Abstract
This study introduces a mechanical recycling technique for crosslinked high-density polyethylene (xHDPE) using cryogenic pulverization and compression molding. This method is shown to effectively transform xHDPE into valuable fillers for recycled HDPE (rHDPE(B)) sourced from recycled bottles using different concentrations (15–60%) and particle sizes (0–250 µm, 250–500 µm, and 500–1000 µm). In particular, the recycling method significantly reduced the gel content from 60.5% to 41.8% for the 0–250 µm particles, indicating partial decrosslinking. Morphological analysis revealed good interfacial adhesion between rHDPE(B) and recycled xHDPE (r-xHDPE), improving the overall performance and resulting in a balanced combination of properties from both materials. The r-xHDPE samples exhibited improved thermal stability. While particle size had minimal effect on material properties, increasing its concentration significantly improved impact strength (612%) with a slight (3%) reduction in density at 60% 500–1000 µm particles. This research underscores the possibility of recycling crosslinked polymers and highlights the need for further studies to optimize the material properties and expand the methodology to a wider range of polymers.
1. Introduction
High-density polyethylene (HDPE) is a versatile thermoplastic widely used in different applications due to its good mechanical strength, chemical resistance, and durability [1,2,3,4,5,6,7]. But when crosslinked, HDPE gains improved thermal stability and resistance to chemicals, making it suitable for demanding applications such as piping systems, automotive components, containers/tanks, and insulation materials [8,9,10,11,12,13,14]. This is related to the creation of a three-dimensional network significantly improving these properties [11,12,13]. However, this very structure makes the recycling process more difficult, as crosslinked HDPE (xHDPE) does not melt or flow under heat as its linear (uncrosslinked) counterpart. This characteristic hinders conventional recycling methods leading to environmental issues as large amounts of xHDPE end up in landfills, contributing to global plastic waste problems.
The global push toward a circular economy has intensified efforts to develop sustainable recycling practices for plastics, especially for widely used polymers such as polyethylene (PE) and polypropylene (PP), with growing success in recycling commodity polyolefins and well-developed processes implemented in the industry [15,16]. However, recycling crosslinked polyethylene (xPE) presents significant challenges due to the complex structures involved. Nevertheless, different methods were proposed to address these issues, including ultrasonic decrosslinking [17,18,19], mechanochemical decrosslinking [20,21,22], and solid-state milling [23,24,25]. Ultrasonic decrosslinking uses high-frequency sound waves to disrupt the crosslinks (covalent bonds), enabling partial decrosslinking. However, this method is often energy-intensive, requiring substantial energy input. Mechanochemical decrosslinking combines mechanical forces (shear and elongation) and elevated temperatures (heat), and often uses processing aids/agents such as supercritical fluids (methanol, ethanol, CO2, water, etc.), as well as other chemicals/additives (calcium oxide, silicon dioxide, etc.) to break down the crosslinks. While being effective, this approach can introduce contaminants/residues, such as metal ions from catalysts, stabilizers, pigments, and processing aids, compromising the material’s consistency and performance (no selective bond break-up). Similar challenges were reported in the thermo-mechanical recycling of linear polymers such as LDPE, where high processing temperatures and mechanical stresses can degrade the material and limit its recyclability [26]. In contrast, solid-state milling offers a chemical-free alternative by physically grinding the material. This method avoids the use of chemicals/additives and can improve processing efficiency. Nevertheless, solid-state milling faces some challenges, such as achieving a uniform particle size and preserving material properties.
Crosslinked polyethylene (xPE) sourced from high-voltage cables, often containing metals (copper, iron, aluminum, etc.) and other contaminants (plasticizers, stabilizers, carbon black, etc.), was also explored as a filler for other polymers [27,28,29]. Different methods, such as melt mixing with high-density polyethylene (HDPE) and polypropylene (PP) at temperatures between 180 and 230 °C, showed some promise [27,28,30]. However, careful control is crucial when using higher temperatures for melt mixing due to the crosslinking agent decomposition. For example, dicumyl peroxide (DCP) decomposes between 130 and 194 °C, with a peak at 172 °C. Since higher temperatures may be required to enable effective remolding, the risk of premature crosslinking is significant [31]. More interestingly, the cable-derived xPE was used as a filler in medium-density polyethylene (MDPE) for rotational molding applications [32]. While these applications extend the life of recycled materials, it is crucial to understand the limits of their remolding to accurately assess the recycling potential and circularity of these resources. Special attention must be paid to contamination levels, especially from metals and additives, as a higher contamination level can lead to significant degradation over time. Additionally, detailed information on the sources of crosslinking and the thermal properties of the materials is vital for effective reprocessing, especially to select optimal mixing temperatures. More information on the recycling and reprocessing of crosslinked polyethylene can be found in the literature [12,33,34,35]. Despite recent developments, there is an urgent need for more straightforward and efficient techniques to improve the recycling processes and address all the challenges associated with the recycling of crosslinked polymers.
This study investigates the mechanical recycling of xHDPE, focusing on the application of cryogenic pulverization as detailed in our previous work [35]. Cryogenic pulverization involves cooling the material with liquid nitrogen to achieve a brittle state, allowing the materials to be ground into fine particles without chemicals or additives. While cryogenic pulverization has been widely used for recycling thermoplastics and elastomers [36,37,38,39,40], its application to crosslinked polymers, such as xHDPE, remains unexplored. This study presents the first demonstration of cryogenic pulverization as a viable method for the recycling and (re)processing of xHDPE, addressing the unique challenges associated with its crosslinked structure. Unlike previous decrosslinking methods, such as solid-state mechanochemical processes [21], ultrasonic decrosslinking [17,41], and chemical decrosslinking using supercritical fluids [42], which showed significant progress in breaking down crosslinked networks, these techniques often face challenges such as high energy consumption, complex chemical treatments, and/or limited scalability. Cryogenic pulverization, on the other hand, offers a simpler, more efficient, and environmentally friendly alternative. By leveraging the brittleness of xHDPE at cryogenic temperatures, this method avoids the need for energy-intensive processes or chemical additives, while preserving the material’s integrity and producing uniform particle sizes. By using cryogenic pulverization, this study aims to evaluate the potential of recycled xHDPE as a filler in recycled HDPE (rHDPE) obtained from rigid bottles. The research investigates the morphological and mechanical properties of the recycled blends, providing insights into the possibility of integrating crosslinked HDPE waste into broader recycling streams and contributing to more circular and sustainable recycling practices.
2. Materials and Methods
2.1. Materials
A rotational molding grade of high-density polyethylene (HDPE), Paxon™ 7004 Natural, was supplied by Exxon Mobil (Calgary, AB, Canada). This polymer was supplied as a 35-mesh powder (to provide efficient mixing and uniform crosslinking) with a density of 0.930 g/cm3 and a melt flow index (MFI) of 0.52 g/10 min at 2.16 kg and 190 °C. Post-consumer HDPE (rHDPE(B)) was obtained in flakes from recycled solid HDPE bottles (Service de Consultation Sinclair, QC, Canada) and used as a matrix. Dicumyl peroxide (DCP, bis(1-methyl-1-phenylethyl)) was purchased from Sigma Aldrich (St. Louis, MO, USA) and used as the crosslinking agent. The powder is in its crystalline form with 98% purity. Xylene, from Fisher Chemicals (Waltham, MA, USA), was used for Soxhlet extraction to determine the crosslink density. Finally, liquid nitrogen (LN2, Praxair, Mississauga, ON, Canada) was used for cryogenic treatment of the samples.
