Abstract
In a hydropower station, equipment needs maintenance to ensure safe, stable, and efficient operation. And the essence of equipment maintenance is a disassembly sequence planning problem. However, the complexity arises from the vast number of components in a hydropower station, leading to a significant proliferation of potential combinations, which poses considerable challenges when devising optimal solutions for the maintenance process. Consequently, to improve maintenance efficiency and decrease maintenance time, a discrete whale optimization algorithm (DWOA) is proposed in this paper to achieve excellent parallel disassembly sequence planning (PDSP). To begin, composite nodes are added into the constraint relationship graph based on the characteristics of hydropower equipment, and disassembly time is chosen as the optimization objective. Subsequently, the DWOA is proposed to solve the PDSP problem by integrating the precedence preservative crossover mechanism, heuristic mutation mechanism, and repetitive pairwise exchange operator. Meanwhile, the hierarchical combination method is used to swiftly generate the initial population. To verify the viability of the proposed algorithm, a classic genetic algorithm (GA), simplified teaching–learning-based optimization (STLBO), and self-adaptive simplified swarm optimization (SSO) were employed for comparison in three maintenance projects. The experimental results and comparative analysis revealed that the proposed PDSP with DWOA achieved a reduced disassembly time of only 19.96 min in Experiment 3. Additionally, the values for standard deviation, average disassembly time, and the rate of minimum disassembly time were 0.3282, 20.31, and 71%, respectively, demonstrating its superior performance compared to the other algorithms. Furthermore, the method proposed in this paper addresses the inefficiencies in dismantling processes in hydropower stations and enhances visual representation for maintenance training by integrating Unity3D with intelligent algorithms.
1. Introduction
As an important part of the power grid [1], hydropower equipment has a complex structure and working principle, making it arduous to maintain and inspect. Thus, it is of paramount importance to improve disassembly efficiency and decrease the disassembly time of hydroelectric equipment by making better and more feasible disassembly decisions. The first and most difficult procedure is disassembly planning [2]. Disassembly is an essential step in the recycling and remanufacturing of industrial products. Favi et al. [3] proposed a design for tool disassembly oriented towards mechatronic product de-manufacturing and recycling. Ramírez et al. [4] developed an economic model for robotic disassembly in end-of-life product recovery. Depending on the different levels of disassembly, it may be divided into complete disassembly and selective disassembly. Kim et al. [5] investigated selective disassembly sequencing with random operation times in parallel disassembly environments. Additionally, Wang et al. [6] discussed selective disassembly planning for end-of-life products, highlighting the importance of sustainable manufacturing practices. Complete disassembly prefers to disassemble more parts from the product for maximum profit. Selective disassembly, on the other hand, only searches the sequence to find a target part with its related parts, for a specific purpose, such as replacing an aged part. Furthermore, disassembly can be classified into sequential disassembly and parallel disassembly due to the different types. Sequential disassembly is a linear process with one operative. In contrast to sequential disassembly, parallel disassembly can reduce time due to the parts being disassembled by different people. Maintenance plays a vital role in the life cycle of hydropower equipment [7,8]. A major thrust of the paper is to discuss approaches and strategies for solving the selective parallel disassembly sequence planning (PDSP) problem of equipment maintenance.
Over the course of the past 20 years, disassembly sequence planning (DSP) research has emerged from the intuitive approach. The main process for obtaining the optimal disassembly sequence or near-optimal disassembly sequence is to define disassembly models and solve them by using intelligent and heuristic algorithms [9]. Disassembly modeling methods [10,11,12,13,14,15,16,17] have been widely applied in the DSP problem. All of these methods are used to represent the relationship between different equipment parts. The constraint relations of different parts are generally expressed by a directed graph and an undirected graph, which is usually used to show the contact relationship of parts. Meanwhile, the AND/OR graph is a method to represent component relations in a product. The Petri net is a very efficient and quantitative graphical method to deal with the DSP problem. In the DSP problem, the computer can recognize and calculate data when the established graphical model is transformed into a mathematical model. Several essential matrices are frequently applied, such as the interference matrix, contact matrix, and connection matrix [18]. The connection matrix represents the connection types between two different parts. The interference matrix and contact matrix reveal the spatial interference and contact relations between parts, respectively.
The PDSP problem can be separated into single-objective and multiple-objective [19]. Their optimization objectives are usually minimum disassembly cost, minimum time spent on disassembly, and maximum profit, etc. Tian et al. [20] used a hybrid graph model and a multilayer chromosome coding method based on a genetic algorithm to obtain the optimal multilayer disassembly sequences. The PDSP problem was solved by a classic algorithm. Xing et al. [21] proposed a waiting strategy based on an ant colony algorithm to eliminate the requirement that manipulators must start and stop their tasks in the work process and the disassembly process was shortened. For the multiple-objective PDSP problem, Tao et al. [22] used a hyper-heuristic algorithm to reduce disassembly time, and improve benefits and disassembly profit. Xia et al. [23] transformed the multiple-objective disassembly into multiple single-objective disassembly, and presented a co-evolution algorithm to obtain the overall optimal multi-objective part disassembly sequence. Ren et al. [24] proposed a discrete artificial bee colony algorithm to find the optimal disassembly task sequence and made disassembly time and profit as optimization objectives. Overall, an increasing number of intelligent algorithms have been widely employed in solving the disassembly sequence planning problem. At the same time, with the development of deep learning [25,26], many intelligent algorithms have surfaced; for example, genetic algorithm [27,28], simplified swarm optimization algorithm [29], artificial bee colony algorithm [30,31], flatworm algorithm [32], grey wolf optimizer [33], combined with models of machine learning to apply to other areas.
All of these intelligent algorithms mentioned above are members of the standard metaheuristics algorithm, which solves problems by mimicking the behavior of biological or physical phenomena. The metaheuristics algorithm is becoming increasingly popular in the engineering application field due to its advantages of simplicity and easy realization. For DSP with a large number of disassembly nodes, it is required that the selected algorithm should find the disassembly sequence with the least disassembly time in a short period. As a novel algorithm, the whale optimization algorithm (WOA) [34,35] is widely proved to have good performance, fast convergence speeds and better balancing capability between the exploration and exploitation phases [36,37]. Research has indicated that the PDSP problem belongs to nondeterministic polynomial complete issues [38], while WOA has been defined for solving continuous space optimization problems. Thus, WOA is introduced and improved to address the discrete space optimization problem in this paper. In recent years, the low-carbon flexible job shop scheduling problem was solved by a discrete whale optimization algorithm (DWOA) [39]. According to the problem of discrete characteristics, modified updating approaches based on the crossover operator are applied to replace the original updating method in the exploration and exploitation phases. Inspired by this strategy, the contributions of this paper are as follows:
- (1)
- A novel discrete whale optimization algorithm (DWOA) was proposed in this paper for solving selective PDSP problems in inlet ball valve hydropower equipment.
- (2)
- DWOA combines the precedence preservative crossover mechanism, heuristic mutation mechanism, and repetitive pairwise exchange operator to solve the selective PDSP problem more efficiently.
- (3)
- Considering the limited final results of selective PDSP’s visual representation, the proposed method is able to enhance visual expression. This enhancement facilitates maintenance training by integrating Unity3D with intelligent algorithms to create visual disassembly software.
The remaining parts of this paper are organized as below: Section 2 illustrates the mathematical disassembly model, objective function, individual generating, and decoding in detail. Section 3 details the contents of the precedence preservative crossover mechanism, heuristic mutation mechanism, and repetitive pairwise exchange operator, the proposed DWOA, optimization strategy, and the specific procedure of the proposed approach. Section 4 demonstrates the proposed approach’s availability by detailing experimental results and analysis. The conclusions are summarized in Section 5.
2. Representation of Disassembly Model
The selective PDSP’s goal is to find disassembly sequences that match the part constraints while taking the least time to disassemble. To meet maintenance needs, this section will introduce an improved directed graph model to digitally express the constraint relationship between equipment parts. Then, three disassembly evaluation metrics are proposed, and parallel disassembly optimization models are established. Finally, a hierarchical combination method is proposed to generate a feasible individual and an initial population.
2.1. Constraint Relationship Model
The directed graph model can be used to express the constraint relationship between equipment parts. However, the expression of the classical directed graph model becomes complicated with the increase in equipment parts. To ensure clarity of expression, a composite node is added to represent the components of a butterfly valve, as shown in Figure 1.
Figure 1.
Improved directed graph of butterfly valve.
Figure 1 is the node constraint diagram of a butterfly valve, showing the priority relationship of the disassembled parts; the purpose of the thick line is to make the image concise. The arrowhead represents the disassembly direction, which means the parts in front of the arrow must be removed first before the parts behind the arrow. The types of nodes in Figure 1 are as follows:
- (1)
- Free nodes: the nodes can be directly disassembled, such as nodes 1, 2, and 6.
