Engineering a Cross-Feeding Synthetic Bacterial Consortium for Degrading Mixed PET and Nylon Monomers
Abstract
1. Introduction
2. Materials and Methods
2.1. Bacterial Strains and Media
2.2. Adaptive Evolution
2.3. Endpoint Assay
2.4. Growth Kinetics
2.5. Sampling and 16S rRNA Sequencing
2.6. Flux Balance Analysis
2.7. High-Performance Liquid Chromatography
3. Results
3.1. Design of the Cross-Feeding SBC
3.2. Chemostat Evolution of Strains
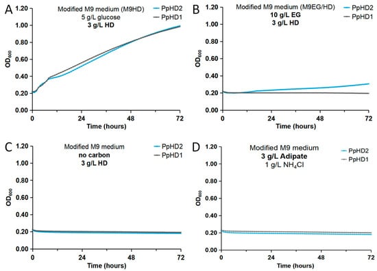
3.3. Characterization of P. putida Strains on HD
3.4. Characterization of Evolved Strains on EG
3.5. Analysis of Role Redistribution Between PpHD2 and EcEG2
3.6. Metabolite Cross-Feeding and Flux Balance Analysis
4. Discussion
Author Contributions
Funding
Data Availability Statement
Acknowledgments
Conflicts of Interest
References
- Geyer, R.; Jambeck, J.R.; Law, K.L. Production, use, and fate of all plastics ever made. Sci. Adv. 2017, 3, e1700782. [Google Scholar] [CrossRef] [PubMed]
- Farkas, V.; Nagyházi, M.; Anastas, P.T.; Klankermayer, J.; Tuba, R. Making Persistent Plastics Degradable. ChemSusChem 2023, 16, e202300553. [Google Scholar] [CrossRef] [PubMed]
- MacLeod, M.; Arp, H.P.H.; Tekman, M.B.; Jahnke, A. The global threat from plastic pollution. Science 2021, 373, 61–65. [Google Scholar] [CrossRef]
- Macheca, A.D.; Mutuma, B.; Adalima, J.L.; Midheme, E.; Lúcas, L.H.; Ochanda, V.K.; Mhlanga, S.D. Perspectives on plastic waste management: Challenges and possible solutions to ensure its sustainable use. Recycling 2024, 9, 77. [Google Scholar] [CrossRef]
- Evode, N.; Qamar, S.A.; Bilal, M.; Barceló, D.; Iqbal, H.M. Plastic waste and its management strategies for environmental sustainability. Case Stud. Chem. Environ. Eng. 2021, 4, 100142. [Google Scholar] [CrossRef]
- Bharath, K.M.; Muthulakshmi, A.; Natesan, U. Microplastic contamination around the landfills: Distribution, characterization and threats: A review. Curr. Opin. Environ. Sci. Health 2023, 31, 100422. [Google Scholar] [CrossRef]
- Castelvetro, V.; Corti, A.; Ceccarini, A.; Petri, A.; Vinciguerra, V. Nylon 6 and nylon 6, 6 micro-and nanoplastics: A first example of their accurate quantification, along with polyester (PET), in wastewater treatment plant sludges. J. Hazard. Mater. 2021, 407, 124364. [Google Scholar] [CrossRef]
- Palm, G.J.; Reisky, L.; Böttcher, D.; Müller, H.; Michels, E.A.; Walczak, M.C.; Berndt, L.; Weiss, M.S.; Bornscheuer, U.T.; Weber, G. Structure of the plastic-degrading Ideonella sakaiensis MHETase bound to a substrate. Nat. Commun. 2019, 10, 1717. [Google Scholar] [CrossRef]
- Yoshida, S.; Hiraga, K.; Taniguchi, I.; Oda, K. Ideonella sakaiensis, PETase, and MHETase: From identification of microbial PET degradation to enzyme characterization. Methods Enzymol. 2021, 648, 187–205. [Google Scholar] [PubMed]
- Cui, Y.; Chen, Y.; Liu, X.; Dong, S.; Tian, Y.e.; Qiao, Y.; Mitra, R.; Han, J.; Li, C.; Han, X. Computational redesign of a PETase for plastic biodegradation under ambient condition by the GRAPE strategy. Acs Catal. 2021, 11, 1340–1350. [Google Scholar] [CrossRef]
