Research on Self-Healing Distribution Network Operation Optimization Method Considering Carbon Emission Reduction
Abstract
1. Introduction
2. Demand Response Modeling Considering Carbon Emissions
2.1. Carbon Emission Flow of ADN
2.2. Dynamic Demand Response Model
3. Double-Level Optimization Model
3.1. Upper-Level Optimization Model
3.1.1. Objective Function
3.1.2. Constraints
- (a)
- DistFlow constraints
- (b)
- Node voltage and branch current constraints
- (c)
- PV Output Constraints
- (d)
- ESS operational constraints
- (e)
- Topology constraints
3.2. Lower-Level Optimization Model
3.2.1. Objective Function
3.2.2. Constraints
- (a)
- Total day-ahead load constraints
- (b)
- Load-response constraints
- (c)
- Electricity price constraints
- (d)
- User electricity cost constraints
4. Solution Method
4.1. Improved DBO Algorithmization
4.1.1. Chebyshev Maps the Initial Population
4.1.2. Adaptive Weight and Variable Spiral Searching
4.1.3. Optimal Positional Perturbation Strategy
4.2. Model Solving
5. Case Study
5.1. Simulation Setup
5.2. Scheduling Results Analysis
5.2.1. Economics in Different Scenarios
5.2.2. Carbon Emissions in Different Scenarios
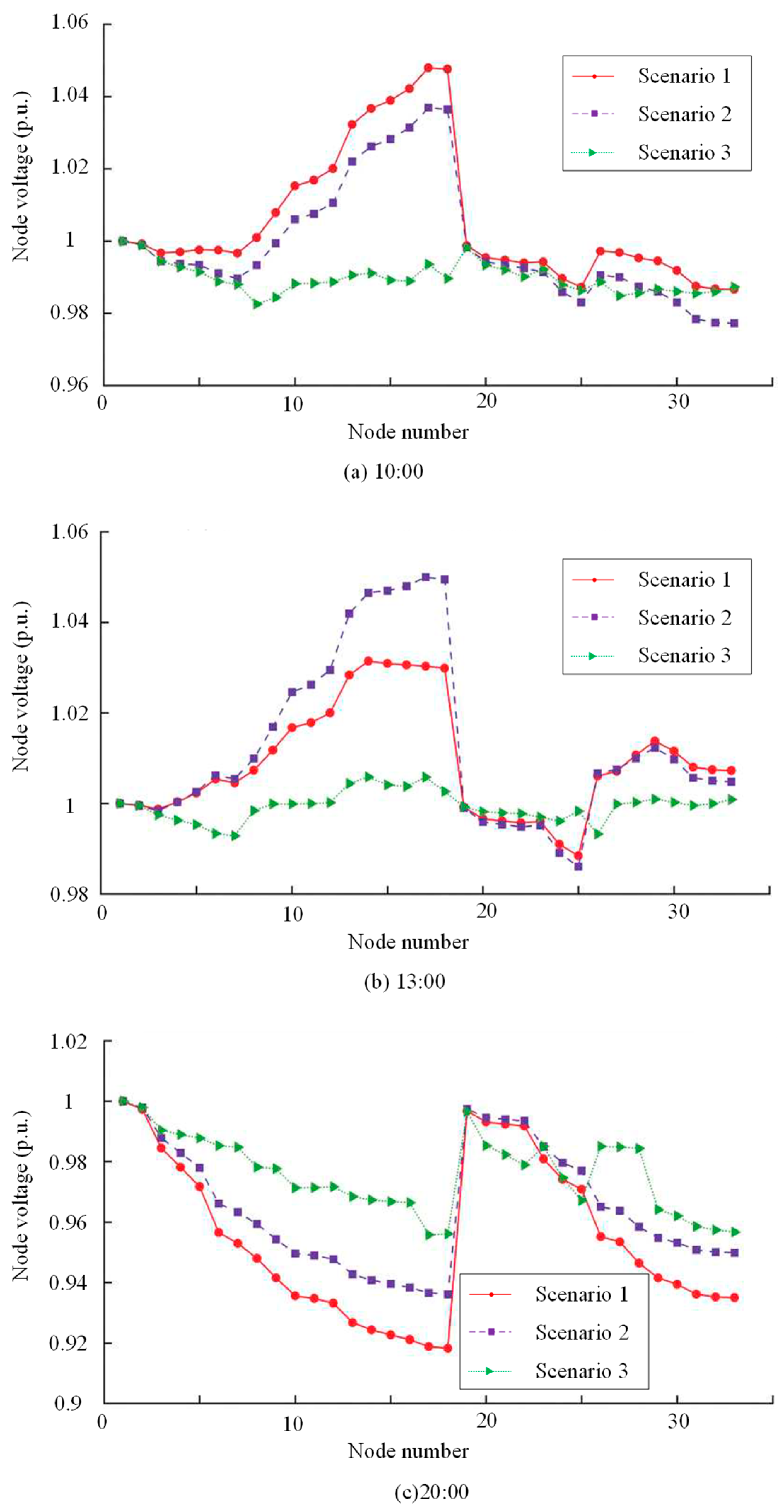
5.2.3. Node Voltage in Different Scenarios
5.2.4. Optimization Results with Different Weights
5.3. Performance Analysis of IDBO Algorithm
6. Conclusions
- The method in this paper changes the network topology through reasonable regulation of ESS, PV, and dynamic reconfiguration, which can equalize the distribution of the current, effectively reducing the network loss, solar curtailment cost, and system operating cost, and at the same time solving the ADN voltage overrun problem.
