattah, I.M.R.; Ong, H.C.; Ashik, F.R.; Hassan, M.M.; Murshed, M.T.; Imran, M.A.; Rahman, M.H.; Rahman, M.A.; Hasan, M.A.M.; et al. State-of-the-art Establishing Test Procedures for Real Driving Gaseous Emissions from Light- and Heavy-Duty Vehicles. Energies 2021, 14, 4195. [Google Scholar] [CrossRef]
- Pandian, B.; Harigaran, A. Investigations on the performance of a single-cylinder diesel engine powered by biodiesel derived from palm oil and antioxidant additives. Arch. Automot. Eng. Arch. Motoryz. 2024, 106, 18–30. [Google Scholar] [CrossRef]
- Slavin, V.; Shuba, Y.; Caban, J.; Matijosius, J.; Rimkus, A.; Korpach, A.; Gutarevych, S. The Performance of a Car with Various Engine Power Systems—Part II. LOGI Sci. J. Transp. Logist. 2022, 13, 141–151. [Google Scholar] [CrossRef]
- Puškár, M.; Živčák, J.; Král, Š.; Kopas, M.; Lavčák, M. Analysis of Biodiesel Influence on Unregulated Gaseous Emissions of Diesel Motor Vehicles. Appl. Sci. 2021, 11, 4646. [Google Scholar] [CrossRef]
- Gruden, D. Varovanje Okolja v Avtomobilski Industriji Motor, Goriva, Recikliranje, 1. Natis; Izolit: Mengeš, Slovenia, 2011. [Google Scholar]
- Gruden, D. Traffic and Environment; Springer: Berlin/Heidelberg, Germany, 2003. [Google Scholar]
- Xu, D.; Yu, H.; Cai, W.; Xu, J.; Li, J. Primary Particulate Matter and Aerosol Emissions from Biodiesel Engines During Idling in Plateau Environments of China. Sustainability 2025, 17, 976. [Google Scholar] [CrossRef]
- Tsai, J.H.; Lin, S.L.; Chen, S.J.; Guo, C.J.; Huang, K.L.; Lee, J.T.; Yeh, K.J.C.; Chiu, J.Y.; Lin, C.C. Emission Characteristics of Particulate Matter and Particle-bound Metals from a Diesel Engine Generator Fueled with Waste Cooking Oil-based Biodiesel Blended with n-Butanol and Acetone. Aerosol Air Qual. Res. 2018, 18, 1246–1254. [Google Scholar] [CrossRef]
- Azad, A.K.; Rasul, M.G.; Giannangelo, B.; Ahmed, S.F. Diesel Engine Performance and Emission Study Using Soybean Biodiesel Blends with Fossil Diesel. In Exergy for a Better Environment and Improved Sustainability 2; Aloui, F., Dincer, I., Eds.; Green Energy and Technology; Springer: Cham, Switzerland, 2018. [Google Scholar] [CrossRef]
- Maroa, S.; Inambao, F. The Factors Influencing Formation of NOx Emissions in Biodiesel Fuels. In Biodiesel, Combustion, Performance and Emissions Characteristics; Green Energy and Technology; Springer: Cham, Switzerland, 2020. [Google Scholar] [CrossRef]
- Tucki, K.; Orynycz, O. Bioenergy and Biofuels. Sustainability 2021, 13, 9972. [Google Scholar] [CrossRef]
- Matijošius, J.; Orynycz, O.; Kovbasenko, S.; Simonenko, V.; Shuba, Y.; Moroz, V.; Gutarevych, S.; Wasiak, A.; Tucki, K. Testing the Indicators of Diesel Vehicles Operating on Diesel Oil and Diesel Biofuel. Energies 2022, 15, 9263. [Google Scholar] [CrossRef]
- Kapilan, N.; Kumar K., A.; Buradi, A.; Bora, B.J.; Nirsanametla, Y.; Majdi, A.; Alsubih, M.; Islam, S.; Khan, M.A.; Khan, W.A.; et al. Enhancing soot emission control and performance in biodiesel-powered diesel engine through Al2O3 nanoparticle. Int. J. Low-Carbon Technol. 2024, 19, 2638–2645. [Google Scholar] [CrossRef]
- Liu, S.; Chen, W.; Zhu, Z.; Jiang, S.; Ren, T.; Guo, H. A Review of the Developed New Model Biodiesels and Their Effects on Engine Combustion and Emissions. Appl. Sci. 2018, 8, 2303. [Google Scholar] [CrossRef]
- Zhao, Z.; Chen, X.; Jiang, Y. Prediction of combustion and exhaust emissions of a CI engine fueled with diesel-biodiesel blends with different EGR rates. Front. Energy Res. 2023, 11, 1205840. [Google Scholar]
- Hira, A.; Das, D.; Thakur, R. Performance, Emissions, and Combustion Evaluations of a Diesel Engine Fuelled with Biodiesel Produced from High FFA Crude Mahua (Madhuca longifolia) Oil. In Introduction to Diesel Emissions; IntechOpen: London, UK, 2020. [Google Scholar] [CrossRef]
