Thermal Transportation in Heat Generating and Chemically Reacting MHD Maxwell Hybrid Nanofluid Flow Past Inclined Stretching Porous Sheet in Porous Medium with Solar Radiation Effects
Abstract
1. Introduction
- The investigation of the impact of the Maxwell fluid parameter on the flow over a permeable inclined sheet.
- The examination of the combined impact of solar radiation and heat generation on the thermal performance of the Maxwell hybrid nanofluid.
- The observation of the influence of the cylindrical shape of nanoparticles on thermal transportation via Maxwell hybrid nanofluid.
- To observe the behavior of heat rate, mass transfer, and skin friction under the combined effects of chemical reaction and volume fractions of the nanoparticles.
- The evaluation of the porosity of the medium on the thermal and concentration transportation in Maxwell hybrid nanofluid past an inclined stretching sheet.
2. Mathematical Modeling
- We have considered the two-dimensional, steady, and incompressible flow of viscous Maxwell hybrid nanofluid.
- The hybrid nanofluid is engineered by the suspension of - in ethylene glycol.
- The fluid flow is generated due to stretching of the inclined plate at angle .
- The Lorentz force and porosity of the medium are encountered.
- The solar radiation and heat generation effects in the energy equation are included.
- The linear constructive chemical reaction in the mass equation is included.
- The porous plate is considered to have suction effects.
- The surface of the plate is kept at constant temperature and ambient temperature with .
- The concentration on the surface of the plate is taken as and concentration in a free stream as with .
- The flow configuration is given in Figure 1.
3. Solutions Methodology
3.1. Similarity Variable Formulation
3.2. Quantities of Engineering
3.3. Solution Technique
4. Materials
- The thermal conductivity of aluminum oxide () is very high (35 W/mK), which can enhance the heat transfer rate in the fluid in a reasonable way.
- Aluminum oxide () is chemically stable and inert in EG, reducing the likelihood of agglomeration or settlement.
- Aluminum oxide () nanoparticles can be easily dispersed in EG due to their small size and surface charge.
- The thermal conductivity of these nanoparticles has an enormously high thermal conductivity (386 W/mK), which makes them an excellent heat transfer carrier.
- The copper nanoparticles, , have a large surface-area-to-volume ratio, permitting improved heat transfer and fluid interactions.
- The copper nanoparticles, , have anticorrosive properties, which are very helpful to protect the fluid and system from corrosion.
- The ethylene glycol (EG) has a high heat capacity, so this characteristic makes it appropriate for heat transfer applications.
- The ethylene glycol (EG) has a low viscosity, which reduces the pressure drop and the pumping power required.
- The chemical stability of ethylene glycol (EG) is noncorrosive and this property makes it more suitable and compatible with various materials.
5. Results and Discussion
6. Conclusions
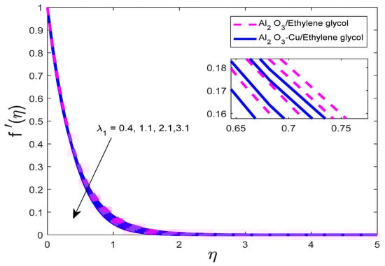
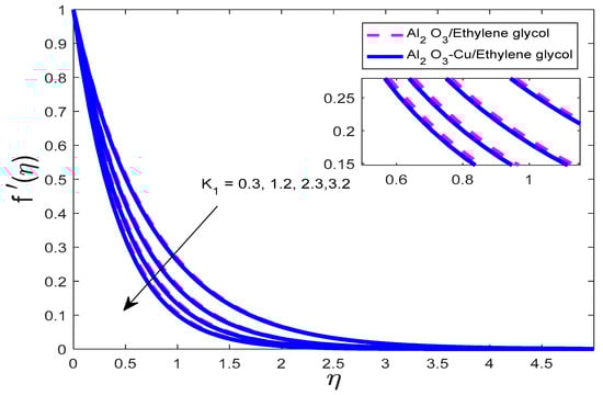
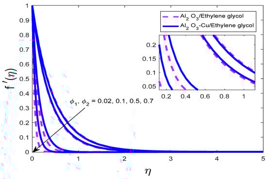
- The velocity field decreases for increasing magnetic field parameter, Maxwell fluid parameter, volume fractions of nanoparticles, and porosity parameter but increases for increasing suction parameter.