- The simulation results based on the 33 node testing system show that, based on the theory of carbon emission flow, under the premise of not changing the total load demand and using the DCEF as a guiding signal, the system load is reasonably adjusted on the time scale, which can promote coordinated interaction between the supply side and the demand side, promote the consumption of new energy, reduce the operating costs of the power system, and significantly reduce the total carbon emissions of the system.
- The proposed IDBO optimization algorithm possesses good convergence and global search capability, which can effectively solve the demand response model in this paper.
Author Contributions
Funding
Data Availability Statement
Conflicts of Interest
References
- Liu, K.; Ye, X.; Kang, T.; Li, Z.; Jia, D. A Fast Dynamic Simulation Method of an Active Distribution Network with Distributed Generations Based on Decomposition and Coordination. Energies 2024, 17, 287. [Google Scholar] [CrossRef]
- Liu, K.; Li, Z.; Cui, Z.; Jia, D.; Ye, X.; Su, J. A Finite State Machine Model for Business Flow in Active Distribution Networks Considering the Multi-Flow Fusion Process. J. Sci. Ind. Res. 2024, 83, 517. [Google Scholar]
- Man, Y.; Liu, M.; Wang, K. A Review and Prospect of Research on Situational Awareness Technology in Active Distribution Network. Electron. Sci. Technol. 2024, 37, 6. [Google Scholar]
- Spampinato, C.; La Magna, P.; Valastro, S.; Smecca, E.; Arena, V.; Bongiorno, C.; Mannino, G.; Fazio, E.; Corsaro, C.; Neri, F. Infiltration of CsPbI3: EuI2 Perovskites into TiO2 Spongy Layers Deposited by Gig-Lox Sputtering Processes. Proc. Sol. 2023, 3, 347–361. [Google Scholar] [CrossRef]
- Ungerland, J.; Poshiya, N.; Biener, W.; Lens, H. A Voltage Sensitivity Based Equivalent for Active Distribution Networks Containing Grid Forming Converters. IEEE Trans. Smart Grid 2023, 14, 2825. [Google Scholar] [CrossRef]
- Liu, X.; Lin, X.; Qiu, H.; Li, Y.; Huang, T. Optimal Aggregation And Disaggregation for Coordinated Operation of Virtual Power Plant with Distribution Network Operator. Appl. Energy 2024, 376, 124142. [Google Scholar] [CrossRef]
- Sun, X.; Sheng, Y.; Wu, C.; Cai, Q.; Lai, X. Comprehensive Evaluation of Interval Equalization of Power Quality in Active Distribution Network Based on CVAE-TS. J. Electr. Eng. Technol. 2023, 19, 83. [Google Scholar] [CrossRef]
- Xu, L.; Fan, S.; Zhang, H.; Xiong, J.; Liu, C.; Mo, S. Enhancing Resilience and Reliability of Active Distribution Networks through Accurate Fault Location and Novel Pilot Protection Method. Energies 2023, 16, 7547. [Google Scholar] [CrossRef]
- Li, X.; Han, X.; Yang, M. Risk-Based Reserve Scheduling for Active Distribution Networks Based on an Improved Proximal Policy Optimization Algorithm. IEEE Access 2023, 11, 15211. [Google Scholar] [CrossRef]
- El-Sayed, W.T.; Awad, A.S.A.; Azzouz, M.A.; Shaaban, M.F. A New Economic Dispatch for Coupled Transmission and Active Distribution Networks via Hierarchical Communication Structure. IEEE Syst. J. 2023, 17, 6226. [Google Scholar] [CrossRef]
- Athanasiadis, C.L.; Papadopoulos, T.A.; Kryonidis, G.C.; Pippi, K.D. A Benchmarking Testbed for Low-Voltage Active Distribution Network Studies. IEEE Open Access J. Power Energy 2023, 10, 104. [Google Scholar] [CrossRef]
- Dutta, A.; Ganguly, S.; Kumar, C. MPC-Based Coordinated Voltage Control in Active Distribution Networks Incorporating CVR and DR. IEEE Trans. Ind. Appl. 2022, 58, 4309. [Google Scholar] [CrossRef]