- Saunders, J.W.; Damry, A.M.; Vongsouthi, V.; Spence, M.A.; Frkic, R.L.; Gomez, C.; Yates, P.A.; Matthews, D.S.; Tokuriki, N.; McLeod, M.D. Increasing the soluble expression and whole-cell activity of the plastic-degrading enzyme MHETase through consensus design. Biochemistry 2024, 63, 1663–1673. [Google Scholar] [CrossRef]
- Kato, D.-i.; Shibata, N.; Negoro, S. Structural analysis of nylon. In Photo-Switched Biodegradation of Bioplastics in Marine Environments; Springer: Singapore, 2023; pp. 121–133. [Google Scholar]
- Negoro, S.; Kakudo, S.; Urabe, I.; Okada, H. A new nylon oligomer degradation gene (nylC) on plasmid pOAD2 from a Flavobacterium sp. J. Bacteriol. 1992, 174, 7948–7953. [Google Scholar] [CrossRef] [PubMed]
- Roell, G.W.; Zha, J.; Carr, R.R.; Koffas, M.A.; Fong, S.S.; Tang, Y.J. Engineering microbial consortia by division of labor. Microb. Cell Fact. 2019, 18, 35. [Google Scholar] [CrossRef]
- Shi, A.; Fan, F.; Broach, J.R. Microbial adaptive evolution. J. Ind. Microbiol. Biotechnol. 2022, 49, kuab076. [Google Scholar] [CrossRef] [PubMed]
- Arab, B.; Chen, J.; Chou, C.P.; Liu, Y. Biorecycling of nylon monomers to adipic acid through directed evolution in Pseudomonas Putida KT2440. In Proceedings of the 2024 AIChE Annual Meeting, 70b. San Diego, CA, USA, 27–31 October 2024. [Google Scholar]
- Arab, B.; Chen, J.; Khusnutdinova, A.N.; Chou, C.P.; Liu, Y. Advancing Bio-Recycling of Nylon Monomers Through CRISPR-Assisted Engineering; University of Waterloo: Waterloo, ON, Canada, 2025; (to be submitted). [Google Scholar]
- Ebrahim, A.; Lerman, J.A.; Palsson, B.O.; Hyduke, D.R. COBRApy: Constraints-based reconstruction and analysis for python. BMC Syst. Biol. 2013, 7, 74. [Google Scholar] [CrossRef] [PubMed]
- Pandit, A.V.; Harrison, E.; Mahadevan, R. Engineering Escherichia coli for the utilization of ethylene glycol. Microb. Cell Fact. 2021, 20, 22. [Google Scholar] [CrossRef]
- King, Z.A.; Lu, J.; Dräger, A.; Miller, P.; Federowicz, S.; Lerman, J.A.; Ebrahim, A.; Palsson, B.O.; Lewis, N.E. BiGG Models: A platform for integrating, standardizing and sharing genome-scale models. Nucleic Acids Res. 2016, 44, D515–D522. [Google Scholar] [CrossRef] [PubMed]
- Nogales, J.; Mueller, J.; Gudmundsson, S.; Canalejo, F.J.; Duque, E.; Monk, J.; Feist, A.M.; Ramos, J.L.; Niu, W.; Palsson, B.O. High-quality genome-scale metabolic modelling of Pseudomonas putida highlights its broad metabolic capabilities. Environ. Microbiol. 2020, 22, 255–269. [Google Scholar] [CrossRef]
- Apweiler, R.; Bairoch, A.; Wu, C.H.; Barker, W.C.; Boeckmann, B.; Ferro, S.; Gasteiger, E.; Huang, H.; Lopez, R.; Magrane, M. UniProt: The universal protein knowledgebase. Nucleic Acids Res. 2004, 32, D115–D119. [Google Scholar] [CrossRef]
- Yan, W.; Qi, X.; Cao, Z.; Yao, M.; Ding, M.; Yuan, Y. Biotransformation of ethylene glycol by engineered Escherichia coli. Synth. Syst. Biotechnol. 2024, 9, 531–539. [Google Scholar] [CrossRef] [PubMed]
