Abstract
Polymer flooding is one of the critical methods for enhancing oil recovery (EOR) in domestic and international oilfields. Since the large-scale implementation of industrial polymer flooding in Daqing Oilfield in 1996, the overall recovery rate has increased by over 10%. With the advancement of chemical flooding technologies, conventional polymer flooding can no longer meet the practical demands of oilfield development. This study focuses on functional polymers, such as salt-resistant polymers and polymeric surfactants, tailored for Class II and III reservoirs in Daqing Oilfield. A series of experiments, including emulsification experiments, hydrodynamic characteristic size-reservoir compatibility comparison experiments, polymer retention experiments in porous media, and core flooding experiments, were conducted to investigate the differences between functional polymers and conventional polymers in terms of intrinsic properties and application performance. Comparative analyses of molecular chemical structures and micro-aggregation morphologies between functional polymers (branched polymers and polymeric surfactants) and conventional polymers revealed structural composition disparities and distinct viscosity-enhancing properties. From the perspective of aqueous solution viscosity enhancement mechanisms, functional polymers exhibit a three-stage viscosity-enhancing mechanism: bulk viscosity, associative viscosity, and emulsion-induced viscosity enhancement. The hydrodynamic characteristic sizes of polymers were analyzed to evaluate their compatibility with reservoir pore structures, and the seepage resistance mechanisms of both polymeric surfactants and salt-resistant polymers were identified. Core flooding experiments conclusively demonstrated the superior practical performance of functional polymers over conventional polymers. The application of functional polymers in polymer flooding can effectively enhance oil recovery.
1. Introduction
Daqing Oilfield began to develop polymer flooding technology in the 1960s and gradually achieved large-scale promotion and application after 1995. Polymer flooding technology has become one of the main technical means to improve crude oil recovery in the main reservoirs of Daqing Oilfield [1,2,3]. At present, the polymer for tertiary oil recovery is mainly anionic partially hydrolyzed polyacrylamide [4,5]. In recent years, with the development object of polymer flooding shifting from the main oil layer to the second and third oil layers, it is required that the polymer has low molecular weight and high viscosity of sewage preparation system. However, the anionic partially hydrolyzed polyacyl has poor salinity resistance and cannot meet the actual needs of the current oilfield [6,7,8]. At present, the functional polymers designed for medium- and low-permeability reservoirs at home and abroad are mainly hydrophobic-associating polymers and multifunctional monomer composite polymers. The hydrophobically associating polymer has a low relative molecular mass and a hydrophobic group on the molecular chain. When the polymer mass concentration reaches a critical value, the hydrophobic group tends to undergo intramolecular and intermolecular association to form a network structure and improve the viscosity and salt resistance of the solution [9,10,11,12,13]. The multifunctional monomer composite polymer mainly realizes the specific demand of the displacement environment for the oil displacement agent by introducing specific functional groups such as temperature resistance, salt resistance, enhanced intermolecular interaction, and enhanced interaction between the polymer and the crude oil into the main chain of the polymer molecule.
Compared with other types of oil displacement agents, polymer has the characteristics of high viscosity and low formation permeability. The polymer molecular chains extend in water and intertwine with each other to form a network structure, which significantly improves the fluid viscosity, reduces the oil–water mobility ratio, and slows down the advancing speed of the water flooding front, thereby expanding the swept volume, so that the oil displacement agent can flow to the oil-bearing area that is originally difficult to reach and improve the displacement efficiency of the oil displacement agent [14,15,16]. Polymer can also enter the middle- and high-permeability layers of the reservoir, and reduce the permeability of the formation by means of viscoelastic plugging, precipitation plugging, and mechanical plugging, so as to effectively adjust the heterogeneity of the reservoir, make the fluid flow more evenly in all directions, realize the balanced use of the layers, and improve the recovery efficiency of the reservoir [17,18]. Among them, viscoelastic plugging uses the viscoelasticity of polymer solution to form a ‘filter cake’ in the middle- and high-permeability layers to intercept particles and filter liquid, which hinders the flow of oil and water and forces the fluid to turn to the low-permeability layer. Precipitation plugging is through the reaction of polymer and minerals in the formation to form precipitates and block pores, thereby reducing the permeability of the medium- and high-permeability layers. Mechanical plugging is to allow polymer molecules to enter the pore throat and form a ‘bridge plug’ to prevent or slow down the fluid from preferentially passing through the high-permeability area, thereby forcing the fluid to flow to the low-permeability area, increasing the sweep efficiency of the reservoir, making the displacement more uniform, and improving the recovery of crude oil [19,20,21].
Larry et al. [22] studied the application of functionalized polymer surfactant (FPS) in polymer flooding technology through laboratory experiments. The results of core flooding experiments showed that FPS solution had the characteristics of expanding the volume sweep range of polymer and improving the microscopic oil displacement efficiency of surfactant. Compared with the traditional polymer flooding technology, the recovery efficiency was improved by more than 5%, and it could achieve a good yield increase effect at lower injection pressures. In order to cope with the reservoir heterogeneity, Chen et al. [23] studied the displacement mechanism in strong heterogeneous reservoirs by using the micro-etch visualization model and the core nuclear magnetic resonance online displacement experiment. The study found that the use of foam-enhanced polymers to block the dominant flow channel of high-permeability layers can effectively improve the starting pressure and the sweep efficiency of subsequent fluids. Combined with the active polymer, the recovery rate was effectively increased by more than 18.36% in the heterogeneous core displacement experiment, and the purposes of improving the oil displacement efficiency and improving the sweep effect were achieved. By studying the microcapsule polymer flooding technology, Liu [24] found that the microcapsule polymer is easy to disperse and has good stability, which are helpful to improve its injection ability in the formation. The viscosity of the microcapsule polymer can still reach 97.4% of the initial viscosity after high-speed mechanical shearing, which reflects the shear resistance of the microcapsule polymer and solves the problems of injection difficulty and shear degradation of traditional polymer flooding.
