Abstract
Polychlorinated biphenyls (PCBs) can induce neurotoxicity, immunotoxicity, reproductive toxicity, genotoxicity, and carcinogenicity (IARC group 1 Carcinogens). Scientific data suggest that resveratrol possesses the ability to attenuate ortho-PCB-induced toxicity. Recently, a novel ferrocene-containing triacyl derivative of resveratrol (RF) was synthesized and in this study, its potential to protect CHO-K1 cells from selected PCB congeners (75 µM) was evaluated. Cell viability/proliferation was observed by Trypan Blue (TB), Neutral Red (NR), Kenacid Blue (KB), and MTT bioassays, ROS formation by fluorescent probes, and the extent of apoptosis by flow cytometry. All applied bioassays confirmed that RF (2.5–100 μM) remarkably improves viability in PCB 153-treated cells with an increase in cell survival almost up to control levels. This effect was not determined after PCB 77 exposure, although ROS formation was decreased at RF ≥ 50 µM. Apoptosis was significant (p < 0.05) for both congeners. In PCB 77-treated cells, RF did not suppress the induction of cell death. The intended protective effect of RF was evident when cells were treated with PCB 153, and this correlates with results obtained for cell viability. Compared to resveratrol, the novel RF showed promising results in terms of improved biological activity and cell protection against PCB 153 toxicity at all concentrations tested.
