Effect of Microfractures on Counter-Current Imbibition in Matrix Blocks: A Numerical Study and Modified Shape Factor
Abstract
1. Introduction
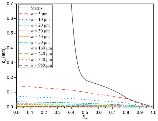
2. Numerical Simulation of Microfracture Imbibition
2.1. Microfracture Perpendicular to the Imbibition Open Face
2.2. Microfracture Parallel to the Imbibition Open Face
3. Results and Discussion
3.1. Microfracture Perpendicular to the Imbibition Open Face
3.2. Microfracture Parallel to the Imbibition Open Face
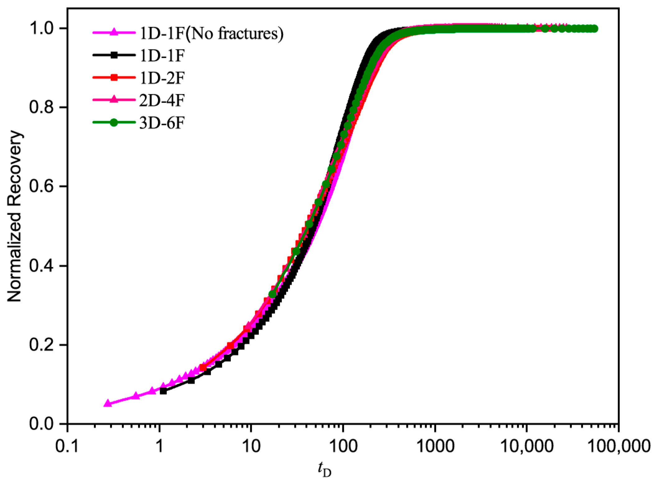
3.3. Scaling of Imbibition in Matrix Blocks with Microfractures
3.3.1. Shape Factor
3.3.2. Validation
4. Conclusions
- (1)
- Microfractures can cause the spontaneous counter-current imbibition process to exhibit the following anisotropic characteristics: on the one hand, microfractures on the surface of the rock block that are in contact with water in the imbibition open face increase the imbibition rate of the matrix; on the other hand, microfractures parallel to the imbibition open face hinder the imbibition process.
- (2)
- The imbibition characteristics differ depending on the spatial relationship between the microfractures and the imbibition open face. When fractures are vertical to the rock block open face and in contact with water, they promote imbibition, and as the fracture aperture decreases, the imbibition rate initially increases and then decreases. When microfractures are parallel to the imbibition surface, they inhibit the imbibition process. Under the same volumetric fracture density, the longer the fracture length, the lower the imbibition rate. Similarly, under the same fracture length, a higher volumetric fracture density leads to a lower imbibition rate.
- (3)
- By multiplying the matrix rock imbibition shape factor by a coefficient considering the anisotropic imbibition of microfractures, an empirical shape factor representing the anisotropic imbibition effect of fractures can be obtained. This shape factor can be incorporated into the dual-porosity model to account for the influence of microfractures on spontaneous imbibition.
Author Contributions
Funding
Data Availability Statement
Conflicts of Interest
References
- Morrow, N.R.; Mason, G. Recovery of oil by spontaneous imbibition. Curr. Opin. Colloid Interface Sci. 2001, 6, 321–337. [Google Scholar] [CrossRef]
- Mason, G.; Fischer, H.; Morrow, N.R.; Ruth, D.W. Correlation for the effect of fluid viscosities on counter-current spontaneous imbibition. J. Pet. Sci. Eng. 2010, 72, 195–205. [Google Scholar] [CrossRef]
- Standnes, D.C.; Andersen, P.Ø.; Papatzacos, P.; Skjæveland, S.M. Interpretation of 1-D Counter-Current Spontaneous Imbibition Processes Using Microscopic Diffusion Theory and a Modified Buckley–Leverett Approach. Energy Fuels 2020, 34, 5868–5883. [Google Scholar] [CrossRef]
- Standnes, D.C.; Andersen, P.Ø. Analysis of the impact of fluid viscosities on the rate of countercurrent spontaneous imbibition. Energy Fuels 2017, 31, 6928–6940. [Google Scholar] [CrossRef]
- Mason, G.; Morrow, N.R. Developments in spontaneous imbibition and possibilities for future work. J. Pet. Sci. Eng. 2013, 110, 268–293. [Google Scholar]
- Meng, Q.; Cai, J. Recent advances in spontaneous imbibition with different boundary conditions. Capillarity 2018, 1, 19–26. [Google Scholar] [CrossRef]
- Tian, W.; Wu, K.; Gao, Y.; Chen, Z.; Gao, Y.; Li, J. A critical review of enhanced oil recovery by imbibition: Theory and practice. Energy Fuels 2021, 35, 5643–5670. [Google Scholar] [CrossRef]
