Abstract
Under the “dual-carbon” targets, the coal power industry faces significant challenges in low-carbon transition, with carbon capture, utilization, and storage (CCUS) technologies as a key solution for emission reduction and energy security. Existing evaluation methods lack comprehensive assessments of technical, economic, and environmental synergies. This study proposes a dynamic three-dimensional framework integrating technical, economic, and emission indicators. By using Monte Carlo simulation and K-means clustering, the framework captures technology degradation and market fluctuations. Results show compression energy consumption averages of 0.37 ± 0.07 GJ/tCO2, with capture rates above 94%, increasing the variability by 35%. Lifecycle costs can be reduced by 24% at carbon prices of 80–100 USD/tCO2 with optimal subsidies. Emission costs peak alongside carbon prices above 430 USD/t, suggesting the need for tiered carbon pricing and CAPEX subsidies. A cluster analysis divides CCUS into high-capture-high-energy, balanced, and low-efficiency types, supporting differentiated policies such as tiered carbon pricing and phased subsidy withdrawal. This research offers actionable insights to balance economic viability and carbon neutrality goals.
1. Introduction
Under the dual-carbon targets, global coal power faces common challenges like high retrofit costs and uncertain carbon pricing, while China additionally confronts peak-shaving constraints, limited storage assessments, and regulatory delays. Carbon capture, utilization, and storage (CCUS) technology has emerged as a critical breakthrough due to its dual role in emission reduction and energy security. However, existing evaluation methods fail to comprehensively reflect the synergies among technical performance, economic feasibility, and environmental benefits [,,]. Traditional assessment systems often analyze single indicators in isolation, neither quantifying the impact of technological degradation on long-term emission reduction efficacy nor dynamically capturing the marginal effects of carbon price fluctuations and policy adjustments. This makes it difficult for decision-makers to balance short-term costs with long-term carbon-neutrality goals [,]. Therefore, constructing a dynamic evaluation system integrating technical parameters, economic costs, and policy variables has become an urgent need to address the bottlenecks of coal power CCUS transition and optimize resource allocation []. Beyond conventional chemical absorption, emerging CO2-capture technologies, such as membrane separation, cryogenic distillation, solid adsorption, and biological fixation, offer advantages like lower energy use and system integration potential. A novel demand-side management strategy involves a radiofrequency (RF) heated fixed-bed reactor using a CaCO₃ sorbent for CO2 capture. This system is designed to respond rapidly to grid fluctuations by operating during off-peak hours, aiming to reduce CO2 emissions from peaking power plants and improve electricity grid stability []. A comparative investigation of CO2 desorption performance from microporous activated carbon (AC) used two techniques: Microwave Swing Desorption (MSD) and Temperature Swing Desorption (TSD). A modified microwave oven and a conventional oven were used to heat the AC bed at two target temperatures: 70 °C and 130 °C [].
In traditional assessment systems, technical evaluation indicators primarily include the capture efficiency, technological maturity, and energy efficiency ratio. Methods such as the analytic hierarchy process (AHP), experimental measurements, process simulation, and mathematical modeling are widely used. To address the synergistic effects of technical parameter fluctuations and policy uncertainties in CCUS system optimization and achieve globally optimal decision-making [,], Fetanat and Tayebi proposed a multi-criteria decision support system based on interval type-2 trapezoidal fuzzy sets. Combining socio-technical systems theory, this system quantifies uncertainties in technical, economic, environmental, and social factors, enabling a comprehensive performance evaluation of carbon capture technologies in the oil and gas industry and enhancing the scientific rigor and reliability of decision-making processes []. Compared to international efforts focusing on generalized uncertainty modeling, the Chinese researchers Nan et al. developed an AHP-based evaluation framework that integrates expert judgment and a quantitative analysis. By constructing an indicator system encompassing technical, economic, and policy dimensions, the framework systematically evaluates and prioritizes carbon capture technologies in China, providing a scientific basis for policy formulation []. García et al. established a techno-economic analysis model for microalgae bioreactors coupled with CO2 capture, using flue gas from thermal power plants and piggery wastewater as resource inputs. Through experimental measurements and process simulation, the model achieves the synergistic optimization of carbon capture and wastewater treatment, improving resource utilization efficiency and economic benefits []. Lebedevas and Malūkas designed a cryogenic carbon capture system utilizing LNG cold energy. Through experimental testing and ship application simulations, the feasibility of this technology for dual-fuel ships was verified, achieving efficient CO2 separation and cold energy recovery while enhancing energy utilization efficiency and emission reduction performance []. In the context of carbon capture and utilization, Tapia J. et al. systematically elaborated on the critical role of CCUS technology in addressing climate change. The study highlights that carbon capture and utilization (CCU) achieves resource savings by substituting natural CO2 sources, while carbon capture and storage (CCS) achieves emission reduction through long-term sequestration. Although theoretically synergistic, their commercialization is hindered by role differences in energy engineering. The authors propose using process systems engineering (PSE) methods to build quantitative decision-support tools for addressing key issues in CCUS system planning []. Chen S. et al. reviewed model-based CCUS carbon neutrality pathways, focusing on multidimensional risks such as financial, technical, and environmental health and safety (EHS). The study reveals that the “golden period” for global CCUS deployment is 2040–2060 (2030–2050 for China), but current progress lags far behind carbon neutrality requirements due to four major bottlenecks: insufficient geological storage capacity assessments, high project failure rates, a lack of funding and market incentives, and inadequate regulations and risk-sharing mechanisms. The study further emphasizes the need for cross-disciplinary collaborative innovation to overcome these bottlenecks and provides policy recommendations for risk management and market-oriented optimization []. However, these studies are limited by their singular focus on technical parameters, failing to comprehensively evaluate key performance indicators, such as the technological maturity, unit emission reduction cost (USD/t CO2), and lifecycle carbon intensity. Rui Z. et al. [] proposed a method based on machine learning that aids 3D modeling for CO2 storage, but data gaps and weak cross-scale integration hinder model fidelity, stressing cross-disciplinary collaboration. Western approaches prioritize techno-economic optimization and integrated lifecycle modeling, whereas regional studies in China often focus on policy alignment, pilot demonstration feasibility, and rapid deployment scenarios under government-driven frameworks.
