Swelling and Plugging Properties of AM/PF Temperature-Resistant Polymer Microspheres
Abstract
1. Introduction
2. Experimental Section
2.1. Materials
2.2. Synthesis Polymer Microspheres by Inverse Suspension Polymerization
2.3. Temperature Resistance Property of Polymer Microspheres
2.4. SEM of Polymer Microspheres
2.5. Size Distribution of Polymer Microspheres
2.6. Microscopic Observation of Polymer Microsphere
2.7. TG-DSC Analysis of Polymer Microsphere
2.8. Experimental Study on Cellulose Membrane Filtration of Polymer Microspheres
2.9. Experimental Study on Plugging and Migration of Polymer Microspheres
3. Results and Discussion
3.1. Morphology and Particle Size Distribution of AM/PF Polymer Microspheres
3.2. Swelling and Temperature Resistance of AM/PF Polymer Microspheres
3.2.1. Morphology of Polymer Microspheres After Swelling
3.2.2. Effect of Swelling Time
3.2.3. Effect of Swelling Temperature
3.3. TG-DSC Analysis of AM/PF Polymer Microspheres
3.4. Plugging Characteristics of AM/PF Polymer Microspheres on Microporous Membrane
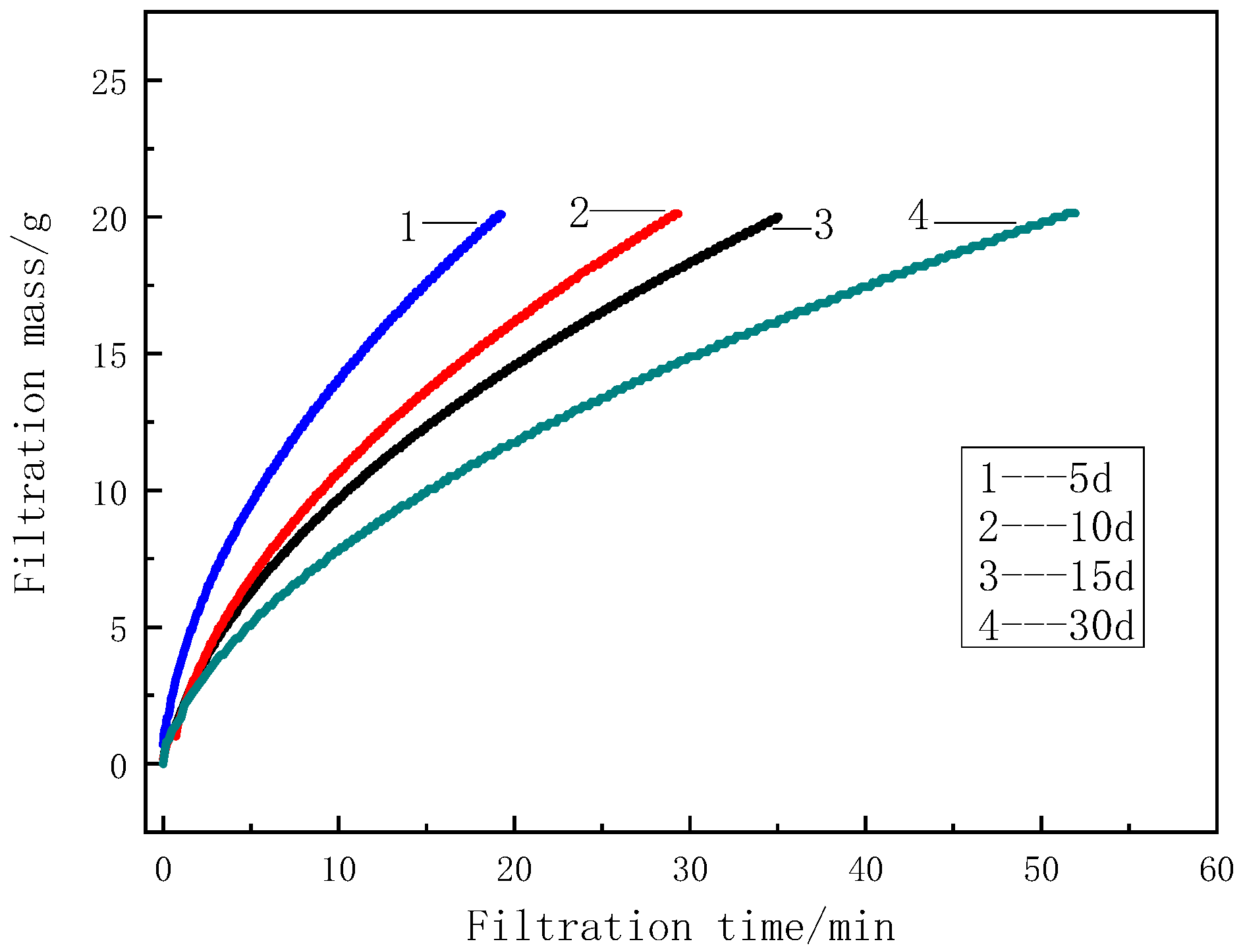
3.4.1. Effect of Swelling Time on Plugging Effect of Microspheres
3.4.2. Effect of Swelling Temperature on Plugging Effect of Microspheres
3.5. Plugging Characteristics of AM/PF Polymer Microspheres for Sand-Filled Pipe
3.5.1. Effect of Microsphere Concentration on Plugging Effect of Packed Sand Pipe with Microsphere
3.5.2. Effect of Sand Pipe Permeability on the Effect of Plugging Sand Pipe with Microspheres
3.6. Profile Control Characteristics of AM/PF Polymer Microspheres
4. Conclusions
Author Contributions
Funding
Data Availability Statement
Conflicts of Interest
References
- Wu, S.; Sun, G.; Cheng, H.; Zhao, J. Study on the reservoir parameters variation mechanism of sandstone oil reservoir with longterm water drive. Pet. Geol. Recovery Effic. 2004, 11, 9–11. [Google Scholar]
- Xiong, C.; Tang, X. Technologies of water shut-off and profile control: An overview. Pet. Explor. Dev. 2007, 34, 83–88. [Google Scholar]
- Smith, J.E. Closing the lab-field gap: A look at near-wellbore flow regimes and performance of 57 field projects. In Proceedings of the SPE/DOE Improved Oil Recovery Symposium, Tulsa, OK, USA, 17–20 April 1994. [Google Scholar]
- Smith, J.E. The transition pressure: A quick method for quantifying polyacrylamide gel strength. In Proceedings of the SPE International Symposium on Oilfield Chemistry, Houston, TX, USA, 8–10 February 1989. [Google Scholar]
- Lin, M.; Li, M.; Ji, S. Flow resistance of colloidal dispersion gel in porous media. J. Univ. Pet. 1998, 22, 93–95. [Google Scholar]
- Mack, J.C.; Smith, J.E. In-depth colloidal dispersion gels improve oil recovery efficiency. In Proceedings of the SPE/DOE Improved Oil Recovery Symposium, Tulsa, OK, USA, 17–20 April 1994. [Google Scholar]