- Chun, L.; Qingxin, G.; Ronghu, Z.; Huiliang, Z. Characteristics and origin of microfracture in lower Cretaceous tight sandstone from Kuqa foreland basin, NW China. In Proceedings of the International Petroleum Technology Conference, Beijing, China, 26–28 March 2013. [Google Scholar]
- Anders, M.H.; Laubach, S.E.; Scholz, C.H. Microfractures: A review. J. Struct. Geol. 2014, 69, 377–394. [Google Scholar]
- Hooker, J.N.; Katz, R.F.; Laubach, S.E.; Cartwright, J.; Eichhubl, P.; Ukar, E.; Bloomfield, D.; Engelder, T. Fracture-pattern growth in the deep, chemically reactive subsurface. J. Struct. Geol. 2023, 173, 104915. [Google Scholar] [CrossRef]
- Kazemi, H.; Gilman, J.R.; Elsharkawy, A.M. Analytical and numerical solution of oil recovery from fractured reservoirs with empirical transfer functions. SPE Reserv. Eng. 1992, 7, 219–227. [Google Scholar] [CrossRef]
- Jafari, I.; Masihi, M.; Nasiri Zarandi, M. Numerical simulation of counter-current spontaneous imbibition in water-wet fractured porous media: Influences of water injection velocity, fracture aperture, and grains geometry. Phys. Fluids 2017, 29, 113305. [Google Scholar]
- Sedaghat, M.; Azizmohammadi, S.; Matthai, S.K. How fracture capillary pressure affects ensemble relative permeability of naturally fractured reservoirs. In Proceedings of the ECMOR XV-15th European Conference on the Mathematics of Oil Recovery, Amsterdam, The Netherlands, 29 August–1 September 2016. [Google Scholar]
- Cheng, C.L.; Perfect, E.; Donnelly, B.; Bilheux, H.Z.; Tremsin, A.S.; McKay, L.D.; Santodonato, L.J. Rapid imbibition of water in fractures within unsaturated sedimentary rock. Adv. Water Resour. 2015, 77, 82–89. [Google Scholar]
- Perfect, E.; Brabazon, J.W.; Gates, C.H. Forward prediction of early-time spontaneous imbibition of water in unsaturated rock fractures. Vadose Zone J. 2020, 19, e20056. [Google Scholar]
- Horodecky, B.B.; Perfect, E.; Bilheux, H.Z.; Brabazon, J.W.; Gates, C.H. Onset dynamics of air-water menisci on rock fracture surfaces. Adv. Water Resour. 2020, 146, 103754. [Google Scholar]
- Yuan, X.; Yao, Y.; Liu, D.; Pan, Z. Spontaneous imbibition in coal: Experimental and model analysis. J. Nat. Gas Sci. Eng. 2019, 67, 108–121. [Google Scholar]
- Brabazon, J.W.; Perfect, E.; Gates, C.H.; Bilheux, H.Z.; Tyner, J.S.; McKay, L.D.; Horodecky, B.B. Rock fracture sorptivity as related to aperture width and surface roughness. Vadose Zone J. 2019, 18, 1–10. [Google Scholar] [CrossRef]
- Liu, Y.; Cai, J.; Sahimi, M.; Qin, C. A study of the role of microfractures in counter-current spontaneous imbibition by lattice Boltzmann simulation. Transp. Porous Media 2020, 133, 313–332. [Google Scholar] [CrossRef]
- Li, G.; Liu, Y.; Cheng, Z.; Xue, L.; Kong, X. The Effect of Fracture Aperture on Fracturing Fluid Imbibition into Gas-Saturated Rocks. In Proceedings of the ARMA US Rock Mechanics/Geomechanics Symposium, Santa Fe, NM, USA, 26–29 June 2022. [Google Scholar]
- Wilson, R.; Rodríguez, F. Network modeling of drainage and imbibition in microfractured porous media. In Proceedings of the SPE Annual Technical Conference and Exhibition, Dallas, TX, USA, 9–12 October 2005. [Google Scholar]
- Li, G.; Liu, Y.; Mi, L.; Song, L.; Cheng, Z.; Qian, Q.; Pei, X. Time-dependent shape factor for scaling of multi-dimensional counter-current imbibition with different boundary conditions. J. Pet. Sci. Eng. 2022, 217, 110880. [Google Scholar]
- Dejam, M.; Hassanzadeh, H.; Chen, Z. Reinfiltration through liquid bridges formed between two matrix blocks in fractured rocks. J. Hydrol. 2014, 519, 3520–3530. [Google Scholar]
