Next Article in Journal
RETRACTED: Repko et al. Development and Testing of a Block Hydrocyclone. Processes 2020, 8, 1577
Previous Article in Journal
Study on Evaluation of the Virtual Saturated Vapor Pressure Model and Prediction of Adsorbed Gas Content in Deep Coalbed Methane
 
 
Font Type:
Arial Georgia Verdana
Font Size:
Aa Aa Aa
Line Spacing:
Column Width:
Background:
Article

Thermodynamic Study of Production of Vanadium–Nitrogen Alloy and Carbon Monoxide by Reduction and Nitriding of Vanadium Oxide

1
College of Metallurgy and Energy, North China University of Science and Technology, 21 Bohai Street, Tangshan 063210, China
2
Chengde Iron & Steel Group Co., Ltd., Chengde 067000, China
3
School of Metallurgy, Northeastern University, Shenyang 110819, China
*
Authors to whom correspondence should be addressed.
Processes 2024, 12(9), 1839; https://doi.org/10.3390/pr12091839
Submission received: 8 August 2024 / Revised: 23 August 2024 / Accepted: 26 August 2024 / Published: 29 August 2024
(This article belongs to the Section Energy Systems)

Abstract

In the quest to produce high-strength steel, the preparation technology for vanadium–nitrogen alloy (VN) was refined through thermodynamic analysis, employing it as an additive to enhance the strength and hardness of microalloyed steel. Changes in the Gibbs free energies associated with the reactions between vanadium oxides and carbon in a nitrogen atmosphere were meticulously calculated and examined. This study explored the effects of the carbon to V2O5 ratio, the nitrogen to V2O5 ratio, and the pressure on the production of VN and CO at various temperatures. The results indicate that the productivity of VN is highest under conditions of approximately 1000 °C, a C:N2:V2O5 ratio of 10:8:1, and a pressure of 1 bar. Under these conditions, VN constitutes approximately 70% of solid products, with a conversion rate of around 67.92%. CO accounts for approximately 38.17% of the exhaust gas, resulting in a yield of approximately 45.28%. The CO generated can be utilized as fuel in the production of iron in blast furnaces, providing an opportunity for secondary use of resources.

1. Introduction

In recent years, with the robust expansion of China’s steel industry, there has been a growing demand for high-quality steel products in industrial production. Consequently, the development and smelting of special steel have increasingly become critical challenges that need urgent resolution within the contemporary steel sector of China. Vanadium microalloying technology, recognized as a potent method for producing high-strength steel grades, has seen significant advancements in recent years. These developments have contributed substantially to the overall progress of the iron and steel industry [1,2]. Vanadium microalloyed steel enhances the alloy structure through precipitation strengthening via vanadium. Consequently, selecting appropriate additives for the preparation of vanadium microalloyed steel represents a critical task [3,4,5]. The traditional additive, vanadium ferroalloy, exhibits the drawback of low vanadium precipitation, where vanadium typically remains in steel as a solid solution, thus ineffectively strengthening the steel. Conversely, the element nitrogen enhances the precipitation efficiency of vanadium. Consequently, vanadium–nitrogen compounds are increasingly replacing vanadium ferroalloys, reflecting a prevailing trend in the industry [6,7].
Vanadium–nitrogen alloy (VN), classified as a transition metal nitride, is commonly used as a catalyst in industrial applications [8]. In recent years, vanadium–nitrogen alloys (VNs) have also demonstrated their significance in the smelting of special steels. As a microalloyed additive with superior performance characteristics, VN has attracted considerable attention in the iron and steel metallurgy sectors and related industries because of its excellent strength, thermal stability, and corrosion resistance. The alloy facilitates grain refinement by altering the crystal structure of steel, thereby substantially enhancing the hardness and strength of the alloy. Typically, alloys produced with the addition of vanadium–nitrogen exhibit superior corrosion resistance and mechanical properties compared to conventional steel. Erdem et al. [9] highlighted that vanadium precipitates within molten steel, which plays a pivotal role in improving the cracking resistance of continuous-cast slabs. The vanadium particles in the vanadium–nitrogen alloy exert a ‘nail effect’ at the steel grain boundaries, facilitating grain refinement. This process improves the ductility of the cast slab, effectively prevents cracking, and increases casting throughput. Ali et al. [10] examined the impact of vanadium–nitrogen alloys as additives in steel. Their findings indicate that the incorporation of nitrogen as an alloying element allows a reduction in vanadium content by 25% to 40% under identical conditions. This evidence underscores the advantages of vanadium nitride over traditional vanadium ferroalloy as an additive in vanadium microalloyed steel.
Vanadium–nitrogen alloys are typically produced by heating vanadium oxide and carbon in a nitrogen atmosphere, with vanadium pentoxide serving as the primary raw material. Yeh et al. [11] elucidated the sequential reduction process of vanadium nitride from vanadium oxide, which can be delineated through successive stages: V2O5 → V2O4 → V2O3 → VO → VC according to oxygen potential. Given the complex nature of vanadium reduction and the propensity for raw material loss, low-cost and high-efficiency methods for preparing vanadium–nitrogen alloys have garnered widespread interest. The primary focus of research in this area is the thermodynamics of the reaction [12]. Zhu et al. [13] introduced a novel method to prepare vanadium–nitrogen alloys that takes advantage of the synergistic effects of electrical and thermal fields. This technique involves heating a cylindrical mass composed of vanadium pentoxide and carbon powder under a pressure of 350 MPa. Compared to traditional methods, this approach can significantly extend the useful life of the equipment and reduce the combustion of fossil fuels. Subsequent studies [14,15,16,17] have sought to optimize the preparation process of vanadium–nitrogen alloy using microwave carbothermal nitriding technology. This method involves synthesizing vanadium nitride from a mixture of vanadium oxide and carbon powder under nitrogen flowing at atmospheric pressure. Compared to conventional radiation heat conduction, this process is better suited for large-scale production and can significantly reduce the reaction time. Galesic et al. [18] employed the rapid thermal processing (RTP) method to quickly activate molecular nitrogen, thereby improving the efficiency of the preparation process. Tripathy et al. [19] investigated the factors that influence the preparation of vanadium–nitrogen alloys by carbothermal reduction of vanadium oxide using a vacuum induction furnace. They identified critical experimental parameters that affect the reaction, including the carbon-to-oxygen ratio, the particle size ratio of vanadium oxide to graphite powder, and the temperature at which the nitriding reaction occurs.
In addition, Han et al. [20] tried to add carbon black to the leaching solution of vanadium ore and obtained vanadium nitride by forming a precursor with reducing substances during the vanadium precipitation process and then reducing it under the action of nitrogen, which greatly saved production costs. Biswas et al. [21,22] optimized and thermodynamically analyzed the process of preparing vanadium nitride by carbothermal reduction of vanadium pentoxide, and proposed reduction in the atmosphere of carbon monoxide and carbon dioxide and nitriding in the atmosphere of mixed carbon monoxide and nitrogen. Roldan et al. [23] successfully prepared vanadium–nitrogen alloys by mixing vanadium powder, carbon powder, and steel balls and using mechanical grinding based on nitrogen pressure. It was observed that the finished product showed a high compactness under electron microscopy. This method has the characteristics of a short preparation time, no heating, and low cost. Ghimbeu et al. [24] studied the preparation of vanadium nitride by pulsed laser deposition at room temperature, and this experimental principle has also been applied in Brayek’s research [25]. Liu et al. [26] studied the preparation of vanadium nitride with good stability by using the precursor of the organic framework vanadium. Nevertheless, the thermodynamic analysis of the above methods has not been perfected in some numerical aspects, so detailed numerical calculations are carried out to further optimize the preparation technology of vanadium–nitrogen alloys. Ma et al. [27] conducted a detailed study of the vanadium nitride preparation process by thermogravimetric analysis and provided precise data for various time nodes during the reaction process. Research shows that when the temperature rises to 673 °C, V2O5 begins to melt and the reduction reaction is intense. From 690 °C, the reduction rate of the nitriding reaction gradually increases and the nitriding reaction reaches its peak when the temperature reaches 1200~1300 °C. The initial temperature of conversion from VN to VC is 1272 °C, which is an endothermic reaction. Increasing the partial pressure (0.02~0.05 MPa) of nitrogen can promote the reduction reaction, while properly increasing the reaction temperature (690~1300 °C) can promote the nitriding reaction. However, according to the research conclusions of Chen et al. [28], when the VN temperature reaches 1500 °C, the decomposition reaction occurs, resulting in the loss of vanadium, so the VN reaction temperature should not be too high during the preparation process. According to the conclusion of Dong et al. [29] by thermogravimetric analysis, the main reactions of VN include the carbothermal reduction reaction from 900 to 1100 °C and the nitridation reaction from 1100 to 1285 °C. When the temperature is higher than 1285 °C, vanadium nitride will react inversely to form a part of vanadium carbide
Although numerous low-cost and efficient methods for the preparation of vanadium–nitrogen alloys have been studied, most of these studies focus on single working conditions. Research on coupling conditions, particularly on the crucial factor of pressure, remains limited. Consequently, the thermodynamic calculations for the preparation of vanadium–nitrogen alloys are not comprehensive. This study can lay the foundation for the preparation of VN alloys and the production of CO, which can be used as a fuel in the steel production process to reduce energy consumption. The paper addresses this gap by performing a thermodynamic analysis and calculations of VN and its intermediate products under coupled conditions of carbon content, nitrogen content, and pressure. The study also identifies and discusses the optimal conditions for generating VN from a thermodynamic perspective. Additionally, the study examines CO emissions under various raw material ratios. CO can serve as fuel in the iron–steel production process and offers a reference for the secondary utilization of resources in the preparation of VN. VN alloy is widely studied in the field of materials due to its high strength and hardness, making it suitable for structural materials that need to withstand high loads and impacts, as well as its wear resistance and oxygen resistance. The study could promote a foundation for the preparation of the VN alloy and CO production, decreasing the energy consumption during the iron–steel production process.