In traditional assessment systems, economic evaluation indicators primarily include the net present value (NPV) and levelized cost (LC). Methods such as Pareto optimality strategies and eco-techno-economic analysis are employed. Li M. et al. proposed an ecosystem-based CCUS innovation strategy (eco-CCUS), which utilizes unexploited crop straw as feedstock to achieve low-cost, large-scale carbon sequestration. The study analyzes the economic feasibility of this technology in rural China, demonstrating that its cost-effectiveness is closely related to the crop density, GDP levels, and transportation distance. A Pareto optimality strategy was used to optimize nationwide deployment plans []. Yan L. et al. systematically reviewed the status and prospects of CCUS-EOR (enhanced oil recovery) technology from an eco-development perspective. By comparing China and the U.S., the study reveals a significant gap in the technological maturity, application scale, and production enhancement effects, with the U.S. leading. It quantifies the economic feasibility of this technology in oil-rich, low-permeability fields and proposes differentiated technical recommendations []. Barati K. et al. conducted Aspen Plus modeling and an eco-techno-economic analysis to compare the economic and environmental benefits of CCU-assisted electrocatalytic reforming (E-CRM) with traditional natural gas-to-methanol (TRM) and CCS pathways. The study highlights a threshold effect of the electricity cost and carbon intensity: when grid carbon intensity falls below 37 g CO2/kWh, the lifecycle emission reduction cost of the electrocatalytic pathway outperforms CCS technology, providing a quantitative decision-making basis for CCU industrialization in low-carbon power regions []. Emission standards are another critical aspect of CCUS technology. Mon, M.T. et al. evaluated the relationship between the CCUS capacity and carbon emissions in the U.S. using six econometric models. The elastic net model best explained the CCUS capacity, while the ordinary least squares (OLS) model performed best in explaining carbon emissions. The study emphasizes that CCUS should serve as a supplementary emission-reduction tool rather than the sole solution, and affordable green alternatives must be developed in parallel to achieve net-zero targets []. Mon, M.T. et al. further revealed patterns in U.S. CCUS development through multi-model comparisons, showing that the project scale and policy frameworks significantly drive the technological capacity (best explained by the elastic net model). However, the emission-reduction effects are limited, underscoring the need for synergistic development with green alternatives []. Wang P. et al. quantified China’s CCUS potential, confirming its pivotal role in industrial deep decarbonization. Maintaining a 30% annual growth rate, CCUS could achieve differentiated emission reductions of 2.3% in power and 17.3% in chemical industries by 2040, contributing 3.8% to overall carbon reductions []. These studies, however, only considered economic or emission indicators in isolation, failing to integrate their interconnections. Moreover, they lacked a clustering analysis of large samples or evaluation metrics, preventing precise policy improvements tailored to categorical differences. Unlike the U.S., where the CCUS-EOR benefits from established pipeline infrastructure and tax incentives, China’s large-scale deployment is hindered by fragmented market signals and high transport costs in inland regions.
This study proposes a technical–economic–emission indicator evaluation framework, integrating three dimensions for separate assessments using a Monte Carlo simulation and K-means clustering. First, a three-dimensional evaluation framework combining technical, economic, and emission indicators was constructed, enabling a transition from static analysis to dynamic probabilistic assessments through Monte Carlo simulation and K-means clustering. Second, dynamic lognormal distributions, geometric Brownian motion, and other stochastic process models were employed to quantify the synergistic effects of technological degradation, carbon price fluctuations, and policy interventions on key indicators. Finally, through differentiated policy scenario analysis, optimization strategies were proposed, providing a systematic solution for policy formulation that balances short-term economic viability with long-term carbon neutrality goals.
- The core indicators—including the energy consumption for capture, capture rate, LC, NPV, and levelized abatement cost LAC—were quantified using mathematical formulas. Dynamic probability distributions, such as lognormal distribution and geometric Brownian motion, were introduced to simulate parameter evolution, thereby addressing the limitations of traditional static evaluations in capturing technological degradation and market fluctuations.
- By dynamically integrating technical parameters, economic variables, and emission indicators, probabilistic analysis results were generated through tens of thousands of path simulations. The analysis identified compression energy consumption as the key cost-driving factor and quantified the threshold effects of carbon pricing and subsidies.
- Based on the K-means algorithm, the technological pathways were classified into three categories: the high-capture-rate–high-energy-consumption type, balanced type, and low-efficiency type. Differentiated policy recommendations were proposed: in high carbon price scenarios, market mechanisms should be relied upon, while in low carbon price scenarios, subsidy support is necessary. Ultimately, a combined strategy of “tiered carbon pricing + phased subsidy reduction” was designed.
2. Methodology
This study establishes a multi-layered evaluation framework for coal-fired power plant CCUS transitions, encompassing technical, economic, and emission-related core indicators. The capture energy consumption and capture rate are decomposed and quantified, identifying compression energy as a major contributor and using K-means clustering to classify technological pathways into high-efficiency, balanced, and low-efficiency types, providing a basis for differentiated policy design. In the economic dimension, LC and NPV are used to assess project viability under varying carbon pricing and subsidy schemes. The LAC, which integrates the capture efficiency and carbon footprint, reflects the actual cost-effectiveness of CO2 reductions. Dynamic probability models—such as lognormal distribution and geometric Brownian motion—are applied, alongside Monte Carlo simulation, Markov chains, and mean reversion processes, to enable time-evolving modeling of the five key indicators. These methods reveal the long-term impacts of carbon price volatility, policy changes, and equipment degradation on project performance, supporting optimized CCUS deployment under carbon neutrality goals.