- (2)
- Leaf nodes: the nodes such as 13 do not constrain other nodes.
- (3)
- Normal nodes: the nodes that are constrained by some nodes as well as constraining other nodes.
- (4)
- Composite nodes: such as node 8, the composite node does not actually exist. It represents an integral form of its children.
The constraint between two different disassembly nodes can be expressed by a priority constraint matrix (where N is the number of all nodes of the equipment, both node i and node j are disassembly nodes, and value of i and j are smaller than N). Through the method in reference [40], space interference matrix can be acquired by setting the minimum interference distance. The value of and are defined as follows:
2.2. Disassembly Evaluation Metrics
When evaluating the disassembly process using objective metrics, it is essential to include various aspects of the disassembly workload. This includes preparing the necessary materials, conducting the disassembly operations, and accounting for physical consumption, among other factors. Therefore, the disassembly sequence evaluation only needs to consider the different parts. This paper takes basic time (BT), tool change time (T), and position change time (PCT) as the evaluation metrics of the disassembly sequence.
2.2.1. Basic Time
Parts require a specific amount of time to be disassembled from the component. Assuming that the maintenance personnel’s skill level is consistent, the time required to disassemble different types of parts varies, but the disassembly time for the same type of part should be consistent. The basic time can be expressed by a one-dimensional array , which stores the basic disassembly time for each part.
2.2.2. Tool Change Time
The disassembly of the equipment cannot be carried out without tools. When many parts need to be disassembled, the maintenance staff will inevitably change their tools to disassemble the parts from the equipment, consuming and wasting much time. Therefore, it is indispensable to take the T as the evaluation method of the disassembly sequence. Generally speaking, a part of the equipment corresponds to a disassembly tool, and the tool has to change when disassembling different parts. Here, the matrix is used to represent the T. is quantified by querying Table 1. The tool change time is determined by maintenance experience. in toolID represent large tool, medium tool, small tool, complex tool, simple tool and hand, respectively.
Table 1.
The standard for T (s).
If the toolID of part node i is and the toolID of part node j is . Then the equals the value of row and column in Table 1.
2.2.3. Position Change Time
In real maintenance, especially in the maintenance of large equipment in a hydropower station, the maintenance staff spends much time on moving because the distance between the different parts is great. Thus, it is indispensable to use the PCT as the evaluation method for the objective function. However, it is arduous to accurately obtain the distance between each part on the construction site. But 3D [41] software such as Unity3D can be useful in such a situation. An equipment model that is successfully imported into Unity3D will automatically add a transform component, and the component contains a position variable, which represents the position of the model parts in three-dimensional space. For example, the position of part i is and position of part j is . Here, the matrix expressed by Equation (3) is used to represent the PCT between disassembly part node i and disassembly part node j.
where s represents the moving speed of the maintenance staff. The staff moves slowly due to the narrow maintenance environment, thus s is 0.8 m/s.
2.3. Parallel Disassembly Optimization Model
2.3.1. Object Function
PDSP problems are classified into single-objective and multi-objective. In this paper, the PDSP problem belongs to the single-objective optimization problem. Before the objective function is given, a one-dimensional array of disassembly nodes ds and a one-dimensional array of personnel sequence hs must be defined first, representing the disassembly sequence and task assignment of maintenance personnel. When establishing the objective function, the same parts of the disassembly workload have been removed, such as the preparation of necessary materials, disassembly operation, physical consumption, etc. Therefore, the disassembly sequence evaluation only needs to consider the different parts. An objective function F is given by the Equation (4).
where H represents maintenance personnel and r is the maximum personnel number. k is order of part in the disassembly sequence, ds(k) represents nodeID of the kth node in the disassembly sequence. indicates the disassembly end time of the specific maintenance personnel. represents the disassembly end time of the kth node in the disassembly sequence by a specific member of the maintenance personnel while is the disassembly start time. is the basic time of kth node in the disassembly sequence.
Objective function F can minimize the disassembly time of maintenance personnel who have a max disassembly end time. In Equation (5), the disassembly end time consists of the start time and the basic disassembly time of part. will be given in the decoding process of the parallel disassembly sequence. Equation (6) can ensure that there is no disassembly work area conflict among the maintenance personnel.
2.3.2. Parallel Disassembly Individual Generation
Before generating the initial population, it is necessary to obtain feasible solutions satisfying the constraint relation. If the method of random combination is adopted, there will be many nonfeasible solutions that dissatisfy the constraint relation and a few feasible solutions with the increasing number of nodes. The nonfeasible solutions can be removed, and the feasible solutions will be saved, but their efficiency will be low. Therefore, the hierarchical combination method is used to complete the generation of a feasible solution. In this paper, two-stage coding is used to generate parallel disassembly individuals, and . Assume that L is the target disassembly node array, and l is the current disassembly node array. Specific individual generation steps are shown in Figure 2, and the detailed information of the steps are as follows:
Figure 2.
The flow chart of individual generation.
Step 1: Set the target disassembly node array L, set the current disassembly node array l, disassembly sequence ds, personnel sequence hs and the number of maintenance personnel r.
Step 2: To generate the corresponding matrices, the process begins with defining a constraint matrix C, where each element cij is set to 1 if node j must be disassembled before node i, and 0 otherwise. Initially, the target disassembly node array L includes nodes with no preceding constraints. During the matrix update process, the columns in C corresponding to the nodes in L are retrieved, and nodes with a value of 1 in these columns are updated to l. Subsequently, these columns in C are reset to 0. This iterative process continues until l is empty and L is updated accordingly each time.
Step 3: Let L = l. Put the random array of elements in l on the rightmost side of ds.
Step 4: Judge whether the array l is empty. If yes, go to step 5. Otherwise go to step 2.
Step 5: Randomly generate hs with the same length as ds according to r.
Step 6: Output the final individual X.
The hierarchical combination method for the butterfly valve equipment example is illustrated in Figure 3. A partial constraint matrix of size 8 × 8 is derived from the butterfly valve’s parts. Assume that composite node 8 will be disassembled, then search the column for 8. If the value in the column is 1, it indicates that the corresponding row nodes should be disassembled first. In this case, nodes 5 and 7 must be disassembled before node 8, so node 8 is placed in the L and randomly generates H = 1. Then retrieve columns 5 and 7, and find that columns 5 and 7 point to nodes 3, 4 and nodes 1, 2, 6, respectively. So put 5 and 7 nodes in l2 first, retrieving columns 1, 2, 3, 4, and 6. Retrieve these columns and find that they have no constraint anymore, so put the 1, 2, 3, 4, and 6 nodes into the l1. Finally, to acquire node 8, all the nodes that need to be disassembled are placed in l1, l2, and L, respectively. To obtain the different individual sequences of the initial populations, the nodes in these three levels are randomly scattered and arranged. At last, three levels are placed into the disassembly sequence array ds in order. The same goes for three randomly generated arrays h1, h2, and H. The initial population of the individuals satisfying the constraint relation can be quickly obtained through this repeated operation.
Figure 3.
Hierarchical combination method.
2.3.3. Individual Decoding
Due to part constraints and spatial interference, multiple maintenance personnel will have problems in parallel disassembly. Therefore, considering the different situations, can be given as follows below:
where P represents the position change time. TW represents the maximum disassembly time in the interfering array. Specific individual decoding steps are shown in Figure 4, and detailed information of steps are as follows:
Figure 4.
The flow chart of individual decoding.
Step 1: Define FC as the disassembled parts array, empty array FC, and set the personnel number H = 1;
Step 2: According to the parallel disassembly individual X, determine the disassembly parts ds(k) of the current disassembly personnel H.
Step 3: Determine whether the part ds(k) has constraints; if not, go to step 4; otherwise go to step 5.
Step 4: Calculate the end time and start time by Equation (5) and Equation (7), respectively. If Equation (8) is satisfied, put ds(k) into FC to perform step 7. Otherwise, go to step 6.
Step 5: Judge whether the priority parts of ds(k) are in FC, and if so, proceed to step 6. Otherwise, replace H with the next maintenance personnel number and go to step 3.
Step 6: Calculate the end time and the start time by Equation (5) and Equation (8), respectively, and ds(k) is placed in array FC.
Step 7: If the disassembly task of H has been completed, the person stops the dismantling. Otherwise, k = k + 1.
Step 8: When the end time of all parts in the ds are calculated, go to step 9. Otherwise go to step 2.
Step 9: Decoding completed.
3. PDSP with DWOA
The standard whale algorithm performs a global search in the early stage and a local search later. Its advantages include fast convergence speed, strong local search ability, and excellent global search ability. However, the whale algorithm has limitations, as it may become trapped in local optima and struggle to escape from them. In contrast, the genetic algorithm possesses the capability to break free from local optima and enhance global search ability through its mutation operation. Drawing inspiration from the genetic algorithm, a new approach named the discrete whale algorithm is proposed, integrating the mutation mechanism from the genetic algorithm. This innovative approach is applied to the PDSP problem with the goal of addressing the traditional whale algorithm’s limitations and enhancing its overall performance. Inspired by the genetic algorithm, a new discrete whale algorithm combined with a genetic algorithm mutation mechanism is proposed and applied to the PDSP problem.