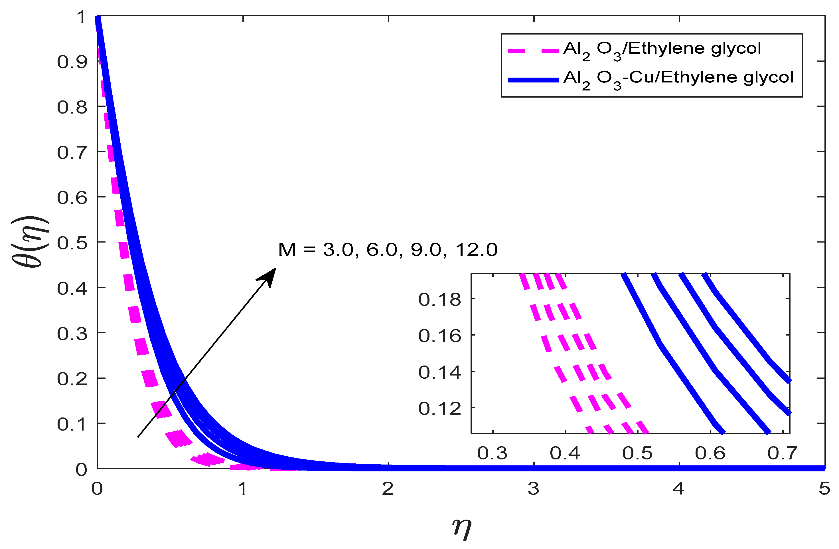
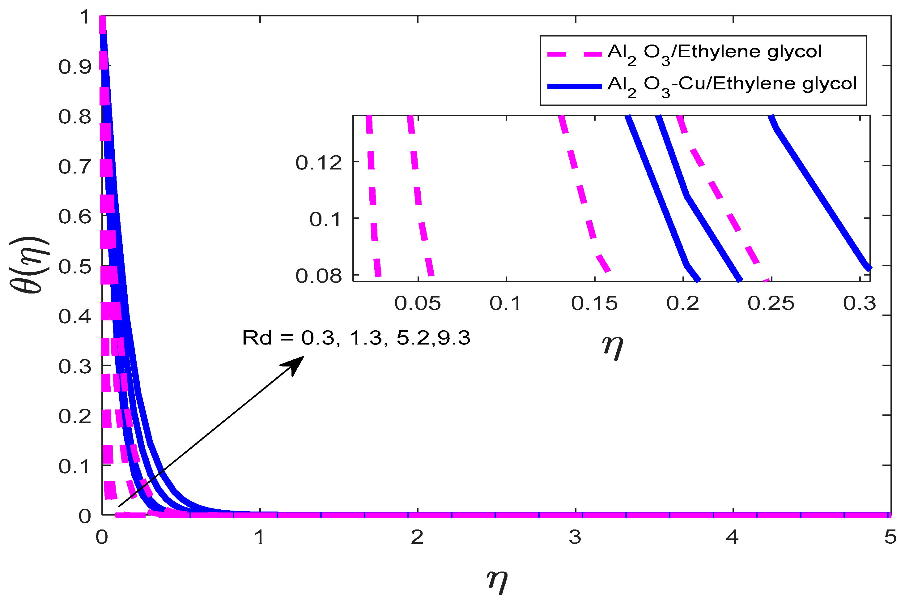
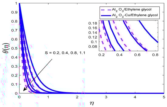
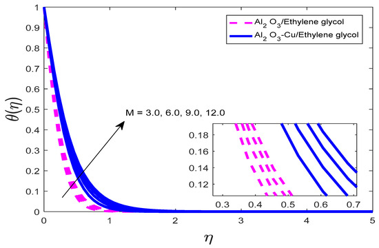
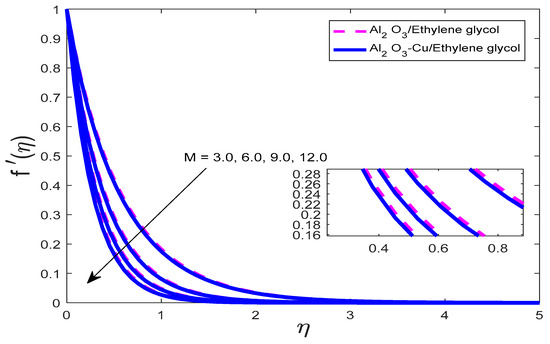
- The temperature decreases with increasing values of magnetic field force and suction parameters but becomes higher with increasing values of radiation parameters, heat generation parameters, and volume fractions of the nanoparticles.
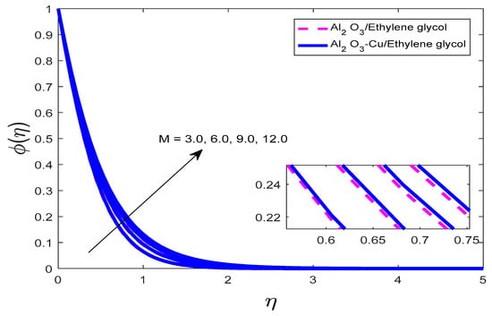
- The concentration profile surges with increasing magnitudes of magnetic force parameter, porosity parameter, and volume fractions but decreases for increasing chemical reaction parameter and suction parameter.