- Wang, R.; Wen, X.; Wang, X.; Fu, Y.; Zhang, Y. Low Carbon Optimal Operation of Integrated Energy System Based on Carbon Capture Technology, LCA Carbon Emissions and Ladder-Type Carbon Trading. Appl. Energy 2022, 311, 118664. [Google Scholar] [CrossRef]
- Zhou, Y. Worldwide Carbon Neutrality Transition? Energy Efficiency, Renewable, Carbon Trading and Advanced Energy Policies. Energy Rev. 2023, 2, 100026. [Google Scholar] [CrossRef]
- Yang, X.; Meng, L.; Gao, X.; Ma, W.; Fan, L.; Yang, Y. Low-Carbon Economic Scheduling Strategy for Active Distribution Network Considering Carbon Emissions Trading and Source-Load Side Uncertainty. Electr. Power Syst. Res. 2023, 223, 109672. [Google Scholar] [CrossRef]
- Mostafaeipour, A.; Bidokhti, A.; Fakhrzad, M.-B.; Sadegheih, A.; Mehrjerdi, Y.Z. A New Model for the Use of Renewable Electricity to Reduce Carbon Dioxide Emissions. Energy 2022, 238, 121602. [Google Scholar] [CrossRef]
- Jiang, C.; Lin, Z.; Liu, C.; Chen, F.; Shao, Z. Shao MADDPG-Based Active Distribution Network Dynamic Reconfiguration with Renewable Energy. Prot. Control. Mod. Power Syst. 2024, 9, 143. [Google Scholar] [CrossRef]
- Azizi, A.; Vahidi, B.; Nematollahi, A.F. Nematollahi Reconfiguration of Active Distribution Networks Equipped with Soft Open Points Considering Protection Constraints. J. Mod. Power Syst. Clean Energy 2023, 11, 212. [Google Scholar] [CrossRef]
- Yan, R.; Yuan, Y.; Wang, Z.; Geng, G.; Jiang, Q. Active Distribution System Synthesis via Unbalanced Graph Generative Adversarial Network. IEEE Trans. Power Syst. 2023, 38, 4293. [Google Scholar] [CrossRef]
- Mehrbakhsh, A.; Javadi, S.; Aliabadi, M.H.; Radmanesh, H. A Robust Optimization Framework for Scheduling of Active Distribution Networks Considering DER Units and Demand Response Program. Sustain. Energy Grids Netw. 2022, 31, 100708. [Google Scholar] [CrossRef]
- Mahmoodi, S.; Tarimoradi, H. A Novel Partitioning Approach in Active Distribution Networks for Voltage Sag Mitigation. IEEE Access 2024, 12, 149206. [Google Scholar] [CrossRef]
- Gorbachev, S.; Mani, A.; Li, L.; Zhang, Y. Zhang Distributed Energy Resources Based Two-Layer Delay-Independent Voltage Coordinated Control in Active Distribution Network. IEEE Trans. Ind. Inform. 2024, 20, 1220. [Google Scholar] [CrossRef]
- Zhang, Z.; Dou, C.; Yue, D.; Zhang, Y.; Zhang, B.; Li, B. Regional Coordinated Voltage Regulation in Active Distribution Networks With PV-BESS. IEEE Trans. Circuits Syst. II Express Briefs 2023, 70, 596. [Google Scholar] [CrossRef]
- Xue, J.; Shen, B. Dung Beetle Optimizer: A New Meta-Heuristic Algorithm for Global Optimization. J. Supercomput. 2023, 79, 7305. [Google Scholar] [CrossRef]
- Huo, T.; Xu, L.; Feng, W.; Cai, W.; Liu, B. Dynamic Scenario Simulations of Carbon Emission Peak in China’s City-Scale Urban Residential Building Sector through 2050. Energy Policy 2021, 159, 112612. [Google Scholar] [CrossRef]
- Egidy, S. Proportionality and Procedure of Monetary Policy-Making. Int. J. Const. Law 2021, 19, 285–308. [Google Scholar] [CrossRef]
- Rigo-Mariani, R.; Vai, V. An Iterative Linear Distflow for Dynamic Optimization in Distributed Generation Planning Studies. Int. J. Electr. Power Energy Syst. 2022, 138, 107936. [Google Scholar] [CrossRef]
- Cao, X.; Wang, J.; Zeng, B. A Study on the Strong Duality of Second-Order Conic Relaxation of AC Optimal Power Flow in Radial Networks. IEEE Trans. Power Syst. 2021, 37, 443–455. [Google Scholar] [CrossRef]