3.1. Precedence Preservative Crossover Mechanism
For the new initial population, the time of disassembly is different because of randomly generated individuals. Therefore, it is indispensable to use the objective function to evaluate each individual and determine the individual with the lowest disassembly time as the current optimal solution. Meanwhile, the current optimal solution can also change the order of nodes and may become a better solution. In past research, the crossover mechanism in the genetic algorithm is usually used to generate a better solution by selecting two excellent parents for cross calculation. But when the partially matched crossover of GA selects two individuals, P1, P2, from the populations, new offspring can be generated by exchanging the nodes from P1 and P; the new offspring may not be feasible for satisfying the solution of the constraint relations in the DSP problem. The partially matched crossover will be very complicated because of the filter. Therefore, a precedence preservative crossover (PPX) mechanism for ds is proposed to solve this problem, as shown in Figure 5.
Figure 5.
PPX mechanism of ds.
The butterfly valve is taken as an example in the above figure. The two male parents that are extracted from the generated initial population are Father1 = [6,1,4,2,3,5,7,8] and Father2 = [3,4,2,6,1,7,5,8], respectively, and all of them satisfy the constraint relation between nodes. In Figure 5, p represents a random variable between 0 and 1, If p is greater than 0.5, select a node from Father2. If p is less than 0.5, the node will be selected from Father1 to generate a child individual. When p = 0.81 > 0.5 and p = 0.63 > 0.5, the first nodes 3 and 4 are selected from Father2 and stored in Child. Meanwhile, the rest of the 3 and 4 nodes will be deleted in both Father1 and Father2. Then p = 0.12 < 0.5, node 1 from Father1 is selected and stored in Child. Next p = 0.91 > 0.5, save 6 in order from Father2. When p = 0.09, 0.25 and 0.32 < 0.5, select nodes 2, 5, and 7 in Father1 in turn and store them in offspring. Finally, p = 0.87 > 0.5, node 8 from Father2 is stored in the Child, and the Child = [3,4,1,6,2,5,7,8], ensuring the constraint relationship is generated.
In parallel disassembly, it is also necessary to cross the maintenance personnel sequence hs. Because there is no constraint on the sorting of maintenance personnel, so the cross of hs is shown in Figure 6.
Figure 6.
Crossover of hs.
Similarly, taking the above butterfly valve equipment as an example, rand in Figure 6 is a random 0–1 array. Select two male parents from the population as Father1 and Father2. When the rand value is 1, select the personnel number from Father1 to place in the same position as the Child. When the rand value is 0, the personnel number is chosen from Father2. A complete offspring of an individual Child can be gained eventually.
3.2. Whale Optimization Algorithm
The whale optimization algorithm (WOA) is a novel nature-inspired meta-heuristic optimization algorithm that mimics the social behavior of humpback whales, and it includes the mathematical model of the spiral bubble-net feeding maneuver, encircling prey, and searching for prey. The WOA is very competitive compared to other meta-heuristic algorithms because it relies on rather simple concepts and it is easy to implement. This mathematical model of encircling prey means the whale can identify the location of the prey and surround them. When the optimal disassembly sequence is not searched, it is assumed that the current optimal whale is the closest individual to the prey. The other whales will update their positions based on the current optimal whale. This behavior can be represented as follows:
where t is the current iteration, indicates the position vector, represents the position vector of the current optimal solution obtained so far, indicates an element-by-element multiplication and | | is the absolute value. In the process of iteration, and are coefficient vectors, is linearly decreased from 2 to 0 throughout iterations and is a random vector in [0, 1].
In addition to encircling prey, humpback whales also search for prey. In WOA, it is easy to fall into the local optimum if the optimal solution is continuously searched and approached. Therefore, to jump out of the local optimum, the algorithm needs to make a whale randomly close to the position of other whales in each iteration, rather than the whale close to the optimal position. This process can be expressed as follows:
Except for encircling prey and searching for prey, humpback whales will expel bubbles according to the spiral route to drive prey together and eventually devour prey. This strategy is the bubble-net culling strategy, and according to the above three predatory strategies, the whole process can be defined by Equation (15).
where refers to the position of any whale in the current population, represents the distance between the current optimal solution and other solutions, b is a constant used to define the logarithmic spiral shape, l is an arbitrary constant between [−1, 1], and p is an arbitrary constant between [0, 1]. It is not difficult to see from the formula that WOA has two random behaviors in the optimization operation. One is searching for prey in a straight line, and the other is the behavior of hunting in a spiral bubble network. The probability between them is 50%. During the prey searching stage, the whale algorithm is determined by A to choose whether to search for prey, and A decreases linearly from 2 to 0. Therefore, in the early stage, WOA conducts a global search to avoid falling into local optimum prematurely, and in the later stage, it accelerates the convergence to conduct a local search. The above is the core step of WOA.
3.3. Discrete Whale Optimization Algorithm
In the PPX mechanism, the premise of generating offspring is to determine the parent individual, which must be greater than two. In DWOA, three parent individuals need to be determined. They are the disassembly sequence individual with the best fitness value and the minor disassembly time in the current iteration, the randomly selected individual , and the array G of the first B cells that sort the population from small to large at the time of disassembly. Finally, this novel update mechanism within DWOA is shown in Equation (16).
where refers to the next generation of the current iteration, namely the offspring individual. f () is a disassembly sequence that selects nodes from the parent and generates offspring using the PPX mechanism; the length of the cell array G is determined by B, which is expressed as follows:
where is the population size, t is the iteration number, is the maximum value of iteration, and [] is the integer where all decimals are omitted, B is a variable that decreases to 1 with the increase in iterations. Thus, the pseudo-code of DWOA can be expressed as follows:
| DWOA |
| 1 Set t to 0, Np, the number of iterations tmax 2 Using hierarchical combination to initiate Np individuals X and define N 3 While (t is smaller than tmax) 4 For i = 0 to Np 5 Calculate each solution cost F[i] 6 End for 7 Sort array F and update X from low cost to high cost 8 Find the lowest cost F [1] and X{1} 9 Let X* = X{1} 10 Generate a random feasible sequence Xrand based on hierarchical combination 11 Update B by the Formula (16) and let arraylist G = X{1 to B} 12 For1 i = 0 to (0.45 × Np) 13 For2 j = 1 to N 14 Update a, A, and p 15 If1 (p < 0.5) 16 If2 (|A| < 1) 17 Push the leftmost element of X* to Child based on PPX 18 Else if2 (|A| ≥ 1) 19 Push the leftmost element of Xrand to Child based on PPX 20 End if2 21 Else if1 (p ≥ 0.5) 22 Randomly select G{rand} and Push the leftmost element to Child 23 End if1 24 End for2 25 Calculate the cost Fc of Child 26 If3 (Fc < F [1]) 27 Update X{i + 0.55 × Np} with Child 28 End if3 29 End for1 30 End while |
3.4. Heuristic Mutation Mechanism
The crossover method can generate a new excellent individual, but the cross randomness is too strong, taking a long iteration to produce a better individual. Therefore, to enhance the local search ability of the algorithm, the mutation mechanism in GA is eventually introduced. But the classic mutation of GA changes the node’s value in the disassembly sequence, which makes the disassembly sequence not conform to the constraint relation, and the disassembly sequence will be discarded. Therefore, the mutation of ds for equipment maintenance should not produce new nodes but only mutate the location of the disassembly nodes. Generally speaking, the way to change the location of nodes can be to randomly select two nodes and judge whether the exchange suits the constraint relation. When the constraint relation is satisfied, a selected node will insert other locations in the sequence. Both methods can generate new feasible solutions without breaking the feasibility of the disassembly sequences. However, the randomness of these two methods is too strong. The time of the new sequence may be better or worse. Thus, establishing a heuristic mutation (HM) mechanism to find the optimal insertion position helps enhance the algorithm’s local convergence ability.
First, taking the butterfly valve as an example to mutate ds as shown in Figure 7. First, a disassembly sequence Ds is possessed by an individual X during an iteration. If node 5 is selected as a mutation part, the row and column of 5 are retrieved in constraint matrix C, and nodes 3, 4, and 8 that constrain node 5 are found as StartNode and EndNode, respectively. Then node 5 is inserted into the location indicated by the arrow as shown in the figure, and the disassembly end time of each location change is calculated. If there is a smaller disassembly time, the new location of node 5 is saved to obtain excellent offspring.
Figure 7.
HM mechanism of ds.