2.2. Sample Preparation and Recycling
The xHDPE samples were prepared using a laboratory-scale rotomolding machine (Roto-Lab model 22, MedKeff-Nye, Fairhaven, MA, USA). The powders (HDPE and 1 phr DCP) were dry blended (LAR-15 MB, Skyfood, Miami, FL, USA) at 3320 rpm for 5 min with 1 min intervals to achieve a uniform distribution, followed by an oven treatment at 85 °C for 24 h to facilitate DCP penetration into the HDPE resin. To produce the rotomolded parts, a cubic aluminum mold with a wall thickness of 4 mm and an internal side length of 200 mm was selected. Each part was produced using 700 g of materials at 190 °C (oven temperature), above the DCP peak decomposition temperature of 172 °C, for 30 min followed by a cooling period (fan cooling) of 25 min using a 5:1 arm-to-plate rotation speed ratio [43]. The parts (Figure 1a) were removed from the mold and characterized for their crosslink density (gel content) using the solvent extraction method (Section 2.2). The initial gel content was 60.5%. The parts were also cut for their thermal, mechanical, and physical characterization. For comparison, neat HDPE samples were also produced using the same conditions, as shown in Figure 1a. Finally, the post-consumer rHDPE(B) were pulverized using a lab mill model PKA-18 (Powder King, Phoenix, AZ, USA) and then sieved to achieve a particle size of less than 1 mm, as shown in Figure 1b.
Figure 1.
(a) Neat and xHDPE parts produced via rotomolding, and (b) the flakes and pulverized particles from rHDPE(B) bottles.
Figure 2 presents all the steps associated with the mechanical recycling of xHDPE parts and (re)using them as a filler in rHDPE(B). First, the neat HDPE and xHDPE parts were shredded using an industrial shredder (JECC, St Michel des Saints, QC, Canada). The shredded particles were subsequently processed in a laboratory grinder (Retsch, SM 2000, Haan, Germany) to obtain particles of 1–2 cm. These particles underwent a cryogenic treatment in LN2 (−196 °C) for 10 min. This low temperature treatment is essential, as it decreases the toughness of the crosslinked polymer, facilitating mechanical processing (such as crushing and grinding) and potentially helping in decrosslinking [35]. After the cryogenic treatment, the materials were pulverized in a lab mill model PKA-18 (Powder King, USA). The preliminary cooling of the cryogenic treatment enabled the milling disks to process the material more efficiently without overheating, enhancing both operational efficiency and safety. As a result, higher shear forces were applied, which are essential to break down the tough 3D structure of the materials. The process also allowed the production of a range of particle sizes obtained after sieving: 0–250 µm, 250–500 µm, and 500–1000 µm (Figure 3). Therefore, the effect of particle sizes and their concentration is investigated on the properties of rHDPE(B) sourced from recycled materials (rigid bottles), as described next.
Figure 2.
Step-by-step representation of the recycling, sieving, blending, and reprocessing of xHDPE.
Figure 3.
Characterization of the fillers passing the 250, 500, and 1000 µm sieves: (a–c) photos, (d–f) optical microscopy images, and (g–i) particle size distributions (μm).
Figure 3 provides a detailed analysis of the particle size distribution and morphology of the powders. The figure includes standard photos taken with a camera (Figure 3a–c), offering an overall view of the particles’ appearance. Additionally, optical microscope images (VHX Keyence, Mississauga, ON, Canada) at 80× magnification are presented to capture the particles for two ranges: 0–250 µm and 250–500 µm. For larger particles (500–1000 µm), images at 40x magnification are shown (Figure 3d–f). These micrographs allow a view of the surface topology of the particle size distribution across different scales.
The particle size distribution was quantitatively analyzed using the ImageJ software (1.54, National Institutes of Health, USA). The results revealed average particle sizes of 177 ± 55 µm, 399 ± 46 µm, and 797 ± 103 µm for particles passing through 250, 500, and 1000 µm sieves (Figure 3g–i), respectively. These findings confirm the efficiency of the processing method to successfully produce particles over a wide range of sizes.
The particles were mixed using different formulations, as presented in Table 1, via dry-blending with rHDPE(B) powders. This was achieved through high-speed mixing (LAR-15 MB, Skyfood, USA) at 3320 rpm for 5 min, followed by an oven treatment at 85 °C for 24 h to reduce the moisture content. The resulting mixture was then reprocessed via compression molding using a stainless-steel mold (102 × 102 × 3.4 mm3) according to a specific procedure: preheating at 175 °C for 3 min, applying a force of 2.5 tons for 5 min, and cooling under pressure to 60 °C with circulating water. This method not only facilitates the reuse of xHDPE but also addresses the challenges associated with recycling thermoset materials, promoting the sustainability of complex polymer products.
Table 1.
Code and blend formulation for the samples investigated.
The final recycled and reprocessed compression-molded samples containing 100% r-xHDPE and rHDPE(B), along with varying filler ratios (15%, 30%, 45%, and 60%), are presented in Figure 4. No significant changes were observed in the final products, except for the prominent green color from the original rHDPE(B) particles. More importantly, parts were successfully produced with 100% r-xHDPE, displaying the successful creation of recycled crosslinked (r-xHDPE) components. Finally, the specimens were cut from the molded parts for different characterization.
Figure 4.
Reprocessed components of rHDPE and r-xHDPE with different filler concentrations (15, 30, 45, 60, and 100%) and different particle sizes (0–250, 250–500, and 500–1000 µm).
2.3. Characterization
2.3.1. Crosslink Efficiency
The gel content of the recycled materials was evaluated using the Soxhlet extraction technique, as specified by ASTM D2765. This information was used to determine the effect of recycling on the crosslinking level. About 0.2–0.3 g of the sample was placed in a pre-weighed stainless-steel mesh pouch and subjected to reflux in xylene at 140 °C for 12 h. Then, the samples were oven-dried at 85 °C for 6 h until a stable weight was obtained. The gel fraction (Cgel) was determined from three separate trials by calculating the ratio of the weight of the insoluble polymer to the initial weight of the sample as follows [13,15,16]:
where Wf is the final weight after extraction and drying, and Wi is the initial weight of the samples.
2.3.2. Differential Scanning Calorimetry (DSC)
The melting and crystallization characteristics were analyzed using differential scanning calorimetry (DSC 25, TA Instruments, New Castle, DE, USA). For each test, a sample between 5 and 10 mg was placed in an aluminum pan. The procedure involved heating the sample from 20 °C to 180 °C at a rate of 10 °C/min in a nitrogen environment (to prevent oxidative reactions and degradation of the samples at high temperatures), followed by a cooling phase back to 20 °C at the same rate. The degree of crystallinity (Xc) for the neat, crosslinked, and 100% recycled parts (0–250, 250–500, and 500–1000 µm) was calculated as follows:
where ΔHm0 represents the melting enthalpy of 100% crystalline HDPE, which is 288.8 J/g [44].
2.3.3. Thermogravimetric Analysis (TGA)
Thermogravimetric analysis (TGA) was conducted for the neat (HDPE), crosslinked (xHDPE), recycled (rHDPE(B)), and recycled crosslinked (r-xHDPE) samples with varying sizes (0–250, 250–500, 500–1000 µm) using a Q5000 IR thermogravimetric analyzer (TA Instruments, USA) to assess the thermal stability of the materials. The samples (5–10 mg) were heated from 50 °C to 850 °C at a rate of 10 °C/min under nitrogen and air to evaluate their thermal and oxidative resistance. The initial degradation temperature (Td10%) was determined at 10% mass loss, while the maximum degradation temperature (Tdmax) is related to the peak of the first derivative (DTG) curve.
2.3.4. Tensile Properties
The tensile characteristics (ASTM D638) [45] were assessed using an Instron 5565 universal testing machine (Instron, Norwood, MA, USA) equipped with a 500 N load cell. Type V dog-bone specimens (thickness and width between 2.5 and 3.1 mm) were prepared from the molded parts. Testing was performed at room temperature with a crosshead speed of 10 mm/min. The tensile modulus, strength, and elongation at break were averaged from three individual samples.