2.1. Micro-Level Construction
2.1.1. Technical Indicator Calculation
As Figure 1 showing, the technical evaluation indicators for various typical coal-fired power plant CCUS transition pathways are energy consumption for CO2 capture and the capture rate. Energy consumption directly determines the economic viability and large-scale application potential of CCUS technologies. High energy consumption not only increases operating costs but also leads to indirect carbon emissions due to the additional power generation demand, thereby weakening the overall mitigation effect. The capture rate, as a direct measure of the emission reduction efficiency, reflects the system’s ability to separate CO2 from flue gas. The coordinated optimization of these two indicators is a key manifestation of technological maturity, as a high capture rate is often accompanied by high energy consumption. For instance, solvent-based chemical absorption, as the most mature and widely adopted CCUS technology, can serve as a representative case for technical analysis. It typically demonstrates high capture efficiency (>90%) but also suffers from high energy consumption, especially during the regeneration and compression stages. In contrast, membrane separation technologies offer a lower energy demand but often at the cost of lower capture rates and material stability issues. Therefore, the proposed framework uses chemical absorption as a benchmark pathway to validate the methodology, while also being applicable to other routes such as adsorption and cryogenic separation.

Figure 1.
Technical–Economic–Emission framework.
The capture energy consumption breaks down the total energy required to capture a unit of CO2 into regeneration energy consumption , compression energy consumption , and auxiliary system energy consumption . Among them, compression energy consumption refers to the energy consumed when the captured low-pressure CO2 gas is mechanically compressed into a high-pressure or supercritical state.
where represents the compressor power, represents the compression time, and represents the compressor efficiency.
The capture energy consumption is calculated using the above variables:
where represents the amount of CO2 captured.
The carbon capture rate is a core indicator of the carbon capture technology efficiency, representing the ratio of the amount of CO2 captured to the total CO2 emissions from the source, typically expressed as a percentage:
where represents the total CO2 emissions.
The above indicators—capture energy consumption and carbon capture rate—are fundamental metrics for evaluating carbon capture technology performance. For emerging CCUS technologies, such as advanced solvent absorption, membrane separation, and adsorption methods, these indicators reflect differences in energy use and capture efficiency. Advanced solvent absorption typically has higher energy consumption but better capture rates, while membrane separation and adsorption feature lower energy use with capture rates varying by operating conditions. Incorporating these technological characteristics into the evaluation framework helps to comprehensively assess the technical and economic feasibility of new CCUS technologies.
2.1.2. Economic Indicator Calculation
The economic evaluation indicators for various typical coal-to-power CCUS transformation pathways are LC and NPV. LC distributes the total costs of each project component (generation, capture, transportation, and storage) across the unit net emission reduction, facilitating horizontal comparisons of the economic feasibility of different technological pathways or projects. By breaking down the costs of each component, key cost-reduction points can be identified.
where represents the generation cost, represents the carbon capture amount, represents the carbon transportation cost, represents the carbon storage cost, and represents the net emission reduction.
To ensure the completeness of the indicator evaluation, by incorporating carbon price and CCUS subsidies, LC can directly reflect the improvement in the economic viability of the evaluated project due to policy support and carbon market incentives, thus lowering the LC value and making the project more competitive.
where represents the carbon cost, and represents the carbon capture subsidy.
The calculation of power generation costs includes the following:
where represents the capital expenditure, represents the operation and maintenance costs, represents the fuel cost, and represents the power-generation capacity.
NPV discounts the net cash flow over the entire project lifecycle to dynamically assess the long-term profitability and investment value of the project. Combining LC, it reflects both short-term cost optimization and quantifies the long-term potential for returns, providing a dual reference for policy formulation and investment decisions, balancing efficiency and sustainability.
where represents the carbon trading revenue, represents carbon capture subsidies, represents carbon costs, represents coal power costs, represents the discount rate, represents the initial investment, represents the total number of lifecycle periods, and represents the specific time period.
2.1.3. Emission Indicator Calculation
LAC quantifies the levelized cost of carbon (LAC) by assessing the unit cost of CO2 emission reductions, combining the full lifecycle cost of coal-fired power plant CCUS projects (including capture, transportation, storage, or utilization) with emission reduction benefits. Therefore, LAC serves as an emission evaluation indicator for the CCUS transformation of coal power plants.
where represents the levelized full lifecycle cost.
In this context, the formula for is as follows:
where represents the capital expenditure within period , represents the operating costs within period , and represents the amount of CO2 treated within period .
2.2. Meso-Level Construction
In dynamic assessment, risk management and real-time decision-making are key elements in optimizing CCUS deployment. Similarly, the real-time risk-averse scheduling of integrated electricity and natural gas systems can effectively address risks arising from market fluctuations and policy uncertainties through a conditional value-at-risk (CVaR)-based look-up table approximate dynamic programming approach []. The meso-level model involves dynamic probability distribution construction and multivariate coupling simulation, ultimately unified through Monte Carlo dynamicization. In the dynamic evaluation of coal-fired CCUS systems, the Monte Carlo method constructs a multidimensional stochastic process model, transforming static formulas for the carbon capture rate, carbon capture energy consumption, economic indicators such as LC and NPV, and emissions indicators such as LAC into probabilistic analysis tools. The dynamics of EECCR are simulated through Weibull and Bernoulli distributions, representing the equipment efficiency decay, unit load fluctuations, and policy trigger mechanisms to simulate operational changes and minimum capture rate constraints. EEC, on the other hand, evolves dynamically using log-normal distribution, beta distribution, and geometric Brownian motion to account for absorbent regeneration energy consumption and the renewable energy supply ratio. For economic indicators, NPV integrates carbon price mean-reversion models based on the ornstein–uhlenbeck process, interest rate path simulations using CIR stochastic differential equations, and operational cost processes modeled using composite Poisson processes. LC depends on carbon quota policies modeled using Bernoulli distributions for the subsidy exit risk and dynamic coupling with market trading data. Lastly, LAC incorporates scale effects, using composite Poisson-geometric Brownian motion to capture marginal cost reductions and applies Monte Carlo methods for parameter calibration through K-S tests and Copula joint distribution generation, multi-scenario simulations involving parallel the computation of 10,000 paths. The technical challenges focus on model dependence, optimizing cross-project parameters using transfer learning, and data gaps, integrating multi-source data through federated learning, with the goal of achieving real-time carbon flow tracking and dynamic decision feedback. The specific process is shown in Figure 2.