- Miri, R.; Shadizadeh, S.R.; Kharrat, R. Fracture capillary pressure based on the liquid bridge dynamic stability study. Energy Sources Part A-Recovery Util. Environ. Eff. 2014, 36, 2536–2545. [Google Scholar]
- Harimi, B.; Masihi, M.; Ghazanfari, M.H. An insight into the formation of liquid bridge and its role on fracture capillary pressure during gravity drainage in fractured porous media. Can. J. Chem. Eng. 2021, 99, S212–S231. [Google Scholar]
- Ma, S.; Morrow, N.R.; Zhang, X. Generalized scaling of spontaneous imbibition data for strongly water-wet systems. J. Pet. Sci. Eng. 1997, 18, 165–178. [Google Scholar]













| Parameter | Value |
|---|---|
| Initial water saturation of the matrix | 0.40 |
| Initial water saturation of the microfracture | 0.40 |
| Initial water saturation of the hydraulic fracture | 1.00 |
| Matrix permeability, mD | 0.10 |
| Hydraulic fracture permeability, mD | 50,000 |
| Matrix porosity | 0.1 |
| Microfracture porosity | 0.9 |
| Gas phase viscosity, mPa·s | 0.01 |
| Water phase viscosity, mPa·s | 0.60 |
| Gas phase density, kg/m3 | 0.7 |
| Water phase density, kg/m3 | 1000.0 |
| Parameter | Value |
|---|---|
| Initial water saturation of the matrix | 0.44 |
| Matrix permeability, mD | 1.80 |
| Matrix porosity | 0.22 |
| Oil phase viscosity, mPa·s | 2.5 |
| Water phase viscosity, mPa·s | 1.0 |
| Oil phase density, kg/m3 | 800 |
| Water phase density, kg/m3 | 1000 |
| Water phase index | 0.9 |
| Oil phase index | 2.0 |
| Water phase relative permeability at residual oil saturation | 0.11 |
| Oil phase relative permeability at initial water saturation | 1.00 |
| Model Number | Boundary Condition | Fracture Direction | Fracture Length (cm) | Volumetric Fracture Density (cm2/cm3) |
|---|---|---|---|---|
| C-1 | 1D–1F | Perpendicular to the open face | 0.5 | 1.0 |
| C-2 | 1D–1F | Parallel to the open face | 0.5 | 1.0 |
| C-3 | 1D–1F | Parallel to the open face | 1.0 | 1.0 |
| C-4 | 1D–1F | Parallel to the open face | 1.5 | 1.0 |
| C-5 | 1D–1F | Parallel to the open face | 0.5 | 0.5 |
| C-6 | 1D–1F | Parallel to the open face | 0.5 | 1.4 |
Disclaimer/Publisher’s Note: The statements, opinions and data contained in all publications are solely those of the individual author(s) and contributor(s) and not of MDPI and/or the editor(s). MDPI and/or the editor(s) disclaim responsibility for any injury to people or property resulting from any ideas, methods, instructions or products referred to in the content. |
© 2025 by the authors. Licensee MDPI, Basel, Switzerland. This article is an open access article distributed under the terms and conditions of the Creative Commons Attribution (CC BY) license (https://creativecommons.org/licenses/by/4.0/).
Share and Cite
Li, G.; Bai, Y.; Fang, M.; Liu, Y. Effect of Microfractures on Counter-Current Imbibition in Matrix Blocks: A Numerical Study and Modified Shape Factor. Processes 2025, 13, 983. https://doi.org/10.3390/pr13040983
Li G, Bai Y, Fang M, Liu Y. Effect of Microfractures on Counter-Current Imbibition in Matrix Blocks: A Numerical Study and Modified Shape Factor. Processes. 2025; 13(4):983. https://doi.org/10.3390/pr13040983
Chicago/Turabian StyleLi, Guanlin, Yuhu Bai, Maojun Fang, and Yuetian Liu. 2025. "Effect of Microfractures on Counter-Current Imbibition in Matrix Blocks: A Numerical Study and Modified Shape Factor" Processes 13, no. 4: 983. https://doi.org/10.3390/pr13040983
APA StyleLi, G., Bai, Y., Fang, M., & Liu, Y. (2025). Effect of Microfractures on Counter-Current Imbibition in Matrix Blocks: A Numerical Study and Modified Shape Factor. Processes, 13(4), 983. https://doi.org/10.3390/pr13040983