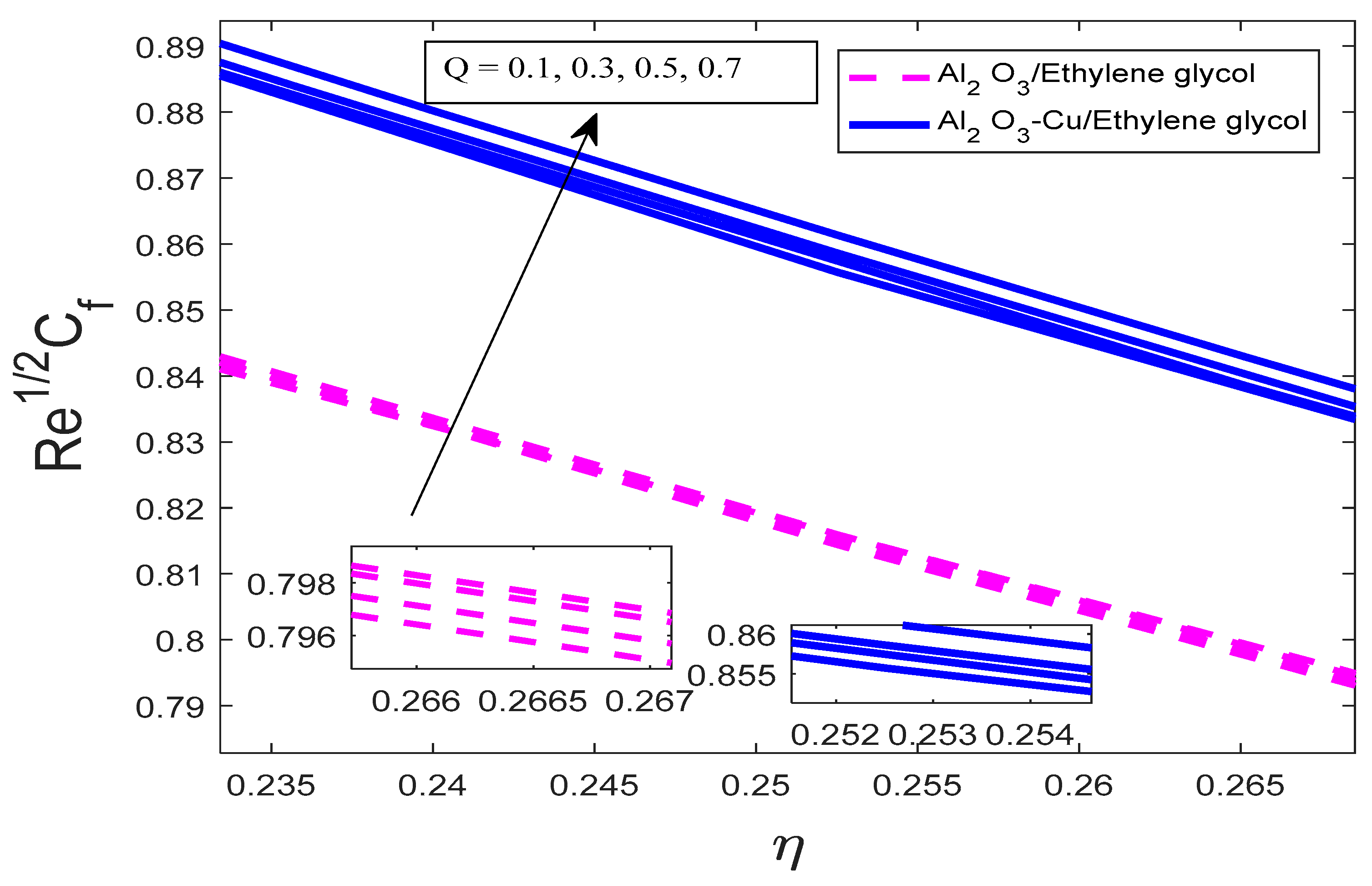
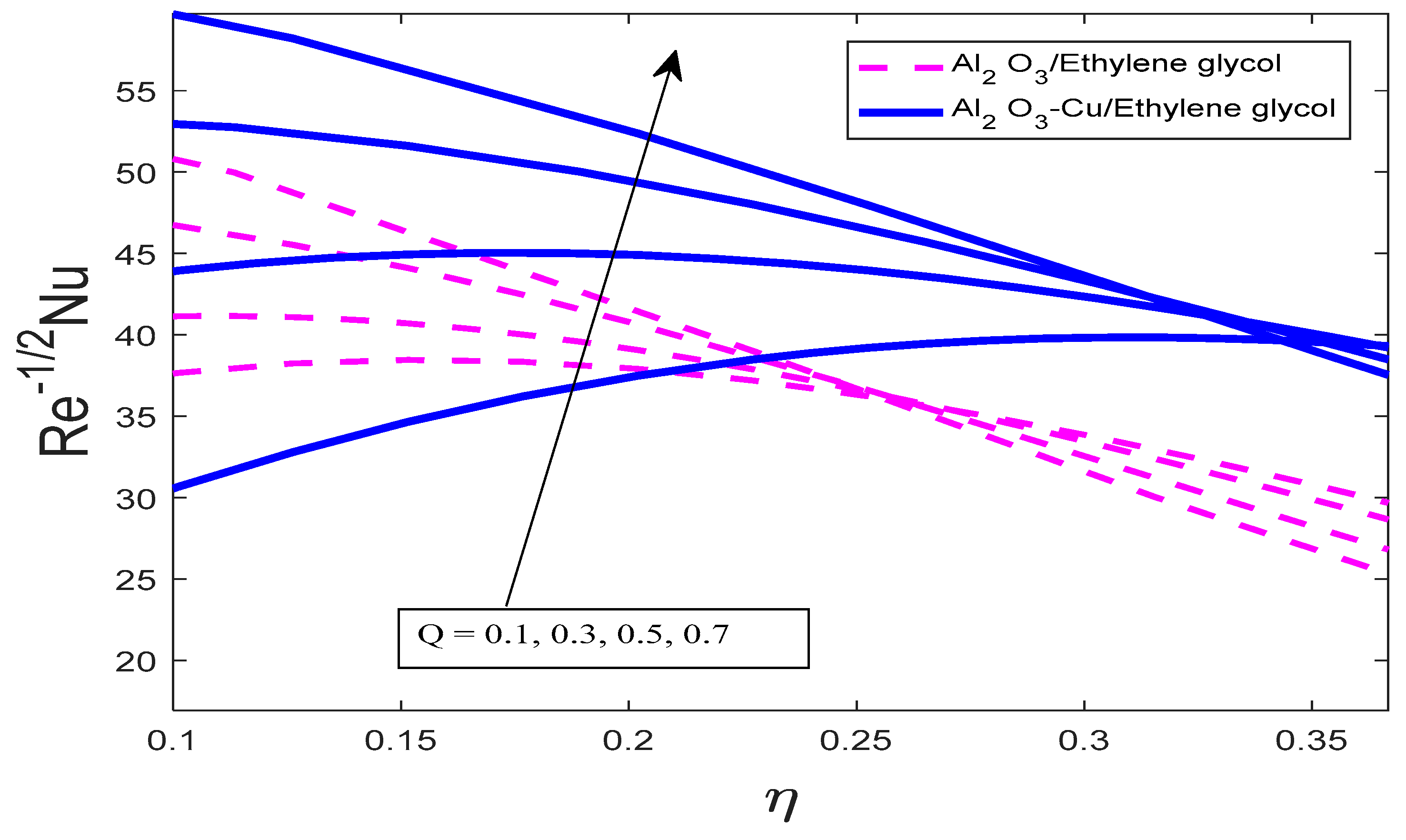
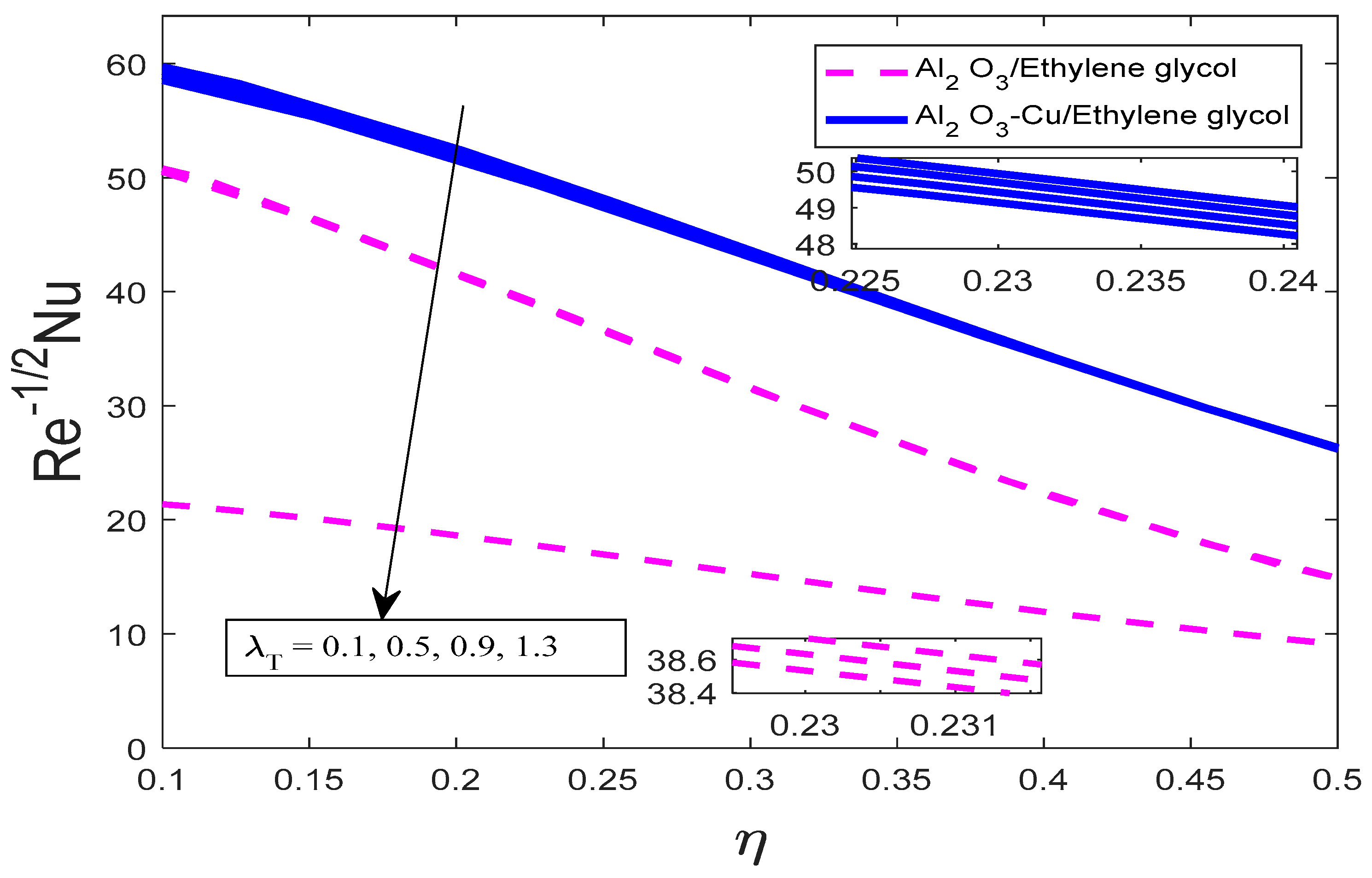
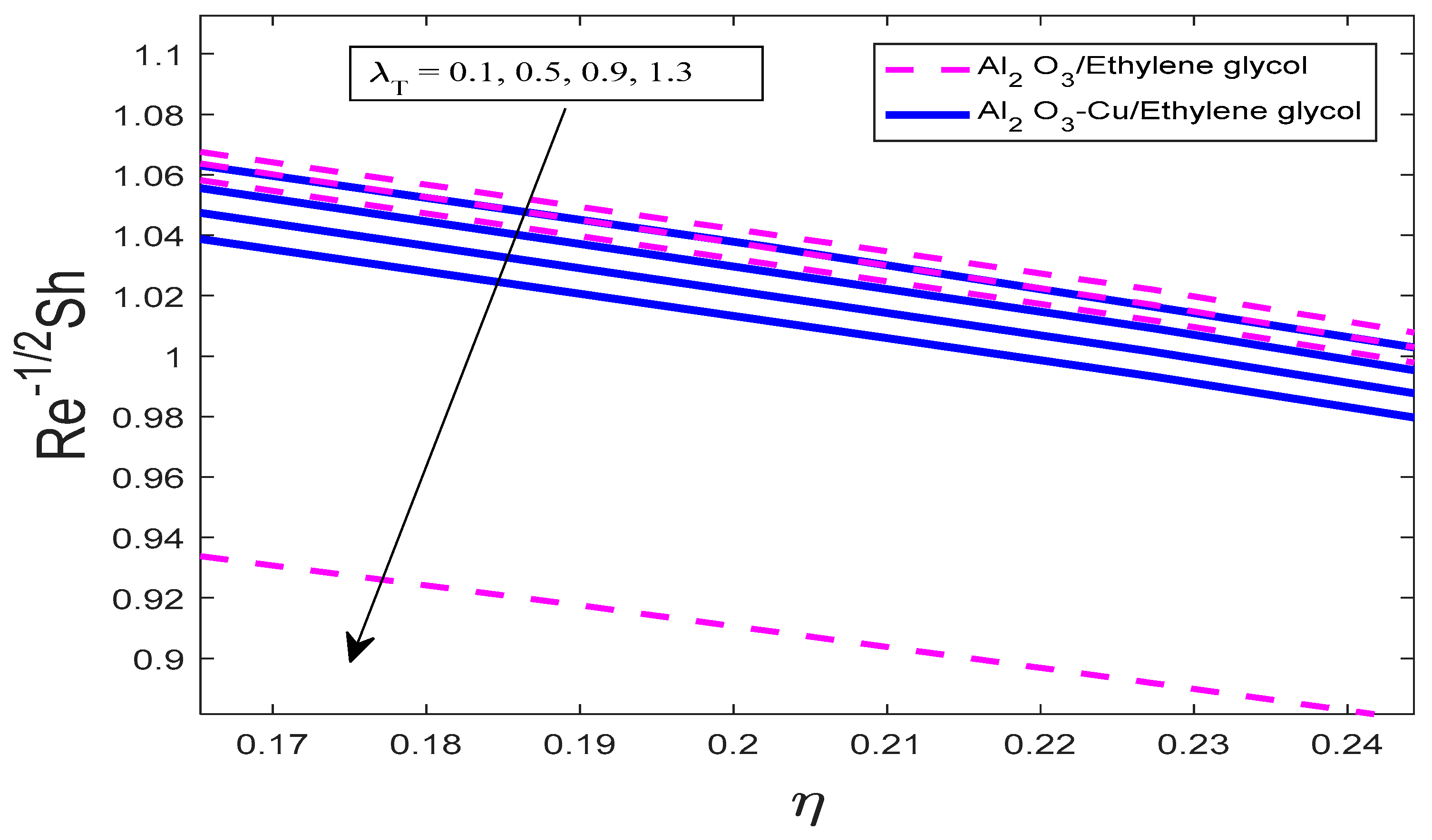
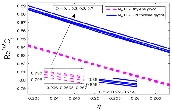
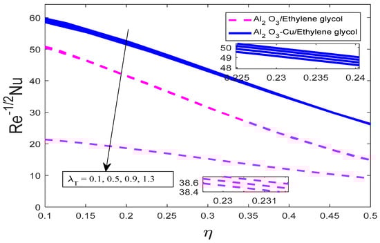
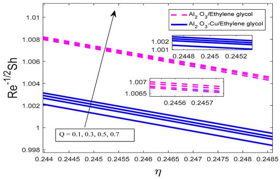
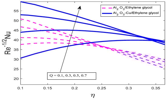