- Fangsuwannarak, K.; Fangsuwannarak, T. Reduction of Exhaust Emission of Agricultural Diesel Engine Refuelling with Coconut Oil Biodiesel and Performance. In New Developments in Environmental and Energy Technologies. ESRE 2023; Baeyens, J., Dewil, R., Rossi, B., Deng, Y., Eds.; Springer Proceedings in Earth and Environmental Sciences; Springer: Singapore, 2025. [Google Scholar] [CrossRef]
- Jayabal, R.; Sivanraju, R. Environmental Impact of Waste Peel Biodiesel–Butylated Hydroxytoluene Nanoparticle Blends on Diesel Engine Emissions. Energy Sci. Eng. 2025, 13, 742–751. [Google Scholar] [CrossRef]
- Kesharvani, S.; Katre, S.; Sahota, S.; Dwivedi, G.; Verma, T.N.; Lombardi, L. Enhancing diesel engine performance and emission reduction through hydrogen enrichment in algal biodiesel blends. Environ. Sci. Pollut. Res. 2024. [Google Scholar] [CrossRef]
- Burov, E.A.; Ivanova, L.V.; Koshelev, V.N.; Adam, T.A. Additives to Biodiesel Fuels. Chem. Technol. Fuels Oils 2023, 59, 998–1002. [Google Scholar] [CrossRef]
- Potnuru, B.D.; Kiran, N.V.N.I.; Sagari, J. Nanoparticle-assisted ternary fuel blends: An investigation of diesel engine performance, combustion and emission profiles. Int. J. Energy Water Resour. 2025. [Google Scholar] [CrossRef]
- Mahmood, A.S.; Qatta, H.I.; Al-Nuzal, S.M.D.; Abed, T.K.; Hardan, A.A. The effect of compression ratio on the performance and emission characteristics of C.I. Engine fuelled with corn oil biodiesel blended with diesel fuel. IOP Conf. Ser.: Earth Environ. Sci. 2021, 779, 012062. [Google Scholar] [CrossRef]
- Zhong, Y.; Zhang, Y.; Mao, C.; Ukaew, A. Performance, Combustion, and Emission Comparisons of a High-Speed Diesel Engine Fueled with Biodiesel with Different Ethanol Addition Ratios Based on a Combined Kinetic Mechanism. Processes 2022, 10, 1689. [Google Scholar] [CrossRef]
- Ramuhaheli, S.; Enweremadu, C. Experimental Evaluation of a Diesel Engine Performance and Emission Characteristics Powered by Hybrid Biodiesel and Butanol Blends. In Proceedings of the 10th International Conference on Energy Engineering and Environmental Engineering. ICEEEE 2023, Singapore, 6–8 August 2023; Sun, Z., Das, P.K., Eds.; Environmental Science and Engineering. Springer: Cham, Switzerland, 2024. [Google Scholar] [CrossRef]
- Afzal, A.; Soudagar, M.E.M.; Belhocine, A.; Kareemullah, M.; Hossain, N.; Alshahrani, S.; Saleel C., A.; Subbiah, R.; Qureshi, F.; Mujtaba, M.A. Thermal Performance of Compression Ignition Engine Using High Content Biodiesels: A Comparative Study with Diesel Fuel. Sustainability 2021, 13, 7688. [Google Scholar] [CrossRef]
- Chaudhary, A.; Panchal, S.H.; Surana, A.; Sreekanth, M.; Ismail, S.; Feroskhan, M. Performance, Emission, and Combustion Characteristics of Various Biodiesel Blends. J. Therm. Anal. Calorim. 2022, 147, 2455–2479. [Google Scholar] [CrossRef]
- Khan, T.Y.; Badruddin, I.A.; Badarudin, A.; Banapurmath, N.; Ahmed, N.S.; Quadir, G.; Al-Rashed, A.A.; Khaleed, H.; Kamangar, S. Effects of engine variables and heat transfer on the performance of biodiesel fueled ICIC engines. Renew. Sustain. Energy Rev. 2021, 44, 682–691. [Google Scholar] [CrossRef]
- de Carvalho, M.A.S.; Achy, A.R.A.; Junior, L.C.S.S.; Ferreira, V.P.; da Silva, J.A.M.; Pepe, I.M.; Torres, E.A. Mechanical and emissions performance of a diesel engine fueled with biodiesel, ethanol and diethyl ether blends. J. Braz. Soc. Mech. Sci. Eng. 2020, 42, 182. [Google Scholar] [CrossRef]
- Vergel-Ortega, M.; Valencia-Ochoa, G.; Duarte-Forero, J. Experimental study of emissions in single-cylinder diesel engine operating with diesel-biodiesel blends of palm oil-sunflower oil and ethanol. Case Stud. Therm. Eng. 2021, 26, 101190. [Google Scholar] [CrossRef]
- Mengistu, N.G.; Mekonen, M.W.; Ayalew, Y.G.; Demisie, L.F.; Nega, T. Experimental investigation on diesel engine performance and emission characteristics using waste cooking oil blended with diesel as biodiesel fuel. Discov. Energy 2024, 4, 26. [Google Scholar] [CrossRef]
- Milojević, S. Sustainable application of natural gas as engine fuel in city buses: Benefit and restrictions. J. Appl. Eng. Sci. 2017, 15, 81–88. [Google Scholar] [CrossRef]