- Fielding, R.C., Jr.; Gibbons, D.H.; Legrand, F.P. In-depth drive fluid diversion using an evolution of colloidal dispersion gels and new bulk gels: An operational case history of north rainbow ranch unit. In Proceedings of the SPE/DOE Improved Oil Recovery Symposium, Tulsa, OK, USA, 17–20 April 1994. [Google Scholar]
- Smith, J.E.; Mack, J.C.; Nicol, A.B. The Adon Road: An in-depth gel case history. In Proceedings of the SPE/DOE Improved Oil Recovery Symposium, Tulsa, OK, USA, 21–24 April 1996. [Google Scholar]
- Chang, H.L.; Sui, X.; Xiao, L.; Liu, H.; Guo, Z.; Yao, Y.; Xiao, Y.; Chen, G.; Song, K.; Mack, J.C. Successful field pilot of in-depth Colloidal Dispersion Gel (CDG) technology in Daqing Oil field. SPE Reserv. Eval. Eng. 2006, 9, 664–673. [Google Scholar] [CrossRef]
- Li, M.; Wang, A.; Yu, X.; Zhao, Z.; Lin, M. The flowing diversion mechanism of linked polymer solution. Acta Pet. Sin. Pet. Process. Sect. 2007, 23, 31–35. [Google Scholar]
- Xu, G.L.; Lin, M.Q.; Li, M.Y. Plugging performance of linked polymer solutions. J. Univ. Pet. 2001, 25, 85–87. [Google Scholar]
- Lin, M.; Zhao, Z.; Li, M.; Dong, Z.; Peng, B. The effect of surface wettability of porous media on the plugging properties of LPS. Acta Pet. Sin. Pet. Process. Sect. 2009, 20, 91–95. [Google Scholar]
- Li, M.Y.; Lin, M.Q.; Zheng, X.Y.; Wu, Z.L. Linked polymer solution as in-depth permeability control agent: Laboratory study and field test. Oilfield Chem. 2000, 17, 144–147. [Google Scholar]
- Hua, Z.; Lin, M.; Dong, Z.; Li, M.; Zhang, G.; Yang, J. Study of deep profile control and oil displacement technologies with nanoscale polymer microspheres. J. Colloid Interface Sci. 2014, 424, 67–74. [Google Scholar] [CrossRef] [PubMed]
- Pritchett, J.; Frampton, H.; Brinkman, J.; Cheung, S.; Morgan, J.; Chang, K.T.; Williams, D.; Goodgame, J. Field Application of a New In-Depth Waterflood Conformance Improvement Tool. In Proceedings of the SPE International Improved Oil Recovery Conference in Asia Pacific, Kuala Lumpur, Malaysia, 20–21 October 2003. [Google Scholar]
- Huang, X.; Li, X.; Jin, W.; Nan, J.; Hui, P. Research on deep profile controlling and flooding technology with high temperature and salt resistance microspheres in Wenzhong Oilfield. Oil Drill. Prod. Technol. 2013, 35, 100–103. [Google Scholar]
- Zhao, Q.; Lin, M.; Dang, S.; Hua, Z. Acrylamide/2-Acrylamido-2-methylpropanesulfonic acid/1-Vinyl-2-pyrrolidinone Terpolymeric Microspheres by Orthogonal Experiments. Asian J. Chem. 2014, 26, 5615–5618. [Google Scholar] [CrossRef]
- Lin, M.; Zhao, Q.; Dang, S.; Wang, Y.; Wang, Y.; Wang, X. Preparation and properties of terpolymeric microspheres for deep profile control in oilfields. Mater. Res. Innov. 2015, 19, 574–579. [Google Scholar] [CrossRef]