- It has been noted that, when the heat generation parameter increases, the skin friction coefficient, Nusselt number, and Sherwood number increase well.
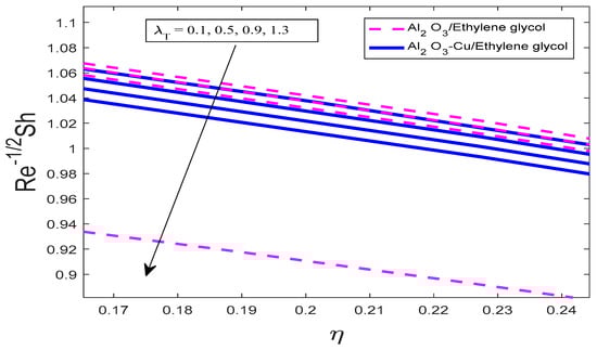
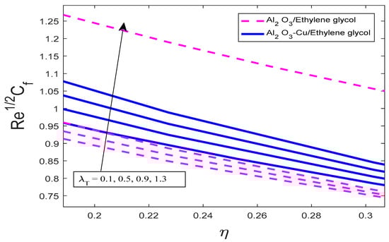
- As the buoyancy parameter rises, skin friction increases but the Nusselt number and Sherwood number decline a lot.
7. Limitations of the Current Study
- The current study is limited to the Maxwell hybrid nanofluid engineered by a suspension of - in ethylene glycol.
- Here, the single-phase model for hybrid nanofluid is considered.
- In the present study, empirical correlations for effective viscosity and thermal conductivity are encountered.
- In the current research, heat generation, thermal radiation, chemical reactions, porous mediums, and applied magnetic fields are considered.