2.3.5. Flexural Properties
Flexural properties (ASTM D790) [46] were evaluated via three-point bending tests at room temperature with an Instron 5565 universal testing machine and 500 N load cell. The tests used rectangular bars (80 mm × 12.7 mm × 3 mm) deformed under a crosshead speed of 2 mm/min and a span of 60 mm. Results for the flexural modulus and strength were derived from the average of three samples, along with their standard deviations.
2.3.6. Impact Strength
The Charpy impact strength (ASTM D6110) [47] was measured using an Impact 104 (Tinius Olsen, Willow Grove, PA, USA) testing machine. A minimum of three rectangular specimens (60 mm × 12.7 mm) were prepared and a V-shaped notch was introduced using an automatic notcher model ASN 120 m from Dynisco (Franklin, MA, USA) at least 24 h before testing.
2.3.7. Hardness (Shores A and D)
Hardness (ASTM D2240) [48] was evaluated using the Shore A (model 306 L) and Shore D (model 307 L) testers from PTC Instruments (San Diego, CA, USA). Shore A hardness was used to assess the softness of the material, while Shore D hardness was used to evaluate its rigidity. For each sample, five measurements were taken, and the average along with the standard deviation was reported.
2.3.8. Density
Density was determined via the buoyancy or hydrostatic weighing method. Samples weighing between 0.3 and 1.0 g were measured both in air and liquid (ethanol) using a precision balance (XSE 204, Mettler Toledo, Columbus, OH, USA). The average density was computed from three samples, and the standard deviation was calculated.
3. Results
3.1. Crosslink Efficiency
Figure 5 illustrates the gel contents (crosslink level) of the crosslinked high-density polyethylene (xHDPE) and 100% recycled crosslinked HDPE (r-xHDPE) samples with varying particle sizes (0–250, 250–500, and 500–1000 µm). In particular, the gel contents of the 100% r-xHDPE samples decreased across all particle sizes: 31% (60.5% to 41.8%) at 0–250 µm, 26% (60.5% to 44.6%) at 250–500 µm, and 23% (from 60.5% to 46.5%) at 500–1000 µm. This reduction in gel content is consistent with findings from the existing literature on mechanochemical decrosslinking, where similar decreases in gel content were reported due to the breakdown of crosslinked networks under mechanical stress [20]. Conversely, as the filler content of r-xHDPE increased (15–60%), the gel content of rHDPE(B) also increased, related to the inherent gel content in r-xHDPE. However, no significant differences were observed across the different particle sizes in this case.
Figure 5.
Gel content of xHDPE, and r-xHDPE for different particles sizes (0–250, 250–500, and 500–1000 µm) at different concentrations (15, 30, 45, 60, and 100%).
The reduction in gel content is crucial to understand the effect of cryogenic pulverization and subsequent compression molding on the recycling processes. During cryogenic treatment, the material is subjected to extremely low temperatures (−196 °C), which makes the material more sensitive to fracture under the mechanical forces (shear/elongation) during pulverization. This process leads to the partial scission of polymer chains, resulting in shorter segments and a significant reduction in particle size, which is an important factor for effective reprocessing techniques such as compression molding [35].
While the method used disrupts the tightly crosslinked network of the material, it does not eliminate all crosslinks. Instead, residual crosslinked segments remain, creating new reactive sites that contribute to reform a crosslinked structure following compression molding. This can occur above the decomposition peak temperature of DCP around 172 °C [31]. Ultimately, this approach can regenerate a degree of decrosslinking, while enabling the complete reprocessing (recycling) of the tough crosslinked structure, thereby improving the material’s potential for reuse.
3.2. Morphology
Figure 6 presents the morphology of blended samples at a 45% filler content using recycled crosslinked HDPE (r-xHDPE) particles of varying sizes (0–250, 250–500, and 500–1000 µm), viewed at magnifications of 250× (Figure 6a,c,e) and 1000× (Figure 6b,d,f). The samples containing 0–250 µm and 500–1000 µm fillers exhibit good adhesion and mixing within the matrix, which consists of 60% rHDPE. This effective interaction can be attributed to the relatively smaller size of the 0–250 µm fillers, allowing for better integration into the polymer matrix, as well as the larger surface area improving bonding with the matrix. In contrast, the 500–1000 µm fillers also show good adhesion due to their larger volume, which facilitates effective load transfer and structural integrity. On the other hand, the morphology of the 250–500 µm samples appears somewhat rougher (at 1000×), as shown in Figure 6e. This roughness suggests a less effective adhesion compared to the other sizes. Besides the differences in morphology associated with filler size, no significant changes were observed between the samples, highlighting the uniformity of the recycling process. The effective dispersion of r-xHDPE inside rHDPE underscores the potential to develop applications with a high recycled content without compromising the material properties.
Figure 6.
SEM micrographs (250× and 1000× magnifications) of the rHDPE(B) samples at a 45% filler content with different sizes: (a,d) 0–250 µm, (b,e) 250–500 µm, and (c,f) 500–1000 µm.
3.3. Differential Scanning Calorimetry
Table 2 summarizes the thermal properties derived from DSC analysis including the melting temperature (Tm), crystallization temperature (Tc), melting enthalpy (∆Hm), and degree of crystallinity (Xc), calculated by Equation (2). The properties are reported for the neat (HDPE), recycled (rHDPE(B)), crosslinked (xHDPE), and recycled crosslinked (r-xHDPE) samples across the filler sizes (0–250, 250–500, and 500–1000 µm). The Tm, Tc, ∆Hm, and Xc are lowered for all the samples with the crosslinked structure: xHDPE and r-xHDPE (0–250, 250–500, and 500–1000 µm). This reduction is attributed to the formation of a three-dimensional (3D) network disrupting the orderly crystalline structure, which is typical of HDPE. In particular, the melting temperature decreases from 131.9 °C to 128.6 °C, while the crystallization temperature decreases from 114.5 °C to 109.2 °C for neat HDPE upon crosslinking (xHDPE) with 1 phr of DCP. Consequently, the degree of crystallinity also decreases from 62.7% (HDPE) to 45.8% (xHDPE). This indicates that the crosslinked structure significantly disrupts the crystalline structure (less crystalline regions = more amorphous), resulting in lower crystallinity. On the other hand, the r-xHDPE samples with large particles (500–1000 µm) produce the lowest Tm (128.3 °C), Tc (103.1 °C), ∆Hm (123.7 J/g), and Xc (42.8%) compared to the smaller particles (0–250 µm), with higher Tm (128.9 °C), Tc (109.6 °C), ∆Hm (128.1 J/g), and Xc (44.4%). The slight differences are attributed to larger particles having a slightly higher gel content (46.5% vs. 41.8%), restricting chain mobility and hindering crystallization. This is consistent with the well-established understanding that crosslinking reduces crystallinity by limiting the ability of polymer chains to align and form ordered structures [31]. As a result, the larger particles, with their higher gel content, exhibit lower crystallinity compared to smaller particles. Furthermore, the overall decrease in Tm, Tc, ∆Hm, and Xc in recycled samples (0–250, 250–500, and 500–1000 µm) compared to xHDPE is mainly due to thermal and mechanical degradation during recycling, generating chain scission and reducing crystallinity, while residual crosslinks further limit chain rearrangement, lowering thermal and crystalline properties.
Table 2.
Thermal properties from DSC analysis of the neat HDPE, rHDPE, xHDPE, and r-xHDPE (0–250, 250–500, and 500–1000 µm) samples.