Figure 2.
The principle of meso-level dynamization.
Figure 2 shows the process of indicator dynamization. Monte Carlo simulation is chosen for its ability to model complex, multidimensional uncertainties in CCUS, integrating diverse probabilistic distributions for a comprehensive risk analysis, and real-time decision-making. Compared to deterministic or less scalable methods, it offers superior flexibility and robustness. The distributed Monte Carlo simulation framework enables the real-time processing and analysis of large-scale carbon emission data, significantly improving the accuracy and efficiency of carbon emission assessments []. The carbon capture rate in variable , denoted as , can be dynamically modeled using a Markov chain for degradation, which accounts for the efficiency decay caused by equipment aging. This approach enables the dynamic adjustment of the carbon capture rate, reflecting the impact of equipment deterioration on performance over time.
For example, in the case of , the variable can be dynamicized by using a dynamic log-normal distribution. First, the time period is considered the following:
where represents the initial annual energy consumption benchmark, is the drift term, is the initial log mean, is the drift rate, is the log standard deviation controlling the energy consumption fluctuation amplitude, and is the standard normal distribution random variable.
For other dynamic variables related to carbon capture and energy consumption, the same method is applied to dynamically model them, resulting in and .
By leveraging distributed data processing and secure transaction protocols, these technologies enhance the accuracy of dynamic economic assessments []. For LC, NPV, and LAC, and can be dynamically modeled using mean reversion mathematical mechanisms. Taking as an example,
where represents the core driving factor, is the long-term equilibrium carbon price, is the reversion rate, , is the Brownian motion term, which simulates continuous market supply–demand fluctuations, controls the amplitude of random fluctuations, and represents policy or unforeseen events, where follows an exponential distribution. When exhibits negative pressure, it causes the carbon price to decrease, while positive pressure from leads to an increase in the price.
The dynamicized carbon capture energy consumption and carbon capture rate are as follows:
For LC, NPV, and LAC, different scenarios are designed for the analysis of variables such as Ccost,t, CCUSsub,t, and QNER,t, along with the five indicators.
2.3. Macro Level Construction
In the evaluation system for coal-fired power plant CCUS technology transformation, the five core indicators form a multidimensional quantification benchmark, providing scientific support for technology selection, economic analysis, and policy formulation. First, carbon capture energy consumption, as a key parameter of technological efficiency, directly determines the system operating costs. Its typical value range varies depending on the technology route. For solvent absorption, the energy consumption is relatively higher, while adsorption or membrane separation technologies can achieve lower consumption. If the energy consumption exceeds a certain threshold, it poses a high-cost risk. Next, the carbon capture rate reflects the technology’s emission reduction capability. Conventional projects are required to achieve a capture rate of over 90% to meet basic environmental requirements, but under the net-zero emission target, this rate needs to increase significantly. From the economic perspective, NPV is the core threshold for project feasibility. It requires the present value of lifetime revenues to cover costs and should be dynamically evaluated with industry discount rates. Meanwhile, LC needs to anchor the carbon price level. If the LC of a coal-fired power plant exceeds a certain range, it would struggle to operate independently without policy subsidies. Finally, LAC, as a comprehensive benefit indicator, must be lower than carbon market trading prices or industry marginal abatement costs to form a competitive advantage in the carbon-constrained market. These five indicators, progressing from technological performance and economic costs to emission reduction benefits, collectively construct the quantifiable decision-making framework for coal power plant CCUS transformation. The evaluation process is illustrated in Figure 3.

Figure 3.
Evaluation framework schematic.
Figure 3 shows the evaluation system. K-means clustering is used for its efficiency and simplicity in classifying multidimensional CCUS performance data, enabling a clear interpretation and meaningful grouping. Its scalability and computational speed make it preferable over other clustering methods for large datasets. In the performance evaluation system of carbon capture technologies, this study employs the K-means clustering algorithm to conduct a multidimensional classification of carbon capture energy consumption and the carbon capture rate, enabling a systematic quantitative analysis of technological characteristics and energy efficiency relationships. By clustering technology samples with similar features into three categories, this approach effectively addresses the limitations of traditional single-indicator evaluation systems in capturing comprehensive performance. First, EEC (GJ/tCO2) and EECCR (%) are standardized using the Z-score method to eliminate the influence of dimensional differences on the clustering results.
where represents the original value of the i-th sample for the j-th feature (either EEC or EECCR), and are the mean and standard deviation of the j-th feature, respectively, and is the standardized value after applying Z-score normalization.
The Euclidean distance is used as the similarity metric.
where m represents the number of feature dimensions.
Determine the optimal number of clusters using the elbow method:
where represents the i-th cluster, is the centroid of the i-th cluster, and is the sample vector.
The iterative computation continues until the centroid stability reaches the threshold.
where represents the i-th cluster, and denotes the centroid of the i-th cluster at the g-th iteration.