- The flow geometry is inclined at angle , and permeable and mixed convection are considered.
- The value of Prandtl is taken as 204 as we have taken ethylene glycol as the base fluid. Further, the ranges of other parameter are taken as below as an appropriate choice. In the current investigations, the ranges for the parameters are given as ,, .
8. Future Recommendations
- This study can be extended to non-Newtonian fluid flow problems with the same geometry but different characteristics.
- This study is carried out for a single-phase model; this can be investigated for a two-phase model of nanofluids, hybrid nanofluids, and ternary nanofluids and can be embedded in climate modeling.
- In the future, this can be extended to the impact of reduced gravity and shape factors of nanoparticles on other non-Newtonian fluid flow problems using a single-phase model for nanofluid.
- This study can be carried out for hybridized nanofluid flow using multi-walled carbon nanotubes (MWCNTs) and single-walled carbon nanotubes (SWCNTs) as nanoparticles with water and ethylene glycol as base fluids.
Author Contributions
Funding
Data Availability Statement
Acknowledgments
Conflicts of Interest
References
- Choi, S.U.; Eastman, J.A. Enhancing Thermal Conductivity of Fluids with Nanoparticles; Argonne National Lab. (ANL): Argonne, IL, USA, 1995; Volume 231, pp. 99–106. [Google Scholar]
- Akoh, H.; Tsukasaki, Y.; Tasaki, A.; Yatsuya, S. Magnetic properties of ferromagnetic ultrafine particles prepared by vacuum. J. Cryst. Growth 1978, 45, 495–500. [Google Scholar] [CrossRef]
- Eastman, J.A.; Choi, U.S.; Li, S.; Thompson, L.J.; Lee, S. Enhanced thermal conductivity through the development of nanofluids. Mater. Res. Soc. Symp. Proc. 1997, 457, 3–11. [Google Scholar] [CrossRef]
- Lee, S.; Choi, S.; Li, S.; Eastman, J. Measuring thermal conductivity of fluids containing oxide nanoparticles. J. Heat Transf. 1999, 121, 280–289. [Google Scholar] [CrossRef]
- Eastman, J.A.; Choi, S.U.S.; Li, S.; Yu, W.; Thompson, L.J. Anomalously increased effective thermal conductivities of ethylene glycol-based nanofluids containing copper nanoparticles. Appl. Phys. Lett. 2001, 78, 718–720. [Google Scholar] [CrossRef]
- Buongiorno, J.; Hu, W. Nanofluid coolants for advanced nuclear power plants. In Proceedings of the ICAPP 2005, Seoul, Republic of Korea, 15–19 May 2005; Volume 5, pp. 15–19. [Google Scholar]
- Buongiorno, J. Convective Transport in Nanofluids. J. Heat Transf. 2006, 128, 240–245. [Google Scholar] [CrossRef]
- Tiwari, R.K.; Das, M.K. Heat transfer augmentation in a two-sided lid-driven differentially heated square cavity utilizing nanofluids. Int. J. Heat Mass Transf. 2007, 50, 2002–2018. [Google Scholar] [CrossRef]
- Sidik, N.A.C.; Adamu, I.M.; Jamil, M.M. Preparation methods and thermal performance of hybrid nanofluids. J. Adv. Res. Mater. Sci. 2019, 56, 1–10. [Google Scholar]
- Choi, S.U. Nanofluids: A new field of scientific research and innovative applications. Heat Transf. Eng. 2008, 29, 429–431. [Google Scholar] [CrossRef]
- Turcu, R.; Darabont, A.L.; Nan, A.; Aldea, N.; Macovei, D.; Bica, D.; Vekas, L.; Pana, O.; Soran, M.L.; Koos, A.A.; et al. New polypyrrole-multiwall carbon nanotubes hybrid materials. J. Optoelectron. Adv. Mater. 2006, 8, 643–647. [Google Scholar]
- Jha, N.; Ramaprabhu, S. Thermal conductivity studies of metal dispersed multiwalled carbon nanotubes in water and ethylene glycol based nanofluids. J. Appl. Phys. 2009, 106, 84317. [Google Scholar] [CrossRef]
- Kshirsagar, D.P.; Venkatesh, M.A. A review on hybrid nanofluids for engineering applications. Mater. Today Proc. 2021, 44, 744–755. [Google Scholar] [CrossRef]
- Sheikholeslami, M.; Abohamzeh, E.; Ebrahimpour, Z.; Said, Z. 8—Brief overview of the applications of hybrid nanofluids. In Hybrid Nanofluids; Elsevier: Amsterdam, The Netherlands, 2022; pp. 171–202. [Google Scholar]
- Jeelani, M.B.; Abbas, A. Thermal efficiency of spherical nanoparticles Al2O3-Cu dispersion in ethylene glycol via the MHD non-Newtonian Maxwell fluid model past the stretching inclined sheet with suction effects in a porous space. Processes 2023, 11, 2842. [Google Scholar] [CrossRef]
- Jeelani, M.B.; Abbas, A. Al2O3-Cu\Ethylene glycol-based magnetohydrodynamic non-Newtonian Maxwell hybrid nanofluid flow with suction effects in a porous space: Energy saving by solar radiation. Symmetry 2023, 15, 1794. [Google Scholar] [CrossRef]