From the perspective of the mechanism of polymers increasing the viscosity of the aqueous solution, it is mainly through the cross-linking between polymer molecular chains or the association between hydrophobic groups to form polymer molecular aggregates with ‘regional’ network structure, thereby increasing the ability of the surface of the molecular chain solvation layer to envelop water molecules and showing strong viscosity-increasing performance at the macro level. Compared with the common polymer-thickening method, it can be seen that the polymer-thickening performance is closely related to the morphology of polymer molecular aggregates. The salt-resistant polymer molecular aggregates of the network structure have a stronger ability to collectively encapsulate water molecules than the common polymer molecules of the linear branched structure, but the former molecular coil size is often much larger than the latter [25]. Because the actual working environment of polymer solution is reservoir rock pores, and its spatial size is much smaller than the container for preparing polymer solution indoors, the salt-resistant polymer with larger molecular aggregates may have reservoir adaptability problems when working under reservoir conditions. Combined with the actual characteristics of the second and third types of reservoirs in Daqing Oilfield—through the study of polymer viscosity-increasing characteristics, the study of structure on oil displacement characteristics, and the study of field application effects—the role of functional polymers in the polymer flooding of the second and third types of reservoirs in Daqing Oilfield is revealed [26,27,28,29,30,31].
2. Materials and Methods
2.1. Experimental Instruments
Rheometer (Anton Paar, Austria), viscometer (Bush viscometer LV-DVII, China), electronic balance (Mettler Todole, 1 mg; sedolis precision electronics, sensitivity 0.1 mg), scanning electron microscope (Shimadzu, Japan), core displacement device, oscillation incubator (Changzhou Guohua digital display, China), VARIO micro cube element analyzer (Germany ELEMENT company, Germany), XRF fluorescence spectrometer (Bruker company, America), infrared spectrometer (Bruker company, America), vacuum filtration device, nuclear magnetic resonance hydrogen spectrometer, constant temperature water bath, vertical stirrer, and magnetic stirrer were all used. Experimental glassware included conical flask, beaker, measuring cylinder, funnel, colorimetric tube, etc.
2.2. Experimental Materials
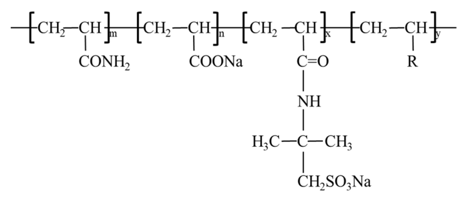
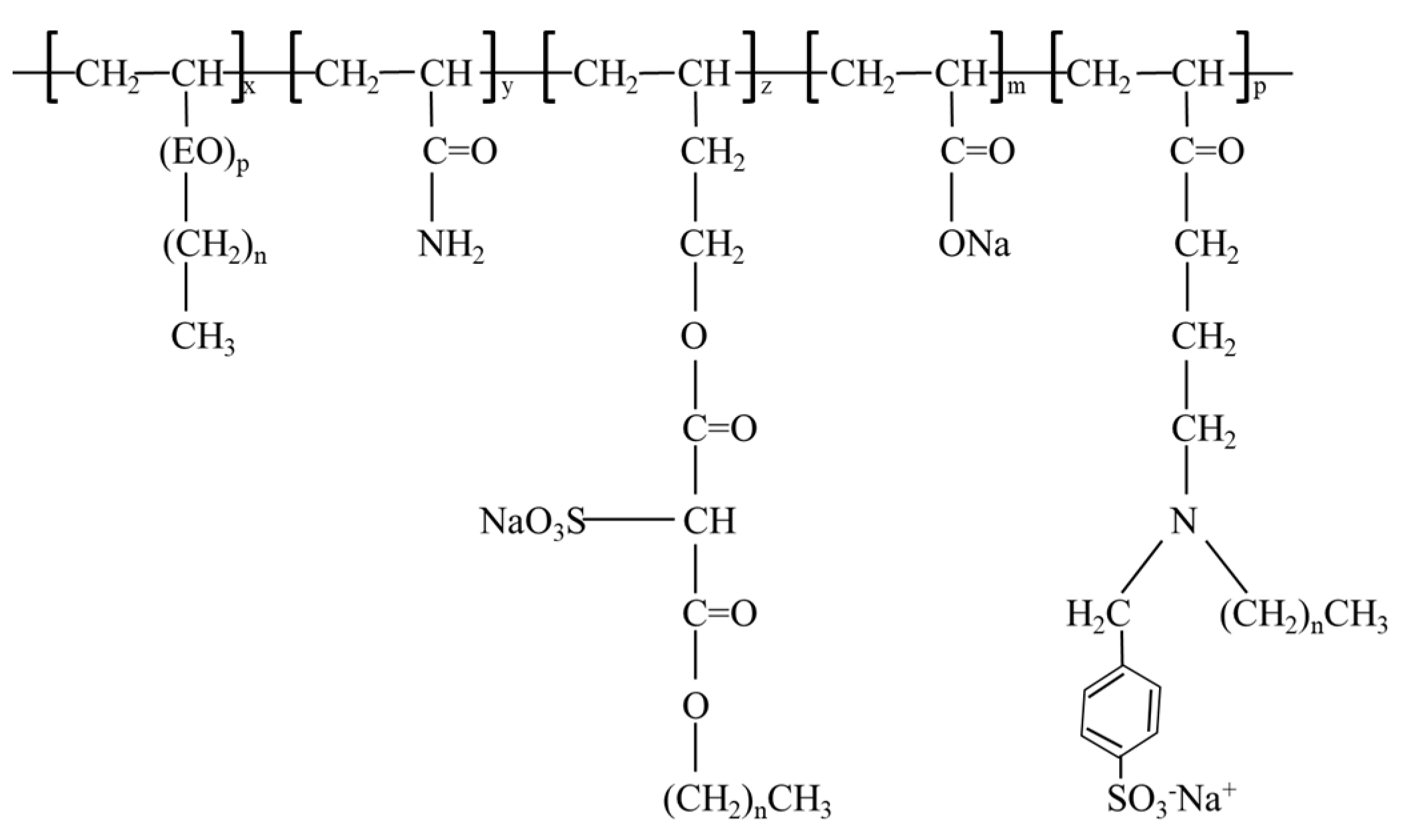
Experimental water: field water, deep sewage, and simulated injection water of Daqing Oilfield. The ion content of experimental water is shown in Table 1. The experimental oil is dehydrated crude oil from Daqing Oilfield, and the experimental oil for oil displacement is a mixture of Daqing crude oil and kerosene. The viscosity of the simulated oil is 10.0 mPa·s at 45 °C. The polymer is a common low-molecular-weight polymer of partially hydrolyzed polyacrylamide (HPAM) produced by Daqing Refining and Chemical Company. The low-molecular-weight salt-resistant polymer produced by JD has a relative molecular mass of 8–12 million and an effective content of 90%. The relative molecular mass of the low-molecular-weight surface agent produced by HD is 4–8 million, and the effective content is 90%. The experimental core is three Daqing natural cores, 5 cm long and 2.5 cm in diameter. The size of the artificial core is 4.5 × 4.5 × 30 cm, and the model gas permeability is 300 mD. The molecular structures of the three polymers are shown in Figure 1, Figure 2 and Figure 3 [32,33,34,35,36].
Table 1.
Ion content of experimental water.
Figure 1.
Molecular structure diagram of low-molecular-weight polymer.
Figure 2.
Molecular structure diagram of salt-resistant polymer.
Figure 3.
Molecular structure diagram of polymeric surfactant.
2.3. Experimental Methods