3.4. Thermogravimetric Analysis (TGA)
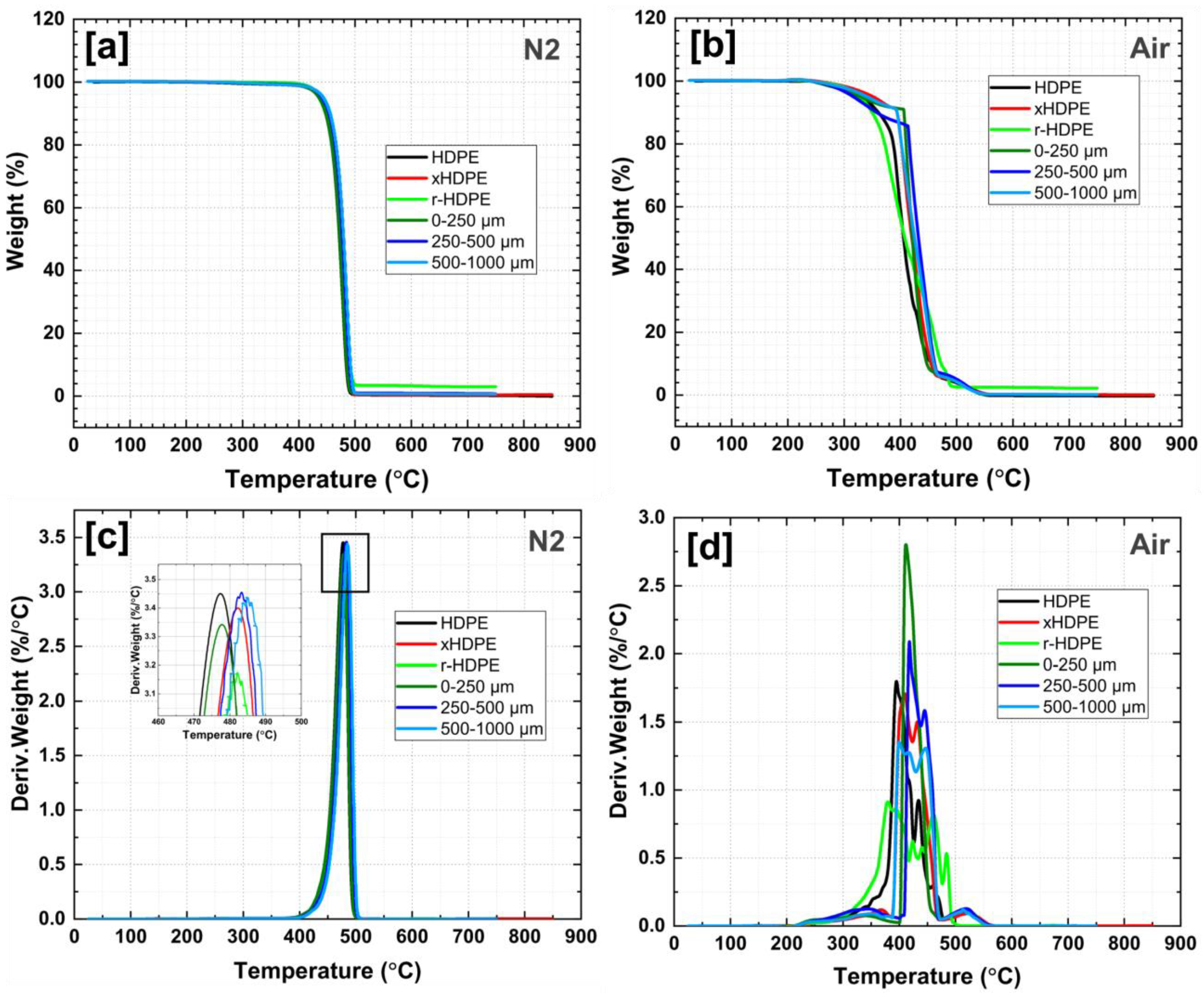
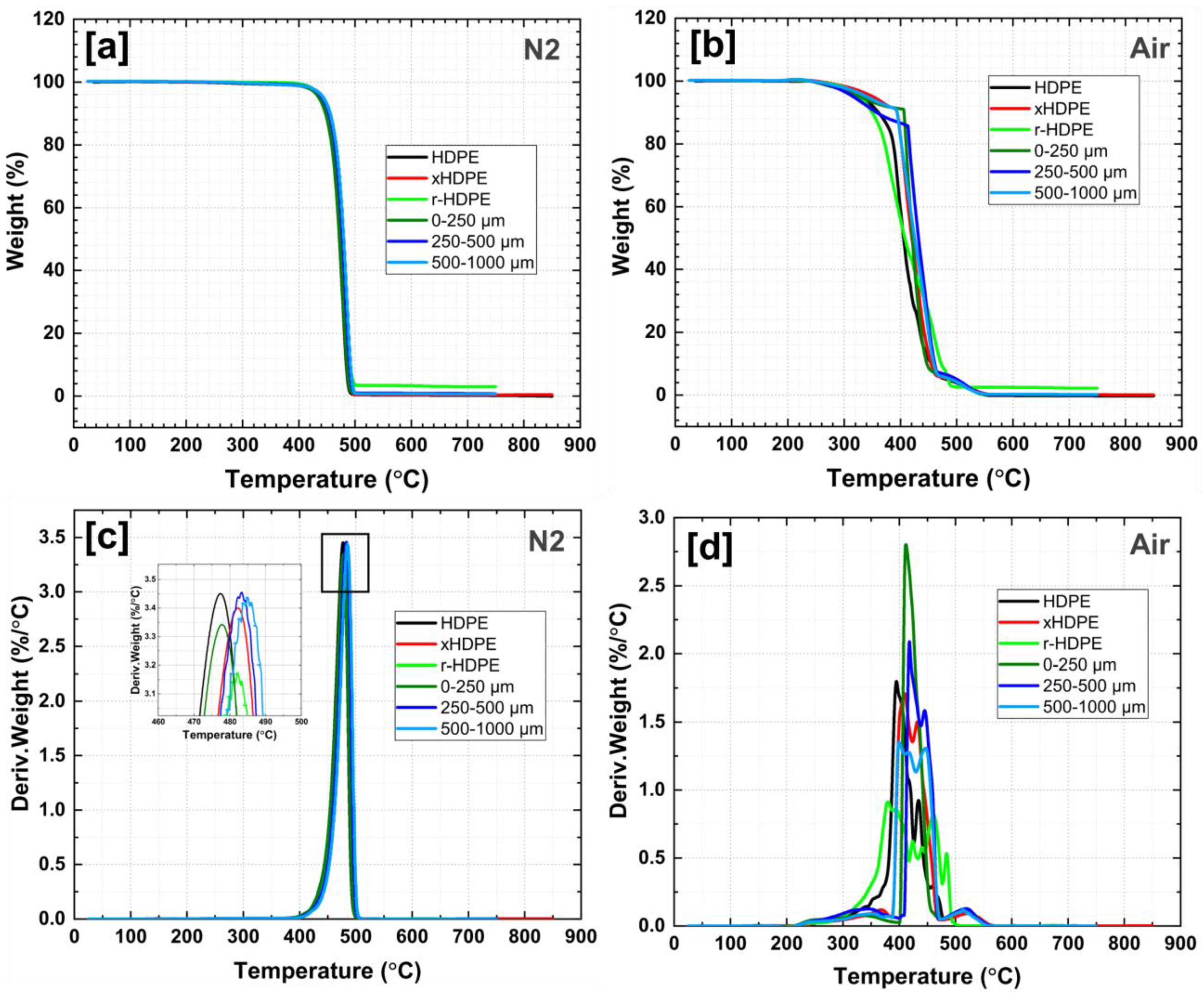
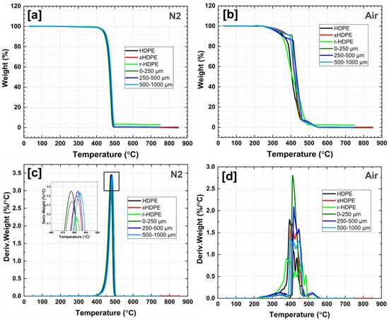
Figure 7 presents the TGA and DTG curves for all the samples in both nitrogen and air. The thermal degradation behavior differs significantly between both atmospheres. In nitrogen, all the samples exhibit a single-stage degradation process, mainly driven by polymer chain scission, while multiple degradation steps are observed in air due to oxidative decomposition. The Td10% and Tdmax values for each sample are summarized in Table 3. The results show that r-xHDPE exhibits better thermal stability despite being recycled. For instance, in nitrogen, r-xHDPE (500–1000 µm) has a Tdmax of 485.3 °C, which is higher than for rHDPE(B) (481.7 °C) and neat HDPE (472.2 °C), indicating improved resistance to thermal decomposition. Similarly, the onset degradation temperature (Td10%) for r-xHDPE (500–1000 µm) reaches 455.8 °C, which is higher than for rHDPE(B) (451.4 °C) and neat HDPE (447.9 °C). In air, a similar trend is observed, where r-xHDPE (250–500 µm) has a Tdmax of 419.2 °C, significantly higher than for rHDPE(B) (379.8 °C) and neat HDPE (396.2 °C). This behavior can be attributed to the presence of a residual crosslinked gel content, even after the recycling process. The gel phase restricts polymer chain mobility and slows thermal decomposition, resulting in higher degradation temperatures. The increase in degradation temperature suggests that crosslinking improves the thermal stability of the recycled material [11,13,31]. In contrast, conventional recycled HDPE (rHDPE) typically exhibits lower thermal stability due to the absence of a crosslinked structure, as reported in previous studies [49]. These results indicate that blending rHDPE(B) with r-xHDPE can improve the thermal resistance, as the residual gel content stabilizes the material, delaying decomposition and improving processability. This also makes r-xHDPE suitable for applications requiring high thermal durability, such as automotive applications and construction.