- Bergeson, A.R.; Silvera, A.J.; Alper, H.S. Bottlenecks in biobased approaches to plastic degradation. Nat. Commun. 2024, 15, 4715. [Google Scholar] [CrossRef] [PubMed]
- Höhmann, S.; Briol, T.A.; Ihle, N.; Frick, O.; Schmid, A.; Bühler, B. Glycolate as alternative carbon source for Escherichia coli. J. Biotechnol. 2024, 381, 76–85. [Google Scholar] [CrossRef] [PubMed]
- Franden, M.A.; Jayakody, L.N.; Li, W.-J.; Wagner, N.J.; Cleveland, N.S.; Michener, W.E.; Hauer, B.; Blank, L.M.; Wierckx, N.; Klebensberger, J. Engineering Pseudomonas putida KT2440 for efficient ethylene glycol utilization. Metab. Eng. 2018, 48, 197–207. [Google Scholar] [CrossRef]
- Lin, Y.-H.; Gu, Y.-J. Phenol degradation performance in batch and continuous reactors with immobilized cells of Pseudomonas putida. Processes 2023, 11, 739. [Google Scholar] [CrossRef]
- Weimer, A.; Kohlstedt, M.; Volke, D.C.; Nikel, P.I.; Wittmann, C. Industrial biotechnology of Pseudomonas putida: Advances and prospects. Appl. Microbiol. Biotechnol. 2020, 104, 7745–7766. [Google Scholar] [CrossRef]
- Anderson, L.; Yu, E.; Chen, W.-T. Chemical recycling of mixed plastics in electronic waste using solvent-based processing. Processes 2021, 10, 66. [Google Scholar] [CrossRef]
- Yansaneh, O.Y.; Zein, S.H. Recent advances on waste plastic thermal pyrolysis: A critical overview. Processes 2022, 10, 332. [Google Scholar] [CrossRef]
- Skariyachan, S.; Taskeen, N.; Kishore, A.P.; Krishna, B.V. Recent advances in plastic degradation–From microbial consortia-based methods to data sciences and computational biology driven approaches. J. Hazard. Mater. 2022, 426, 128086. [Google Scholar] [CrossRef] [PubMed]
- Salinas, J.; Martínez-Gallardo, M.R.; Jurado, M.M.; Suárez-Estrella, F.; López-González, J.A.; Estrella-González, M.J.; Toribio, A.J.; Carpena-Istán, V.; Barbani, N.; Cappello, M. Microbial consortia for multi-plastic waste biodegradation: Selection and validation. Environ. Technol. Innov. 2024, 36, 103887. [Google Scholar] [CrossRef]
- Roberts, C.; Edwards, S.; Vague, M.; León-Zayas, R.; Scheffer, H.; Chan, G.; Swartz, N.A.; Mellies, J.L. Environmental consortium containing Pseudomonas and Bacillus species synergistically degrades polyethylene terephthalate plastic. mSphere 2020, 5, 10–1128. [Google Scholar] [CrossRef] [PubMed]
- Liu, Y.; Chen, S.; Chen, J.; Zhou, J.; Wang, Y.; Yang, M.; Qi, X.; Xing, J.; Wang, Q.; Ma, Y. High production of fatty alcohols in Escherichia coli with fatty acid starvation. Microb. Cell Fact. 2016, 15, 129. [Google Scholar] [CrossRef] [PubMed]
- Hur, D.H.; Lee, J.; Park, S.J.; Jeong, K.J. Engineering of Pseudomonas putida to produce medium-chain-length polyhydroxyalkanoate from crude glycerol. Int. J. Biol. Macromol. 2024, 281, 136411. [Google Scholar] [CrossRef] [PubMed]