2.3.1. Emulsification Experiment
Different polymer solutions with a concentration of 1000 mg/L were prepared in the laboratory, mixed with dehydrated crude oil in a ratio of 1:1 at a reservoir temperature of 45 °C, and shaken well with 300 times force oscillation. The rate and rate of water separation were observed regularly.
2.3.2. Comparison Experiment of Matching Relationship Between Hydrodynamic Characteristic Size and Reservoir
The hydrodynamic characteristic size was measured by microporous membrane method. The experiment was carried out at room temperature, and the experimental device was connected. The pressure of 0.1 MPa was applied by the gas cylinder, and 200 mL solution was loaded in the filter container. The filter membrane was gradually reduced from 3 to 0.15, and each filter membrane flowed out of 20 mL solution. The filter membrane was replaced. The viscosity of the filtrate was measured by a Brinell viscometer, and the curve of the viscosity retention rate and the pore size of the filter membrane were plotted. The inflection point was found to be the hydrodynamic size of the polymer. The filter membrane size corresponding to the inflection point of the viscosity retention curve is defined as the hydrodynamic characteristic size of the polymer at this concentration.
2.3.3. Polymer Retention Experiment in Porous Media
Adsorption will inevitably occur after the oil displacement system is injected into the reservoir, and its anti-adsorption ability is the key to the successful application of polymer flooding. Therefore, it is necessary to carry out dynamic adsorption measurement of chemical agents. Conventional hydrogen signal water and hydrogen signal are used to shield fluorine oil. Through the change in signal amplitude after multiple rounds of displacement, the retention amount and pore size of polymer solution in porous media are obtained. The experiment was finally carried out in five-wheel displacement mode: (1) saturated water (pore interval distribution); (2) oil displacement water (Swi); (3) water flooding (calculation of water flooding recovery); (4) polymer surfactant flooding (calculation of polymer surfactant enhanced oil recovery); and (5) oil displacement polymer surfactant (Swi + polymer). The amplitude difference in signal is the retention amount of polymer surfactant in the core.
2.3.4. Core Flow Experiment
The automatic core flooding device was used. The experimental temperature was 45 °C. The core was saturated with water under vacuum conditions, and the permeability was measured by 2 mL/min water flooding. Then, 0.2 mL/min polymer flooding was used to stabilize the pressure, and the resistance coefficient was calculated. The subsequent water flooding was used to stabilize the pressure, and the residual resistance coefficient was calculated. At the same time, the minimum permeability when the residual resistance coefficient was not higher than 1/3 of the resistance coefficient was defined as the lower limit of the injectable permeability of the polymer.
2.3.5. Core Oil Displacement Experiment
The automatic core flooding device was used to carry out the experiment. The experimental temperature was 45 °C. The artificial core was saturated with water under vacuum conditions, and the permeability was measured by water flooding at 2 mL/min (gas permeability was 300 mD). The simulated crude oil was saturated and aged for more than 12 h. The water flooding was carried out at 0.2 mL/min, the water flooding was stopped after the water cut of the produced liquid was 98%, and the water flooding recovery factor was calculated. The polymer flooding was transferred to the polymer flooding, the 0.70 PV polymer solution slug was injected, and then the subsequent water flooding was carried out. The experiment was completed after the water cut of the produced liquid was 98% (Table 2), and the enhanced value of the polymer flooding recovery factor and the total recovery factor were calculated.