Figure 7.
(a,b) TGA and (c,d) DTG curves of HDPE, rHDPE(B), and r-xHDPE (0–250, 250–500, and 500–1000 µm) samples.
Table 3.
Thermal degradation parameters (Td10% and Tdmax) of neat HDPE, rHDPE(B), xHDPE, and r-xHDPE (0–250, 250–500, and 500–1000 µm) in nitrogen and air.
3.5. Tensile Properties
The tensile properties (strength, modulus, and elongation at break) of the HDPE, rHDPE(B), x-HDPE, and r-xHDPE samples with different filler contents (15%, 30%, 45%, 60%, and 100%) and different r-xHDPE particle sizes (0–250, 250–500, and 500–1000 µm) are shown in Figure 8. It can be seen that neat HDPE has higher tensile properties compared to the recycled (rHDPE) and crosslinked (xHDPE) samples. For instance, the tensile strength of neat HDPE is 20.3 MPa, which decreased to 16.4 MPa for xHDPE. This reduction is attributed to the presence of a 3D crosslinked network restricting polymer chain mobility, leading to lower crystallinity (Table 2).
Figure 8.
Tensile properties of HDPE, xHDPE, rHDPE(B), and r-xHDPE with different concentrations and particle sizes (0–250 µm, 250–500 µm, and 500–1000 µm): (a) tensile strength, (b) tensile modulus, and (c) elongation at break.
In contrast, the tensile strength of rHDPE(B) (18.7 MPa) decreased by 46%, 20%, and 35% when blended with r-xHDPE at a 60% filler content, resulting in tensile strengths of 10 MPa (0–250 µm), 14.9 MPa (250–500 µm), and 12 MPa (500–1000 µm) for the respective particle sizes. Similarly, the tensile modulus of rHDPE(B) (194 MPa) showed reductions of 19%, 16%, and 19% with the addition of r-xHDPE (0–250, 250–500, and 500–1000 µm) at a 60% filler content. Lower tensile properties are mainly related to the inherently lower strength and modulus of the 100% r-xHDPE: 14.3 MPa and 137 MPa (0–250 µm), 14.9 MPa and 142 MPa (250–500 µm), and 15.3 MPa and 140 MPa (500–1000 µm). Lower properties are attributed to the presence of a 3D crosslinked network and mechanical degradation caused by the recycling process [11,13].
Despite the lower tensile strength and modulus at higher filler contents, the blends show good compatibility, as they effectively balance the properties of both r-xHDPE and rHDPE, which can be tailored depending on the final application. In particular, the blend with a 15% r-xHDPE filler content has a 6% increase in tensile strength (20 MPa) for the 250–500 µm particles, as well as a higher tensile modulus by 13%, 2%, and 14% for the 0–250 µm, 250–500 µm, and 500–1000 µm particles, respectively. Higher values are likely due to a better dispersion of the r-xHDPE particles and improved interaction between the blend components at lower filler contents.
A similar decreasing trend was observed for the elongation at break across all r-xHDPE particle sizes (0–250 µm, 250–500 µm, and 500–1000 µm) at a 60% filler content. The neat HDPE samples have the highest elongation at break (810%). But for those crosslinked (xHDPE), the elongation at break decreased to 484% (40% reduction) due to the crosslinked structure limiting the mobility of polymer chains and their flexibility. In contrast, the elongation at break for rHDPE(B) was 731%. However, adding 60% r-xHDPE decreased the elongation at break to 570% for the 0–250 µm particle size (22% decrease), 173% for the 250–500 µm size (76% decrease), and 164% for the 500–1000 µm size (77% decrease). This reduction is attributed to the presence of a crosslinked network, restricting polymer chain mobility and mechanical degradation from the recycling process. Even at 100% r-xHDPE, the elongation at break remained lower at 284%, 223%, and 176% for the 0–250 µm, 250–500 µm, and 500–1000 µm particles, respectively. Lower values are associated with the rigid crosslinked structure and the weakening effects of recycling, further limiting chain flexibility and stretchability.
3.6. Flexural Properties
The flexural properties (strength and modulus) are presented in Figure 9. The neat HDPE exhibits a flexural strength of 20.9 MPa and a modulus of 1127 MPa. Upon crosslinking, these values decreased by 32% (20.9 to 14.2 MPa) for the strength and by 29% (1127 to 798 MPa) for the modulus. These reductions are mainly due to the restricted mobility of polymer chains caused by forming a 3D crosslinked network, limiting the material’s flexibility and ability to deform under stress and effectively sustain the applied stresses [31].
Figure 9.
Flexural properties of HDPE, xHDPE, rHDPE(B), and r-xHDPE with different concentrations and particle sizes (0–250 µm, 250–500 µm, and 500–1000 µm): (a) flexural strength and (b) flexural modulus.
For rHDPE(B), the flexural strength and modulus are 20.2 MPa and 1224 MPa, respectively. As expected, increasing the r-xHDPE content led to lower properties. For example, increasing the r-xHDPE content from 15% to 60% decreased the flexural strength by 31%, 36%, and 27% for the 0–250 µm (20.2 to 13.8 MPa), 250–500 µm (20.2 to 12.8 MPa), and 500–1000 µm (20.2 to 14.4 MPa) particles, respectively (Figure 9a). A similar decrease is observed for the flexural modulus, with reductions of 34%, 45%, and 43% for the 0–250 µm (1224 to 808 MPa), 250–500 µm (1224 to 667 MPa), and 500–1000 µm (1224 to 697 MPa) particles at 60% (Figure 9b). This trend is attributed to the inherently lower flexural strength and modulus of the 100% r-xHDPE for all particle sizes (0–250 µm = 14.9 MPa and 854.7 MPa, 250–500 µm = 13.1 MPa and 615.9 MPa, 500–1000 µm = 12.6 MPa and 582.3 MPa). Blending these recycled materials at different weight ratios (15–60%) leads to further reductions due to the presence of the 3D crosslinked network in r-xHDPE limiting chain mobility, as well as the mechanical and thermal degradation of both r-xHDPE and rHDPE during recycling. Although the flexural strength and modulus decreased with r-xHDPE addition, the parts were successfully blended and reprocessed. This clearly confirms the potential to reuse these materials in applications where moderate bending (flexion) properties are required, providing a sustainable option to produce new products while reducing waste.