- Turek, M.; Kalupová, B.; Cempírek, V.; Tůmová, K.; Abramović, B. Electromobility and the Environment in the Czech Republic. LOGI Sci. J. Transp. Logist. 2024, 15, 1. [Google Scholar] [CrossRef]
- Marinković, D.; Dezső, G.; Milojević, S. Application of Machine Learning During Maintenance and Exploitation of Electric Vehicles. Adv. Eng. Lett. 2024, 3, 132–140. [Google Scholar] [CrossRef]
- Lalsangi, S.; Yaliwal, V.S.; Banapurmath, N.; Soudagar, M.E.M.; Balasubramanian, D.; Sonthalia, A.; Varuvel, E.G.; Wae-Hayee, M. Influence of hydrogen injection timing and duration on the combustion and emission characteristics of a diesel engine operating on dual fuel mode using biodiesel of dairy scum oil and producer gas. Int. J. Hydrogen Energy 2023, 48, 21313–21330. [Google Scholar] [CrossRef]
- Kadhim, N.S.; Adhas, S.M.; Al-Mahdawi, E.; Milton, T. Advances in Hydrogen-Diesel Dual Fuel Engine Technology: A Systematic Review of Emissions and Performance Characteristics. SSRG Int. J. Mech. Eng. 2025, 12, 61–70. [Google Scholar] [CrossRef]
- Subramanian, N.M.S.V.; Palani, R. Influence of the Injector Nozzle on Hydrogen-Powered Juliflora Biodiesel in HCCI Engines: A Surface Response Methodology Approach. Glob. NEST J. 2025, 27, 1–11. [Google Scholar]
- Arunkumar, M.; Mani, M.; Rai, A.; Adinarayanan, A.; Subbiah, R.; Ganeshan, P.; Kannan, S.; Seikh, A.; Iqbal, A. Extraction, performance and emission characterization of diesel engine using waste lipolytic microorganism biodiesel. Glob. NEST J. 2023, 25, 166–173. [Google Scholar] [CrossRef]
- Yahyaei, S.J.; Gharehghani, A.; Andwari, A.M. Comprehensive numerical investigation of biodiesel/natural gas dual-fuel compression ignition engine with hydrogen and oxygen enrichment. Int. J. Hydrogen Energy 2025, 98, 254–265. [Google Scholar] [CrossRef]
- Ramachandran, E.; Krishnaiah, R.; Venkatesan, E.P.; Saleel, C.A.; Shaik, S. Investigation on Ammonia–Biodiesel Fueled RCCI Combustion Engine Using a Split Injection Strategy. ACS Omega 2023, 8, 30990–31001. [Google Scholar] [CrossRef]
- Fei, Y. HCCI Engines: Benefits, Challenges and Future Advancements. E3S Web Conf. 2025, 606, 01006. [Google Scholar] [CrossRef]
- Biofuel Market Overview. Biofuel Market Size, Share, Growth, and Industry Analysis, by Type (Biodiesel, Ethanol5), by Application (Aviation, Vehicle, Industrial, Others), Regional Insights and Forecast to 2033. 2024; 95p. Available online: https://www.marketreportsworld.com/market-reports/biofuel-market-14715917 (accessed on 20 June 2025).
- Rajendran, S.; Venkatesan, E.P.; Dhairiyasamy, R.; Jaganathan, S.; Muniyappan, G.; Hasan, N. Enhancing Performance and Emission Characteristics of Biodiesel-Operated Compression Ignition Engines through Low Heat Rejection Mode and Antioxidant Additives: A Review. ACS Omega 2023, 8, 34281–34298. [Google Scholar] [CrossRef]
- Pandey, S.; Narayanan, I.; Selvaraj, R.; Varadavenkatesan, T.; Vinayagam, R. Biodiesel production from microalgae: A comprehensive review on influential factors, transesterification processes, and challenges. Fuel 2024, 367, 131547. [Google Scholar] [CrossRef]
- Sharma, A.K.; Jaryal, S.; Sharma, S.; Dhyani, A.; Tewari, B.S.; Mahato, N. Biofuels from Microalgae: A Review on Microalgae Cultivation, Biodiesel Production Techniques and Storage Stability. Processes 2025, 13, 488. [Google Scholar] [CrossRef]
Disclaimer/Publisher’s Note: The statements, opinions and data contained in all publications are solely those of the individual author(s) and contributor(s) and not of MDPI and/or the editor(s). MDPI and/or the editor(s) disclaim responsibility for any injury to people or property resulting from any ideas, methods, instructions or products referred to in the content. |
© 2025 by the authors. Licensee MDPI, Basel, Switzerland. This article is an open access article distributed under the terms and conditions of the Creative Commons Attribution (CC BY) license (https://creativecommons.org/licenses/by/4.0/).