As shown in Figure 8, parallel disassembly also requires the mutation of hs. Similarly, a personnel sequence Hs is gained from an individual X during an iteration. A mutation node 2 is selected, and the node is mutated into the number of other maintenance personnel. Afterwards, the end time of each individual is calculated accordingly. The one with the smallest end time of disassembly is saved as the offspring.
Figure 8.
HM mechanism of hs.
In order to make the mechanism more clear, the pseudo-code of HM is described in detail below:
| HM |
| 1 Get N, Np, X 2 Set mutation number Nm to 0.5 × Np 3 For i = 0 to Np 4 Calculate each solution cost F[i] 5 End for 6 Sort array F and update X from low cost to high cost 7 For1 i = 0 to Nm 8 Randomly select an individual seq from X with high cost 9 Randomly select the Mp-th node seq(Mp) 10 The seq(Mp) row of the constraint matrix is checked and the column nodes with a value of 1 are recorded as the EndNode set. 11 The seq(Mp) column of the constraint matrix is checked and the row nodes with a value of 1 are recorded as the StartNode set. 12 If StartNode and EndNode are empty 13 Set StartNode to 0, and set EndNode to N + 1 14 End if 15 For2 i = 1 to EndNode-StartNode-1 16 Insert node seq(Mp) into seq(i) and store the new X in arraylist H 17 Calculate each solution cost F[i] in H 18 End for2 19 Sort array F and update H from low cost to high cost 20 Find the Hbest with the lowest cost 21 Update X{i + 0.5 × Np} with Hbest 22 End for1 |
3.5. Repetitive Pairwise Exchange Operator
The repetitive pairwise exchange (RPX) is a fast search operator for each disassembly sequence that is better than its predecessor, and it can be used for any position in the calculation process. The primary mechanism of RPX is to check the neighboring nodes in the sequence. If adjacent nodes can be exchanged and the exchanged disassembly sequence is better, then the location of the two nodes will be swapped. In this way, a round-trip exchange optimization is carried out from the head node to the tail node of the disassembly sequence and then from the tail node to the head node. This operator is clearly described as follows:
| RPX |
| 1 Get N, Np, X 2 Set exchange number Ne 3 For i = 1 to Np 4 Calculate each solution cost F[i] 5 End for 6 Sort array F and update X from low cost to high cost 7 For1 i = 1 to Ne 8 S is the solution of X{i}, FS is the solution cost 9 For2 j = 1 to N − 1 10 If1 node S[j + 1] can be disassembled before the S[j] 11 If2 the FS is smaller after exchanging the S[j + 1] and S[j] 12 Exchange the S[j + 1] and S[j] 13 End if2 14 End if1 15 End for2 16 For3 j = N to 2 17 If3 node S[j] can be disassembled before the S[j − 1] 18 If4 the FS is smaller after exchanging the S[j] and S[j − 1] 19 Exchange the S[j] and S[j − 1] 20 End if4 21 End if3 22 End for3 23 End for1 |
4. Experiments
This section shows experimental studies for verifying the proposed model, and mainly includes the experimental design and experimental studies.
4.1. Experimental Design
Hydropower station plays a crucial role in safe and stable power system operation [42,43]. This paper takes a ball valve from a hydropower station as a case study for the evaluation of the proposed approach. Based on the blueprint information, a three-dimensional model of the inlet ball valve is built using SolidWorks. The basic structure of the ball valve shown in Figure 9 includes the bypass pipes, upper pipes, downstream pipes, base, valve body, and various fasteners.
Figure 9.
Structure of inlet ball valve.
During long-term operation, the upper maintenance seal and downstream working seal of the inlet ball valve have problems of sealing clearance expansion and age-related wear to the sealing components. Therefore, the upper maintenance seal and downstream working seal need to be replaced when the ball valve loses sealing function. To complete maintenance, the following three cases need to be considered:
Case 1: disassembling bypass pipes. Bypass pipes consist of bypass pipe, hydraulic valve, hand valve, and bolt and nut fasteners. They connect upper pipes with downstream pipes. Thus, the bypass pipes must be disassembled before the upper pipes, and downstream pipes. Each part is coded as a node, and the detailed information about these parts is shown in Table A1 of the Appendix A. All parts have to be disassembled.
Case 2: replacing the maintenance seal. The sealing ring surface of the upper pipes will be damaged because of high pressure and high-speed water over long-term operation; if the seal leakage of the ball valve increases due to severe damage to the sealing ring surface, the maintenance seal must be replaced. The parts information for the upper pipes is given in Table A2. NodeID 38 is selected as the target part.
Case 3: replacing the working seal. The working seal in the downstream pipes will also be damaged during operation, like the maintenance seal, and needs to be replaced. The parts information for the downstream pipes is shown in Table A3, and nodeID 59 is selected as the target part.
Then, use these projects to test the performance of each algorithm. In the test, every algorithm is executed 100 times. The population size Np, iteration times t, final solution disassembly time maximum MAX, minimum MIN, average AVG, standard deviation STD, rate of minimum ROM and average run time T are given in the results.
All experiments are conducted using Matlab on a PC equipped with an Intel Core i5-6300 processor running at 2.4 GHz with four cores and 16 GB of memory, and experiments are as follows:
Experiment 1: DWOA is used to solve the Cases 1–3 and the parallel disassembly Gantt chart of the three cases is given.
Experiment 2: the effects of HM and RPX on the convergence rate, optimization ability, and algorithm stability of DWOA are tested in Cases 1–3, respectively.
Experiment 3: DWOA is compared with GA, STLBO, and SSO in Cases 1–3, respectively, to observe the advantages of DWOA.
4.2. Experimental Studies
4.2.1. Experiment 1
To replace the upper maintenance seal and downstream working seal, the proposed DWOA combined with HM and RPX is used to solve the above three cases. Set the maximum personnel number r = 2. With DWOA executed 100 times, the results of Experiment 1 are shown in Table 2.
Table 2.
The results of Experiment 1.
To make the disassembly process clearer, the parallel disassembly Gantt charts of the three cases are shown in Figure 10. In each case, the abscissa represents the disassembly time, the ordinate represents the maintenance personnel, and the rows corresponding to the operator represent the sequence to be disassembled. Moreover, the number in the rectangle represents the part number, the rectangle length represents the basic disassembly time of the parts, and the blank area means the tool change time, position change time, and the time to wait due to space interference.

Figure 10.
The disassembly Gantt charts of DWOA in Case 1, Case 2 and Case 3.
4.2.2. Experiment 2
To prove the effectiveness of HM and RPX on DWOA, four DWOA-based algorithms are given, for which Nm is the number of mutations, and the maximum personnel number r is set to 2.
DWOA-B: the basic DWOA in this paper. Different from the classic whale optimization algorithm, DWOA needs to meet the PPX mechanism first.
DWOA-RPX: the basic DWOA with RPX and set the number of exchanges to 20.
DWOA-HM: the basic DWOA with HM and set the mutation number Nm to half the population size Np.
DWOA-HM-RPX: the basic DWOA with HM and RPX, and the settings of HM and RPX remain unchanged.