Table 2.
Polymer flooding experimental scheme (viscosity 15 mPa·s).
3. Results
3.1. Viscosity Characteristics of Polymer
The relationship between apparent viscosity and mass concentration of different polymers is shown in Figure 4. The apparent viscosity of salt-resistant polymer and polymer surfactant is significantly higher than that of ordinary polymer. When the mass concentration of polymer is 800 mg/L, the apparent viscosity of salt-resistant polymer and polymer surfactant increases rapidly. When the mass concentration of polymer solution is 1200 mg/L, the apparent viscosity of polymer surfactant and salt-resistant polymer is about three times that of ordinary polymer.
Figure 4.
Comparison of viscosity curves of different oil displacement agents.
Figure 5 is the comparison curve of viscosity stability from different polymers. Viscosity can be seen as follows: ordinary polymer < salt-resistant polymer < polymer surfactant. N-alkyl acrylamide hydrophobic groups with enhanced intermolecular interaction exist in the salt-resistant polymer and polymer surfactant molecules. When the mass concentration of polymer solution is higher than 800 mg/L, the hydrophobic groups of N-alkyl acrylamide undergo intramolecular and intermolecular association to form a network structure. Therefore, the salt-resistant polymer and the polymer surfactant have stronger thickening properties and have the characteristics of significantly increasing the apparent viscosity of the polymer solution under the condition of injecting sewage. At the same time, there are supramolecular aggregates in the polymer surfactant solution, which can further increase the viscosity of the system, and the polymer surfactant has higher viscosity at the same concentration.
Figure 5.
Comparison curves of viscosity stability of three polymers.
Figure 6 and Figure 7 show the emulsification photos and water separation rates of different polymers at different times. The ordinary polymer has no emulsifying ability. The ordinary polymer is completely layered in 5 min, and the emulsifying water separation rate of the salt-resistant polymer surfactant is 92% at the time of emulsification, 30 min, and 24 h, and it still has a certain emulsifying ability. Salt-resistant polymers and polymeric surfactants have the ability to emulsify crude oil, and the emulsifying stability of polymeric surfactants is relatively better.
Figure 6.
Emulsifying power comparison photos of different polymers.
Figure 7.
Comparison of emulsion viscosity of different polymers under different water contents.
The viscosity of salt-resistant polymer and polymer surfactant increases greatly after emulsification with oil. The viscosity of salt-resistant polymer increases by 659% under the condition of 50% water content. The viscosity of the emulsion is more than seven times that of the solution, which has good emulsifying profile control performance. There is a significant interaction between salt-resistant polymer, polymer surfactant, and crude oil. After forming micelles, crude oil can be efficiently stripped. Emulsification and oil-carrying coalescence are stronger, and efficient displacement and washing can be achieved. Due to the enhanced interaction of droplets, the collision and relative sliding between droplets occur in the liquid, resulting in a rapid increase in viscosity. When the water content is close to the critical value, the phase inversion occurs, and the viscosity changes abruptly.
The mutation point is the transition point of the emulsification type. The emulsification transition point of the salt-resistant polymer is 50%, and the emulsification transition point of the polymer surfactant is 60%. Therefore, the functional polymer has the characteristics of three-stage thickening in the process of oil displacement. The first is the viscosity of the polymer body, the second is the structural viscosity of the polymer after the association (Figure 8), and the third is the three-stage thickening characteristics of the emulsion after the oil emulsification, so the mobility control ability can be greatly increased during the oil displacement process (Figure 9).
Figure 8.
Polymer SEM microscopic images: (a) polymer surfactant; (b) salt-resistant polymers; and (c) common polymers.
Figure 9.
Emulsion morphology formed by polymer surfactant solution and salt-resistant polymer solution: (a) polymer surfactant solution; and (b) salt-resistant polymer solution.
3.2. Evaluation of Polymer Transport Capacity
To assess how viscosity affects the hydrodynamic size of polymers, solutions were adjusted to viscosities of 30, 60, and 120 mPa·s. Comparisons were made among polymer surfactants, salt-resistant polymers, and ordinary polymers at these viscosities. Results indicated that even at the same viscosity, hydrodynamic sizes varied among polymer types. At 30 mPa·s, polymer surfactants and ordinary polymers had similar, larger sizes than salt-resistant polymers. At 60 mPa·s, the size of polymer surfactants increased sharply, surpassing ordinary polymers. At 120 mPa·s, polymer surfactants had significantly larger sizes than both ordinary and salt-resistant polymers, which were similar in size.
Figure 10 illustrates that the solution’s viscosity and concentration primarily influence the polymer’s hydrodynamic characteristic size, which is also impacted by the polymer’s molecular structure. The polymer surfactant’s structure facilitates forming a spatial network, increasing viscosity and hydrodynamic size even before reaching the critical association concentration. For salt-resistant polymers, despite having higher viscosity than ordinary polymers at the same concentration, their hydrodynamic size is smaller than ordinary polymers with the same viscosity. The oil displacement system will inevitably adsorb when it is injected into the reservoir, and its anti-adsorption ability is the key to the successful application of polymer flooding, so it is necessary to carry out static adsorption measurement of chemical agents. From the experimental results, it can be seen that the signal amplitude corresponding to saturated oil is the signal generated by irreducible water, and the signal amplitude corresponding to fluorine oil displacement is the signal generated by irreducible water + retained polymer.
Figure 10.
Comparison of hydrodynamic characteristic sizes of polymer surfactant, salt-resistant polymer, and ordinary polymer under equal viscosity conditions. (a) The relationship between hydrodynamic feature size and fluid viscosity; (b) Relationship between concentration and fluid viscosity.
