Comparison of Advanced Multivariable Control Techniques for Axial-Piston Pump
Abstract
1. Introduction
2. Plant Uncertainty Modeling
2.1. Plant Description
2.2. Uncertainty Model Identification
3. Advanced Multivariable Controller Design
3.1. Linear Quadratic Controller Design
3.2. H∞ Controller Design
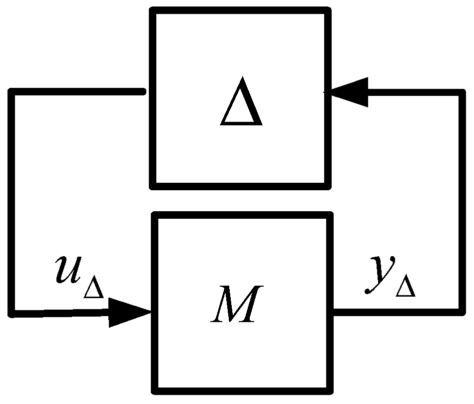
3.3. Robust Stability and Performance Analysis
4. Experimental Study
5. Conclusions
Author Contributions
Funding
Data Availability Statement
Acknowledgments
Conflicts of Interest
References
- Skarpetis, M.G. Automatic Control of Hydraulic Systems; Nova Science Publishers, Inc.: New York, NY, USA, 2023. [Google Scholar]
- Haack, S.; Meißelbach, A.; Bosch Rexroth, A.G. Industrial Hydraulics—Are we really on track concerning Industry 4.0? In Proceedings of the 11th International Fluid Power Conference, Aachen, Germany, 19–21 March 2018. [Google Scholar]
- Zhang, Q.; Kong, X.; Yu, B.; Ba, K.; Jin, Z.; Kang, Y. Review and Development Trend of Digital Hydraulic Technology. Appl. Sci. 2020, 10, 579. [Google Scholar] [CrossRef]
- Lu, W. Review of the Digital Hydraulics Technologies. Master’s Thesis, Politecnico di Torino, Corso di Laurea Magistrale in Ingegneria Meccanica (Mechanical Engineering), Turin, Italy, 2020. [Google Scholar]
- Hershberger, T. Mobile Hydraulics: Challenges and Opportunities: Equipment electrification will lead to an integrated approach. Hydraul. Pneum. 2020, 73, 20–25. [Google Scholar]
- Frankenfield, T. Using Industrial Hydraulics; Rexroth Worldwide Hydraulics; Penton Publishing Inc.: London, UK, 1984. [Google Scholar]
- Ivantysyn, J.; Ivantysynova, M. Hydrostatic Pumps and Motors: Principles, Design, Performance, Modelling, Analysis, Control and Testing; Academia Books International: New Delhi, India, 2001. [Google Scholar]
- Manring, N. Fluid Power Pumps and Motors: Analysis, Design, and Control; McGraw-Hill Education: New York, NY, USA, 2013. [Google Scholar]
- Belan, H.C.; Locateli, C.C.; Lantto, B.; Krus, P.; de Negri, V.J. Digital secondary control architecture for aircraft application. In Proceedings of the Seventh Workshop on Digital Fluid Power, Linz, Austria, 26–27 February 2015. [Google Scholar]
- Tonyan, M. Electronically Controlled Proportional Valves; Marcel Dekker, Inc.: New York, NY, USA, 1985. [Google Scholar]
- Mitov, A.; Kralev, J.; Slavov, T.; Angelov, I. Design of Embedded Control System for Open Circuit Axial Piston Pump. In Proceedings of the 22nd International Symposium on Electrical Apparatus and Technologies, SIELA 2022—Proceedings, Bourgas, Bulgaria, 1–4 June 2022. [Google Scholar]
- Yuan, X.; Chen, Z.; Yuan, Y.; Huang, Y.; Li, X.; Li, W. Sliding mode controller of hydraulic generator regulating system based on the input/output feedback linearization method. Math. Comput. Simul. 2016, 119, 18–34. [Google Scholar] [CrossRef]
- Jerouane, M.; Lamnabhi-Lagarrigue, F. A new robust sliding mode controller for a hydraulic actuator. In Proceedings of the 40th IEEE Conference on Decision and Control, Orlando, FL, USA, 4–7 December 2001. [Google Scholar]
- Abbasimoshaei, A.; Stein, T.; Rothe, T.; Kern, T.A. Design and impedance control of a hydraulic robot for paralyzed people. In Proceedings of the 8th RSI International Conference on Robotics and Mechatronics, ICRoM 2020, Virtual, 19 November 2020. [Google Scholar]
- Zeiger, G.; Akers, A. Dynamic Analysis of an Axial Piston Pump Swashplate Control. Proc. Inst. Mech. Eng. Part C J. Mech. Eng. Sci. 1986, 200, 49–58. [Google Scholar] [CrossRef]