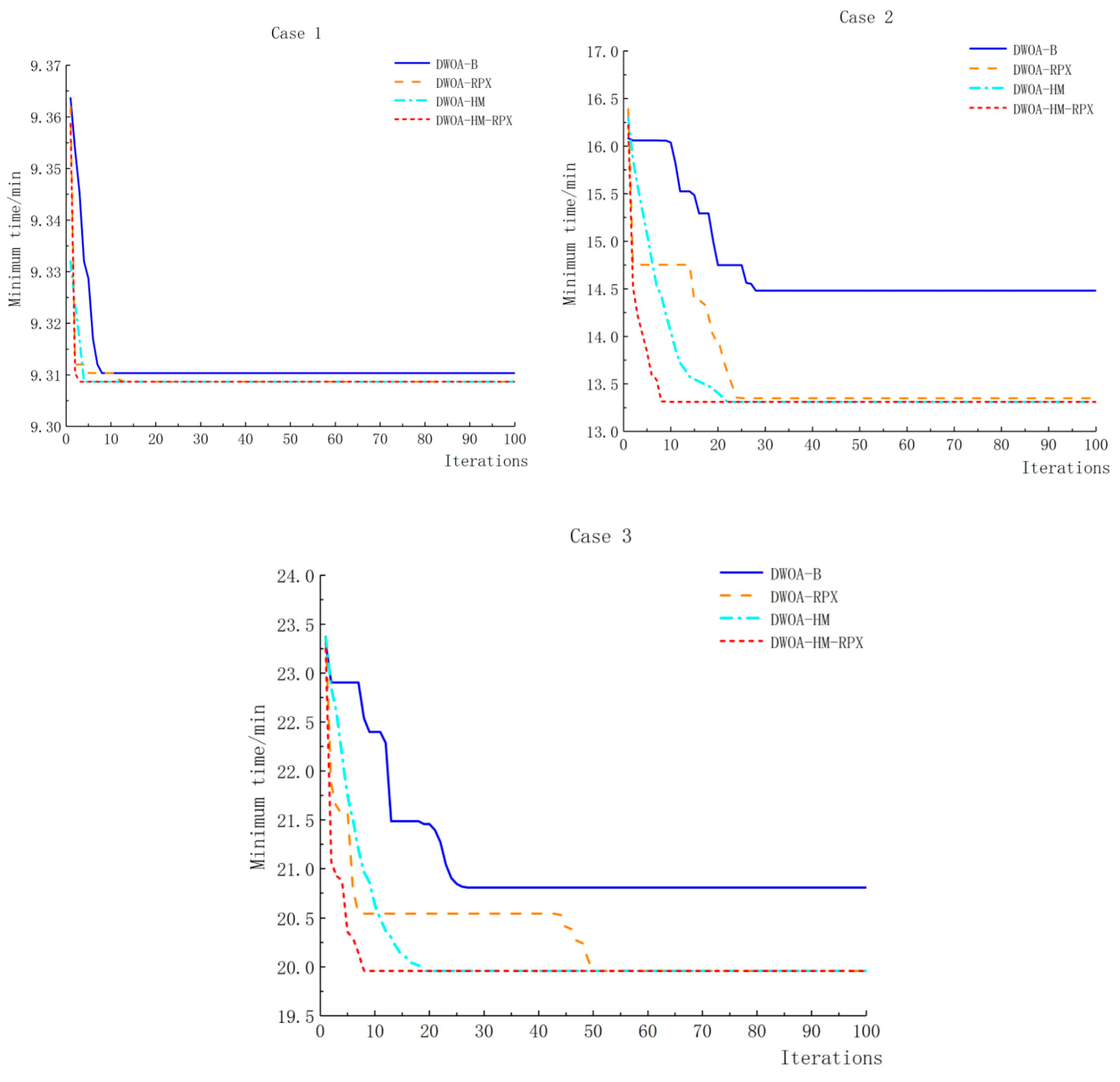
After the algorithms are executed 100 times, the results of Experiment 2 are shown in Table 3, where “-” means that the algorithms do not find the solution within the minimum time. DWOA with RPX and HM obtains the minimum disassembly time in all three cases, which are 9.308 min, 13.31 min, and 19.96 min, respectively. In Case 1, the DWOA with RPX or HM takes the minimum disassembly time, which indicates that both methods, HM and RPX, can enhance the optimization ability of DWOA. The AVG and STD of DWOA with RPX and HM are lower than the DWOA with RPX or HM, which prove that the DWOA adding HM and RPX can achieve better results. Meanwhile, compared with the DWOA with RPX or HM, ROM of DWOA with RPX and HM is 64%, which is 49% and 38% higher than DWOA with RPX and DWOA with HM, respectively. In addition, the proposed DWOA with RPX and HM is better than basic DWOA in the aspects of MAX, MIN, AVG, STD, ROM. Although the average run time T is smaller than the proposed method, final solution disassembly maximum and minimum times are better than basic DWOA, which prove the enhancement of the proposed DWOA with RPX and HM in the PDSP problem. Similarly, in Case 2 and Case 3, when DWOA adds HM and RPX, the STD values are 0.1972 and 0.3282, and the ROM values are 95% and 71%, respectively. Compared with the other three algorithms, STD is smaller and ROM is larger.
Table 3.
The results of Experiment 2.
Moreover, DWOA with HM and RPX can both find the optimal value earlier, as shown in Figure 11. It can be verified that HM and RPX have significantly improved the convergence speed and optimization stability of the DWOA, and the optimization effect is excellent; however, it may be more time-consuming.
Figure 11.
The convergence curves of four DWOA-based algorithms in Case 1, Case 2 and Case 3.
4.2.3. Experiment 3
To demonstrate the effectiveness of DWOA (parallel with HM, RPX), Experiment 3 compares the genetic algorithm (GA) [44], simplified swarm optimization (SSO) [45] and simplified teaching-learning-based optimization (STLBO) [46] with DWOA.
The details of the above four algorithms are as follows:
GA: the classic genetic algorithm based on the mechanism of PPX, the crossover rate is 45%, and the mutation rate is 10%.
STLBO: based on the PPX mechanism, there are no parameters that need to be set because its parameters are calculated in real-time.
SSO: the probabilities of the nodes in the local best solution, the random solution, the global best solution, and the new solution generated from the current solution are controlled by self-adaptive parameters.
DWOA: the set is the same as the DWOA-HM-RPX in Experiment 2.
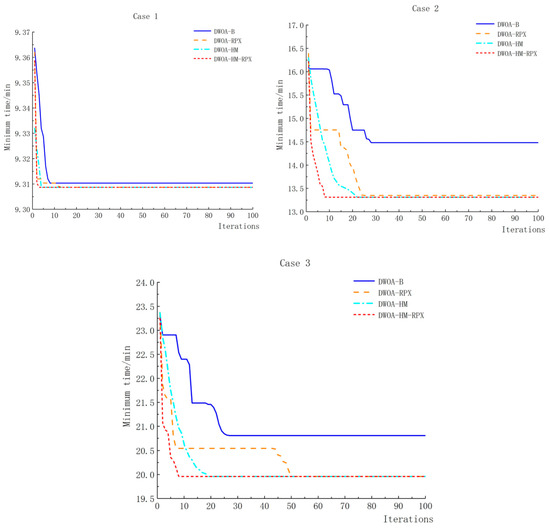
The results of Experiment 3 are listed in Table 4. Four algorithms are executed 100 times as in Experiment 2. In Case 1, all algorithms obtain the best solution with the time of 9.308 min when the length of a sequence is 27. Both DWOA and SSO have more than a 40% rate of obtaining the best time in 100 runs, while STLBO and GA only have 39% and 9%, respectively. In Case 2, the length of a sequence is 38. Two algorithms obtain the best solution with the time of 13.31 min except for GA and STLBO. With the increase in the disassembly sequence, the stability of GA and STLBO may not be strong. In Case 3, the length of the disassembly sequence is 59. DWOA obtains the minimum disassembly time of 19.96 min and the values of STD and AVG are smaller than other algorithms, which are 0.3282 and 20.31, respectively. The ROM in DWOA is 71%, which is larger than other algorithms. For a random optimization algorithm, the ROM value represents the possibility of finding the minimum disassembly time. The ROM of DWOA is higher than other algorithms, so DWOA can obtain the minimum disassembly time compared with other algorithms in one run time.
Table 4.
The results of Experiment 3.
The optimal image data obtained by the four algorithms for minimum disassembly time is shown in Figure 12, which indicates that DWOA with HM and RPX could find the optimal value earlier than the other algorithms. In all cases, GA and STLBO are worse than SSO and DWOA because GA and STLBO have no local optimization operators such as HM and RPX. The SSO’s rate of offspring nodes keeps changing during iteration. Overall, the proposed DWOA has stronger stability and faster convergence speed.
Figure 12.
The convergence curves of four algorithms in Case 1, Case 2 and Case 3.
5. Conclusions
This paper proposed a novel discrete whale optimization algorithm (DWOA) method for solving selective PDSP problems in inlet ball valve hydropower equipment. Firstly, the precedence constraint relationship of equipment components was expressed based on an improved directed graph. Then the disassembly time was chosen as the optimization objective, and the objective function was constructed from the three metrics: basic time, tool change time, and position change time. Following that, the approach of hierarchical combination was proposed to generate the initial population more quickly. Eventually, DWOA combining HM and RPX was proposed. HM and RPX could make DWOA achieve better exploration and exploitation capacity. Experiment 1 displayed the final parallel disassembly sequences for three cases. Experiment 2 validated the functions of HM and RPX. In Experiment 3, the comparative experimental results revealed that the optimization ability and convergence rate of DWOA were better than other algorithms, including GA, STLBO and SSO.
Meanwhile, the DWOA algorithm handled resource constraints and parallel disassembly processes, highlighting its potential for real-world applications in selective PDSP scenarios. Furthermore, the DWOA algorithm could help reduce waste and improve resource utilization by enhancing the efficiency and accuracy of disassembly sequence planning. Future research directions could focus on enhancing the algorithm’s robustness and scalability, exploring its applicability to larger and more complex PDSP problems.
In addition, the final results of the selective PDSP’s visual representation was limited, and the disassembly process could not be displayed. Therefore, the maintenance staff had to have specific operational experience to complete the maintenance task. Combining Unity3D with intelligent algorithms to create a visual disassembly software could enhance the visual expression for maintenance training, which would be very practical in the future. Although the proposed method could achieve satisfactory results, the optimization time of DWOA was increased by the number of disassembled parts. Hence, seeking more intelligent optimization algorithms to improve the efficiency of PDSP will be the focus of future research.