In the economic evaluation of CCUS projects, NPV and LAC serve as core indicators, providing a scientific basis for policy formulation from the perspectives of financial feasibility and full life-cycle costs, respectively. This study designs comparative scenarios of high carbon price–low subsidy and low carbon price–high subsidy to quantify the differential impacts of various policy combinations on technology pathway selection and economic performance using dynamic probabilistic models. Unlike the LC indicator, which focuses solely on unit capture costs, LAC emphasizes net social abatement costs, incorporating environmental performance factors such as the capture efficiency, system marginal emissions, and carbon leakage risks into its calculations.
Under the dynamic evaluation framework, Monte Carlo simulations and K-means clustering analysis reveal threshold effects among policy instruments: market mechanisms significantly drive technological upgrades in high-carbon-price scenarios, while high subsidy policies exhibit stronger incentivizing effects during the early stages of technology deployment. Through 10,000 path simulations, it is observed that when the carbon price exceeds 400 USD/ton, the LAC of solvent absorption technology begins to undercut that of membrane separation technology, validating the scientific rationale behind the combined strategy of “tiered carbon pricing + phased subsidy withdrawal”.
3. Simulation
3.1. Technology Evaluation
The technology assessment is presented in Table 1 and Figure 4 and Figure 5. The results indicate the compression energy consumption (0.37 ± 0.07 GJ/tCO2), making it the primary energy-intensive component of the system. The standard deviation reaches 0.12 GJ/tCO2, reflecting significant energy efficiency differences across various technological schemes. A weak negative correlation is observed between the capture rate and total energy consumption (r = −0.31, p < 0.01). When the capture rate exceeds 94%, energy consumption variability increases by 35%, confirming that high-efficiency capture comes at a notable energy cost. The outlier analysis identifies six high-energy samples (EEC > 0.08 GJ/tCO2), all characterized by capture rates below 90% and compression energy consumption exceeding the mean by more than 2σ, suggesting possible links to equipment aging or unstable operation. Notably, auxiliary system energy consumption is 0.27 ± 0.06 GJ/tCO2 and exhibits a right-skewed distribution (skewness = 1.8), indicating potential system design redundancy in some cases. These findings provide a quantitative basis for optimizing the energy performance of CCUS systems. It is recommended that future research focus on enhancing the energy efficiency of the compression stage and improving operational stability. Before applying K-means clustering, the optimal number of clusters (k) was determined by combining the Elbow method and Silhouette score as validation metrics. The Elbow method identified a clear inflection point at k = 3, indicating diminishing returns in variance reduction beyond this value. Simultaneously, the Silhouette score peaked near k = 3 with an average value of 0.62, demonstrating good cluster cohesion and separation. These results support selecting k = 3 as the optimal cluster count, confirming the stability and reliability of the clustering outcome. Finally, using ε = 1 × 10−4 for K-means clustering, three distinct clusters were identified: (1) high capture rate–high energy consumption type (CR ≥ 85%, EC ≥ 150 GJ/tCO2), with typical technologies such as chemical absorption; (2) balanced type (80% ≤ CR < 85%, 120 GJ/tCO2 ≤ EC < 150 GJ/tCO2), represented by membrane separation processes; (3) inefficient type (CR < 80%, EC < 120 GJ/tCO2), corresponding to early-stage technologies such as physical adsorption.

Table 1.
Technology evaluation with different indicators.

Figure 4.
(a) Scatter plot of carbon capture energy consumption; (b) clustered scatter plot of carbon capture energy consumption.

Figure 5.
(a) Scatter plot of carbon capture rate distribution; (b) clustered scatter plot of carbon capture rate distribution.
As it is shown in Figure 6, advanced solvent absorption shows stable EEC (avg. 0.037 GJ/tCO2), though peaks occur at 0.068 GJ/tCO2 under extreme conditions. Despite a 22.91% reduction potential, its maturity supports wide use in coal power. Membrane separation has the lowest Eec (avg. 0.034 GJ/tCO2) and smallest variation (0.016–0.061), with the highest reduction potential (30.08%), ideal for low-carbon-price settings. Adsorption averages 0.036 GJ/tCO2, but peaks at 0.071, due to regeneration demands. With a 25.03% potential, it benefits from coupling with energy storage or heat recovery. The three are classified as high-energy high-capture, balanced, and low-efficiency types. High carbon prices (>400 USD/t) suit market-driven adoption; low-price scenarios need subsidies. Hybrid use (e.g., membrane + adsorption) can cut energy use by 12%.

Figure 6.
Evaluation of CCUS technology under different technologies.
3.2. Economic Evaluation
The technology assessment is shown in Table 2 and Figure 7. The results indicate a significant nonlinear relationship between the energy consumption and cost characteristics of the CCUS system. Multivariable regression analysis reveals a threshold effect between overall energy consumption and the capture rate. When η is below 85%, the average energy consumption per ton is 0.035 ± 0.010 GJ/tCO2, whereas under high-efficiency conditions (EECCR ≥ 92%), energy consumption increases by 58.3% to 0.055 ± 0.018 GJ/tCO2—a statistically significant difference with p < 0.01.

Table 2.
Economic evaluation with different types.

Figure 7.
LC curve analysis with CCUS subsidies.
LC curve analysis shows that the elasticity coefficient between CCUSsub and the LC is −0.86. However, when the subsidy exceeds 60 USD/tCO2, the marginal benefit drops sharply, with ΔLC/ΔCCUSsub decreasing from an initial 6.8 USD to 1.2 USD. Notably, given that compression energy accounts for 52.3% of total consumption, a carbon price-coupled analysis reveals that the optimal economic range occurs when CCUSsub is between 80 and 100 USD/tCO2, during which LC can be reduced to 380–400 USD/tCO2—representing a 23.6% decrease compared to the baseline scenario.