2. Methodology

The vanadium–nitrogen alloy (VN) is synthesized by mixing vanadium oxide with carbon and heating the mixture in a nitrogen atmosphere. The reaction process encompasses a series of multistep reactions between V2O5 and its intermediate products with varying proportions of carbon. The principal equations that govern the reactions of vanadium oxides with carbon under a nitrogen atmosphere are detailed in Table 1.
The heating reaction of vanadium oxide and carbon in a nitrogen atmosphere is intricate and involves numerous reactions between vanadium oxides, their intermediate products, carbon, and nitrogen. This study aims to select an appropriate method for evaluating these intermediate reaction processes. Unlike traditional rate-constant calculations, the Gibbs free energy evaluation method offers a more straightforward approach by enabling the evaluation of equilibrium product formation based solely on the primary components at the beginning and end of the reaction. In this paper, we calculate the Gibbs free energy of the reaction using the HSC 6.0 software to determine the reaction feasibility [30,31,32,33,34]. A comprehensive thermodynamic analysis of the heating reaction of vanadium oxides with carbon in a nitrogen atmosphere is presented as follows (Figure 1):
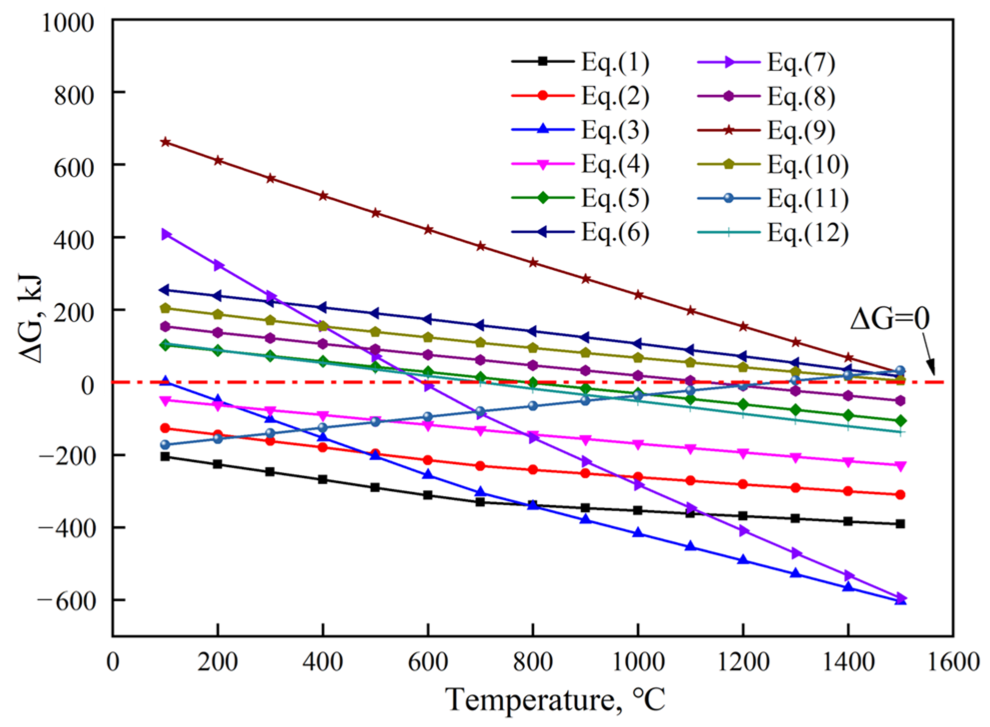
The temperature range for the reactions is assumed to be 25–1500 °C. The Gibbs function for the residual reactions generally decreases with increasing temperature, except for reaction 11. This suggests that higher temperatures favor the formation of VO and VC but are detrimental to the formation of VN. In particular, at 1300 °C, the ΔG of reaction 11 is greater than 0, indicating that the formation of VN under these conditions does not satisfy the thermodynamic requirements.

3. Results and Discussion

3.1. The Distribution of Reaction Production

During the heating process in a nitrogen atmosphere, the reaction between vanadium oxide, carbon, and their intermediates is predominantly endothermic. As the temperature increases, the molecular motion becomes more erratic. Furthermore, temperature variations significantly influence the formation of VN and the transformation of its intermediate products.
Figure 2 illustrates the potential products and their concentrations from 1 mol of initial V2O5, C, and N2, over a temperature range of 25 °C to 1500 °C at a pressure of 1 bar, as a function of temperature. As temperature increases, significant changes occur in the contents of the products, which primarily include: C, CO, CO2, VN, VC, and V2O3. In particular, beyond 500 °C, the concentration of CO2 decreases rapidly while CO gradually increases, suggesting the beginning of a reaction between CO2 and C (Equation (12)). This reaction continues, with CO2 serving as an intermediate product, leading to a steady increase in CO levels. After 750 °C, the concentrations of VN, VC, and V2O3 undergo marked changes. In particular, V2O3 decreases dramatically with increasing temperature, which favors conversion to VN, VC, and VO (Equations (6) and (9)). The content of VN initially increases, peaks at approximately 1048 °C, and then decreases rapidly. This indicates that the formation reaction of VN tends to reverse at higher temperatures (1048~1500 °C), and combined with changes in VC concentration, suggests that excessively high temperatures hinder the formation of VN (Equation (11)). According to Le Chatelier’s principle, the increase in temperature promotes the forward reaction between vanadium oxide and C, increasing the VC content.