- Abbas, A.; Hussanan, A.; Anwar, F.; Obalalu, A.M.; Almeshaal, M.A.; Palaniappan, M.; Choubani, K.; Kolsi, L.; Aslam, M. Thermal analysis of AA7075-AA7072/methanol via Williamson hybrid nanofluid model past thin needle: Effects of Lorentz force and irregular heat rise/fall. Case Stud. Therm. Eng. 2024, 53, 103883. [Google Scholar] [CrossRef]
- Abbas, A.; Hussanan, A.; Obalalu, A.M.; Kriaa, K.; Maatki, C.; Hadrich, B.; Aslam, M.; Kolsi, L. Effect of non-uniform heat rise/fall and porosity on MHD Williamson hybrid nanofluid flow over incessantly moving thin needle. Heliyon 2024, 10, e23588. [Google Scholar] [CrossRef] [PubMed]
- Rauf, A.; Hussain, F.; Mushtaq, A.; Shah, N.A.; Ali, M.R. MHD mixed convection flow for Maxwell Hybrid nanofluid with Soret, Dufour and Morphology effects. Arab. J. Chem. 2023, 16, 104965. [Google Scholar] [CrossRef]
- Kumar, M.A.; Reddy, Y.D. Computational modelling of radiative Maxwell fluid flow over a stretching sheet containing nanoparticles with chemical reaction. J. Indian Chem. Soc. 2023, 100, 100877. [Google Scholar] [CrossRef]
- Blasius, H. Grenzschichten in Flüssigkeiten mit Kleiner Reibung; Druck von BG Teubner: Leipzig, Germany, 1907. [Google Scholar]
- Sakiadis, B.C. Boundary-layer behavior on continuous solid surfaces: II. The boundary layer on a continuous flat surface. AiChE J. 1961, 7, 221–225. [Google Scholar]
- Cortell, R. A numerical tackling on Sakiadis flow with thermal radiation. Chin. Phys. Lett. 2008, 25, 1340. [Google Scholar] [CrossRef]
- Khan, W.A.; Pop, I. Boundary-layer flow of a nanofluid past a stretching sheet. Int. J. Heat Mass Transf. 2010, 53, 2477–2483. [Google Scholar] [CrossRef]
- Abbas, A.; Ijaz, I.; Ashraf, M.; Ahmad, H. Combined effects of variable density and thermal radiation on MHD Sakiadis flow. Case Stud. Therm. Eng. 2021, 28, 101640. [Google Scholar] [CrossRef]
- Alabdulhadi, S.; Waini, I.; Ahmed, S.E.; Ishak, A. Hybrid nanofluid flow and heat transfer past an inclined surface. Mathematics 2021, 9, 3176. [Google Scholar] [CrossRef]
- Anuar, N.S.; Bachok, N.; Pop, I. Influence of buoyancy force on Ag-MgO/water hybrid nanofluid flow in an inclined permeable stretching/shrinking sheet. Int. Commun. Heat Mass Transf. 2021, 123, 105236. [Google Scholar] [CrossRef]
- Khan, U.; Waini, I.; Zaib, A.; Ishak, A.; Pop, I. MHD mixed convection hybrid nanofluids flow over a permeable moving inclined flat plate in the presence of thermophoretic and radiative heat flux effects. Mathematics 2022, 10, 1164. [Google Scholar] [CrossRef]
- Waini, I.; Ishak, A.; Groşan, T.; Pop, I. Mixed convection of a hybrid nanofluid flow along a vertical surface embedded in a porous medium. Int. Commun. Heat Mass Transf. 2020, 114, 104565. [Google Scholar] [CrossRef]
- Eid, M.R.; Nafe, M.A. Thermal conductivity variation and heat generation effects on magneto-hybrid nanofluid flow in a porous medium with slip condition. Waves Random Complex Media 2022, 32, 1103–1127. [Google Scholar] [CrossRef]
- Algehyne, E.A.; El-Zahar, E.R.; Elhag, S.H.; Bayones, F.S.; Nazir, U.; Sohail, M.; Kumam, P. Investigation of thermal performance of Maxwell hybrid nanofluid boundary value problem in vertical porous surface via finite element approach. Sci. Rep. 2022, 12, 2335. [Google Scholar] [CrossRef]
- Gul, T.; Mukhtar, S.; Alghamdi, W.; Tag Eldin, E.; Yassen, M.F.; Guedri, K. The radiative flow of the thin-film Maxwell hybrid nanofluids on an inclined plane in a porous space. Front. Energy Res. 2022, 10, 970293. [Google Scholar] [CrossRef]
- Mebarek-Oudina, F.; Chabani, I.; Vaidya, H.; Ismail, A.A.I. Hybrid-nanofluid magneto-convective flow and porous media contribution to entropy generation. Int. J. Numer. Methods Heat Fluid Flow 2024, 34, 809–836. [Google Scholar] [CrossRef]
- Sagheer, S.; Farooq, U.; Hussain, M. Non-similar investigation of enhanced thermal efficiency of Maxwell based hybrid nanofluid (MoS2 + ZnO) across a linearly stretched surface. J. Magn. Magn. Mater. 2023, 565, 170285. [Google Scholar] [CrossRef]
- Rashad, A.M.; Nafe, M.A.; Eisa, D.A. Variation of thermal conductivity and heat on magnetic maxwell hybrid nanofluid viscous flow in a porous system with higher-order chemical react. Spec. Top. Rev. Porous Media Int. J. 2023, 14, 17–32. [Google Scholar] [CrossRef]
- Devi, S.A.; Devi, S.S.U. Numerical investigation of hydromagnetic hybrid Cu–Al2O3/water nanofluid flow over a permeable stretching sheet with suction. Int. J. Nonlinear Sci. Numer. Simul. 2016, 17, 249–257. [Google Scholar] [CrossRef]