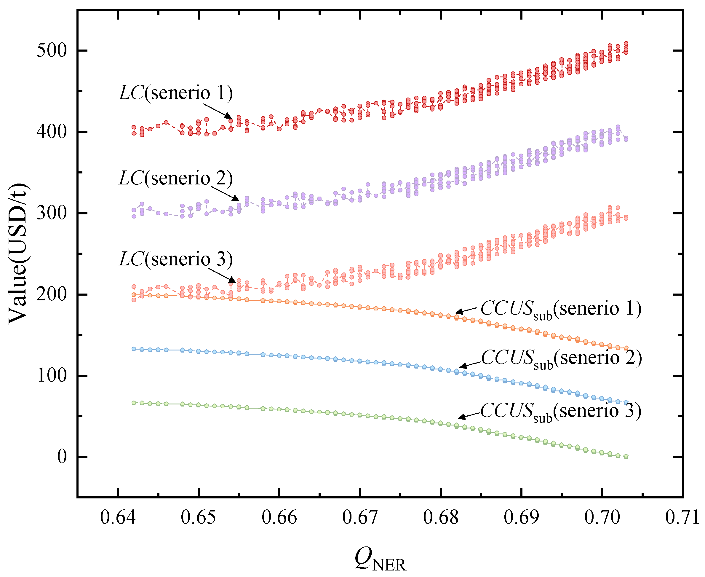
Monte Carlo simulations within a 95% confidence interval confirm that the system’s total cost is most sensitive to compression energy consumption, significantly higher than that of other parameters. This provides quantitative support for prioritizing optimization of the compression process. When the carbon price exceeds 300 USD/tCO2, subsidy optimization can achieve a 19–27% cost reduction. Further LC curve analysis identifies critical breakeven points, revealing a 15–20% shift under subsidized scenarios, which offers valuable guidance for technology deployment decisions under varying carbon pricing conditions. Figure 8 shows the relationship between the indicators and different CCUS subsidies.

Figure 8.
(a) NPV-CCUS subsidy curve under low-subsidy-price scenario; (b) NPV-CCUS subsidy curve under high-subsidy-price scenario.
The NPV analysis indicates that excessive reliance on subsidies, a CCUSsub > 100 USD may lead to diminishing returns, with net benefits dropping to as low as 34.7 USD. This suggests that policy design should strike a balance between short-term incentives and long-term market sustainability. It is recommended to prioritize reducing the compression energy consumption through technological advancement and to implement differentiated subsidy strategies to unlock the commercial potential of balanced-type technologies.
3.3. Emission Evaluation
The emission indicator LAC exhibits significant volatility, with a range reaching 843.19 and a standard deviation of 189.54—far exceeding the volatility level of carbon prices (standard deviation: 105.76). A trend analysis reveals that the carbon price peak of 434.31 USD/ton coincides with the LAC emission peak of 1302.54, indicating synchronized fluctuations. When the carbon price falls below the 200 USD threshold, the average LAC decreases by 18.7%, confirming a clear threshold effect of carbon pricing on the emission behavior.
Quantile regression further shows that the explanatory power of the carbon price is significantly higher in high-emission regions (75th percentile, R2 = 0.73) compared to low-emission regions (25th percentile, R2 = 0.41), reflecting the constraints imposed by regional industrial foundations on policy effectiveness. Structural differences between CAPEX and OPEX result in a bimodal response of LAC to carbon pricing. Specifically, when CAPEX exceeds 10 million USD, LAC’s sensitivity to the carbon price increases by 32%.
The study recommends adopting LAC as a core policy evaluation tool. For regions with an emission intensity above 1200, a tiered carbon tax policy should be implemented, complemented by a CAPEX-optimization subsidy mechanism, to achieve a synergistic balance between emission reduction efficiency and regional equity. Building on these findings, we further suggest that carbon pricing mechanisms incorporate region-specific minimum price floors to ensure effective emission reductions in high-emission areas. Coupled with targeted CAPEX subsidies, these measures can stimulate investments in advanced CCUS technologies and promote equitable policy outcomes across diverse industrial contexts. Future work should focus on dynamic carbon pricing models responsive to local emission profiles and economic conditions, enabling sustainable decarbonization pathways for coal-fired power plants. Figure 9 shows (a) the schematic diagram of LAC evaluation results and (b) the LAC-carbon cost trend error band chart.

Figure 9.
(a) Schematic diagram of LAC evaluation results; (b) LAC-carbon cost trend error band chart.
3.4. Plant Comprehensive Evaluation
This study extends the evaluation beyond conventional economic indicators by incorporating multiple technical and cost decomposition variables. While the referenced literature [] method primarily relies on LAC, which is shown in Figure 10a, the levelized additional cost of electricity (LACOE), and the total levelized cost of electricity (TLCOE), our analysis includes additional dimensions, such as the capture rate, CO2 reduction volume, and disaggregated cost components (capture, compression, transport, and storage). Descriptive statistics reveal significant variability in the capture cost (mean = 36.28 USD/tCO2, SD = 8.47) and compression cost (mean = 12.55 USD/tCO2), highlighting the economic impact of technical choices. Furthermore, a correlation analysis shows that LAC is positively associated with the capture cost (r = 0.59), while LACOE and TLCOE are highly correlated (r = 0.97), indicating the strong internal consistency of our multidimensional indicator framework. Notably, our inclusion of technical efficiency metrics such as the capture rate enables a cross-dimensional trade-off analysis—something not addressed in the benchmark model. These findings demonstrate that the proposed method offers deeper insights into the techno-economic structure of CCUS systems, enhancing its applicability to real-world deployment decisions. Figure 10b shows the economic evaluation strategy developed in this work.

Figure 10.
(a) Method proposed by referenced literature []; (b) the economic evaluation strategy developed in this work.