3.7. Impact Strength
The impact strength (Figure 10) results are very interesting due to the good toughness of xHDPE [13,14,43]. The neat HDPE has an impact strength of 52.6 J/m, while the crosslinked xHDPE showed a substantial increase to 257.5 J/m (389%), attributed to the robust 3D network formed during crosslinking, helping to distribute/diffuse the impact energy more effectively. Recycled HDPE (rHDPE(B)) has a lower impact strength (42.3 J/m) due to some degradation associated with the recycling process. However, when blended with r-xHDPE, a substantial improvement in impact strength was observed for all particle sizes and filler contents. For instance, blending 60% r-xHDPE with rHDPE(B) led to a higher impact strength by 454% for the 0–250 µm (42.3 to 234.6 J/m), 556% for the 250–500 µm (42.3 to 277.5 J/m), and 612% for the 500–1000 µm (42.3 to 301.5 J/m) particle sizes. At a 100% r-xHDPE content, the impact strength remained significantly higher (264.4, 334.1, and 342.9 J/m) compared to the baseline rHDPE, indicating that even with a high filler content, the material retains excellent impact resistance. This phenomenon is mainly due to the crosslinked structure improving the material’s ability to absorb and dissipate energy during impact, resulting in a significantly higher impact strength. Despite some mechanical degradation from recycling, r-xHDPE (alone and in blends) retains its ability to effectively sustain impact loads. The crosslinked network restricts chain mobility under normal conditions, but offers improved toughness when subjected to sudden, high-energy forces (impact). More interestingly, the r-xHDPE at a 100% filler content for all particle sizes (264.4 J/m for 0–250 µm, 334.1 J/m for 250–500 µm, and 342.9 J/m for 500–1000 µm) shows a higher impact strength compared to neat xHDPE (257.5 J/m). This is due to the presence of recycled r-xHDPE particles introducing a combination of crosslinked domains and partially degraded areas. This unique structure forms a 3D network that can more effectively absorb and dissipate the impact energy, making r-xHDPE better suited to withstand impact forces than the uniformly crosslinked xHDPE. This makes blends with a high r-xHDPE content highly beneficial for applications requiring superior toughness and impact resistance.
Figure 10.
Charpy impact strength of HDPE, xHDPE, rHDPE(B), and r-xHDPE with different concentrations and particle sizes (0–250 µm, 250–500 µm, and 500–1000 µm).
3.8. Hardness (Shore A and Shore D)
Figure 11 shows the hardness (Shores A and D) of the samples. The neat HDPE exhibits higher hardness values: 97 Shore A and 73 Shore D (Figure 11a,b). Upon crosslinking, the hardness decreased by 4 points (Shore A) and 12 points (Shore D). This reduction is attributed to the formation of a crosslinked network introducing stiffness but also leading to localized softening due to the creation of less rigid structures (lower crystallinity) (Table 2). Furthermore, rHDPE has slightly higher hardness (97.6 Shore A and 71 Shore D). However, the addition of 60% r-xHDPE decreased the hardness by 3.3 points (Shore A) and 5 points (Shore D) for the 0–250 µm particles, 2.8 points and 6 points for the 250–500 µm particles, and 3.4 points and 6 points for the 1000 µm particles. Lower hardness is related to the presence of r-xHDPE introducing regions of varying rigidity [13,43]. As the r-xHDPE content increases, the distribution of softer, partially degraded segments becomes more significant, leading to an overall reduction in hardness. This behavior reflects the complex interactions inside the blends, where the recycled materials contribute to a more heterogeneous structure, leading to slightly lower hardness.
Figure 11.
(a) Shore A and (b) Shore D hardness of HDPE, xHDPE, rHDPE(B), and r-xHDPE with different concentrations and particle sizes (0–250 µm, 250–500 µm, and 500–1000 µm).
3.9. Density
Figure 12 shows the density trends of the samples. The neat HDPE exhibits a density of 0.930 g/cm3, while xHDPE has a lower density (0.918 g/cm3), reflecting the structural changes associated with crosslinking, which typically lead to a more rigid but less densely packed material [31]. The rHDPE(B) has a higher density (0.978 g/cm3), likely due to the presence of contaminants and recycled materials, which can increase the overall weight. Upon adding 60% r-xHDPE, the density decreased to 0.949 g/cm3 for the 0–250 µm particles, 0.948 g/cm3 for the 250–500 µm particles, and 0.946 g/cm3 for the 500–1000 µm particles. This represents a 3% decrease for all particles compared to rHDPE(B) because at 100% r-xHDPE, the densities are slightly higher than xHDPE (0.938 g/cm3 for 0–250 µm, 0.937 g/cm3 for 250–500 µm, and 0.934 g/cm3 for 500–1000 µm). Blending r-xHDPE with rHDPE(B) leads to lower density due to the presence of a 3D crosslinked network inside the r-xHDPE particles resulting in lower packing efficiency (higher free volume). This phenomenon highlights the effect of the crosslinked architecture on the physical properties of the blends.
Figure 12.
Density of HDPE, xHDPE, rHDPE(B), and r-xHDPE with different concentrations and particle sizes (0–250 µm, 250–500 µm, and 500–1000 µm).
4. Conclusions
In this study, an innovative mechanical recycling technique for crosslinked HDPE (xHDPE) was presented based on cryogenic pulverization followed by compression molding. This method allowed us to effectively recycle xHDPE, achieving a range of particle sizes (0–250 µm, 250–500 µm, and 500–1000 µm). It was also shown that adding these recycled materials as fillers in rHDPE(B) obtained from rigid bottles was possible for a wide range of concentrations (15–60%).
The results showed that while significant changes were not observed over the range of particle sizes investigated (0–1000 µm), the concentration had a significant effect on the overall properties. For example, at 60% 500–1000 µm particles, a significant increase in impact strength (612%) with a density reduction (3%) was observed. These findings indicate that despite a decrease in tensile strength and flexural properties, the overall mechanical performance of the recycled compounds was improved. In particular, the recycling method resulted in a 30% decrease in gel content at 100% 0–250 µm particles, suggesting that partial decrosslinking occurred during the recycling process. This highlights the potential of this technique not only for recycling but also to modify the properties of crosslinked polymers, making them more suitable for different applications. The ability to tailor mechanical properties, such as impact strength and hardness, through a controlled particle size and concentration confirms the versatility of cryogenic pulverization as a recycling and material modification tool. This opens up new possibilities to design recycled materials with customized properties for specific industrial applications.
Finally, this work presented the possibility of blending r-xHDPE with rHDPE to improve thermal stability, with the residual gel content serving as a reinforcing phase. Additionally, r-xHDPE samples had higher impact strength, making them suitable for applications requiring enhanced toughness. Depending on the gel fraction, r-xHDPE can be blended with rHDPE to further improve performance or used independently in high-durability applications. This approach not only contributes to the circular economy by enabling the sustainable recycling of crosslinked HDPE (xHDPE) but also offers the possibility to develop materials with tailored properties for diverse industries, such as automotive, construction, and consumer goods. Future work should focus on optimizing the processing conditions and exploring additional formulations to maximize the benefits of this recycling method, expanding its potential for high-performance, sustainable applications.
Author Contributions
Conceptualization, H.A. and D.R.; methodology, H.A.; validation, H.A. and D.R.; formal analysis, H.A.; investigation, H.A.; resources, D.R.; data curation, H.A. and D.R.; writing—original draft preparation, H.A.; writing—review and editing, H.A. and D.R.; visualization, H.A. and D.R.; supervision, D.R.; project administration, D.R.; funding acquisition, D.R. All authors have read and agreed to the published version of the manuscript.
Funding
This research was funded by the Association of Rotational Molders (ARM), via the Crawford Education and Development Foundation.
Data Availability Statement
All the data are included in the article..
Conflicts of Interest
The authors declare no conflicts of interest.