1. Introduction
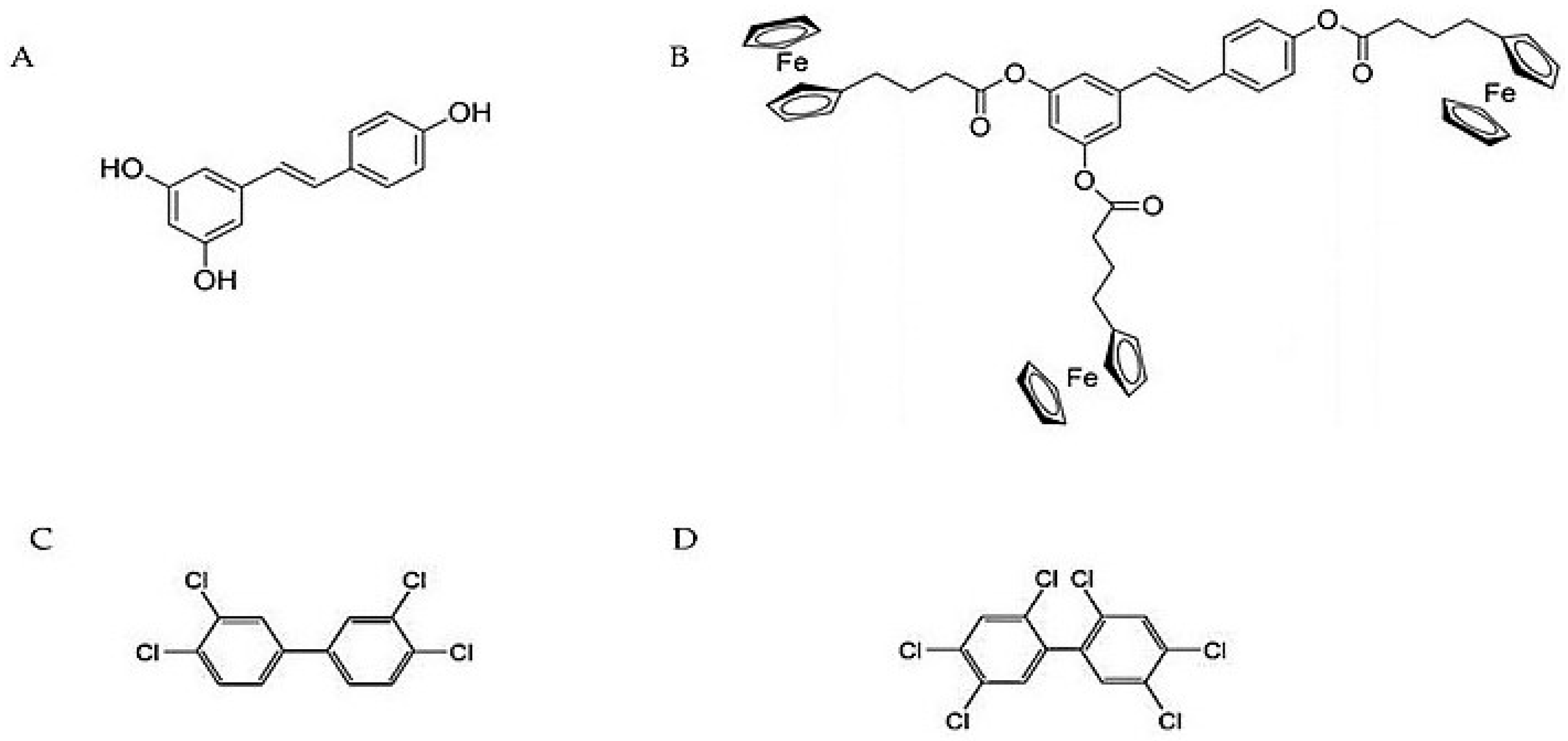
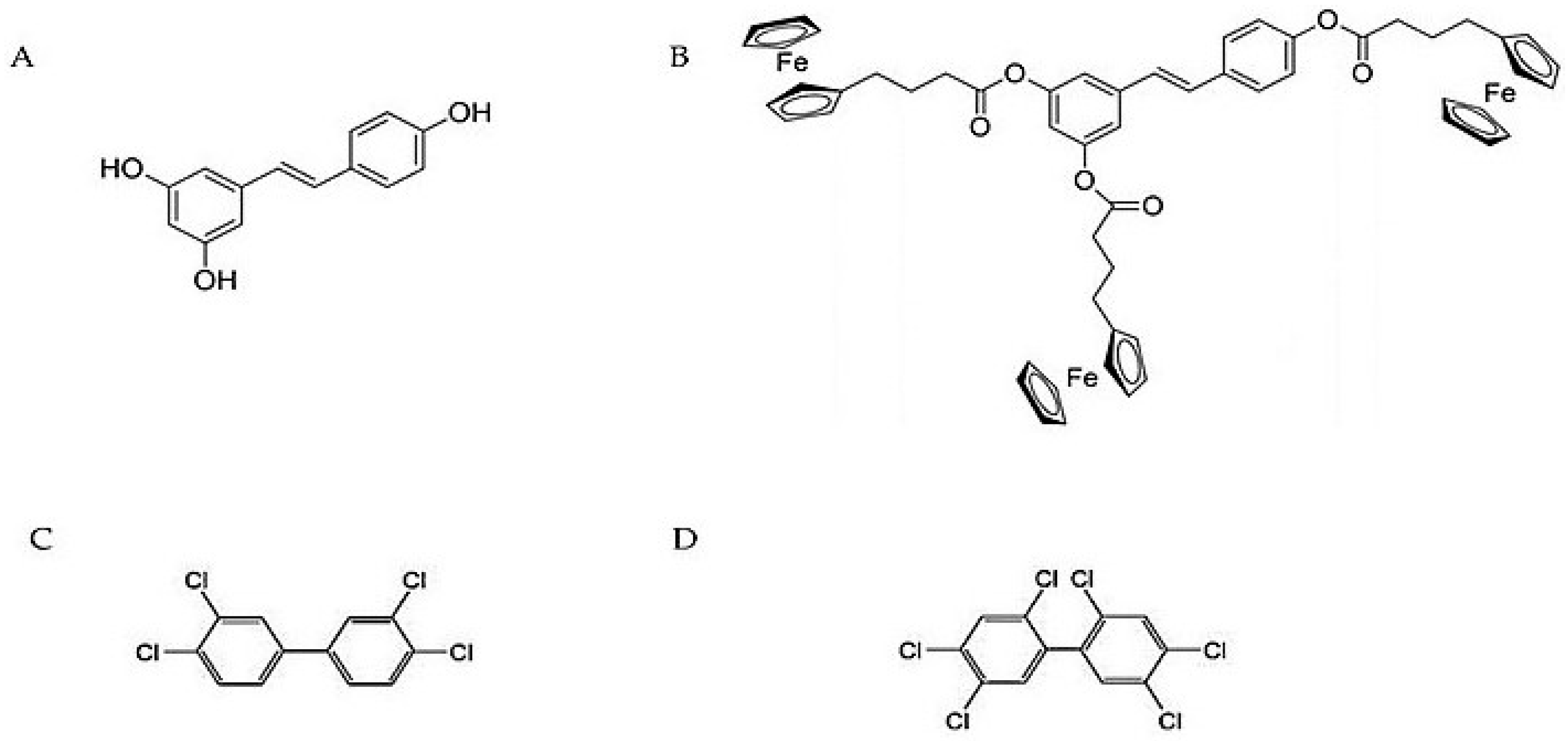
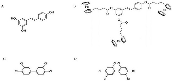
Resveratrol (RSV) (3,5,4′-trihydroxy-trans-stilbene; Figure 1A) is a naturally occurring stilbene first isolated from Veratrum grandiflorum, the white hellebore plant, in the 1940s [1]. The term “resveratrol“ has its origin in the Latin terms res, signifying “which comes from”, and veratr, originating from the plant “Veratrum“, and the suffix ol, denoting the presence of hydroxyl (–OH) chemical groups [2]. RSV is present in various plant species, such as peanuts, blueberries, cranberries (Vaccinium spp.), and Japanese knotweed, a traditional Asian herbal medicine, and, most importantly, it is a natural source for human consumption in grapevines (Vitis vinifera) [3]. RSV has been shown to have a variety of different therapeutic properties, including chemopreventive, anti-inflammatory, and anti-aging effects, benefits for human reproductive health, the prevention of various diseases (such as obesity, diabetes, cardiovascular and neurological diseases) [4], and antibacterial, antiviral, antiparasitic, and antifungal activity [3]. Since RSV has low solubility and stability and poor bioavailability, many researchers are making efforts to ameliorate these problems [5,6,7]. Recently, the most promising strategy to overcome these weaknesses is designing new molecular entities (hybrid compounds) containing two or more biologically active molecules. The pharmacodynamic/pharmacokinetic properties of new entities differ from the original ones on which they are based [7]. Various structural modifications of RSV resulted in improved liposolubility in the cellular environment and thus in modified cellular response. Recently, a novel ferrocene-containing triacyl derivative of RSV (RF; Figure 1B) was synthesized by our group, and we have pointed out its beneficial effect on multiple cell viability parameters in ovary cell culture [8]. Compared with RSV, the novel derivative was non-toxic to non-cancerous ovarian cells with noticeable antioxidant potential, whereas RSV exerted cytotoxicity in doses > 20 µM. Therefore, we concluded that a significant improvement in the maintenance of cellular health was accomplished in relation to the starting compound (RSV), and our next hypothesis was related to the potential application of the new compound in terms of cell protection after treatment with selected xenobiotics. For cytotoxicity induction, we have chosen polychlorinated biphenyls (PCBs; PCB 77, PCB 153; Figure 1C,D), which are synthetic and highly toxic organochlorine compounds.
Figure 1.
Molecular structures of trans-resveratrol (A), novel ferrocene-containing triacyl derivative of resveratrol (B), PCB 77 (C), and PCB 153 (D).