- Abid, M.S.; Apon, H.J.; Morshed, K.A.; Ahmed, A. Optimal Planning of Multiple Renewable Energy-Integrated Distribution System with Uncertainties Using Artificial Hummingbird Algorithm. IEEE Access 2022, 10, 40716–40730. [Google Scholar] [CrossRef]
- Sahu, S.K.; Kumari, S.; Ghosh, D.; Dutta, S. Dutta Estimation of Photovoltaic Hosting Capacity Due to the Presence of Diverse Harmonics in an Active Distribution Network. IEEE Access 2024, 12, 47868–47879. [Google Scholar] [CrossRef]
- Klaes, M.; Zwartscholten, J.; Narayan, A.; Lehnhoff, S.; Rehtanz, C. Impact of ICT Latency, Data Loss and Data Corruption on Active Distribution Network Control. IEEE Access 2023, 11, 14693–14701. [Google Scholar] [CrossRef]











| Low-Carbon Characteristics | Economic Efficiency | Demand Response and Dynamic Reconfiguration | |
|---|---|---|---|
| [15] | Low | Low | × |
| [16] | Medium | Medium | × |
| [20] | High | Medium | × |
| This paper | High | High | √ |
| Time Slot Type | Time Division |
|---|---|
| High carbon | 5:00–7:00, 18:00–22:00 |
| Flat carbon | 1:00–4:00, 7:00–8:00, 17:00–18:00, 23:00–24:00 |
| Low carbon | 9:00–16:00 |
| Scenario | Time | OFF Branch | O&M Cost ($) | Network Loss Cost ($) | Solar Curtailment Cost ($) | Scheduling Cost ($) | Carbon Emission (kg) |
|---|---|---|---|---|---|---|---|
| 1 | All hours | S33, S34, S35, S36, S37 | 1696.82 | 595.04 | 1101.78 | 0 | 13,408.56 |
| 2 | All hours | S33, S34, S35, S36, S37 | 1562.46 | 587.76 | 718.26 | 256.44 | 12,704.71 |
| 3 | 1:00–8:00 | S7, S9, S16, S28, S34 | 1054.89 | 304.53 | 493.92 | 256.44 | 11,500.96 |
| 9:00–16:00 | S7, S9, S16, S26, S33 | ||||||
| 17:00–21:00 | S7, S9, S16, S28, S34 | ||||||
| 22:00–24:00 | S7, S9, S14, S32, S37 |
| Scenario | Total Voltage Offset |
|---|---|
| 1 | 0.4006 |
| 2 | 0.3518 |
| 3 | 0.2281 |
| Method | Solution Time (s) |
|---|---|
| IDBO | 13.22 |
| DBO | 20.52 |
| PSO | 26.13 |
Disclaimer/Publisher’s Note: The statements, opinions and data contained in all publications are solely those of the individual author(s) and contributor(s) and not of MDPI and/or the editor(s). MDPI and/or the editor(s) disclaim responsibility for any injury to people or property resulting from any ideas, methods, instructions or products referred to in the content. |
© 2025 by the authors. Licensee MDPI, Basel, Switzerland. This article is an open access article distributed under the terms and conditions of the Creative Commons Attribution (CC BY) license (https://creativecommons.org/licenses/by/4.0/).
Share and Cite
Huang, W.; Chen, G.; Jiang, X.; Xiao, X.; Chen, Y.; Liu, C. Research on Self-Healing Distribution Network Operation Optimization Method Considering Carbon Emission Reduction. Processes 2025, 13, 1850. https://doi.org/10.3390/pr13061850
Huang W, Chen G, Jiang X, Xiao X, Chen Y, Liu C. Research on Self-Healing Distribution Network Operation Optimization Method Considering Carbon Emission Reduction. Processes. 2025; 13(6):1850. https://doi.org/10.3390/pr13061850
Chicago/Turabian StyleHuang, Weijie, Gang Chen, Xiaoming Jiang, Xiong Xiao, Yiyi Chen, and Chong Liu. 2025. "Research on Self-Healing Distribution Network Operation Optimization Method Considering Carbon Emission Reduction" Processes 13, no. 6: 1850. https://doi.org/10.3390/pr13061850
APA StyleHuang, W., Chen, G., Jiang, X., Xiao, X., Chen, Y., & Liu, C. (2025). Research on Self-Healing Distribution Network Operation Optimization Method Considering Carbon Emission Reduction. Processes, 13(6), 1850. https://doi.org/10.3390/pr13061850