- Feng, Y.; Jian, Z.; Li, J.; Tao, Z.; Wang, Y.; Xue, J. Advanced Control Systems for Axial Piston Pumps Enhancing Variable Mechanisms and Robust Piston Positioning. Appl. Sci. 2023, 13, 9658. [Google Scholar] [CrossRef]
- Kordak, R. Hydrostatic Drives with Control of the Secondary Unit; The Hydraulic Trainer Volume 6; Mannesmann Rexroth GmbH: Lohr am Main, Germany, 1996. [Google Scholar]
- He, W.; Huang, J.; Hao, H.; Quan, L.; Ji, S.; Zhao, B. Design and Analysis of a Swashplate Control System for an Asymmetric Axial Piston Pump. ASME J. Dyn. Sys., Meas. Control 2020, 142, 021005. [Google Scholar] [CrossRef]
- Thomas, T.; Parameshwaran, A.; Sathiyavathi, S.; Vimala, A. Improved Position Tracking Performance of Electro Hydraulic Actuator Using PID and Sliding Mode Controller. IETE J. Res. 2019, 68, 1683–1695. [Google Scholar] [CrossRef]
- Berg, H.; Ivantysynova, M. Design and testing of a robust linear controller for secondary controlled hydraulic drive. Proc. Inst. Mech. Eng. Part I J. Syst. Control Eng. 1999, 213, 375–385. [Google Scholar] [CrossRef]
- Berg, H.; Ivantysynova, M. Robust closed loop speed and angular position control for variable displacement hydraulic motors supplied from a constant pressure mains system. Olhydraulik Pneum. 1999, 43, 405–410. [Google Scholar]
- Zhang, R.; Alleyne, A.; Prasetiawan, E. Modeling and H2/H∞ MIMO control of an earthmoving vehicle powertrain. J. Dyn. Syst. Meas. Control Trans. ASME 2002, 124, 625–636. [Google Scholar] [CrossRef]
- Lennevi, J.; Palmberg, J.-O. Application and implementation of LQ design method for the velocity control of hydrostatic transmissions. Proc. Inst. Mech. Engineers. Part I J. Syst. Control Eng. 1995, 209, 255–268. [Google Scholar]
- Heybroek, K.; Larsson, J.; Palmberg, J.-O. Open Circuit Solution for Pump Controlled. Actuators. In Proceedings of the 4th FPNI-PhD Symposium, Sarasota, FL, USA, 13–17 June 2006; pp. 27–40. [Google Scholar]
- Zhang, P.; Li, Y. Research on Control Methods for the Pressure Continuous Regulation Electrohydraulic Proportional Axial Piston Pump of an Aircraft Hydraulic System. Appl. Sci. 2019, 9, 1376. [Google Scholar] [CrossRef]
- Kemmetmüller, W.; Fuchshumer, F.; Kugi, A. Nonlinear pressure control of self-supplied variable displacement axial piston pumps. Control Eng. Pract. 2010, 18, 84–93. [Google Scholar] [CrossRef]
- Lin, S.; Akers, A. Optimal control theory applied to pressure-controlled axial piston pump design. J. Dyn. Syst. Meas. Control Trans. ASME 1990, 112, 475–481. [Google Scholar] [CrossRef]
- Park, S.; Lee, J.; Kim, J. Robust control of the pressure in a control-cylinder with direct drive valve for the variable displacement axial piston pump. Proc. Inst. Mech. Eng. Part I J. Syst. Control Eng. 2009, 223, 455–465. [Google Scholar] [CrossRef]
- Wei, J.; Guo, K.; Fang, J.; Tian, Q. Nonlinear supply pressure control for a variable displacement axial piston pump. Proc. Inst. Mech. Eng. Part I J. Syst. Control Eng. 2015, 229, 614–624. [Google Scholar] [CrossRef]
- Petkov, P.; Slavov, T.; Kralev, J. Design of Embedded Robust Control Systems Using MATLAB®/Simulink®; IET Control, Robotics and Sensors Series; IET: Stevenage, UK, 2018. [Google Scholar]
- Rexroth Bosch Group. Proportional Directional Valves, Direct Operated, with Electrical Position Feedback as Pilot Control Valve for Control Systems SY(H)DFE; Technical Data Sheet, RE 29016; Rexroth Bosch Group: Lohr am Main, Germany, 2019; Available online: https://www.pressoil.it/share/download/002607600-1615447273bosch-rexroth-vt-dfp-valvola-valve-re29016.pdf (accessed on 14 August 2024).