The retention of the polymer in the core can be obtained by subtracting the signal value of the fluorine oil displacement from the signal value of the saturated oil (Figure 11). The polymer retention calculated by NMR test results and displacement measurement results was 0.276 mg/mL for polymer surfactant, 0.232 mg/mL for salt-resistant polymer, and 0.181 mg/mL for ordinary polymer, respectively. The retention amount of polymer surfactant is significantly higher than that of salt-resistant polymer, which is 1.5 times that of ordinary polymer, indicating that the retention amount of polymer surfactant in the reservoir is large, resulting in higher seepage resistance. Corresponding to the pressure difference curves of three groups of polymer flooding, it can be found that the polymer surfactant produces a large seepage resistance during the injection process, and the residual resistance is more obvious in the subsequent oil flooding process. Salt-resistant polymers are more likely to stay in large pores. The retention of polymer surfactants and ordinary polymers in small and medium pores is similar, indicating that although polymer surfactants have the characteristics of high viscosity and high seepage resistance, they are more likely to enter small pores than salt-resistant polymers. This is primarily due to its strong viscoelasticity and varied fluid properties. Nuclear magnetic resonance tests reveal the polymer’s retention amount and position in porous media. It is confirmed that the polymer surfactant adsorbs more easily in formations, increasing seepage resistance. Additionally, its high viscoelasticity allows it to penetrate smaller pores, displacing the original crude oil and remaining there.
Figure 11.
Comparison of retention amount of polymer surfactant, salt-resistant polymer, and ordinary polymer in different pore scales. (a) The relationship between Permeability and Type of Chemicals; (b) The relationship between Experimental Results of Polymer Flooding and Type of Chemicals; (c) The relationship between Experimental Results of Polymer Flooding and Type of Chemicals; (d) The relationship between Experimental Results of Polymer Flooding and Type of Chemicals.
The transport capacity depends on the alignment between the molecular radius of gyration and the median pore radius in porous media. A flow experiment using natural core samples from three Daqing Oilfield reservoirs measured the resistance and residual resistance coefficients. The resistance coefficient is the ratio of polymer solution mobility to water mobility, while the residual resistance coefficient compares polymer and water permeability before and after flooding. Results indicate that low salt-resistant polymers and polymer surfactants have higher resistance coefficients than ordinary polymers, suggesting higher working viscosity, but similar residual resistance coefficients, indicating better injection ability. Generally, higher-viscosity polymers have poorer injection ability. At the same viscosity, the hydrodynamic size measurements (Figure 12) reveal that the molecular structure of salt-resistant polymers and polymer surfactant solutions differ significantly from ordinary polymers. This difference greatly affects their flow in porous media, resulting in a much higher resistance coefficient. Additionally, functional polymers exhibit greater adsorption retention, leading to a higher residual resistance coefficient during subsequent water flooding compared to ordinary polymers.
Figure 12.
Experimental data of different polymer injection capacities.
By analyzing the surface retention of the displacement core, it can be found that the functional polymer has obvious colloidal retention at the end face of the core compared with the polymer, and there is a certain retention phenomenon of large associative micelles (Figure 13). Therefore, it has a higher resistance coefficient than the polymer. At the same time, once the associative structure is formed in the rock pores, it will further exert the thickening effect and have higher residual resistance. This is also because its molecular structure determines its flow characteristics.
Figure 13.
Surface retention of displacement core. (a) Polymers retention in injection surface of core; (b) Salt-resistant polymer retention in injection surface of core, (c) Polymer surfactant retention in injection surface of core.
3.3. Evaluation of Oil Displacement Effect of Polymer Surfactant
The oil displacement effect of different polymers in the natural cores of the second and third types of reservoirs is shown in Figure 14. It can be seen from Figure 14 that the recovery of salt-resistant polymers and polymer surfactants is higher than that of ordinary polymers. The recovery rate of salt-resistant polymers is the highest, which is 1.2 times that of ordinary polymers. The polymer surfactant is 1.3 times that of the ordinary polymer. The apparent viscosity of the polymer surfactant is higher than that of the ordinary polymer, which leads to the increase in injection pressure. At the same time, the interaction between polymer surfactant and crude oil is enhanced, the interfacial tension is reduced, and the residual oil saturation is reduced. Therefore, the oil displacement effect of the polymer surfactant is better than that of the ordinary polymer.
Figure 14.
Experimental results of different polymer flooding. (a) The relationship between Permeabilit and type of Chemicals. (b) The relationship between experimental results of polymer flooding and type of chemicals.
In polymer flooding applications, it is crucial to ensure polymer aggregates can pass through low-permeability reservoir pores while considering fluid diversion due to polymer retention in high-permeability layers. Changes in polymer aggregate morphology, influenced by molecular association, affect reservoir permeability and heterogeneity. Figure 15 illustrates polymer recovery data under varying association degrees and core heterogeneity.
Figure 15.
Relationship between injection pressure, water cut, recovery factor, and multiple injection pore pressures. (a) The relationship between injection pressure, water content and recovery factor in core 1 and the multiple of injection pore pressure. (b) The relationship between injection pressure, water content and recovery factor in core 2 and the multiple of injection pore pressure. (c) The relationship between injection pressure, water content and recovery factor in core 3 and the multiple of injection pore pressure.
Figure 15 shows that the effectiveness of functional polymers in enhancing oil recovery is influenced by their degree of association and compatibility with heterogeneous reservoirs. In cores 1 and 2, which have weak heterogeneity, polymers without a regulator form larger molecular aggregates that poorly fit the core pores. This results in high injection pressure but localized pressure loss near the core surface, leading to limited swept volume expansion. Additionally, high shear forces within the pores degrade the polymer’s molecular structure, reducing viscoelasticity and oil recovery efficiency, thus minimally increasing the recovery rate.