3.2. The Effects of C

Figure 3 illustrates the effects of a fixed N2:V2O5 ratio of 8:1, and varying temperature and carbon ratios on VN formation at a pressure of 1 bar. At lower temperatures (200~600 °C), altering the C to V2O5 ratio has a minimal impact on VN production, suggesting that higher temperatures are necessary for effective VN synthesis. As the temperature increases, VN production initially increases, peaking at approximately 1000 °C. For instance, with a C:V2O5 ratio of 10:1, the VN production increases by approximately 135% from 600 °C to 1000 °C, and then decreases by approximately 58.08% from 1000 °C to 1500 °C. Endothermic reactions (Equations (7)–(10)) advance with increasing temperature, increasing VC generation, and, consequently, improving VN production (Equation (11)). However, at elevated temperatures, the exothermic nature of Equation (11) reverses itself, leading to increased VN consumption and a decrease in content. Under specific temperature conditions, an increase in the C:V2O5 ratio corresponds with increased VN production. Specifically, at 1000 °C, when the C:V2O5 ratio ranges from 5 to 15, VN production increases by approximately 130%, with the increase rate first increasing and then diminishing. Han et al. [20] demonstrates that an appropriate increase in carbon content can facilitate the transformation of V2O5 into VN, thus boosting the yield of VN. X-ray diffraction (XRD) patterns reveal that a few V2O3 diffraction peaks persist at relatively low temperatures (below 950 °C). However, these peaks disappear as the temperature increases, indicating that VN formation requires high temperatures and that lower temperatures are not favorable for the complete conversion of V2O5.
Figure 4 shows the influence of a fixed N2:V2O5 ratio of 8:1, and varying temperature and carbon ratios on the formation of V2O3 at a pressure of 1 bar. At low temperatures, V2O3 is formed, during which the Gibbs free energy for V2O3 (Equations (6) and (9)) is greater than zero, hindering its effective conversion to VO and VN and resulting in a high yield. According to Le Chatelier’s principle, as the temperature increases, exothermic reactions (Equations (2) and (4)) proceed in the reverse direction, while endothermic reactions (Equations (6) and (9)) advance, leading to a rapid decrease in V2O3 production. For example, with a C:V2O5 ratio of 10:1, the production of V2O3 decreases by about 89.69% from 25 °C to 1000 °C. At a specific temperature, as in C:V2O5 ratio increases, reactions (Equations (2) and (4)) progress, enhancing the formation of V2O3. During the formation of VC and VO (Equations (6) and (9)), V2O3 is consumed, reducing its content. At 1000 °C, with a C:V2O5 ratio ranging from 5 to 15, the production of V2O3 decreases by about 85.71%.
Figure 5 illustrates the effects of a fixed N2:V2O5 ratio of 8:1, and varying temperature and carbon ratios on the formation of VO at a pressure of 1 bar. The figure reveals that under varying C:V2O5 ratios, the formation of VO at low temperatures exhibits a similar pattern. With an increase in temperature, the amount of VO first increases and then decreases. According to the principle of Le Chatelier, the endothermic reactions (Equations (3), (5) and (6)) proceed forward, enhancing the formation of VO. Moreover, the endothermic reaction (Equation (10)) advances, increasing the conversion of VO to VN, thus increasing the consumption of VO and reducing its content. As the temperature rises, this transformation accelerates, further leading to a reduction in the VO content. Under specific temperature conditions, such as the C:V2O5 ratio increases, the formation of VO initially increases at lower temperatures but diminishes at higher temperatures. When the temperature is low, the formation of VO is primarily driven by Equation (3), and as the C content increases, the reaction progresses, resulting in an increased production of VO. Under high-temperature conditions, an increase in the C content accelerates the conversion of VO to VC (Equation (10)), leading to a reduction in the VO content. Additionally, as the C:V2O5 ratio increases, the turning point temperature for the VO content gradually decreases, and the decrease rate initially accelerates and then decelerates. When the C:V2O5 ratio exceeds 10, the turning point temperature tends to stabilize. Ye et al. [35] demonstrated by thermodynamic analysis that without a reducing agent, the reduction and nitridation reactions of V2O3 are difficult to initiate. Introducing carbon as a reducing agent significantly enhances these reactions in V2O3. The addition of carbon allows the formation of VN from V2O3 at lower temperatures. Furthermore, VO serves as a catalytic intermediary in the transition from V2O3 to VN, facilitating the formation of VN.
VC serves as an intermediate product in the synthesis of VN, where vanadium oxide reacts with carbon to form VC (Equations (7)–(10)), and VC subsequently reacts with N2 to produce the target product VN (Equation (11)). Therefore, understanding the influence of the carbon ratio and temperature on VC formation is crucial to regulate VN production. Figure 6 illustrates the impact of a fixed N2:V2O5 ratio of 8:1, and varying temperature and carbon ratios in VC formation at a pressure of 1 bar. The figure shows that under different C:V2O5 ratios, the VC content progressively increases with temperature. According to Le Chatelier’s principle, as the temperature rises, the endothermic reactions (Equations (7)–(10)) advance in the forward direction, while the exothermic reaction (Equation (11)) proceeds in the reverse direction, leading to an increase in VC production. When the C:V2O5 ratio exceeds 10, VC production rapidly escalates with an increase in carbon at a fixed temperature, although the rate of increase diminishes once the C:V2O5 ratio surpasses 10.
Figure 7 illustrates the influence of a fixed N2:V2O5 ratio of 8:1, and varying the temperature and carbon ratios on the proportion of VN at a pressure of 1 bar. The graph demonstrates that when the C:V2O5 ratio exceeds 5, the concentration of VN initially increases and then decreases with increasing temperature. At lower temperatures, VC production does not occur; however, the VC content peaks at approximately 1078 °C. According to Le Chatelier’s principle, the reactions (Equations (7)–(10)) progress in the forward direction, suggesting that within a certain temperature range, the VN yield increases due to the elevated levels of VC (Equation (11)). However, at excessively high temperatures, the ΔG of VN becomes positive (Equation (11)), indicating that VN no longer meets the thermodynamic conditions for formation, leading to a reduction in its yield. Under specific temperature conditions, the proportion of VN gradually increases with the rise in the C:V2O5 ratio at lower temperatures. When the C: V2O5 ratio exceeds 10, changes in VN become minimal. At higher temperatures, the proportion of VN decreases with an increase in the C:V2O5 ratio. For example, at 1000 °C, when the C:V2O5 ratio ranged from 5 to 10, VN concentration increased by 18.64%. However, when the ratio was between 10 and 15, the increase in VN concentration was only 1.43%. This pattern aligns with the VN production trends observed in Figure 3, indicating that the VN concentration is primarily influenced by its production rates.
Figure 8 shows the effects of a fixed N2:V2O5 ratio of 8:1, and varying temperature and carbon ratios on CO formation at a pressure of 1 bar. At lower temperatures (below 360 °C), no CO formation is observed at any C:V2O5 conditions. According to Le Chatelier’s principle, the formation of CO is an endothermic reaction that progresses positively with an increase in temperature. Once the temperature exceeds 360 °C, CO begins to form, and as the temperature continues to rise, the rate of CO formation initially increases and then stabilizes. Under specific temperature conditions, the content of CO gradually increases with a rise in the C:V2O5 ratio, although the rate of increase slows. For example, at 1000 °C with a C:V2O5 ratio of 5–10, CO production increases by 21.22%. When the ratio is 10–15, the increase in CO production is only 3.69%, indicating a slowdown in the CO production rate in higher C ratios. According to Le Chatelier’s principle, the rapid generation of CO facilitates the positive production of VC and VN.
Figure 9 demonstrates the impact of a fixed N2:V2O5 ratio of 8:1, and varying temperature and carbon ratios on CO concentration at a pressure of 1 bar. Under varying C:V2O5 ratios, the CO concentration remains at zero at low temperatures (below 360 °C) due to the absence of CO formation. Once the temperature exceeds 360 °C, CO production begins to increase, and the concentration of CO rapidly increases. By the time the temperature reaches 1000 °C, the CO concentration stabilizes at approximately 40%, indicating that the concentration is primarily influenced by the amount of CO produced. However, under certain temperature conditions, even under the C:V2O5 ratio increases, its impact on CO concentration is minimal. This phenomenon could be attributed to the chemical equilibrium state of the system or the kinetic characteristics of the reaction, where the CO generation and consumption rates achieve a balance, resulting in a relatively stable CO concentration. Calculating the proportion of CO products reveals its formation under different raw material conditions. This demonstrates that a certain yield of CO can be produced during VN generation. The CO produced can serve as fuel for the manufacture of iron in the blast furnace, providing a reference for the secondary utilization of resources in the preparation of VN.
In summary, the optimal ratio of C:V2O5 is 10:1, with an effective temperature of approximately 1000 °C.