For more than a decade, our group has been studying the toxic effects of PCBs because of their ubiquitous persistence in the environment, and we have determined diverse intracellular damage caused by PCBs [9,10,11]. Biomonitoring data on persistent organic pollutants (POPs) indicate that levels of organochlorines, among them PCBs, are still significantly above those considered toxicologically safe, with the highest PCB levels occurring in Eastern and Western Europe [12]. Exposure to PCBs is primarily linked to neurotoxicity [13], immune system deficiency, reproductive failure, and genotoxicity. Based on the evidence for the carcinogenicity of PCBs in humans and animals, the International Agency for Research on Cancer (IARC) upgraded these xenobiotics from the previous classification of Category 2A (“probably carcinogenic to humans”) to Category 1 (“carcinogenic to humans”) in 2016. The presence of chlorine atoms in the ortho-positions influences the ability to adapt the co-planar conformation and, consequently, is the most important structural determinant in the manifestation of the toxic properties and potencies of PCB congeners [10,14]. Structural similarity between co-planar congeners and dioxins is responsible for their mechanism of action—binding to the aryl hydrocarbon receptor (AhR) and triggering AhR-mediated toxic responses, whereas ortho-substituted PCBs exert their effects via AhR-independent pathways. Epidemiological data indicate that PCBs adversely affect reproductive function in exposed animals and humans. The proposed mechanism suggests that PCBs cause an increase in steady-state levels of reactive oxygen species (ROS) in cells and tissues of the reproductive system. It is well-known that elevated ROS levels can play a role in causing oxidative stress and damage to vital cellular components, leading to mutations, carcinogenesis, cell death, and hereditary diseases [15].
The intention of the present research was to protect ovary cells from PCB-induced oxidative stress, cytotoxicity, and cell death by novel RF. The biological activity of the novel compound was revealed by an assessment of the cell proliferation/survival rate, various viability endpoints, cytofluorimetric analysis of cell death, and ROS/oxidative stress determination.
2. Materials and Methods
2.1. Chemicals
Dulbecco’s Modified Eagle Medium/Nutrient Mixture F-12 (DMEM/F12), fetal bovine serum (FBS; heat inactivated), Trypan Blue dye (CAS 72-57-1), 3-(4,5-dimethyl-2-thiazolyl)-2,5-diphenyl-2H-tetrazolium bromide (MTT; CAS 298-93-1), trypsin/EDTA solution (0.25% trypsin with EDTA 4Na), PCB 77 (3,3′,4,4′-tetrachlorobiphenyl, CAS 32598-13-3; Figure 1C), and PCB 153 (2,2′,4,4′,5,5′-hexachlorbiphenyl, CAS 35065-27-1; Figure 1D) were acquired from Sigma-Aldrich Chemical Co., St. Louis, MO, USA. Using standard chemical methods, RF (trans-3,5,4′-tri(4-ferrocenylbutanoyloxy)-stilbene, C56H54Fe3O6) was synthesized in the Laboratory for Organic Chemistry at the Faculty of Food Technology and Biotechnology, University of Zagreb, Zagreb, Croatia. Neutral Red dye (CAS 553-24-2) and a Muse™ Annexin V & Dead Cell Kit (cat #MCH100105) were supplied from Merck (Billerica, MA, USA). Coomassie brilliant blue R-250 (CAS 6104-59-2) was obtained from LKB (Bromma, Sweden). A DCFDA/H2DCFDA assay kit (cat #ab113851) was supplied from Abcam (Cambridge, UK). DMSO (CAS 67-68-5) was acquired from Kemika (Zagreb, Croatia). PCB congeners and RF were dissolved in DMSO to a final concentration of 75 µM for PCBs and 2.5–100 µM for RF. The final concentration of DMSO was never greater than 1.5% (v/v).