- Ackermann, Y.S.; Li, W.J.; de Hipt, L.O.; Niehoff, P.J.; Casey, W.; Polen, T.; Köbbing, S.; Ballerstedt, H.; Wynands, B.; O’Connor, K. Engineering adipic acid metabolism in Pseudomonas putida. Metab. Eng. 2021, 67, 29–40. [Google Scholar] [CrossRef] [PubMed]
- Wen, Q.; Chen, J.; Li, J.; Dharmasiddhi, I.P.W.; Yang, M.; Xing, J.; Liu, Y. A single-plasmid-based, easily curable CRISPR/Cas9 system for rapid, iterative genome editing in Pseudomonas putida KT2440. Microb. Cell Fact. 2024, 23, 349. [Google Scholar] [CrossRef]
- Macchi, M.; Festa, S.; Nieto, E.; Irazoqui, J.M.; Vega-Vela, N.E.; Junca, H.; Valacco, M.P.; Amadio, A.F.; Morelli, I.S.; Coppotelli, B.M. Design and evaluation of synthetic bacterial consortia for optimized phenanthrene degradation through the integration of genomics and shotgun proteomics. Biotechnol. Rep. 2021, 29, e00588. [Google Scholar] [CrossRef] [PubMed]
- Malik, N.; Lakhawat, S.S.; Kumar, V.; Sharma, V.; Bhatti, J.S.; Sharma, P.K. Recent advances in the omics-based assessment of microbial consortia in the plastisphere environment: Deciphering the dynamic role of hidden players. Process Saf. Environ. Prot. 2023, 176, 207–225. [Google Scholar] [CrossRef]
- Shafana Farveen, M.; Narayanan, R. Omic-driven strategies to unveil microbiome potential for biodegradation of plastics: A review. Arch. Microbiol. 2024, 206, 441. [Google Scholar] [CrossRef]







Disclaimer/Publisher’s Note: The statements, opinions and data contained in all publications are solely those of the individual author(s) and contributor(s) and not of MDPI and/or the editor(s). MDPI and/or the editor(s) disclaim responsibility for any injury to people or property resulting from any ideas, methods, instructions or products referred to in the content. |
© 2025 by the authors. Licensee MDPI, Basel, Switzerland. This article is an open access article distributed under the terms and conditions of the Creative Commons Attribution (CC BY) license (https://creativecommons.org/licenses/by/4.0/).
Share and Cite
Dharmasiddhi, I.P.W.; Chen, J.; Arab, B.; Lan, C.; Euler, C.; Chou, C.P.; Liu, Y. Engineering a Cross-Feeding Synthetic Bacterial Consortium for Degrading Mixed PET and Nylon Monomers. Processes 2025, 13, 375. https://doi.org/10.3390/pr13020375
Dharmasiddhi IPW, Chen J, Arab B, Lan C, Euler C, Chou CP, Liu Y. Engineering a Cross-Feeding Synthetic Bacterial Consortium for Degrading Mixed PET and Nylon Monomers. Processes. 2025; 13(2):375. https://doi.org/10.3390/pr13020375
Chicago/Turabian StyleDharmasiddhi, Ida Putu Wiweka, Jinjin Chen, Bahareh Arab, Ching Lan, Christian Euler, C. Perry Chou, and Yilan Liu. 2025. "Engineering a Cross-Feeding Synthetic Bacterial Consortium for Degrading Mixed PET and Nylon Monomers" Processes 13, no. 2: 375. https://doi.org/10.3390/pr13020375
APA StyleDharmasiddhi, I. P. W., Chen, J., Arab, B., Lan, C., Euler, C., Chou, C. P., & Liu, Y. (2025). Engineering a Cross-Feeding Synthetic Bacterial Consortium for Degrading Mixed PET and Nylon Monomers. Processes, 13(2), 375. https://doi.org/10.3390/pr13020375