3.3. The Effects of N2

Figure 10 illustrates the impact of a fixed C:V2O5 ratio of 10:1, and varying temperature and nitrogen ratios in VN production at 1 bar pressure. The figure shows that under various N2:V2O5 conditions and at lower temperatures (<630 °C), the VN content is nearly zero. As the temperature increases (<630 °C), the amount of VN initially increases and then decreases. The VN content peaks at approximately 1000 °C. According to Le Chatelier’s principle, above 630 °C, the endothermic reactions (Equations (7)–(10)) that generate VN progress positively with increasing temperatures, thus increasing the production of VC. If reaction 11 proceeds, the amount of VN produced also increases. As the temperature continues to increase, the rate of exothermic reaction (Equation (11)) increases, and beyond 1300 °C, the ΔG of Equation (11) becomes positive, leading to a reduction in the VN content. Using an N2:V2O5 ratio of 8:1 as an example, when the temperature increases from 627 °C to 1078 °C, the VN content increases by 137%. However, as the temperature increases from 1078 °C to 1500 °C, the VN content decreases by approximately 59%. At certain temperatures, with N2:V2O5 ratios ranging from 1:1 to 10:1, the amount of VN gradually increases. After reaching an N2:V2O5 ratio of 8:1, further increases in VN content are not significantly evident. According to Le Chatelier’s principle, as the N2 content increases, the reaction advances, leading to a rise in VN production (Equation (11)). Taking 1000 °C as an example, when N2:V2O5 increases from 1:1 to 8:1, the VN content increases by 143%; however, when N2:V2O5 increases from 8:1 to 10:1, the VN content only increases by 6.2%. Tripathy et al. [36] demonstrate through phase diagram analysis that both VN and V2N are stable at high temperatures, with VN exhibiting a relatively high decomposition pressure. As the temperature increases excessively, the nitrogen content in the VN product decreases, in alignment with the thermodynamic calculations. Consequently, appropriately raising the temperature aids in the formation of VN.
Figure 11 demonstrates the impact of a fixed C:V2O5 ratio of 10:1, and varying temperature and nitrogen ratios on V2O3 production at a pressure of 1 bar. The figure indicates that under various N2:V2O5 conditions, the content of V2O3 is higher at lower temperatures. As the temperature increases, the content of V2O3 gradually decreases, particularly when the temperature reaches 1140 °C, at which point its content is nearly zero. According to Le Chatelier’s principle, the exothermic reactions (Equations (2) and (4)) that produce V2O3 reverse direction with increasing temperature, while the endothermic reaction (Equation (9)) proceeds forward, leading to the consumption of V2O3 and a consequent reduction in its content. Furthermore, it was observed that with an increase in N2:V2O5 at various temperatures, the V2O3 content remains almost unchanged at lower temperatures (<700 °C). At higher temperatures (>700 °C), the content of V2O3 gradually decreases. According to Le Chatelier’s principle, under higher temperature conditions, an increase in N2 leads to a decrease in the VC content (Equation (11)), which in turn promotes the forward progression of (Equation (9)), resulting in a decrease in the V2O3 content. Wen et al. [37] investigated the impacts of temperature and N2 addition on VN formation. As the temperature increases, the concentration of intermediate V2O3 gradually decreases. Above 1150 °C, the characteristic peak of V2O3 vanishes, its content approaching zero. Initially, an increase in N2 flow initially leads to a significant increase in the nitrogen content of VN, followed by a decrease. X-ray diffraction (XRD) analysis indicates that a higher N2 flux facilitates the conversion of V2O3 and VC to VN, corroborating the results of thermodynamic calculations.
Figure 12 illustrates the effects of a fixed C:V2O5 ratio of 10:1, and varying temperature and nitrogen ratios on the formation of VO at a pressure of 1 bar. The figure reveals that under various N2:V2O5 conditions, the VO content is zero at low temperatures (<536 °C). When the temperature exceeds 536 °C, VO begins to form, and as the temperature continues to rise, the VO content initially increases and then decreases. According to Le Chatelier’s principle, the endothermic reactions that generate VO (Equations (3), (5) and (6)) proceed in the forward direction, leading to an increase in VO production. However, as the temperature increases further, the rate of the endothermic reaction (Equation (10)) also increases, improving the conversion of VO to VC, and the consumption of VO exceeds its production, resulting in a decrease in its content. At a certain temperature, with an increase in the N2:V2O5 ratio, the amount of VO at lower temperatures (<900 °C) gradually increases, whereas the content of VO at higher temperatures (>900 °C) gradually decreases. According to Le Chatelier’s principle, an increase in N2 fosters an increase in the content of C (Equation (11)), thus promoting the forward progression of (Equations (3), (5) and (6)) and the gradual increase in VO production. At higher temperatures, if the ΔG of Equation (11) is greater than 0, the reaction cannot proceed and the C content decreases, leading to a reduction in the VO content.
Figure 13 illustrates the influence of a fixed C:V2O5 ratio of 10:1, and varying temperature and nitrogen ratios on VC production at a pressure of 1 bar. The figure shows that under various N2:V2O5 conditions, VC is not produced at low temperatures (<800 °C). As the temperature exceeds 800 °C, the production of VC increases. According to Le Chatelier’s principle, as the temperature increases, the endothermic reactions (Equations (7)–(10)) proceed in the forward direction, while the exothermic reaction (Equation (11)) reverses, leading to an increase in the VC yield. At different temperatures, with an increase in the N2:V2O5 ratio, the VC content remains unchanged at lower temperatures (<1018 °C). However, at higher temperatures (>1018 °C), the content of VC decreases with an increase in the N2:V2O5 ratio. According to Le Chatelier’s principle, as the amount of N2 increases and Equation (11) progresses forward, the consumption of VC increases, resulting in a decrease in its overall content.
Figure 14 illustrates the influence of a fixed C:V2O5 ratio of 10:1, and varying temperature and nitrogen ratios on the proportion of VN in the system at a pressure of 1 bar. As observed in Figure 10, under various N2:V2O5 conditions, the proportion of VN is almost zero at lower temperatures (<600 °C). With increasing temperature, the concentration of VN initially increases and then decreases, reaching a peak at approximately 1000 °C. Taking an N2:V2O5 ratio of 8:1 as an example, when the temperature increases from 600 °C to 1048 °C, the VN concentration increases from 1% to 70%, and as the temperature increases further from 1048 °C to 1500 °C, the VN concentration decreases from 70% to 29%. This pattern aligns with the changes in VN production observed in Figure 10, indicating that the concentration of VN is mainly determined by its production.
Figure 15 shows the influence of a fixed C:V2O5 ratio of 10:1, and varying temperature and nitrogen ratios on CO production at a pressure of 1 bar. As shown in Figure 1, under varying N2:V2O5 conditions, the CO content is zero at low temperatures (<330 °C), and the amount of CO produced gradually increases with the increase in temperature. According to Le Chatelier’s principle, the endothermic reaction (Equation (12)) advances with increasing temperature, thereby enhancing the production of CO. For example, taking an N2:V2O5 ratio of 8:1, as the temperature increases from 400 °C to 1500 °C, the CO content increases by 124.5 times. At different temperatures, with N2:V2O5 ratios ranging from 1 to 10, the production of CO progressively increases; however, beyond an N2:V2O5 ratio of 8:1, further increases in CO production are not as pronounced. According to Le Chatelier’s principle, as N2 increases, Equation (11) proceeds, leading to increased VC consumption and a decrease in its content, while reactions (Equations (7)–(10)) also proceed, boosting CO2 generation. Consequently, as dictated by Equation (12), the amount of CO produced increases. For example, at 1000 °C, as in the N2:V2O5 ratio increases from 1:1 to 8:1, CO production increases by 36%. When N2:V2O5 increases from 8:1 to 10:1, CO production sees a more modest increase of only 1.29%.
Figure 16 illustrates the impact of a fixed C:V2O5 ratio of 10:1, and varying temperature and nitrogen ratios on CO concentration at a pressure of 1 bar. Under various N2:V2O5 conditions, the concentration of CO (Equation (12)) gradually increases with increasing temperature, stabilizing once the temperature reaches a certain threshold. According to Le Chatelier’s principle, the endothermic reaction (Equation (12)) progresses in the forward direction, leading to an increase in both the CO content and its proportion. The concentration of CO is primarily determined by the amount of CO produced. At a specific temperature, the concentration of CO decreases as the N2:V2O5 ratio increases. This change can be explained by Le Chatelier’s principle: as N2 content rises, Equation (11) advances positively, reducing VC content. At the same time, the reactions (Equations (7) and (8)) also proceed forward, increasing the CO2 content. Although the reaction (Equation (12)) is advancing, the rate of CO2 generation exceeds that of CO generation. Therefore, despite an increase in the absolute amount of CO produced, its relative concentration decreases. It shows that excessively high reaction temperatures and N2:V2O5 ratios reduce the relative concentration of CO, which is detrimental to the secondary utilization of resources.
In summary, the optimal N2:V2O5 ratio is 8:1, with the most effective temperature approximately 1000 °C.