- Qu, W.C.; Song, K.P. Preparation and Characterization of Superfine Polymer Microspheres in Low Permeability Reservoir. Oilfield Chem. 2015, 32, 198–202. [Google Scholar]
- Yang, C.C.; Yue, X.A.; Zhou, D.Y.; He, J.; Zhao, J.; Zhou, J.; Li, C. Performance Evaluation of Polymer Microsphere with High Temperature Resistance and High Salinity Tolerance. Oilfield Chem. 2016, 33, 254–260. [Google Scholar]
- Yang, C.; Yue, X.; Li, C.; Xu, R.; Wei, J. Combining carbon dioxide and strong emulsifier in-depth huff and puff with DCA microsphere plugging in horizontal wells of high temperature and high-salinity reservoirs. J. Nat. Gas Sci. Eng. 2017, 42, 56–68. [Google Scholar] [CrossRef]
- Lin, M.; Dong, Z.; Han, F.; Li, M.; Wu, Z. Study on the size of the LPC with nuclepore film. Membr. Sci. Tech. 2005, 25, 42–45. [Google Scholar]
- Wang, Z.; Lin, M.; Xiang, Y.; Zeng, T.; Dong, Z.; Zhang, J.; Yang, Z. Zr-Induced Thermostable Polymeric Nanospheres with Double-Cross-Linked Architectures for Oil Recovery. Energy Fuels 2019, 33, 10356–10364. [Google Scholar] [CrossRef]















| Main Parameter | Value |
|---|---|
| Length of sand pipe (cm) | 16.50 |
| Inner diameter of sand pipe (cm) | 2.50 |
| Sand pipe volume (cm3) | 80.95 |
| Quartz sand density (g/cm3) | 2.62 |
Disclaimer/Publisher’s Note: The statements, opinions and data contained in all publications are solely those of the individual author(s) and contributor(s) and not of MDPI and/or the editor(s). MDPI and/or the editor(s) disclaim responsibility for any injury to people or property resulting from any ideas, methods, instructions or products referred to in the content. |
© 2025 by the authors. Licensee MDPI, Basel, Switzerland. This article is an open access article distributed under the terms and conditions of the Creative Commons Attribution (CC BY) license (https://creativecommons.org/licenses/by/4.0/).
Share and Cite
Zhao, D.; Li, X.; Hu, K.; Zhang, J.; Shan, J.; Liu, N.; Wang, T.; Yang, Z. Swelling and Plugging Properties of AM/PF Temperature-Resistant Polymer Microspheres. Processes 2025, 13, 897. https://doi.org/10.3390/pr13030897
Zhao D, Li X, Hu K, Zhang J, Shan J, Liu N, Wang T, Yang Z. Swelling and Plugging Properties of AM/PF Temperature-Resistant Polymer Microspheres. Processes. 2025; 13(3):897. https://doi.org/10.3390/pr13030897
Chicago/Turabian StyleZhao, Dexi, Xianjie Li, Ke Hu, Jian Zhang, Jincheng Shan, Ning Liu, Tianhui Wang, and Zihao Yang. 2025. "Swelling and Plugging Properties of AM/PF Temperature-Resistant Polymer Microspheres" Processes 13, no. 3: 897. https://doi.org/10.3390/pr13030897
APA StyleZhao, D., Li, X., Hu, K., Zhang, J., Shan, J., Liu, N., Wang, T., & Yang, Z. (2025). Swelling and Plugging Properties of AM/PF Temperature-Resistant Polymer Microspheres. Processes, 13(3), 897. https://doi.org/10.3390/pr13030897