Author Contributions
Conceptualization, Z.Z. and L.Z.; methodology, Z.Z.; software, W.F.; validation, J.Q., M.Z. and R.A.; formal analysis, W.F.; investigation, L.Z.; resources, J.Q.; writing—original draft preparation, Z.Z. and L.Z.; writing—review and editing, W.F.; visualization, R.A.; supervision, Z.Z.; project administration, Z.Z. and L.Z.; funding acquisition, Z.Z. All authors have read and agreed to the published version of the manuscript.
Funding
This work was funded by the State Grid Shandong Electric Power Research Institute Independent Research Project “Research on Remote State Assessment and Support Power Grid Capability of Pumped Storage Power Station” (No. ZY-2024-11).
Data Availability Statement
Data are contained within the article..
Conflicts of Interest
The authors declare no competing interests.
Appendix A
Figure A1.
Improved directed graph of bypass pipes.
Figure A2.
Improved directed graph of upper pipes.
Figure A3.
Improved directed graph of downstream pipes.
Table A1.
The parts information of bypass pipes.
Table A1.
The parts information of bypass pipes.
| NodeID | ToolID | X | Y | Z | Basic Time (s) |
|---|---|---|---|---|---|
| 1 | 1 | 1.60 | 7.80 | 1.44 | 30 |
| 2 | 1 | 2.78 | 7.60 | 1.25 | 45 |
| 3 | 3 | 2.77 | 7.36 | 1.02 | 25 |
| 4 | 3 | 2.81 | 7.51 | 0.95 | 25 |
| 5 | 3 | 2.91 | 7.38 | 1.08 | 25 |
| 6 | 3 | 2.74 | 7.31 | 1.15 | 25 |
| 7 | 3 | 2.64 | 7.43 | 1.03 | 25 |
| 8 | 3 | 2.81 | 7.42 | 0.87 | 25 |
| 9 | 3 | 2.91 | 7.30 | 1.00 | 25 |
| 10 | 3 | 2.74 | 7.23 | 1.07 | 25 |
| 11 | 3 | 2.64 | 7.35 | 0.95 | 25 |
| 12 | 2 | 2.77 | 7.38 | 1.01 | 15 |
| 13 | 2 | 2.81 | 7.47 | 0.91 | 15 |
| 14 | 2 | 2.91 | 7.35 | 1.03 | 15 |
| 15 | 2 | 2.73 | 7.27 | 1.11 | 15 |
| 16 | 2 | 2.63 | 7.40 | 0.98 | 15 |
| 17 | 0 | −2.57 | 7.12 | 0.86 | 45 |
| 18 | 0 | 2.77 | 6.97 | 0.63 | 25 |
| 19 | 3 | 2.81 | 7.09 | 0.54 | 25 |
| 20 | 3 | 2.74 | 6.89 | 0.73 | 25 |
| 21 | 3 | 2.91 | 6.97 | 0.66 | 25 |
| 22 | 3 | 2.64 | 7.02 | 0.61 | 25 |
| 23 | 2 | −2.54 | 7.04 | 0.49 | 15 |
| 24 | 2 | 2.81 | 7.04 | 0.49 | 15 |
| 25 | 2 | 2.91 | 6.92 | 0.62 | 15 |
| 26 | 2 | 2.74 | 6.85 | 0.69 | 15 |
| 27 | 2 | 2.63 | 6.97 | 0.56 | 15 |
Table A2.
The parts information of upper pipes.
Table A2.
The parts information of upper pipes.
| NodeID | ToolID | X | Y | Z | Basic Time (s) | NodeID | ToolID | X | Y | Z | Basic Time (s) |
|---|---|---|---|---|---|---|---|---|---|---|---|
| 1 | 3 | 3.65 | 5.96 | −0.39 | 25 | 27 | 4 | −1.76 | 4.40 | −0.69 | 30 |
| 2 | 3 | 3.59 | 7.35 | −0.53 | 25 | 28 | 4 | −1.76 | 4.41 | −0.07 | 30 |
| 3 | 3 | 3.59 | 7.00 | −1.32 | 25 | 29 | 4 | −1.76 | 4.64 | 0.49 | 30 |
| 4 | 3 | 3.59 | 6.25 | −1.75 | 25 | 30 | 4 | −1.76 | 5.08 | 0.93 | 30 |
| 5 | 3 | 3.59 | 5.39 | −1.66 | 25 | 31 | 4 | −1.76 | 5.65 | 1.16 | 30 |
| 6 | 3 | 3.59 | 4.75 | −1.08 | 25 | 32 | 4 | −1.76 | 6.27 | 1.16 | 30 |
| 7 | 3 | 3.59 | 4.57 | −0.24 | 25 | 33 | 4 | −1.76 | 6.84 | 0.92 | 30 |
| 8 | 3 | 3.59 | 4.92 | 0.51 | 25 | 34 | 4 | −1.76 | 7.28 | 0.49 | 30 |
| 9 | 3 | 3.59 | 5.67 | 0.97 | 25 | 35 | 4 | −1.76 | 7.52 | −0.08 | 30 |
| 10 | 3 | 3.59 | 6.53 | 0.88 | 25 | 36 | 1 | −1.92 | 5.91 | −0.26 | 60 |
| 11 | 3 | 3.59 | 7.17 | 0.30 | 25 | 37 | 1 | −1.42 | 5.96 | −0.39 | 45 |
| 12 | 3 | 3.59 | 5.96 | −0.39 | 15 | 38 | 1 | −1.29 | 5.96 | −0.39 | 45 |
| 13 | 3 | 3.59 | 7.35 | −0.53 | 15 | 39 | 1 | −1.19 | 5.95 | −0.41 | 45 |
| 14 | 3 | 3.59 | 7.00 | −1.32 | 15 | 40 | 6 | −1.19 | 5.95 | −0.41 | 10 |
| 15 | 3 | 3.59 | 6.25 | −1.75 | 15 | 41 | 6 | −1.21 | 7.21 | −0.46 | 10 |
| 16 | 3 | 3.59 | 5.39 | −1.66 | 15 | 42 | 6 | −1.21 | 7.01 | −1.09 | 10 |
| 17 | 3 | 3.59 | 4.75 | −1.08 | 15 | 43 | 6 | −1.21 | 6.53 | −1.53 | 10 |
| 18 | 3 | 3.59 | 4.57 | −0.24 | 15 | 44 | 6 | −1.21 | 5.89 | −1.67 | 10 |
| 19 | 3 | 3.59 | 4.92 | 0.54 | 15 | 45 | 6 | −1.21 | 5.27 | −1.47 | 10 |
| 20 | 3 | 3.59 | 5.67 | 0.97 | 15 | 46 | 6 | −1.21 | 4.83 | −0.99 | 10 |
| 21 | 3 | 3.59 | 6.53 | 0.88 | 15 | 47 | 6 | −1.21 | 4.69 | −0.36 | 10 |
| 22 | 3 | 3.59 | 7.17 | 0.30 | 15 | 48 | 6 | −1.21 | 4.89 | 0.26 | 10 |
| 23 | 1 | 3.65 | 5.96 | −0.39 | 45 | 49 | 6 | −1.21 | 5.37 | 0.70 | 10 |
| 24 | 4 | 1.82 | 5.96 | −0.39 | 30 | 50 | 6 | −1.21 | 6.00 | 0.84 | 10 |
| 25 | 4 | 2.07 | 7.54 | −0.49 | 30 | 51 | 6 | −1.21 | 6.63 | 0.64 | 10 |
| 26 | 4 | −1.76 | 4.64 | −1.27 | 30 | 52 | 6 | −1.21 | 7.07 | 0.16 | 10 |
Table A3.
The parts information of downstream pipes.
Table A3.