3.4. The Effects of Pressure

In chemical reactions, the Le Chatelier principle describes the changes in the chemical equilibrium position and reaction rate under different pressures. The increase in pressure will lead to the movement of the equilibrium position. Usually, when there is gas in the reactant, the increase in pressure will make the equilibrium position move in the direction of the product. In addition, the yield, that is, the rate at which the reactant is converted into a product, is also affected by pressure. Under high pressure, the collision frequency between reactant molecules increases, and the reaction rate also increases. Therefore, the pressure has an effect on the equilibrium displacement and the basic reaction yield in the chemical reaction, which can change the equilibrium position and affect the reaction rate.
Figure 17 illustrates the effect of a fixed C:V2O5 ratio of 10:1, and varying the temperature and pressure conditions in the production of VN. The figure indicates that within certain temperature ranges (900 °C to 1200 °C), VN output initially increases and then decreases with increasing pressure. For example, at 1050 °C, as pressure increases from 0.2 bar to 1 bar, the VN yield rises by 9.78%, but as the pressure further escalates from 1 bar to 10 bar, the VN yield drops by 34.18%. At higher temperature conditions (1200 °C to 1500 °C), the VN output continuously increases with pressure, although its growth rate slows and the final output remains lower than at cooler temperatures. Under different pressure conditions (1 × 10−5 bar to 1 bar), the VN yield initially increases and then decreases with increasing temperature; at lower pressure settings, the VN yield is higher. For example, at 1 bar, the VN yield increases by 64.48% as the temperature increases from 900 °C to 1050 °C but decreases by 54.92% from 1050 °C to 1500 °C. According to Le Chatelier’s principle, during the VN generation process (Equation (11)), VN production increases as a result of the positive shift with rising pressure. However, in most VC formation reactions (Equations (7)–(10)), the reactions reverse, so that when pressure exceeds a certain threshold, the VC content is reduced and, consequently, the VN yield diminishes. Additionally, the exothermic reaction (Equation (11)) reverses at excessively high temperatures, leading to a decrease in VN production.
Figure 18 shows the effect of a fixed C:V2O5 ratio of 10:1, along with varying temperature and pressure conditions, on the formation of V2O3. The figure shows that under different temperature conditions, the yield of V2O3 increases significantly with the increase in pressure, with higher pressures yielding higher amounts. According to Le Chatelier’s principle, when pressure is increased, reactions (Equations (6) and (9)) are reversed, hindering the conversion of V2O3 to VO or VC. Under different pressure scenarios, the production of V2O3 decreases rapidly with increasing temperature. For example, at a pressure of 1 bar, the output of V2O3 at 1500 °C is nearly zero. According to Le Chatelier’s principle, when the temperature rises, the exothermic reaction (Equation (4)) proceeds in reverse, and the endothermic reactions (Equations (6) and (9)) advance, which reduces the formation of V2O3, increases its consumption, and, consequently, decreases its production.
Figure 19 illustrates the effect of a fixed C:V2O5 ratio of 10:1, along with varying temperature and pressure conditions, on VO production. The graph shows that within a specific temperature range (900 °C to 1050 °C), the VO output initially increases rapidly with increasing pressure and then decreases. When the temperature exceeds 1050 °C, VO production continues to increase with increasing pressure; however, the maximum yield of VO remains lower than that at lower temperatures. According to Le Chatelier’s principle, at very high pressures (Equations (3), (5), (6), and (10)), reactions may reverse, leading initially to an increase and, subsequently, to a decrease in VO production. Under varying pressure conditions, VO production initially increases and then decreases as temperature increases. For example, under a pressure of 1 bar, from 900 °C to 1000 °C, VO output increases by 1.69%, and from 1000 °C to 1500 °C, VO output decreases by about 95%. According to Le Chatelier’s principle, the endothermic reactions (Equations (3), (5), (6), and (10)) progress forward as temperature increases. At lower temperatures, VO is predominantly formed, leading to an increase in output. At higher temperatures, VO is mainly consumed, resulting in a decrease in output, which explains the initial increase and subsequent decrease in VO production.
Figure 20 displays the effects on the VC yield under fixed C:V2O5 ratio of 10:1, across different temperatures and pressures. The figure reveals that under lower temperature conditions (900 °C to 1050 °C), VC production progressively decreases with increasing pressure, with more pronounced reductions at lower temperatures. According to Le Chatelier’s principle, as pressure increases, reactions (Equations (7)–(10)) reverse, while reaction (Equation (11)) advances, leading to a decrease in VC generation and an increase in VC conversion to VN. Under conditions of low temperature and high pressure, VC production diminishes and consumption escalates. Thus, at lower temperatures, VC production decreases with increasing pressure, exhibiting a more marked decreasing trend. Under various pressure conditions, VC production generally increases with increasing temperature. For example, at a pressure of 1 bar, from 900 °C to 1500 °C, VC output increases by 133%. At lower temperatures, VC is converted to VN. Above 1300 °C, the ΔG of reaction 11 exceeds 0, indicating that VN formation does not meet the thermodynamic conditions at this temperature. Simultaneously, according to the Le Chatelier principle, the exothermic reaction (Equation (11)) reverses with increasing temperature, and the endothermic reactions (Equations (7)–(10)) proceed forward, leading to decreased VC consumption and increased production, thus resulting in an increase in VC output as temperature increases. Duan et al. [17] demonstrated that during carbothermal nitridation under atmospheric pressure, VC acts as an intermediate that reacts with N2 to form VN. Increasing the temperature favors the formation of VC but is not advantageous for the production of VN, a finding that aligns with the conclusions of thermodynamic calculations.
Figure 21 shows the proportion of VN under a fixed C:V2O5 ratio of 10:1, under different temperatures and pressure conditions. The figure indicates that within a certain temperature range (900 °C to 1200 °C), the proportion of VN initially increases and then decreases with increasing pressure, with the decreasing trend slowing as temperature increases. The VN proportion is higher at lower pressures. For example, at 1050 °C, as pressure increases from 0.2 bar to 1 bar, the proportion of VN increases by 11.44%, but as pressure continues from 1 bar to 10 bar, the proportion of VN decreases by 21.82%. At higher temperatures, the proportion of VN increases with pressure, though it remains lower than that under lower-temperature conditions. At a specific pressure, the proportion of VN first increases and then decreases with increasing temperature. For example, at 1 bar, as the temperature rises from 900 °C to 1050 °C, the VN proportion increases by 33.02%. However, as the temperature increases from 1050 °C to 1500 °C, the VN proportion decreases by 58.63%. At high temperatures, the ΔG of the reaction (Equation (11)) becomes positive, reversing the reaction and leading to a reduction in the proportion of VN due to excessive temperature.
Figure 22 shows the formation of CO under a fixed C:V2O5 ratio of 10:1, under different temperatures and pressure conditions. The figure indicates that under various temperature conditions, CO production decreases with increasing pressure. According to Le Chatelier’s principle, an increase in pressure causes the reaction (Equation (12)) to reverse, leading to a reduction in CO production. Under different pressure conditions, CO production gradually increases with increasing temperature, with the trend being more pronounced at lower temperatures (900 °C to 1050 °C). For example, at a pressure of 1 bar, as the temperature increases from 900 °C to 1050 °C, CO output increases by 36.66%, but as the temperature rises from 1050 °C to 1500 °C, CO output increases by only 6.87%. According to Le Chatelier’s principle, the endothermic reaction (Equation (12)) progresses in a forward direction as the temperature increases, resulting in higher CO production. Furthermore, the endothermic reactions (Equations (3), (5)–(10)) increase the concentration of CO2 as the temperature increases, and the forward progression of Equation (12) further promotes the formation of CO.
Figure 23 shows the proportion of CO under a fixed C:V2O5 ratio of 10:1, under different temperatures and pressure conditions. The figure indicates that at lower temperatures (≤950 °C), the CO concentration gradually decreases with increasing pressure. When the temperature exceeds 950 °C, CO concentration initially increases slightly and then gradually decreases with increasing pressure. According to Le Chatelier’s principle, under lower temperature conditions, increasing pressure causes the reaction (Equation (12)) to shift in reverse, resulting in decreased CO production. As the temperature increases, the endothermic reaction (Equation (12)) progresses forward, leading to increased CO production. However, with further pressure increases, CO shifts negatively, causing CO content to decrease again. Under varying pressure conditions, CO concentration first increases and then decreases with rising temperature. Furthermore, as pressure increases, CO reaches its maximum concentration (about 40%) at higher temperatures. According to Le Chatelier’s principle, a higher concentration of CO correlates with a higher amount of VN products. Therefore, higher pressure is not conducive to the formation of VN and CO products. Dong et al. [29] demonstrated that lowering the partial pressure of CO in the system can accelerate the formation of VN. Furthermore, properly increasing the temperature speeds up the nitriding reaction, facilitating the transformation of VC into VN in an N2 atmosphere. However, when the temperature is excessively high, the yield of VN decreases. These findings are consistent with the results of thermodynamic analysis and experimental observations.
In conclusion, the optimal pressure is 1 bar under the optimal C:V2O5 ratio of 10:1.
Nitrogen–vanadium alloys are typically prepared by mixing vanadium oxides with carbon and heating them in a nitrogen atmosphere. To enhance VN production, a thermodynamic analysis of the VN preparation process was conducted. Under ideal conditions, the optimal VN formation temperature is approximately 1000 °C. When the ratio of raw materials and reaction pressure is adjusted, a specific concentration of CO can be achieved along with a high output of VN. Thermodynamic research has revealed the potential for secondary utilization of resources in VN preparation. Figure 24 shows multistep thermodynamic analysis:

4. Conclusions

To optimize the preparation process of VN, this paper conducted a detailed thermodynamic study on the production of VN and CO through the reduction and nitridation of vanadium oxide under the coupling conditions of oxygen content, nitrogen content, and pressure. CO can be used as a fuel in the steel production process and provide reference for the secondary utilization of resources in VN preparation, reducing costs and lowering energy consumption in the steel production process. This study uses thermodynamic analysis and computational methods. The main conclusions are as follows:
  • Under the condition of C:V2O5 = 10:1, with increasing temperature, the production of VN initially increased and then decreased, reaching its maximum at approximately 1000 °C. The CO content gradually increased, but its rate of increase slowed after 1000 °C. Around 1000 °C, the production of both VN and CO increased with the rise in C content. Initially, the rate of increase was rapid, but once the C:V2O5 ratio reached 10:1, the rate of increase decreased.
  • Under the condition of N2:V2O5 = 8:1, the yield of CO increases with increasing temperature, although the rate of increase slows around 1000 °C. The yield of VN initially increases with temperature, reaching a maximum at approximately 1000 °C, and then decreases. Around 1000 °C, the yields of both VN and CO increase with the increase in the N2:V2O5 ratio; however, when the N2:V2O5 ratio exceeds 8:1, the rate of increase decreases.
  • At 1050 °C, VN yield initially increases and then decreases with increasing pressure, reaching a maximum at 1 bar. Therefore, the optimal pressure condition for VN generation is determined to be 1 bar.
In summary, when the carbon content, nitrogen content, and pressure are respectively coupled with temperature, the optimal conditions for producing VN and CO through the reduction and nitridation of vanadium oxide are C:N2:V2O5 = 10:8:1. Under these optimal conditions, VN production reaches nearly 70%, and CO production in the gas phase is approximately 38.17%. This process maximizes the preparation of the vanadium–nitrogen alloy and enables the reuse of secondary resources, such as combustible gas. Further research on reaction kinetics will be conducted to provide a theoretical basis and data guidance for future hot-state experiments. This can provide us with a deeper and more comprehensive understanding of chemical reactions and provide strong scientific support for industrial production.

Author Contributions

Methodology, X.C., X.Y., C.H. and B.W.; formal analysis, J.Y., Y.X. and J.W.; writing—original draft, J.Y. and D.Z.; writing—review and editing, X.C., C.H. and B.W. All authors have read and agreed to the published version of the manuscript.

Funding

This work was supported by Hebei Province Innovation Ability Improvement Plan (No. 23561001D), Central Guidance on Local Science and Technology Development Fund of Hebei Province (226Z1008G).

Data Availability Statement

Data are contained within the article.

Conflicts of Interest

Author Baohua Wang was employed by the company Chengde Iron&Steel Group Co., Ltd. The remaining authors declare that the research was conducted in the absence of any commercial or financial relationships that could be construed as a potential conflict of interest.