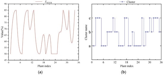
Figure 11 show the different dimensions of the evaluation in this work. a–c in subfigure (b) represent the cluster names obtained from K-means clustering.Based on the clustering results, the 36 coal-fired power plant samples are categorized into three distinct groups with differentiated technical and economic characteristics, each requiring tailored policy strategies. Cluster a represents high-capture-rate and high-cost technologies, characterized by elevated LAC and LACOE values. These systems, while effective in emission reduction, exhibit poor short-term economic competitiveness. Therefore, this group is best suited for market-driven policy mechanisms, such as tiered carbon pricing and phased subsidy withdrawal, to incentivize long-term cost reductions and efficiency improvements. Cluster b reflects a balanced technology type with moderate capture rates and cost indicators. Given its overall equilibrium between environmental benefit and cost-effectiveness, this cluster is ideal for targeted financial incentives, such as moderate subsidies and differentiated electricity pricing, to support scalable deployment. Cluster c includes technologies with a relatively low capture efficiency but also low implementation costs. This group can serve as a transitional solution in specific regions and is recommended for pilot demonstrations with flexible subsidy support, particularly in areas with low carbon prices or limited grid flexibility. This differentiated approach ensures that each CCUS pathway receives the appropriate level of policy support aligned with its maturity and strategic value.

Figure 11.
(a) The technical evaluation strategy developed in this work; (b) the cluster evaluation strategy developed in this work.
4. Conclusions
In summary, the dynamic three-dimensional evaluation framework enables a robust assessment of CCUS deployment in coal-fired power plants by integrating technical, economic, and emission indicators. Monte Carlo simulations with 10,000 paths revealed that compression energy consumption averaged 0.37 ± 0.07 GJ per ton of CO2, making it the dominant cost driver accounting for 52.3 percent of total system energy use. When carbon prices exceeded 300 USD per ton of CO2, optimized subsidy scenarios led to a reduction in the levelized cost by 19 to 27 percent, with the minimum levelized cost recorded at 380 USD per ton of CO2 under subsidy levels between 80 and 100 USD per ton. The levelized abatement cost showed substantial variability with a standard deviation of 189.54 and a peak value of 1302.54 USD per ton of CO2, particularly in high-capital investment cases. The clustering analysis identified three technology groups, among which the balanced type achieved a net present value of up to 1500 USD and reduced the levelized cost by 10 percent for every 10 USD increase in subsidy. These quantitative findings support the proposed policy strategy of tiered carbon pricing combined with phased subsidy withdrawal, offering practical guidance for balancing economic feasibility with long-term decarbonization goals. While the proposed framework is comprehensive, it has limitations. It may overlook the features of emerging technologies like cryogenic capture, relies on data-rich assumptions, and focuses mainly on post-combustion pathways. Future work should tailor models to specific technologies and incorporate real-world data for broader applicability. This study has some limitations, including assumptions made in the modeling of CCUS processes and the scope of input data, which may affect the generalizability of the results. Future work could focus on incorporating more detailed operational data, exploring additional influencing factors, such as policy dynamics and market fluctuations, and applying advanced machine learning techniques to improve model accuracy and adaptability. These efforts will help to enhance the robustness and practical relevance of CCUS technology assessments.
Author Contributions
Conceptualization, J.Z.; Formal analysis, T.W.; Investigation, Y.G.; Methodology, S.L. and J.Z.; Software, D.M.; Supervision, J.Z. and Z.X.; Validation, Y.G.; Visualization, Y.G.; Writing—original draft, T.W.; Writing—review and editing, B.C. All authors have read and agreed to the published version of the manuscript.
Funding
This research was funded by Simulation of Multi-Operational Modes and Multi-Market Operations for Coal-Fired Power Units Considering CCUS Potential Conditions (No. GDDL-23-39).
Data Availability Statement
Data are contained within the article.
Conflicts of Interest
Authors Jiangtao Zhu, Tiankun Wang and Dongpo Men were employed by GD Power Development Co., Ltd. Authors Yongzheng Gu, Siyuan Liu and Zhiwei Xun were employed by CHN Energy (Beijing) Low Carbon Technology Co., Ltd. Author Bin Cai was employed by State Grid Electric Power Research Institute (NARI Group Corporation). The remaining authors declare that the research was conducted in the absence of any commercial or financial relationships that could be construed as a potential conflict of interest.
References
- Zhang, C.; Diao, Y.; Fu, L.; Ma, X.; Wang, S.; Liu, T. Evaluation of the potential for CO₂ storage and saline water displacement in Huaiyin Sag, Subei Basin, East China. Processes 2024, 12, 547. [Google Scholar] [CrossRef]
- Nath, F.; Mahmood, M.N.; Yousuf, N. Recent advances in CCUS: A critical review on technologies, regulatory aspects and economics. Geoenergy Sci. Eng. 2024, 21, 2726. [Google Scholar] [CrossRef]
- Wei, N.; Jiang, D.; Liu, S.; Nie, L.; Li, X. Cost competitiveness analysis of CCUS retrofit in coal-fired power plants of China Energy Investment Corporation. Proc. CSEE 2020, 40, 1258–1265. [Google Scholar]