The parts information of downstream pipes.
| NodeID | ToolID | X | Y | Z | Basic Time (s) | NodeID | ToolID | X | Y | Z | Basic Time (s) |
|---|---|---|---|---|---|---|---|---|---|---|---|
| 1 | 3 | 3.65 | 5.96 | −0.39 | 25 | 38 | 4 | 1.87 | 7.54 | −0.49 | 20 |
| 2 | 3 | 3.59 | 7.35 | −0.53 | 25 | 39 | 4 | 1.87 | 7.28 | −1.27 | 20 |
| 3 | 3 | 3.59 | 7.00 | −1.32 | 25 | 40 | 4 | 1.87 | 6.66 | −1.81 | 20 |
| 4 | 3 | 3.59 | 6.25 | −1.75 | 25 | 41 | 4 | 1.87 | 5.86 | −1.97 | 20 |
| 5 | 3 | 3.59 | 5.39 | −1.66 | 25 | 42 | 4 | 1.87 | 5.08 | −1.70 | 20 |
| 6 | 3 | 3.59 | 4.75 | −1.08 | 25 | 43 | 4 | 1.87 | 4.54 | −1.09 | 20 |
| 7 | 3 | 3.59 | 4.57 | −0.24 | 25 | 44 | 4 | 1.87 | 4.38 | −0.28 | 20 |
| 8 | 3 | 3.59 | 4.92 | 0.51 | 25 | 45 | 4 | 1.87 | 4.64 | 0.49 | 20 |
| 9 | 3 | 3.59 | 5.67 | 0.97 | 25 | 46 | 4 | 1.87 | 5.26 | 1.03 | 20 |
| 10 | 3 | 3.59 | 6.53 | 0.88 | 25 | 47 | 4 | 1.87 | 6.06 | 1.19 | 20 |
| 11 | 3 | 3.59 | 7.17 | 0.30 | 25 | 48 | 4 | 1.87 | 6.84 | 0.92 | 20 |
| 12 | 3 | 3.59 | 5.96 | −0.39 | 15 | 49 | 4 | 1.87 | 7.38 | 0.31 | 20 |
| 13 | 3 | 3.59 | 7.35 | −0.53 | 15 | 50 | 5 | 2.78 | 5.96 | −2.02 | 30 |
| 14 | 3 | 3.59 | 7.00 | −1.32 | 15 | 51 | 5 | 2.89 | 6.31 | −2.02 | 30 |
| 15 | 3 | 3.59 | 6.25 | −1.75 | 15 | 52 | 5 | 3.13 | 5.84 | −2.02 | 30 |
| 16 | 3 | 3.59 | 5.39 | −1.66 | 15 | 53 | 5 | 2.66 | 5.60 | −2.02 | 30 |
| 17 | 3 | 3.59 | 4.75 | −1.08 | 15 | 54 | 5 | 2.42 | 6.07 | −2.02 | 30 |
| 18 | 3 | 3.59 | 4.57 | −0.24 | 15 | 55 | 2 | 3.31 | 6.13 | −1.90 | 10 |
| 19 | 3 | 3.59 | 4.92 | 0.54 | 15 | 56 | 1 | 2.83 | 5.96 | −1.97 | 20 |
| 20 | 3 | 3.59 | 5.67 | 0.97 | 15 | 57 | 1 | 2.31 | 6.05 | −0.73 | 60 |
| 21 | 3 | 3.59 | 6.53 | 0.88 | 15 | 58 | 1 | 1.80 | 5.96 | −0.39 | 45 |
| 22 | 3 | 3.59 | 7.17 | 0.30 | 15 | 59 | 1 | 1.60 | 5.96 | −0.39 | 45 |
| 23 | 1 | 3.65 | 5.96 | −0.39 | 45 | 60 | 1 | 1.50 | 5.97 | −0.41 | 45 |
| 24 | 4 | 1.82 | 5.96 | −0.39 | 30 | 61 | 6 | 1.50 | 5.97 | −0.41 | 10 |
| 25 | 4 | 2.07 | 7.54 | −0.49 | 30 | 62 | 6 | 1.51 | 7.23 | −0.36 | 10 |
| 26 | 4 | 2.07 | 7.28 | −1.27 | 30 | 63 | 6 | 1.51 | 6.55 | 0.70 | 10 |
| 27 | 4 | 2.07 | 6.66 | −1.81 | 30 | 64 | 6 | 1.51 | 5.92 | 0.84 | 10 |
| 28 | 4 | 2.07 | 5.86 | −1.97 | 30 | 65 | 6 | 1.51 | 5.29 | 0.64 | 10 |
| 29 | 4 | 2.07 | 5.08 | −1.70 | 30 | 66 | 6 | 1.51 | 4.85 | 0.16 | 10 |
| 30 | 4 | 2.07 | 4.54 | −1.09 | 30 | 67 | 6 | 1.51 | 4.71 | −0.46 | 10 |
| 31 | 4 | 2.07 | 4.38 | −0.28 | 30 | 68 | 6 | 1.51 | 4.91 | −1.09 | 10 |
| 32 | 4 | 2.07 | 4.64 | −0.49 | 30 | 69 | 6 | 1.51 | 5.39 | −1.53 | 10 |
| 33 | 4 | 2.07 | 5.26 | 1.03 | 30 | 70 | 6 | 1.51 | 6.02 | −1.67 | 10 |
| 34 | 4 | 2.07 | 6.06 | 1.19 | 30 | 71 | 6 | 1.51 | 6.65 | −1.47 | 10 |
| 35 | 4 | 2.07 | 6.84 | 0.92 | 30 | 72 | 6 | 1.51 | 7.09 | −0.99 | 10 |
| 36 | 4 | 2.07 | 7.38 | 0.31 | 30 | 73 | 6 | 1.51 | 7.13 | −0.26 | 10 |
| 37 | 4 | 1.82 | 5.96 | −0.39 | 20 |
References
- Wang, C.; Wang, Z.; Chu, S.; Ma, H.; Yang, N. A two-stage underfrequency load shedding strategy for microgrid groups considering risk avoidance. Appl. Energy 2024, 367, 123343. [Google Scholar] [CrossRef]
- Ong, S.K.; Chang, M.M.L.; Nee, A.Y.C. Product disassembly sequence planning: State-of-the-art, challenges, opportunities and future directions. Int. J. Prod. Res. 2021, 59, 3493–3508. [Google Scholar] [CrossRef]
- Favi, C.; Marconi, M.; Germani, M.; Mandolini, M. A design for disassembly tool oriented to mechatronic product de-manufacturing and recycling. Adv. Eng. Inform. 2019, 39, 62–79. [Google Scholar] [CrossRef]
- Ramírez, F.J.; Aledo, J.A.; Gamez, J.A.; Pham, D.T. Economic modelling of robotic disassembly in end-of-life product recovery for remanufacturing. Comput. Ind. Eng. 2020, 142, 106339. [Google Scholar] [CrossRef]
- Kim, H.; Park, C.; Lee, D. Selective disassembly sequencing with random operation times in parallel disassembly environment. Int. J. Prod. Res. 2018, 7543, 7243–7257. [Google Scholar] [CrossRef]
- Wang, H.; Peng, Q.; Zhang, J.; Gu, P. Selective Disassembly Planning for the End-of-life Product. Procedia CIRP 2017, 60, 512–517. [Google Scholar] [CrossRef]
- Li, B.; Bi, Y.; He, Q.; Ren, J.; Li, Z. A low-complexity method for authoring an interactive virtual maintenance training system of hydroelectric generating equipment. Comput. Ind. 2018, 100, 159–172. [Google Scholar] [CrossRef]
- Zheng, Y.; Chen, Q.; Yan, D.; Zhang, H. Equivalent circuit modelling of large hydropower plants with complex tailrace system for ultra-low frequency oscillation analysis. Appl. Math. Model 2022, 103, 176–194. [Google Scholar] [CrossRef]
- Zhou, Z.; Liu, J.; Pham, D.T.; Xu, W.; Ramirez, F.J.; Ji, C.; Liu, Q. Disassembly sequence planning: Recent developments and future trends. Proc. Inst. Mech. Eng. Part B J. Eng. Manuf. 2019, 233, 1450–1471. [Google Scholar] [CrossRef]
- Fu, W.; Liu, X.; Chu, F.; Li, B.; Gu, J. A disassembly sequence planning method with improved discrete grey wolf optimizer for equipment maintenance in hydropower station. J. Supercomput. 2023, 79, 4351–4382. [Google Scholar] [CrossRef]
- Hu, Y.; Liu, C.; Zhang, M.; Lu, Y.; Jia, Y.; Xu, Y. An ontology and rule-based method for human–robot collaborative disassembly planning in smart remanufacturing. Robot. Comput. Integr. Manuf. 2024, 89, 102766. [Google Scholar] [CrossRef]
- Sanchez, B.; Honic, M.; Leite, F.; Herthogs, P.; Stouffs, R. Augmenting materials passports to support disassembly planning based on building information modelling standards. J. Build. Eng. 2024, 90, 109083. [Google Scholar] [CrossRef]
- Chand, M.; Ravi, C. A novel reinforcement learning framework for disassembly sequence planning using Q-learning technique optimized using an enhanced simulated annealing algorithm. AI EDAM 2024, 38, e5. [Google Scholar] [CrossRef]
- Chen, Z.; Cheng, H.; Liu, Y.; Aljuaid, M. An improved artificial bee colony algorithm for the multi-objective cooperative disassembly sequence optimization problem considering carbon emissions and profit. Eng. Optimiz. 2024, 1–22. [Google Scholar] [CrossRef]
- Lou, S.; Zhang, Y.; Tan, R.; Lv, C. A human-cyber-physical system enabled sequential disassembly planning approach for a human-robot collaboration cell in Industry 5.0. Robot. Comput. Integr. Manuf. 2024, 87, 102706. [Google Scholar] [CrossRef]
- Liu, J.; Xu, Z.; Xiong, H.; Lin, Q.; Xu, W.; Zhou, Z. Digital twin-driven robotic disassembly sequence dynamic planning under uncertain missing condition. IEEE Trans. Ind. Inform. 2023, 19, 11846–11855. [Google Scholar] [CrossRef]
- Zhang, X.; Fu, A.; Zhan, C.; Pham, D.T.; Zhao, Q.; Qiang, T.; Fu, C. Selective disassembly sequence planning under uncertainty using trapezoidal fuzzy numbers: A novel hybrid metaheuristic algorithm. Eng. Appl. Artif. Intell. 2024, 128, 107459. [Google Scholar] [CrossRef]