- Safdar, R.; Jawad, M.; Hussain, S.; Imran, M.; Akgül, A.; Jamshed, W. Thermal radiative mixed convection flow of MHD Maxwell nanofluid: Implementation of Buongiorno’s model. Chin. J. Phys. 2022, 77, 1465–1478. [Google Scholar] [CrossRef]
- Ahmed, A.; Khan, M.; Irfan, M.; Ahmed, J. Transient MHD flow of Maxwell nanofluid subject to non-linear thermal radiation and convective heat transport. Appl. Nanosci. 2020, 10, 5361–5373. [Google Scholar] [CrossRef]
- Mukhtar, T.; Jamshed, W.; Aziz, A.; Al-Kouz, W. Computational investigation of heat transfer in a flow subjected to magnetohydrodynamic of Maxwell nanofluid over a stretched flat sheet with thermal radiation. Numer. Methods Partial. Differ. Equ. 2023, 39, 3499–3519. [Google Scholar] [CrossRef]
- Hassan, A.; Hussain, A.; Arshad, M.; Haider, Q.; Althobaiti, A.; Elagan, S.K.; Alqurashi, M.S.; Abdelmohimen, M.A.H. Heat transport investigation of hybrid nanofluid (Ag-CuO) porous medium flow: Under magnetic field and Rosseland radiation. Ain Shams Eng. J. 2022, 13, 101667. [Google Scholar] [CrossRef]





















| Velocity components in horizontal and normal directions | |
| Angle of inclination | |
| base fluid kinematic viscosity | |
| Chemical reaction constant | |
| Magnetic field strength | |
| electrical conductivity of base fluid | |
| Expansion coefficient due to temperature or concentration | |
| viscosity of hybrid nanofluid | |
| hybrid nanofluid kinematic viscosity | |
| hybrid nanofluid thermal conductivity | |
| specific heat of hybrid nanofluid | |
| electrical conductivity of hybrid nanofluid | |
| porosity constant | |
| Mass diffusion coefficient | |
| Gravitational acceleration | |
| base fluid viscosity | |
| Expansion coefficient due to temperature or concentration of hybrid nanofluid | |
| specific heat of base fluid | |
| Stretching rate constant | |
| base fluid thermal conductivity | |
| time relaxation constant | |
| Specific heat capacity of hybrid nanofluid | |
| Volumetric flow rate | |
| radiative heat flux vector |
| Maxwell fluid parameter | |
| buoyancy parameter | |
| modified buoyancy parameter | |
| magnetic field parameter | |
| dimensionless porosity parameter | |
| Prandtl number | |
| chemical reaction parameter | |
| suction parameter | |
| solar radiation parameter | |
| heat generation parameter. | |
| Schmidt number | |
| similarity variable | |
| . |
| Properties | ) | ||||
|---|---|---|---|---|---|
| Base fluid Ethylene glycol (EG) | 1114.0 | 2415.5 | 0.2520 | 6.50 | |
| 3970.0 | 765.0 | 40.0 | 0.850 | ||
| 8933 | 385.0 | 400.0 | 1.670 |
| Khan and Pop [24] | Present | |
| 2.0 | 0.9113 | 0.9112 |
| 7.0 | 1.8954 | 1.8951 |
| 20.0 | 3.3539 | 3.3537 |
Disclaimer/Publisher’s Note: The statements, opinions and data contained in all publications are solely those of the individual author(s) and contributor(s) and not of MDPI and/or the editor(s). MDPI and/or the editor(s) disclaim responsibility for any injury to people or property resulting from any ideas, methods, instructions or products referred to in the content. |
© 2024 by the authors. Licensee MDPI, Basel, Switzerland. This article is an open access article distributed under the terms and conditions of the Creative Commons Attribution (CC BY) license (https://creativecommons.org/licenses/by/4.0/).
Share and Cite
Jeelani, M.B.; Abbas, A.; Alqahtani, N.A. Thermal Transportation in Heat Generating and Chemically Reacting MHD Maxwell Hybrid Nanofluid Flow Past Inclined Stretching Porous Sheet in Porous Medium with Solar Radiation Effects. Processes 2024, 12, 1196. https://doi.org/10.3390/pr12061196
Jeelani MB, Abbas A, Alqahtani NA. Thermal Transportation in Heat Generating and Chemically Reacting MHD Maxwell Hybrid Nanofluid Flow Past Inclined Stretching Porous Sheet in Porous Medium with Solar Radiation Effects. Processes. 2024; 12(6):1196. https://doi.org/10.3390/pr12061196
Chicago/Turabian StyleJeelani, Mdi Begum, Amir Abbas, and Nouf Abdulrahman Alqahtani. 2024. "Thermal Transportation in Heat Generating and Chemically Reacting MHD Maxwell Hybrid Nanofluid Flow Past Inclined Stretching Porous Sheet in Porous Medium with Solar Radiation Effects" Processes 12, no. 6: 1196. https://doi.org/10.3390/pr12061196
APA StyleJeelani, M. B., Abbas, A., & Alqahtani, N. A. (2024). Thermal Transportation in Heat Generating and Chemically Reacting MHD Maxwell Hybrid Nanofluid Flow Past Inclined Stretching Porous Sheet in Porous Medium with Solar Radiation Effects. Processes, 12(6), 1196. https://doi.org/10.3390/pr12061196