Abbreviations
The following abbreviations are used in this manuscript:
| 3D | Three-dimensional |
| ASTM | American Standard for Testing of Materials |
| Cgel | Gel content |
| DCP | Dicumyl peroxide |
| DSC | Differential scanning calorimetry |
| HDPE | High-density polyethylene |
| MDPE | Medium-density polyethylene |
| PE | Polyethylene |
| PP | Polypropylene |
| rHDPE | Recycled high-density polyethylene |
| r-xHDPE | Recycled crosslinked high-density polyethylene |
| rHDPE(B) | Recycled high-density polyethylene from bottles |
| SEM | Scanning electron microscopy |
| Tc | Crystallization temperature |
| TGA | Thermogravimetric analysis |
| Tm | Melting temperature |
| Td10% | Degradation temperature at 10% weight loss |
| Tdmax | Maximum degradation temperature |
| Wf | Final weight of the sample |
| Wi | Initial weight of the sample |
| Xc | Degree of crystallinity |
| xHDPE | Crosslinked high-density polyethylene |
| ΔHm | Melting enthalpy |
References
- Emblem, A. 13-Plastics Properties for Packaging Materials. In Packaging Technology; Emblem, A., Emblem, H., Eds.; Woodhead Publishing: Cambridge, UK, 2012; pp. 287–309. [Google Scholar] [CrossRef]
- Redhwi, H.H.; Siddiqui, M.N.; Andrady, A.L.; Furquan, S.A.; Hussain, S. Durability of High-Density Polyethylene (HDPE)- and Polypropylene (PP)-Based Wood-Plastic Composites—Part 1: Mechanical Properties of the Composite Materials. J. Compos. Science. 2023, 7, 163. [Google Scholar] [CrossRef]
- Aocharoen, Y.; Chotickai, P. Compressive Mechanical and Durability Properties of Concrete with Polyethylene Terephthalate and High-Density Polyethylene Aggregates. Clean. Eng. Technol. 2023, 12, 100600. [Google Scholar] [CrossRef]
- Arrakhiz, F.Z.; El Achaby, M.; Kakou, A.C.; Vaudreuil, S.; Benmoussa, K.; Bouhfid, R.; Fassi-Fehri, O.; Qaiss, A. Mechanical Properties of High Density Polyethylene Reinforced with Chemically Modified Coir Fibers: Impact of Chemical Treatments. Mater. Des. 2012, 37, 379–383. [Google Scholar] [CrossRef]
- Seven, K.M.; Cogen, J.M.; Gilchrist, J.F. Nucleating Agents for High-Density Polyethylene—A Review. Polym. Eng. Sci. 2016, 56, 541–554. [Google Scholar] [CrossRef]
- Khalaf, M.N. Mechanical Properties of Filled High Density Polyethylene. J. Saudi Chem. Soc. 2015, 19, 88–91. [Google Scholar] [CrossRef]
- Boldt, R.; Gohs, U.; Wagenknecht, U.; Stamm, M. Process-Induced Morphology and Mechanical Properties of High-Density Polyethylene. Polymer 2018, 136, 179–186. [Google Scholar] [CrossRef]
- Ritums, J.E.; Mattozzi, A.; Gedde, U.W.; Hedenqvist, M.S.; Bergman, G.; Palmlöf, M. Mechanical Properties of High-Density Polyethylene and Crosslinked High-Density Polyethylene in Crude Oil and Its Components. J. Polym. Sci. Part B Polym. Phys. 2006, 44, 641–648. [Google Scholar] [CrossRef]
- Han, S.O.; Lee, D.W.; Han, O.H. Thermal Degradation of Crosslinked High Density Polyethylene. Polym. Degrad. Stab. 1999, 63, 237–243. [Google Scholar] [CrossRef]
- Sirisinha, K.; Chuaythong, P. Reprocessable Silane-Crosslinked Polyethylene: Property and Utilization as Toughness Enhancer for High-Density Polyethylene. J. Mater. Sci. 2014, 49, 5182–5189. [Google Scholar] [CrossRef]
- Khonakdar, H.A.; Morshedian, J.; Wagenknecht, U.; Jafari, S.H. An Investigation of Chemical Crosslinking Effect on Properties of High-Density Polyethylene. Polymer 2003, 44, 4301–4309. [Google Scholar] [CrossRef]
- Ahmad, H.; Rodrigue, D. Crosslinked Polyethylene: A Review on the Crosslinking Techniques, Manufacturing Methods, Applications, and Recycling. Polym. Eng. Sci. 2022, 62, 2376–2401. [Google Scholar] [CrossRef]
- Ahmad, H.; Rostami-Tapeh-Esmaeil, E.; Rodrigue, D. The Effect of Chemical Crosslinking on the Properties of Rotomolded High Density Polyethylene. J. Appl. Polym. Sci. 2024, 141, e54744. [Google Scholar] [CrossRef]
- Ren, Y.; Sun, X.; Chen, L.; Li, Y.; Sun, M.; Duan, X.; Liang, W. Structures and Impact Strength Variation of Chemically Crosslinked High-Density Polyethylene: Effect of Crosslinking Density. Rsc Adv. 2021, 11, 6791–6797. [Google Scholar] [CrossRef] [PubMed]
- Vidakis, N.; Petousis, M.; Maniadi, A. Sustainable Additive Manufacturing: Mechanical Response of High-Density Polyethylene over Multiple Recycling Processes. Recycling 2021, 6, 4. [Google Scholar] [CrossRef]
- Abeysinghe, S.; Gunasekara, C.; Bandara, C.; Nguyen, K.; Dissanayake, R.; Mendis, P. Engineering Performance of Concrete Incorporated with Recycled High-Density Polyethylene (HDPE)—A Systematic Review. Polymers 2021, 13, 1885. [Google Scholar] [CrossRef]
- Huang, K.; Isayev, A.I.; Zhong, J. Ultrasonic Decrosslinking of Crosslinked High-Density Polyethylene: Effect of Screw Design. J. Appl. Polym. Sci. 2014, 131, 40680. [Google Scholar] [CrossRef]
- Huang, K.; Isayev, A.I. Ultrasonic Decrosslinking of Crosslinked High-Density Polyethylene: Effect of Degree of Crosslinking. RSC Adv. 2014, 4, 38877–38892. [Google Scholar] [CrossRef]
- Huang, K.; Isayev, A. Comparison between Decrosslinking of Crosslinked High and Low Density Polyethylenes via Ultrasonically Aided Extrusion. Polymer 2015, 70, 290–306. [Google Scholar] [CrossRef]
- Zack, S.J.; Herrold, N.T.; Wakabayashi, K. Mechanochemical Modification of Crosslinked Low-Density Polyethylene: Effect of Solid-State Shear Pulverization on Crosslinks, Branches, and Chain Lengths. SPE Polym. 2022, 3, 152–162. [Google Scholar] [CrossRef]
- Wu, H.; Liang, M.; Lu, C. Morphological and Structural Development of Recycled Crosslinked Polyethylene During Solid-State Mechanochemical Milling. J. Appl. Polym. Sci. 2011, 122, 257–264. [Google Scholar] [CrossRef]
- Wu, H.; Liang, M.; Lu, C. Non-Isothermal Crystallization Kinetics of Peroxide-Crosslinked Polyethylene: Effect of Solid State Mechanochemical Milling. Thermochim. Acta 2012, 545, 148–156. [Google Scholar] [CrossRef]
- Roumeli, E.; Paraskevopoulos, K.M.; Bikiaris, D.; Chrissafis, K. Effect of High Energy Ball Milling on the Structure and Mechanical Properties of Cross-Linked High Density Polyethylene. J. Mater. Sci. 2013, 48, 6753–6761. [Google Scholar] [CrossRef]