At this time, the intermolecular association of hydrophobically associating polymers is reduced, allowing for effective plugging of high-permeability layers and redirecting flow in medium- and low-permeability layers, which expands the sweep volume and maintains strong oil washing efficiency. However, if the regulator concentration is too high, the polymer’s aggregation decreases, improving injectivity but reducing seepage resistance and viscoelasticity in high-permeability layers. This results in less effective sweep volume expansion and oil washing, affecting water cut and oil recovery. Thus, an optimal balance between polymer solution and reservoir heterogeneity is crucial. When the polymer’s intermolecular association matches reservoir heterogeneity, it effectively increases sweep volume and oil recovery. Conversely, if mismatched, even high injection pressure results in poor performance.
4. Conclusions
(1) The apparent viscosity of different types of functional polymers is more than two times that of ordinary medium-molecular polymers. The bulk viscosity of the salt-resistant polymer is low, but its association viscosity accounts for up to 70%. The injection pressure and recovery rate of the functional polymer are higher than those of the ordinary medium polymer.
(2) Changes in the morphology of functional polymer aggregates affect their size, which in turn influences their transport capacity in porous media and adaptability to reservoirs. While these polymers can form a network structure in aqueous solutions that significantly increases viscosity, there is no direct correlation between viscosity and the effectiveness of polymer flooding in enhancing oil recovery.
(3) Evaluating the reservoir adaptability of functional polymers should focus on the compatibility of their molecular aggregates with heterogeneous reservoirs rather than solely on viscosity. It is important to design an appropriate number of hydrophobic groups to balance average permeability and reservoir heterogeneity, enabling the polymer solution to effectively block high-permeability layers while meeting flow diversion needs in medium- and low-permeability layers. Only when the salt-resistant polymer molecular aggregates match the core pores, have strong viscoelasticity, and meet the mobility control requirements of each small layer of heterogeneous reservoirs can the salt-resistant polymer flooding obtain the best oil displacement effect.
(4) There is an optimal matching relationship between functional polymer solution and reservoir heterogeneity. When the degree of intermolecular association of hydrophobically associating polymer molecules is well adapted to the heterogeneity of the reservoir, the polymer solution has a strong ability to expand the swept volume and improve the efficiency of oil washing, and the ultimate recovery rate is also higher.
Author Contributions
Validation, S.C.; Investigation, X.J., X.L., L.Y., R.L. and H.Z.; Data curation, X.L. and L.Y.; Writing—original draft, J.H., R.L., H.W., W.Y., J.W., H.Z., X.A., M.F. and B.G.; Writing—review & editing, X.J. and H.Z. All authors have read and agreed to the published version of the manuscript.
Funding
This work was supported by the field scientific test project of Daqing Oilfield Co., Ltd. “The field test of improving the quality and efficiency of the second type of oil layer in the north area” (dqp-2019-sccy-xcsy-001), the on-site scientific test project of Daqing Oilfield Co., Ltd. “Industrialization field test of plugging and profile control combined with composite flooding after polymer flooding in Pu I1-4 oil layer of fault west in Beiyi District” (dqp-2019-sccy-xcsy-002), the scientific and technological project of China Petroleum Exploration and Production Branch “Industrialization field test of polymer surfactant flooding after polymer flooding in Pu I1-4 oil layer of fault west in Beiyi District” (2022ZS0701), the 2024 PetroChina Youth Science and Technology Special Plan “Research on Alkali-free ASP Emulsification Oil Displacement System in Daqing Oilfield” (2024DQ03041), the Hainan Provincial Natural Science Foundation General Project (521MS0793), and the support of “Xinyan” talent team in Daqing City in 2024 “Integrated research and application of new technologies for enhanced oil recovery in old oilfields with ultra-high water cut”.
Data Availability Statement
The original contributions presented in the study are included in the article, further inquiries can be directed to the corresponding author.
Conflicts of Interest
Author Jingang He, Xiangao Jin, Xiaoying Liu, Lin Yuan, Ruina Liu, Sian Chen, Hao Wu, Wei Yang, and Jingyu Wang were employed by Daqing Oilfield Co., Ltd. The remaining authors declare that the research was conducted in the absence of any commercial or financial relationships that could be construed as potential conflicts of interest.