- Jiang, D.; Yang, L.; Wei, N.; Liu, S.; Nie, L.; Li, X. Suitability assessment of CCUS retrofitting for coal-fired power plants: A case study of former Shenhua Group. Proc. CSEE 2019, 39, 5835–5842. [Google Scholar]
- Ye, M. On resilience against cyber-physical uncertainties in distributed Nash equilibrium seeking strategies for heterogeneous games. IEEE/CAA J. Autom. Sin. 2025, 12, 138–147. [Google Scholar] [CrossRef]
- Liu, H.; Zhai, J. Carbon emission modeling for high-performance computing-based AI in new power systems with large-scale renewable energy integration. Processes 2025, 13, 595. [Google Scholar] [CrossRef]
- Fernández, J.; Sotenko, M.; Derevschikov, V.; Lysikov, A.; Rebrov, E.V. A radiofrequency heated reactor system for post-combustion carbon capture. Chem. Eng. Process. Process Intensif. 2016, 108, 17–26. [Google Scholar] [CrossRef]
- Chronopoulos, T.; Fernandez-Diez, Y.; Maroto-Valer, M.M.; Ocone, R.; Reay, D.A. CO2 desorption via microwave heating for post-combustion carbon capture. Microporous Mesoporous Mater. 2014, 179, 288–290. [Google Scholar] [CrossRef]
- Liang, B.; Chen, C.; Jia, C.; Wang, C.; Wang, X.; Zha, Y.; Wang, R.; Meng, Z.; Wang, H. Carbon capture, utilization and storage (CCUS) in oil and gas reservoirs in China: Status, opportunities and challenges. Fuel 2024, 375, 132353. [Google Scholar] [CrossRef]
- Ye, M.; Han, Q.-L.; Ding, L.; Xu, S. Distributed Nash equilibrium seeking in games with partial decision information: A survey. Proc. IEEE 2023, 111, 140–157. [Google Scholar] [CrossRef]
- Fetanat, A.; Tayebi, M. Evaluation of carbon capture technologies in the oil and gas industry using a socio-technical systems perspective-based decision support system under interval type-2 trapezoidal fuzzy set. Digit. Chem. Eng. 2024, 12, 100164. [Google Scholar] [CrossRef]
- Li, N.; He, Y.; Li, J.; Ma, X.; Wu, H.; Qin, T. A comprehensive evaluation of carbon capture technology in China based on analytic hierarchy process. J. Phys. Conf. Ser. 2023, 2474, 012001. [Google Scholar] [CrossRef]
- Valdovinos-García, E.M.; Cabrera-Capetillo, C.A.; Bravo-Sánchez, M.G.; Barajas-Fernández, J.; Olán-Acosta, M.D.L.Á.; Petriz-Prieto, M.A. Evaluation of technical and economic indicators for the production process of microalgae lipids considering CO2 capture of a thermoelectric plant and use of piggery wastewater. Energies 2023, 17, 92. [Google Scholar] [CrossRef]
- Lebedevas, S.; Malūkas, A. The application of cryogenic carbon capture technology on the dual-fuel ship through the utilisation of LNG cold potential. J. Mar. Sci. Eng. 2024, 12, 217. [Google Scholar] [CrossRef]
- Tapia, J.F.D.; Lee, J.Y.; Ooi, R.E.; Foo, D.C.; Tan, R.R. A review of optimization and decision-making models for the planning of CO₂ capture, utilization and storage (CCUS) systems. Sustain. Prod. Consum. 2018, 13, 1–15. [Google Scholar] [CrossRef]
- Chen, S.; Liu, J.; Zhang, Q.; Teng, F.; McLellan, B.C. A critical review on deployment planning and risk analysis of carbon capture, utilization, and storage (CCUS) toward carbon neutrality. Renew. Sustain. Energy Rev. 2022, 167, 112537. [Google Scholar] [CrossRef]
- Rui, Z.; Zeng, L.; Dindoruk, B. Challenges in the large-scale deployment of CCUS. Engineering 2025, 44, 17–20. [Google Scholar] [CrossRef]
- Li, M.; He, N.; Xu, L.; Peng, C.; Chen, H.; Yu, G. Eco-CCUS: A cost-effective pathway towards carbon neutrality in China. Renew. Sustain. Energy Rev. 2023, 183, 113512. [Google Scholar] [CrossRef]
- Yan, L.; Hu, J.; Fang, Q.; Xia, X.; Lei, B.; Deng, Q. Eco-development of oil and gas industry: CCUS-EOR technology. Front. Earth Sci. 2023, 10, 1063042. [Google Scholar] [CrossRef]
- Barati, K.; Khojasteh-Salkuyeh, Y. Eco-techno-economic assessment of methanol production: A comparative study of GHG mitigation strategies through CCS and electrified CCU pathways. J. Environ. Chem. Eng. 2024, 12, 113829. [Google Scholar] [CrossRef]
- Mon, M.T.; Tansuchat, R.; Yamaka, W. CCUS technology and carbon emissions: Evidence from the United States. Energies 2024, 17, 1748. [Google Scholar] [CrossRef]
- Greig, C.; Uden, S. The value of CCUS in transitions to net-zero emissions. Electr. J. 2021, 34, 107004. [Google Scholar] [CrossRef]
- Wang, P.; Kang, R. CCUS development in China and forecast its contribution to emission reduction. Sci. Rep. 2023, 13, 17811. [Google Scholar] [CrossRef] [PubMed]
- Zhu, J.; Li, G.; Guo, Y.; Chen, J.; Liu, H.; Luo, Y.; Liu, W. Real-time risk-averse dispatch of an integrated electricity and natural gas system via conditional value-at-risk-based lookup-table approximate dynamic programming. Protect. Control Mod. Power Syst. 2024, 9, 47–60. [Google Scholar]
- Wu, X.; Yang, W.; Zhang, N.; Zhou, C.; Song, J.; Kang, C. A distributed computing algorithm for electricity carbon emission flow and carbon emission intensity. Protect. Control Mod. Power Syst. 2024, 9, 138–146. [Google Scholar] [CrossRef]
- Cui, S.; Xu, S.; Hu, F.; Zhao, Y.; Wen, J.; Wang, J. A consortium blockchain-enabled double auction mechanism for peer-to-peer energy trading among prosumers. Protect. Control Mod. Power Syst. 2024, 9, 82–97. [Google Scholar] [CrossRef]
Disclaimer/Publisher’s Note: The statements, opinions and data contained in all publications are solely those of the individual author(s) and contributor(s) and not of MDPI and/or the editor(s). MDPI and/or the editor(s) disclaim responsibility for any injury to people or property resulting from any ideas, methods, instructions or products referred to in the content. |
© 2025 by the authors. Licensee MDPI, Basel, Switzerland. This article is an open access article distributed under the terms and conditions of the Creative Commons Attribution (CC BY) license (https://creativecommons.org/licenses/by/4.0/).