References

  1. Baker, T.N. Processes microstructure and properties of vanadium microalloyed steels. Mater. Sci. Technol. 2009, 25, 1083–1107. [Google Scholar] [CrossRef]
  2. Pan, X.-L.; Umemoto, M. Precipitation characteristics and mechanism of vanadium carbides in a V-microalloyed medium-carbon steel. Acta Metall. Sin. 2018, 31, 1197–1206. [Google Scholar] [CrossRef]
  3. Ortega, A.; Roldan, M.A.; Real, C. Carbothermal synthesis of vanadium nitride: Kinetics and mechanism. Int. J. Chem. Kinet. 2006, 38, 369–375. [Google Scholar] [CrossRef]
  4. Karmakar, A.; Mukherjee, S.; Kundu, S.; Srivastava, D.; Mitra, R.; Chakrabarti, D. Effect of composition and isothermal holding temperature on the precipitation hardening in Vanadium-microalloyed steels. Mater. Charact. 2017, 132, 31–40. [Google Scholar] [CrossRef]
  5. Najafi, H.; Rassizadehghani, J.; Asgari, S. As-cast mechanical properties of vanadium/niobium microalloyed steels. Mater. Sci. Eng. A 2008, 486, 1–7. [Google Scholar] [CrossRef]
  6. Kostryzhev, A.G.; Morales-Cruz, E.U.; Zuno-Silva, J.; Cardoso-Legorreta, E.; Ruiz-Lopez, I.; Pereloma, E.V. Vanadium microalloyed 0.25 C cast steels showing as-forged levels of strength and ductility. Steel Res. Int. 2016, 88, 9999. [Google Scholar] [CrossRef]
  7. Kuo, H.-H.; Umemoto, M.; Sugita, K.; Miyamoto, G.; Furuhara, T. Model for predicting phase transformation and yield strength of vanadium microalloyed carbon steels. ISIJ Int. 2012, 52, 669–678. [Google Scholar] [CrossRef][Green Version]
  8. Rodriguze, P.; Brito, J.L.; Albornoz, A.; Labadí, M.; Pfaff, C.; Marrero, S.; Moronta, D.; Betancourt, P. Comparison of vanadium carbide and nitide catalysts for hydrotreating. Catal. Commun. 2004, 5, 79–82. [Google Scholar] [CrossRef]
  9. Erdem, H.E.; Grafe, U.; Plociennik, U.; Klos, W.; Reifferscheid, M.; Luettenberg, M. Recent advances in the understanding of the role of vanadium carbonitride precipitation to improve surface edge cracking on continuous casting of blooms. IOP Conf. Ser. Mater. Sci. Eng. 2019, 529, 012015. [Google Scholar] [CrossRef]
  10. Ali, I.H.M.; Moustafa, I.M.; Farid, A.M.; Glodowski, R. Improvement of Low Carbon Steel Properties through V-N Microalloying. Mater. Sci. Forum 2005, 500–501, 503–510. [Google Scholar] [CrossRef]
  11. Yeh, C.L.; Chen, Y.D. Combustion synthesis of vanadium carbonitride from V-C power compacts under nitrogen pressure. Ceram. Int. 2007, 33, 365–371. [Google Scholar] [CrossRef]
  12. Chen, L.; Gu, Y.; Shi, L.; Yang, Z.; Ma, J.; Qian, Y. A room-temperature synthesis of nanocrystalline vanadium nitride. Solid State Commun. 2004, 132, 343–346. [Google Scholar] [CrossRef]
  13. Zhu, J.; Zhao, P.; Jing, M.; Wu, H.; Li, J. Preparation of vanadium-nitrogen alloy at low temperature by a coupled electric and thermal field. Vacuum 2022, 195, 110644. [Google Scholar] [CrossRef]
  14. Huang, J.W.; Peng, H.; Xia, G.B. Microwave synthesis of vanadium nitride for industrial applications. Ironmak. Steelmak. 2013, 36, 110–114. [Google Scholar] [CrossRef]
  15. Vaidhyanathan, B.; Rao, K.J. Synthesis of ti, ga, and V nitrides: Microwave-assisted carbothermal reduction and nitridation. Chem. Mater. 1997, 9, 1196–1200. [Google Scholar] [CrossRef]
  16. Pan, H.J.; Zhang, Z.B.; Peng, J.H.; Zhang, L.B.; Li, W. Densification of Vanadium Nitride by Microwave-Assisted Carbothermal Nitridation. Adv. Mater. Res. 2011, 201–203, 1787–1792. [Google Scholar] [CrossRef]
  17. Duan, X.; Srinivasakannan, C.; Zhang, H.; Zhang, Y. Process optimization of the preparation of vanadium nitride from vanadium pentoxide. Arab. J. Sci. Eng. 2015, 40, 2133–2139. [Google Scholar]
  18. Galesic, I.; Kollbesen, B.O. Formation of vanadium nitride by rapid thermal processing. Thin Solid Film. 1999, 349, 14–18. [Google Scholar] [CrossRef]
  19. Tripathy, P.K.; Sehra, J.C.; Kulkarni, A.V. On the carbonitrothermic reduction of vanadium pentoxide. J. Mater. Chem. 2001, 11, 691–695. [Google Scholar] [CrossRef]
  20. Han, J.; Zhang, Y.; Liu, T.; Huang, J.; Xue, N.; Hu, P. Preparation of vanadium nitride using a thermally processed precursor with coating structure. Metals 2017, 7, 360. [Google Scholar] [CrossRef]
  21. Biswas, A.; Sahoo, C.; Du, W.-T.; Jung, I.-H.; Paliwal, M. New production route for vanadium nitride master alloy: Experimental and thermodynamic analysis. Metall. Mater. Trans. B 2021, 52, 956–967. [Google Scholar] [CrossRef]
  22. Ravan, B.A.; Faghihnasiri, M.; Jafari, H. Ab initio investigation of mechanical and thermodynamic properties of vanadium-nitride. Mater. Chem. Phys. 2019, 228, 237–243. [Google Scholar] [CrossRef]
  23. Roldan, M.; López-Flores, V.; Alcala, M.D.; Ortega, A.; Real, C. Mechanochemical synthesis of vanadium nitride. J. Eur. Ceram. Soc. 2010, 30, 2099–2107. [Google Scholar] [CrossRef]
  24. Ghimbeu, C.M.; Sima, F.; Ostaci, R.V.; Socol, G.; Mihailescu, I.N.; Vix-Guterl, C. Crustalline vanadium nitride ultra-thin films obtained at room temperature by pulsed laser deposition. Surf. Coat. Technol. 2012, 211, 158–162. [Google Scholar] [CrossRef]
  25. Brayek, A.; Tlilli, B.; Ghrib, T.; Nouveau, C. Investigation of vanadium and nitride alloys thin layers deposited by PVD. EPJ Web Conf. 2012, 29, 00042. [Google Scholar] [CrossRef]
  26. Liu, Y.; Liu, L.; Kang, L.; Ran, F. Vanadium nitride with surface single specie oxide via vanadium-organic frameworks precursor. J. Power Sources 2020, 450, 227687. [Google Scholar] [CrossRef]
  27. Ma, S.; Ye, J.; Liu, A.; Liu, Y.; Wang, J.; Pang, J.; Xie, H. Synthesis of (V,Cr)(C,N) nanopowders via carbothermal reduction nitridation method: Influence factors and morphology evolution. Int. J. Refract. Met. Hard Mater. 2016, 58, 51–56. [Google Scholar] [CrossRef]
  28. Chen, Z.C.; Xue, Z.L.; Wang, W.; Yu, Y.; Liu, Q.; Li, P. One-step method of carbon thermal reduction and nitride to produce vanadium nitrogen alloy. Adv. Mater. Res. 2012, 476–478, 194–198. [Google Scholar] [CrossRef]
  29. Dong, J.; Yu, Y.; Xue, Z.-L. Non-isothermal kinetics of synthesizing vanadium nitride by one-step method. Rare Met. 2014, 34, 738–743. [Google Scholar] [CrossRef]
  30. Sun, Y.; Seetharaman, S.; Zhang, Z. Integrating biomass pyrolysis with waste heat recovery from hot slags via extending the C-loops: Product yields and roles of slags. Energy 2018, 149, 792–803. [Google Scholar] [CrossRef]
  31. Sun, Y.; Zhang, Z.; Liu, L.; Wang, X. Integration of biomass/steam gasification with heat recovery from hot slags: Thermodynamic characteristics. Int. J. Hydrogen Energy 2016, 41, 5916–5926. [Google Scholar] [CrossRef]
  32. Duan, W.; Yu, Q.; Xie, H.; Liu, J.; Wang, K.; Qin, Q.; Han, Z. Thermodynamic analysis of synergistic coal gasification using blast furnace slag as heat carrier. Int. J. Hydrogen Energy 2016, 41, 1502–1512. [Google Scholar] [CrossRef]
  33. Xie, H.; Yu, Q.; Zhang, Y.; Zhang, J.; Liu, J.; Qin, Q. New process for hydrogen production from raw coke oven gas via sorption-enhanced steam reforming: Thermodynamic analysis. Int. J. Hydrogen Energy 2017, 42, 2914–2923. [Google Scholar] [CrossRef]
  34. Xie, H.; Yu, Q.; Lu, H.; Zhang, Y.; Zhang, J.; Qin, Q. Thermodynamic study for hydrogen production from bio-oil via sorption-enhanced steam reforming: Comparison with conventional steam reforming. Int. J. Hydrogen Energy 2017, 42, 28718–28731. [Google Scholar] [CrossRef]
  35. Ye, M.; Bu, N.; Chen, L.; Li, R.; Zhen, Q. Study on reaction mechanism for the synthesis of vanadium nitride by carbothermic reduction nitridation method. Ceram. Int. 2024, 50, 7458–7468. [Google Scholar] [CrossRef]
  36. Tripathy, P.K.; Arya, A.; Bose, D.K. Preparation of vanadium nitride and its subsequent metallization by thermal decomposition. J. Alloys Compd. 1994, 209, 175–180. [Google Scholar] [CrossRef]
  37. Wen, A.; Cai, Z.; Zhang, Y.; Liu, H. A novel method of preparing vanadium-based precursors and their enhancement mechanism in vanadium nitride preparation. RSC Adv. 2022, 12, 13093–13102. [Google Scholar] [CrossRef]
Figure 1. Gibbs free energies of the reactions of vanadium oxides with carbon heating in the N2 atmosphere.
Figure 1. Gibbs free energies of the reactions of vanadium oxides with carbon heating in the N2 atmosphere.
Processes 12 01839 g001
Figure 2. Product distribution of 1 mol V2O5 reaction with C and N2.
Figure 2. Product distribution of 1 mol V2O5 reaction with C and N2.
Processes 12 01839 g002
Figure 3. Effects of temperature and carbon on VN formation (N2:V2O5: 8:1, pressure: 1 bar).
Figure 3. Effects of temperature and carbon on VN formation (N2:V2O5: 8:1, pressure: 1 bar).
Processes 12 01839 g003
Figure 4. Effect of temperature and carbon on V2O3 formation (N2:V2O5: 8:1, pressure: 1 bar).
Figure 4. Effect of temperature and carbon on V2O3 formation (N2:V2O5: 8:1, pressure: 1 bar).
Processes 12 01839 g004
Figure 5. Effect of temperature and carbon on VO formation (N2:V2O5: 8:1, pressure: 1 bar).
Figure 5. Effect of temperature and carbon on VO formation (N2:V2O5: 8:1, pressure: 1 bar).
Processes 12 01839 g005
Figure 6. Effect of temperature and carbon on VC formation (N2:V2O5: 8:1, pressure: 1 bar).
Figure 6. Effect of temperature and carbon on VC formation (N2:V2O5: 8:1, pressure: 1 bar).
Processes 12 01839 g006
Figure 7. Effects of temperature and carbon on the proportion of VN (N2:V2O5: 8:1, pressure: 1 bar).
Figure 7. Effects of temperature and carbon on the proportion of VN (N2:V2O5: 8:1, pressure: 1 bar).
Processes 12 01839 g007
Figure 8. Effect of temperature and carbon on CO formation (N2:V2O5: 8:1, pressure: 1 bar).
Figure 8. Effect of temperature and carbon on CO formation (N2:V2O5: 8:1, pressure: 1 bar).
Processes 12 01839 g008
Figure 9. Effect of temperature and carbon on CO concentration (N2:V2O5: 8:1, pressure: 1 bar).
Figure 9. Effect of temperature and carbon on CO concentration (N2:V2O5: 8:1, pressure: 1 bar).
Processes 12 01839 g009
Figure 10. Effect of temperature and nitrogen on VN formation (C:V2O5: 10:1, pressure: 1 bar).
Figure 10. Effect of temperature and nitrogen on VN formation (C:V2O5: 10:1, pressure: 1 bar).
Processes 12 01839 g010
Figure 11. Effect of temperature and nitrogen on V2O3 formation (C:V2O5: 10:1, pressure: 1 bar).
Figure 11. Effect of temperature and nitrogen on V2O3 formation (C:V2O5: 10:1, pressure: 1 bar).
Processes 12 01839 g011
Figure 12. Effect of temperature and nitrogen on VO formation (C:V2O5: 10:1, pressure: 1 bar).
Figure 12. Effect of temperature and nitrogen on VO formation (C:V2O5: 10:1, pressure: 1 bar).
Processes 12 01839 g012
Figure 13. Effect of temperature and nitrogen on VC formation (C:V2O5: 10:1, pressure: 1 bar).
Figure 13. Effect of temperature and nitrogen on VC formation (C:V2O5: 10:1, pressure: 1 bar).
Processes 12 01839 g013
Figure 14. Effects of temperature and nitrogen on the ratio of VN (C:V2O5: 10:1, pressure: 1 bar).
Figure 14. Effects of temperature and nitrogen on the ratio of VN (C:V2O5: 10:1, pressure: 1 bar).
Processes 12 01839 g014
Figure 15. Effect of temperature and nitrogen on CO production (C:V2O5: 10:1, pressure: 1 bar).
Figure 15. Effect of temperature and nitrogen on CO production (C:V2O5: 10:1, pressure: 1 bar).
Processes 12 01839 g015
Figure 16. Effect of temperature and nitrogen on CO concentration (C:V2O5: 10:1, pressure: 1 bar).
Figure 16. Effect of temperature and nitrogen on CO concentration (C:V2O5: 10:1, pressure: 1 bar).
Processes 12 01839 g016
Figure 17. Effect of temperature and pressure on VN production (C:V2O5: 10:1).
Figure 17. Effect of temperature and pressure on VN production (C:V2O5: 10:1).
Processes 12 01839 g017
Figure 18. Effect of temperature and pressure on V2O3 formation (C:V2O5: 10:1).
Figure 18. Effect of temperature and pressure on V2O3 formation (C:V2O5: 10:1).
Processes 12 01839 g018
Figure 19. Effect of temperature and pressure on VO production (C:V2O5: 10:1).
Figure 19. Effect of temperature and pressure on VO production (C:V2O5: 10:1).
Processes 12 01839 g019
Figure 20. Effect of temperature and pressure on VC production (C:V2O5: 10:1).
Figure 20. Effect of temperature and pressure on VC production (C:V2O5: 10:1).
Processes 12 01839 g020
Figure 21. Effect of temperature and pressure on the proportion of VN (C:V2O5: 10:1).
Figure 21. Effect of temperature and pressure on the proportion of VN (C:V2O5: 10:1).
Processes 12 01839 g021
Figure 22. Effect of temperature and pressure on CO production (C:V2O5: 10:1).
Figure 22. Effect of temperature and pressure on CO production (C:V2O5: 10:1).
Processes 12 01839 g022
Figure 23. Effect of temperature and pressure on CO proportion (C:V2O5: 10:1).
Figure 23. Effect of temperature and pressure on CO proportion (C:V2O5: 10:1).
Processes 12 01839 g023
Figure 24. VN generation mechanism diagram.
Figure 24. VN generation mechanism diagram.
Processes 12 01839 g024
Table 1. Main equations for the preparation of vanadium–nitrogen alloy by vanadium.
Table 1. Main equations for the preparation of vanadium–nitrogen alloy by vanadium.
EquationNo.
2 V 2 O 5 + C = 4 V O 2 + C O 2 ,   Δ H 1000 ° C = - 259 . 16   kJ / mol Equation (1)
V 2 O 5 + C = V 2 O 3 + C O 2 ,   Δ H 1000 ° C = - 135 . 08   kJ / mol Equation (2)
2 V 2 O 5 + 3 C = 4 V O + 3 C O 2 ,   Δ H 1000 ° C = 57 . 32   kJ / mol Equation (3)
4 V O 2 + C = 2 V 2 O 3 + C O 2 ,   Δ H 1000 ° C = - 10 . 99   kJ / mol Equation (4)
2 V O 2 + C = 2 V O + C O 2 ,   Δ H 1000 ° C = 158 . 24   kJ / mol Equation (5)
2 V 2 O 3 + C = 4 V O + C O 2 ,   Δ H 1000 ° C = 327.47   kJ / mol Equation (6)
2 V 2 O 5 + 9 C = 4 V C + 5 C O 2 ,   Δ H 1000 ° C = 529.88   kJ / mol Equation (7)
V O 2 + 2 C = V C + C O 2 ,   Δ H 1000 ° C = 197.26   kJ / mol Equation (8)
2 V 2 O 3 + 7 C = 4 V C + 3 C O 2 ,   Δ H 1000 ° C = 800.03   kJ / mol Equation (9)
2 V O + 3 C = 2 V C + C O 2 ,   Δ H 1000 ° C = 236 . 28   kJ / mol Equation (10)
2 V C + N 2 = 2 V N + 2 C ,   Δ H 1000 ° C = - 217.36   kJ / mol Equation (11)
C O 2 + C = 2 C O ,   Δ H 1000 ° C = 167.74   kJ / mol Equation (12)
Disclaimer/Publisher’s Note: The statements, opinions and data contained in all publications are solely those of the individual author(s) and contributor(s) and not of MDPI and/or the editor(s). MDPI and/or the editor(s) disclaim responsibility for any injury to people or property resulting from any ideas, methods, instructions or products referred to in the content.