References
- Seright, R.S.; Wang, D. Polymer flooding: Current status and future directions. Pet. Pet. Sci. 2023, 20, 910–921. [Google Scholar] [CrossRef]
- Kang, W.; Kang, X.; Lashari, Z.A.; Li, Z.; Zhou, B.; Yang, H.; Sarsenbekuly, B.; Aidarova, S. Progress of polymer gels for conformance control in oilfield. Adv. Colloid Interface Sci. 2021, 289, 102363. [Google Scholar] [CrossRef]
- Fang, Y.; Yang, E.; Guo, S.; Cui, C.; Zhou, C. Study on micro remaining oil distribution of polymer flooding in Class-II B oil layer of Daqing Oilfield. Energy 2022, 254, 124479. [Google Scholar] [CrossRef]
- De Vasconcelos, C.K.B.; Lopes, R.C.F.G.; Medeiros, F.S.; Viana, M.M.; Caliman, V.; Silva, G.G. Rheological and structural properties of nanofluids based on hydrolyzed polyacrylamide and aminated carbon nanotubes for enhanced oil recovery. Polymer 2024, 307, 127325. [Google Scholar] [CrossRef]
- Pal, N.; Vajpayee, M.; Mandal, A. Cationic/Nonionic Mixed Surfactants as Enhanced Oil Recovery Fluids: Influence of Mixed Micellization and Polymer Association on Interfacial, Rheological, and Rock-Wetting Characteristics. Energy Fuels 2019, 33, 6048–6059. [Google Scholar] [CrossRef]
- Fu, Y.; Shi, J.; Li, X.; Kang, W.; Aidarova, S.; Wang, Y. Study of viscosity reduction mechanism of oilfield polymer solution by spectroscopy method. J. Mol. Liq. 2024, 414, 126156. [Google Scholar] [CrossRef]
- Du, Y.; Zhu, Y.; Ji, Y.; Xu, H.; Zhang, H.; Yuan, S. Effect of salt-resistant monomers on viscosity of modified polymers based on the hydrolyzed poly-acrylamide (HPAM): A molecular dynamics study. J. Mol. Liq. 2021, 325, 115161. [Google Scholar] [CrossRef]
- Zhou, M.; Luo, H.; Huang, J.; Cheng, X. Anti-temperature anti-salinity nanospheres: Preparation, characterization, thermal stability, plugging ability and oil displacement. Geoenergy Sci. Eng. 2024, 234, 212533. [Google Scholar] [CrossRef]
- Li, Y.; Zhou, M.; Huang, J.X.; Chen, X.; Luo, H. Preparation of polymer microspheres as oil displacement agent for extra-high temperature and extra-high salinity reservoirs. Colloids Surf. A Physicochem. Eng. Asp. 2024, 685, 133303. [Google Scholar] [CrossRef]
- Jiang, F.; Feng, X.; Hu, R.; Pang, S.; Pu, W. Synthesis of a novel double-tailed hydrophobically associating polymer for ultra-high salinity resistance. J. Mol. Liq. 2022, 367, 120470. [Google Scholar] [CrossRef]
- Zhang, M.; Kang, W.; Yang, H.; Li, Z.; Zhang, H.; Wang, F.; Li, M.; Kang, X.; Jiang, H.; Xie, A. Emulsion stabilization of cyclodextrin polymer inclusion amphiphilic polymers with different hydrophobic chain. J. Mol. Liq. 2021, 326, 115259. [Google Scholar] [CrossRef]
- Sun, J.; Zhang, X.; Lv, K.; Liu, J.; Xiu, Z.; Wang, Z.; Huang, X.; Bai, Y.; Wang, J.; Jin, J. Synthesis of hydrophobic associative polymers to improve the rheological and filtration performance of drilling fluids under high temperature and high salinity conditions. J. Pet. Sci. Eng. 2022, 209, 109808. [Google Scholar] [CrossRef]
- Beteta, A.; Nurmi, L.; Rosati, L.; Hanski, S.; Mclver, K.; Sorbie, K.; Toivonen, S.K. Impact of Acrylate and 2-Acrylamido-Tertiary-Butyl Sulfonic Acid Content on the Enhanced Oil Recovery Performance of Synthetic Polymers. SPE J. 2021, 26, 2092–2113. [Google Scholar] [CrossRef]
- Dai, C.; Zhao, G.; You, Q.; Zhao, M.; Liu, Y.; Zhao, F. Chapter 6-DPG-strengthened polymer/surfactant combination flooding technology. In Theory and Technology of Multiscale Dispersed Particle Gel for In-Depth Profile Control; Elsevier: Amsterdam, The Netherlands, 2022; pp. 259–286. [Google Scholar]
- Khlaifat, A.L.; Fakher, S.; Harrison, G.H. Evaluating Factors Impacting Polymer Flooding in Hydrocarbon Reservoirs: Laboratory and Field-Scale Applications. Polymers 2024, 16, 75. [Google Scholar] [CrossRef] [PubMed]
- Zeynalli, M.; Mushtaq, M.; Al-Shalabi, E.W.; Alfazazi, U.; Hassan, A.M.; Alameri, W. A comprehensive review of viscoelastic polymer flooding in sandstone and carbonate rocks. Sci. Rep. 2023, 13, 17679. [Google Scholar] [CrossRef]
- Lei, M.; Huang, W.; Tong, Y.; Sun, J.; Jin, Z.; Li, X.; Chen, W. Synthesis and characterization of chitosan-based graft copolymers with temperature-switchable and self-adaptive plugging performance for drilling in microporous formation. J. Mol. Liq. 2022, 366, 120246. [Google Scholar] [CrossRef]
- Huang, X.; Sun, J.; Lv, K.; Liu, J.; Shen, H.; Zhang, F. Application of core-shell structural acrylic resin/nano-SiO2 composite in water based drilling fluid to plug shale pores. J. Nat. Gas Sci. Eng. 2018, 55, 418–425. [Google Scholar] [CrossRef]
- Idahosa, P.E.G.; Oluyemi, G.F.; Oyeneyin, M.B.; Prabhu, R. Rate-dependent polymer adsorption in porous media. J. Pet. Sci. Eng. 2016, 143, 65–71. [Google Scholar] [CrossRef]