- Guo, X.; Zhou, M.; Abusorrah, A.; Alsokhiry, F.; Sedraoui, K. Disassembly Sequence Planning: A Survey. IEEE/CAA J. Autom. Sin. 2021, 8, 1308–1324. [Google Scholar] [CrossRef]
- Qiu, L.; Dong, L.; Wang, Z.; Zhang, S.; Xu, P. Asynchronous parallel disassembly sequence planning method of complex products using discrete multi-objective optimization. Proc. Inst. Mech. Eng. Part B J. Eng. Manuf. 2022, 236, 1466–1482. [Google Scholar] [CrossRef]
- Tian, Y.; Zhang, X.; Liu, Z.; Jiang, X.; Xue, J. Product cooperative disassembly sequence and task planning based on genetic algorithm. Int. J. Adv. Manuf. Technol. 2019, 105, 2103–2120. [Google Scholar] [CrossRef]
- Xing, Y.; Wu, D.; Qu, L. Parallel disassembly sequence planning using improved ant colony algorithm. Int. J. Adv. Manuf. Technol. 2021, 113, 2327–2342. [Google Scholar] [CrossRef]
- Tao, F.; Bi, L.; Zuo, Y.; Nee, A.Y.C. Partial/Parallel Disassembly Sequence Planning for Complex Products. J. Manuf. Sci. Eng. Trans. ASME. 2018, 140, 011016. [Google Scholar] [CrossRef]
- Xia, X.; Zhu, H.; Zhang, Z.; Liu, X.; Wang, L.; Cao, J. 3D-based multi-objective cooperative disassembly sequence planning method for remanufacturing. Int. J. Adv. Manuf. Technol. 2020, 106, 4611–4622. [Google Scholar] [CrossRef]
- Ren, Y.; Tian, G.; Zhao, F.; Yu, D.; Zhang, C. Selective cooperative disassembly planning based on multi-objective discrete artificial bee colony algorithm. Eng. Appl. Artif. Intell. 2017, 64, 415–431. [Google Scholar] [CrossRef]
- Fu, W.; Yang, K.; Wen, B.; Shan, Y.; Li, S.; Zheng, B. Rotating machinery fault diagnosis with limited multisensor fusion samples by fused attention-guided wasserstein GAN. Symmetry 2024, 16, 285. [Google Scholar] [CrossRef]
- Liao, W.; Fu, W.; Yang, K.; Tan, C. Multi-scale residual neural network with enhanced gated recurrent unit for fault diagnosis of rolling bearing. Meas. Sci. Technol. 2024, 35, 056114. [Google Scholar] [CrossRef]
- Lambert, A.J.D. Disassembly sequencing: A survey. Int. J. Prod. Res. 2003, 41, 3721–3759. [Google Scholar] [CrossRef]
- Tseng, Y.J.; Kao, H.T.; Huang, F.Y. Integrated assembly and disassembly sequence planning using a GA approach. Int. J. Prod. Res. 2010, 48, 5991–6013. [Google Scholar] [CrossRef]
- Yeh, W.C. Simplified swarm optimization in disassembly sequencing problems with learning effects. Comput. Oper. Res. 2012, 39, 2168–2177. [Google Scholar] [CrossRef]
- Xu, W.; Tang, Q.; Liu, J.; Liu, Z.; Zhou, Z.; Pham, D.T. Disassembly sequence planning using discrete Bees algorithm for human-robot collaboration in remanufacturing. Robot. Comput. Integr. Manuf. 2020, 62, 101860. [Google Scholar] [CrossRef]
- Lu, C.; Li, X.; Yu, W.; Zeng, Z.; Yan, M.; Li, X. Sensor network sensing coverage optimization with improved artificial bee colony algorithm using teaching strategy. Computing 2021, 103, 1439–1460. [Google Scholar] [CrossRef]
- Zhu, J.; Xu, Z.; Su, K.; Dong, S. Asynchronous parallel disassembly sequence planning for multi-manipulator based on improved shuffled frog leaping algorithm. SN Appl. Sci. 2020, 2, 906. [Google Scholar] [CrossRef]
- Xie, J.; Li, X.; Gao, L. Disassembly sequence planning based on a modified grey wolf optimizer. Int. J. Adv. Manuf. Technol. 2021, 116, 3731–3750. [Google Scholar] [CrossRef]
- Mirjalili, S.; Lewis, A. The Whale Optimization Algorithm. Adv. Eng. Softw. 2016, 95, 51–67. [Google Scholar] [CrossRef]
- Tang, X.; Chen, F.; Xu, Q. Short-term load forecasting based on multi-dimensional deep extreme learning machine optimized by improved whale algorithm. Shandong Electr. Power 2023, 50, 1–7. (In Chinese) [Google Scholar]
- Mohammed, H.M.; Umar, S.U.; Rashid, T.A. A Systematic and Meta-Analysis Survey of Whale Optimization Algorithm. Comput. Intell. Neurosci. 2019, 30, 4113–4159. [Google Scholar] [CrossRef]
- Rana, N.; Latiff, M.S.A.; Abdulhamid, S.M.; Chiroma, H. Whale optimization algorithm: A systematic review of contemporary applications, modifications and developments. Neural Comput. Appl. 2020, 32, 16245–16277. [Google Scholar] [CrossRef]
- Trivedi, R.R.; Pawaskar, D.N.; Shimpi, R.P. Enhancement of travel range of electrostatically driven fixed-fixed microbeam in static and dynamic mode using mutated particle swarm optimization. Struct. Multidiscip. Optim. 2021, 63, 2989–3005. [Google Scholar] [CrossRef]
- Luan, F.; Cai, Z.; Wu, S.; Liu, S.; He, Y. Optimizing the low-carbon flexible job shop scheduling problem with discrete whale optimization algorithm. Mathematics 2019, 7, 688. [Google Scholar] [CrossRef]
- Ren, Y.; Zhang, C.; Zhao, F.; Xiao, H.; Tian, G. An asynchronous parallel disassembly planning based on genetic algorithm. Eur. J. Oper. Res. 2018, 269, 647–660. [Google Scholar] [CrossRef]
- Zheng, W.; Qiao, M.; Yang, Y. Research on substation 3D modeling method based on point cloud data. Shandong Electr. Power 2024, 51, 65–72. (In Chinese) [Google Scholar]
- Li, B.; Li, C.; Cui, X.; Lai, X.; Ren, J.; He, Q. A Disassembly Sequence Planning Method with Team-Based Genetic Algorithm for Equipment Maintenance in Hydropower Station. IEEE Access 2020, 8, 47538–47555. [Google Scholar] [CrossRef]
- Wu, P.; Wang, H.; Li, B.; Fu, W.; Ren, J.; He, Q. Disassembly sequence planning and application using simplified discrete gravitational search algorithm for equipment maintenance in hydropower station. Expert Syst. Appl. 2022, 208, 118046. [Google Scholar] [CrossRef]
- Kongar, E.; Gupta, S.M. Disassembly sequencing using genetic algorithm. Int. J. Adv. Manuf. Technol. 2006, 30, 497–506. [Google Scholar] [CrossRef]
- Yeh, W.C. Optimization of the Disassembly Sequencing Problem on the Basis of Self-Adaptive Simplified Swarm Optimization. IEEE Trans. Syst. Man, Cybern. Part A Syst. Hum. 2012, 42, 250–261. [Google Scholar] [CrossRef]
- Xia, K.; Gao, L.; Li, W.; Chao, K. Disassembly sequence planning using a Simplified Teaching-Learning-Based Optimization algorithm. Adv. Eng. Inform. 2014, 28, 518–527. [Google Scholar] [CrossRef]
Disclaimer/Publisher’s Note: The statements, opinions and data contained in all publications are solely those of the individual author(s) and contributor(s) and not of MDPI and/or the editor(s). MDPI and/or the editor(s) disclaim responsibility for any injury to people or property resulting from any ideas, methods, instructions or products referred to in the content. |
© 2024 by the authors. Licensee MDPI, Basel, Switzerland. This article is an open access article distributed under the terms and conditions of the Creative Commons Attribution (CC BY) license (https://creativecommons.org/licenses/by/4.0/).