- Sun, F.; Yang, S.; Wang, Q. Selective Decomposition Process and Mechanism of Si–O–Si Cross-Linking Bonds in Silane Cross-Linked Polyethylene by Solid-State Shear Milling. Ind. Eng. Chem. Res. 2020, 59, 12896–12905. [Google Scholar] [CrossRef]
- Sun, F.; Bai, S.; Wang, Q. Structures and Properties of Waste Silicone Cross-Linked Polyethylene de-Cross-Linked Selectively by Solid-State Shear Mechanochemical Technology. J. Vinyl Addit. Technol. 2018, 25, 149–158. [Google Scholar] [CrossRef]
- Gao, P.; Krantz, J.; Ferki, O.; Nieduzak, Z.; Perry, S.; Sobkowicz, M.J.; Masato, D. Thermo-Mechanical Recycling via Ultrahigh-Speed Extrusion of Film-Grade Recycled LDPE and Injection Molding. Sustain. Mater. Technol. 2023, 38, e00719. [Google Scholar] [CrossRef]
- Manas, D.; Manas, M.; Mizera, A.; Stoklasek, P.; Navratil, J.; Sehnalek, S.; Drabek, P. The High Density Polyethylene Composite with Recycled Radiation Cross-Linked Filler of RHDPEx. Polymers 2018, 10, 1361. [Google Scholar] [CrossRef]
- Freitas, R.S.; Bonse, B.C. Cross-Linked Polyethylene (XLPE) as Filler in High-Density Polyethylene: Effect of Content and Particle Size. AIP Conf. Proc. 2019, 2055, 20009. [Google Scholar] [CrossRef]
- Bawareth, M.; Xu, W.; Ravichandran, D.; Zhu, Y.; Jambhulkar, S.; Fonseca, N.; Miquelard-Garnier, G.; Camille, V.; Matthew, L.; Campbell, W.; et al. Crosslinked Polyethylene (XLPE) Recycling via Foams. Polymers 2022, 14, 2589. [Google Scholar] [CrossRef]
- Lindqvist, K.; Andersson, M.; Boss, A.; Oxfall, H. Thermal and Mechanical Properties of Blends Containing PP and Recycled XLPE Cable Waste. J. Polym. Environ. 2019, 27, 386–394. [Google Scholar] [CrossRef]
- Ahmad, H.; Rodrigue, D. High-Performance Wood-Reinforced Crosslinked High-Density Polyethylene Composites. Polym. Eng. Sci. 2024, 64, 2459–2475. [Google Scholar] [CrossRef]
- Díaz, S.; Ortega, Z.; McCourt, M.; Kearns, M.P.; Benítez, A.N. Recycling of Polymeric Fraction of Cable Waste by Rotational Moulding. Waste Manag. 2018, 76, 199–206. [Google Scholar] [CrossRef] [PubMed]
- Selvin, M.; Shah, S.; Maria, H.J.; Thomas, S.; Tuladhar, R.; Jacob, M. Review on Recycling of Cross-Linked Polyethylene. Ind. Eng. Chem. Res. 2024, 63, 1200–1214. [Google Scholar] [CrossRef]
- Shapiro, A.J.; Brigandi, P.J.; Moubarak, M.; Sengupta, S.S.; Epps, T.H. Cross-Linked Polyolefins: Opportunities for Fostering Circularity Throughout the Materials Lifecycle. ACS Appl. Polym. Mater. 2024, 6, 11859–11876. [Google Scholar] [CrossRef] [PubMed]
- Ahmad, H.; Rodrigue, D. Mechanical Decrosslinking and Reprocessing of Crosslinked Rotomolded Polypropylene Using Cryogenic-Assisted Shear Pulverization and Compression Molding. Recycling 2024, 9, 129. [Google Scholar] [CrossRef]
- Onffroy, P.R.; Herrold, N.T.; Goehrig, H.G.; Yuen, K.; Wakabayashi, K. Polylactic Acid Chemical Foaming Assisted by Solid-State Processing: Solid-State Shear Pulverization and Cryogenic Milling. Polymers 2022, 14, 4480. [Google Scholar] [CrossRef]
- Lee, A.; Ko, Y.; Ju, S.; Shin, Y.; Jeon, J.; Kim, S.; Oh, Y.; Yi, J.-W.; Um, M.-K.; Park, T. Cryogenic Impact-Induced Pulverization Process for Fast, Highly Crystallized, and Nucleating Agent-Free PLA with High Heat Resistance. ACS Appl. Polym. Mater. 2024, 6, 1234. [Google Scholar] [CrossRef]
- Wiśniewska, P.; Haponiuk, J.T.; Colom, X.; Saeb, M.R. Green Approaches in Rubber Recycling Technologies: Present Status and Future Perspective. ACS Sustain. Chem. Eng. 2023, 11, 8706–8726. [Google Scholar] [CrossRef]
- Ren, M.; Wu, W.; Shi, Q.; Wu, L.; Zhang, C. Study on the Surface Properties of the Regenerated Polyurethane Foam Micropowder via Cryogenic Pulverization and Its Application. J. Mater. Res. Technol. 2023, 23, 808–818. [Google Scholar] [CrossRef]
- Lee, K.; Jo, Y.; Seok Nam, J.; Yu, H.; Kim, Y.-J. Dry-Film Technology Employing Cryo-Pulverized Polytetrafluoroethylene Binder for All-Solid-State Batteries. Chem. Eng. J. 2024, 487, 150221. [Google Scholar] [CrossRef]
- Huang, K.; Isayev, A.I. Ultrasonic Decrosslinking of Peroxide Crosslinked HDPE in Twin Screw Extrusion. II. Simulation and Experiment. Polym. Eng. Sci. 2017, 57, 1047. [Google Scholar] [CrossRef]
- Baek, B.K.; La, Y.H.; Lee, A.S.; Han, H.; Kim, S.H.; Hong, S.M.; Koo, C.M. Decrosslinking Reaction Kinetics of Silane-Crosslinked Polyethylene in Sub- and Supercritical Fluids. Polym. Degrad. Stab. 2016, 130, 103–108. [Google Scholar] [CrossRef]
- Ahmad, H.; Rodrigue, D. Upcycling of Recycled Polyethylene for Rotomolding Applications via Dicumyl Peroxide Crosslinking. J. Appl. Polym. Sci. 2024, 141, e56236. [Google Scholar] [CrossRef]
- Krupa, I.; Luyt, A.S. Mechanical Properties of Uncrosslinked and Crosslinked Linear Low-density Polyethylene/Wax Blends. J. Appl. Polym. Sci. 2001, 81, 973–980. [Google Scholar] [CrossRef]
- ASTM D638-22; Standard Test Method for Tensile Properties of Plastics. Nanomaterials. ASTM Standard: West Conshohocken, PA, USA, 2022; pp. 1–7.
- ASTM D790-17; Standard Test Method for Flexural Properties of Unreinforced and Reinforced Plastics and Electrical Insulating Materials. ASTM Standard: West Conshohocken, PA, USA, 2017; pp. 1–12.
- ASTM D6110-18; Standard Test Method for Determining the Charpy Impact Resistance of Notched Specimens of Plastics. ASTM Standard: West Conshohocken, PA, USA, 2017; pp. 1–17.
- ASTM D2240-15; Standard Test Method for Rubber Property—Durometer Hardness. ASTM Standard: West Conshohocken, PA, USA, 2021; pp. 1–13.
- Das, P.; Tiwari, P. Thermal Degradation Kinetics of Plastics and Model Selection. Thermochim. Acta 2017, 654, 191–202. [Google Scholar] [CrossRef]
Disclaimer/Publisher’s Note: The statements, opinions and data contained in all publications are solely those of the individual author(s) and contributor(s) and not of MDPI and/or the editor(s). MDPI and/or the editor(s) disclaim responsibility for any injury to people or property resulting from any ideas, methods, instructions or products referred to in the content. |
© 2025 by the authors. Licensee MDPI, Basel, Switzerland. This article is an open access article distributed under the terms and conditions of the Creative Commons Attribution (CC BY) license (https://creativecommons.org/licenses/by/4.0/).