- Wang, X.; Liu, W.; Shi, L.; Liang, X.; Wang, X.; Zhang, Y.; Wu, X.; Gong, Y.; Shi, X.; Qin, G. Application of a Novel Amphiphilic Polymer for Enhanced Offshore Heavy Oil Recovery: Mechanistic Study and Core Displacement Test. J. Pet. Sci. Eng. 2022, 215, 110626. [Google Scholar] [CrossRef]
- Jie, C.; Hu, M.; Cheng, Y.; Li, P.; Zhang, H.; Zang, L.; Guo, J. Design of degradable hybrid dual-crosslinked polymer for high-efficiency profile control in high temperature reservoirs. Colloids Surf. A Physicochem. Eng. Asp. 2024, 698, 134530. [Google Scholar] [CrossRef]
- Co, L.; Zhang, Z.; Ma, Q.; Watts, G.; Zhao, L.; Shuler, P.J.; Tang, Y. Evaluation of functionalized polymeric surfactants for EOR applications in the Illinois Basin. J. Pet. Sci. Eng. 2015, 134, 167–175. [Google Scholar] [CrossRef]
- Chen, Q.; Ye, M.; Wang, D.; Wang, Y.; Wang, Z.; Pu, W.; Wei, B. Active polymer flooding for strongly heterogeneous reservoir associate with foam combination technology. Geoenergy Sci. Eng. 2024, 242, 213288. [Google Scholar] [CrossRef]
- Liu, Y.; Hou, J.; Cao, X.; Wei, B.; Ji, Y.; Wang, H. Laboratory studies of the feasibility for microencapsulated polymer flooding. Fuel 2023, 354, 129378. [Google Scholar] [CrossRef]
- Ahmadi, Y.; Malekpour, M.; Kikhavani, T.; Bayati, B. The study of the spontaneous oil imbibition in the presence of new polymer-coated nanocomposites compatible with reservoir conditions. Pet. Sci. Technol. 2022, 42, 974–992. [Google Scholar] [CrossRef]
- Gao, S.; Lin, D.; Li, A.; Deng, L.; Dong, A.; Zhang, J. Synergistic effects of covalent crosslinking and hydrophobic association on enhancing thermal and salt resistance of polymeric filtrate reducer. J. Mol. Liq. 2024, 407, 125204. [Google Scholar] [CrossRef]
- Chu, Q.; Lin, L. Synthesis and properties of an improved agent with restricted viscosity and shearing strength in water-based drilling fluid. J. Pet. Sci. Eng. 2019, 173, 1254–1263. [Google Scholar] [CrossRef]
- Larin, D.E.; Shibaev, A.V.; Liu, C.; Emelyanenko, A.V. The effect of dynamic cross-links and mesogenic groups on the swelling and collapse of polymer gels. Giant 2024, 20, 100341. [Google Scholar] [CrossRef]
- Cheng, J.; Yang, H.; Gao, J.; Gu, X.; Yu, X.; Su, G.; Jiang, Z.; Zhu, Y. Synthesis and molecular dynamics simulation of amphoteric hydrophobically associating polymer. J. Mol. Liq. 2023, 388, 122751. [Google Scholar] [CrossRef]
- Zhang, Z.; Sun, L.; Liu, X.; Huo, X. Multi-supramolecular and double-network strategy improves rheological properties and oil displacement efficiency of polymers. Colloids Surf. A Physicochem. Eng. Asp. 2023, 678, 132445. [Google Scholar] [CrossRef]
- Chen, X.; Gao, Y.; Wang, Y.; Zhang, T.; Peng, Y. A study on the emulsification ability and oil displacement efficiency of polymeric surfactant in porous media. Colloids Surf. A Physicochem. Eng. Asp. 2024, 700, 134690. [Google Scholar] [CrossRef]
- Zhao, H.; Liu, D.; Kang, W.; Wu, D.; Dong, Y.; Wang, J.; Yang, h.; Sarsenbekuly, B. Salt thickening performance and mechanism of an N-Vinyl-2-Pyrrolidinone based amphiphilic polymer. J. Mol. Liq. 2024, 408, 125277. [Google Scholar] [CrossRef]
- Yang, H.; Zhang, J.; Jiang, H.; Bi, W.; Pan, S.; Li, H.; Sarsenbekuly, B.; Kang, W.; Zhang, X. Study on the rheological properties and salt resistance mechanism of an amphiphilic polymer with twin-tailed group. Colloids Surf. A Physicochem. Eng. Asp. 2024, 700, 134748. [Google Scholar] [CrossRef]
- Zhang, Q.; Mao, J.; Liao, Y.; Mao, J.; Yang, X.; Lin, C.; Wang, Q.; Huang, Z.; Xu, T.; Liu, B.; et al. Salt resistance study and molecular dynamics simulation of hydrophobic-association polymer with internal salt structure. J. Mol. Liq. 2022, 367, 120520. [Google Scholar] [CrossRef]
- Golab, E.G.; Ghamarpoor, R.; Kondori, F.J.; Hosseini, S.; Al-Saedi, H.N. Synthesis of hydrophobic polymeric surfactant (Polyacrylamide/Zwitterionic) and its effect on enhanced oil recovery (EOR). Chem. Phys. Impact 2024, 9, 100756. [Google Scholar] [CrossRef]
- Zhao, Y.; Zhao, L.; Chen, H.; Zhao, N.; Chang, G.; Ren, H.; Cheng, H.; Wang, X.; Li, Z. Synergistic collaborations between surfactant and polymer for in-situ emulsification and mobility control to enhance heavy oil recovery. J. Mol. Liq. 2024, 406, 125113. [Google Scholar] [CrossRef]
Disclaimer/Publisher’s Note: The statements, opinions and data contained in all publications are solely those of the individual author(s) and contributor(s) and not of MDPI and/or the editor(s). MDPI and/or the editor(s) disclaim responsibility for any injury to people or property resulting from any ideas, methods, instructions or products referred to in the content. |
© 2025 by the authors. Licensee MDPI, Basel, Switzerland. This article is an open access article distributed under the terms and conditions of the Creative Commons Attribution (CC BY) license (https://creativecommons.org/licenses/by/4.0/).