Share and Cite

MDPI and ACS Style

Cui, X.; Yu, J.; Wang, B.; Hu, C.; Zhao, D.; Wu, J.; Yao, X.; Xue, Y. Thermodynamic Study of Production of Vanadium–Nitrogen Alloy and Carbon Monoxide by Reduction and Nitriding of Vanadium Oxide. Processes 2024, 12, 1839. https://doi.org/10.3390/pr12091839

AMA Style

Cui X, Yu J, Wang B, Hu C, Zhao D, Wu J, Yao X, Xue Y. Thermodynamic Study of Production of Vanadium–Nitrogen Alloy and Carbon Monoxide by Reduction and Nitriding of Vanadium Oxide. Processes. 2024; 12(9):1839. https://doi.org/10.3390/pr12091839

Chicago/Turabian Style

Cui, Xiaojie, Jianing Yu, Baohua Wang, Changqing Hu, Dingguo Zhao, Jianwei Wu, Xin Yao, and Yuekai Xue. 2024. "Thermodynamic Study of Production of Vanadium–Nitrogen Alloy and Carbon Monoxide by Reduction and Nitriding of Vanadium Oxide" Processes 12, no. 9: 1839. https://doi.org/10.3390/pr12091839

APA Style

Cui, X., Yu, J., Wang, B., Hu, C., Zhao, D., Wu, J., Yao, X., & Xue, Y. (2024). Thermodynamic Study of Production of Vanadium–Nitrogen Alloy and Carbon Monoxide by Reduction and Nitriding of Vanadium Oxide. Processes, 12(9), 1839. https://doi.org/10.3390/pr12091839

Note that from the first issue of 2016, this journal uses article numbers instead of page numbers. See further details here.

Article Metrics

Back to TopTop