- Rexroth Bosch Group. Pressure and Flow Control System; Technical Data Sheet, RE 30630; Rexroth Bosch Group: Lohr am Main, Germany, 2015; Available online: https://www.leaderhydraulics.com/wp-content/uploads/2017/07/30630.pdf (accessed on 14 August 2024).
- Plus+1 Controllers MC012-020 and 022. Data Sheet, 11077167, Rev DA; Danfoss: Nordborg, Denmark, 2013.
- Ljung, L. System Identification: Theory for the User, 2nd ed.; Prentice Hall: Upper Saddle River, NJ, USA, 1999. [Google Scholar]
- Mitov, A.; Kralev, J.; Slavov, T. Identification of Variable Displacement Axial-Piston Pump with Proportional Valve Control. AIP Conf. Proc. 2014, 3064, 030008. [Google Scholar]
- Zhou, K.; Doyle, J. Robust and Optimal Control; Prentice Hall International: Upper Saddle River, NJ, USA, 1996. [Google Scholar]
- Mitov, A.; Kralev, J.; Slavov, T. LQG Control of an Open Circuit Axial Piston Pump. Energies 2022, 15, 6800. [Google Scholar] [CrossRef]
- Mitov, A.; Slavov, T.; Kralev, J. Rapid Prototyping of H∞ Algorithm for Real-Time Displacement Volume Control of Axial Piston Pumps. Algorithms 2023, 16, 120. [Google Scholar] [CrossRef]


























| L/min | V | |||
|---|---|---|---|---|
| Loading | LQR | H∞ | LQR | H∞ |
| 2 | 22.8572 | 19.6470 | 3.8577 | 3.4014 |
| 3 | 27.2118 | 25.5429 | 3.4245 | 2.8730 |
| 4 | 30.7123 | 27.5488 | 4.1221 | 3.6266 |
| 5 | 30.6101 | 34.8291 | 6.4099 | 3.4725 |
Disclaimer/Publisher’s Note: The statements, opinions and data contained in all publications are solely those of the individual author(s) and contributor(s) and not of MDPI and/or the editor(s). MDPI and/or the editor(s) disclaim responsibility for any injury to people or property resulting from any ideas, methods, instructions or products referred to in the content. |
© 2024 by the authors. Licensee MDPI, Basel, Switzerland. This article is an open access article distributed under the terms and conditions of the Creative Commons Attribution (CC BY) license (https://creativecommons.org/licenses/by/4.0/).
Share and Cite
Mitov, A.; Slavov, T.; Kralev, J. Comparison of Advanced Multivariable Control Techniques for Axial-Piston Pump. Processes 2024, 12, 1797. https://doi.org/10.3390/pr12091797
Mitov A, Slavov T, Kralev J. Comparison of Advanced Multivariable Control Techniques for Axial-Piston Pump. Processes. 2024; 12(9):1797. https://doi.org/10.3390/pr12091797
Chicago/Turabian StyleMitov, Alexander, Tsonyo Slavov, and Jordan Kralev. 2024. "Comparison of Advanced Multivariable Control Techniques for Axial-Piston Pump" Processes 12, no. 9: 1797. https://doi.org/10.3390/pr12091797
APA StyleMitov, A., Slavov, T., & Kralev, J. (2024). Comparison of Advanced Multivariable Control Techniques for Axial-Piston Pump. Processes, 12(9), 1797. https://doi.org/10.3390/pr12091797