2.2. Conditions for Cell Culture
The Chinese hamster ovary (CHO-K1, RRID:CVCL_0214) cell line was of ATCC origin (CCL-61, Manassas, VA, USA). The cell line was routinely grown in DMEM/F12 culture medium supplemented with 10% FBS. The CHO-K1 cell line was maintained in sterile T-25 culture flasks (Beckton Dickinson, Franklin Lakes, NJ, USA) at a density of 1 × 105 cells mL−1 under an atmosphere of 95% air and 5% CO2 at 37 °C. During the experiments, antibiotics were not used. After 70% of the flask was covered by adherent CHO-K1 cells, trypsin was used to dissociate the formed cell monolayer. The cells were diluted to the required density and seeded in multiwell plates, depending on the experiments conducted.
2.3. Cell Viability and Proliferation Analysis
Cytotoxicity endpoints were assessed by the Trypan Blue exclusion method (TB), as well as Neutral Red uptake (NR), Kenacid Blue (KB), and MTT assays [16,17]. Briefly, exponentially growing CHO-K1 cells were seeded in 6-well plates (Greiner Bio-One GmbH, Frickenhausen, Germany) at concentration of 2 × 104 cells mL−1 (2 mL/well). Treatment with 10 μL/well of RF solution in DMSO (to obtain a range of concentrations of 2.5–100 μM) followed 1 h later. To enable adherence, CHO-K1 cells were incubated at 37 °C for 24 h. After overnight pre-incubation, cells were treated with 20 μL/well of PCB congener solution in DMSO (to obtain a final concentration of 75 µM). To ensure that DMSO exposure had no effect on cell viability and proliferation, control samples were exposed to the equivalent concentration of DMSO. The treated cells were additionally incubated for 24 h at 37 °C. For quantification of each cytotoxicity endpoint, at least two experiments were performed, and within the experiment, each RF concentration was tested in triplicate.
2.4. Detection of Reactive Oxygen Species
Production of ROS was assessed by the 2′,7′-dichlorofluorescein diacetate (DCFDA/H2DCFDA) assay. Summarily, CHO-K1 cells were seeded in black 96-well plates (Nunc, Thermo Fisher Scientific, Waltham, MA, USA) at an initial concentration of 2.5 × 105 cells mL−1 (100 µL/well) in culture medium with the addition of RF solution (1–20 μM). After 24 h of pre-incubation, cells were rinsed with 1× Buffer (10 mL 10× Buffer + 90 mL ddH2O; pH = 7.4) and incubated with 25 µM DCFDA (100 μL/well) for 45 min at 37 °C. Ensuing incubation, cells were rinsed again with 1× Buffer and exposed to PCB congener (PCB 77 or PCB 153) solution (75 µM). After an additional 3 h incubation at 37 °C, fluorescence intensity was measured with a Cary Eclipse spectrofluorimeter (Varian, Palo Alto, CA, USA) using 485 nm excitation and 535 nm emission filters. Cells treated with the same volume of DMSO in which the RF and PCB congeners were dissolved served as a control, while those treated with 50 µM TBHP (tert-butyl hydroperoxide) served as a positive control. For each RF concentration tested, 4–18 replicates were analyzed.
2.5. Analysis of Cell Death via Cytofluorimetry
In order to determine the number of live, apoptotic, and necrotic cells after 24 h pre-incubation with RF and treatment with different PCB congeners, the Muse™ Annexin V & Dead Cell Kit was used in accordance with the manufacturer’s protocol. An experimental procedure was set up for cell viability and proliferation analysis. In order to perform analysis using the Muse™ Cell Analyzer (Merck, Billerica, MA, USA), 100 µL aliquots of trypsinized cell suspension and 100 µL of Muse™ Annexin V & Dead Cell Reagent were mixed and incubated for 20 min in the dark at room temperature. Each RF concentration was tested in up to 7 replicates.
2.6. Statistical Analysis
The data are shown as mean values ± SEM. Statistical analysis was performed by a two-tailed Student’s t-test, and p < 0.05 was considered statistically significant.
3. Results
3.1. Effect of Ferrocene-Containing Triacyl Derivative of Resveratrol (RF) on Cytotoxicity Induced by PCB 77 or PCB 153 (Cell Proliferation and Viability Endpoints)
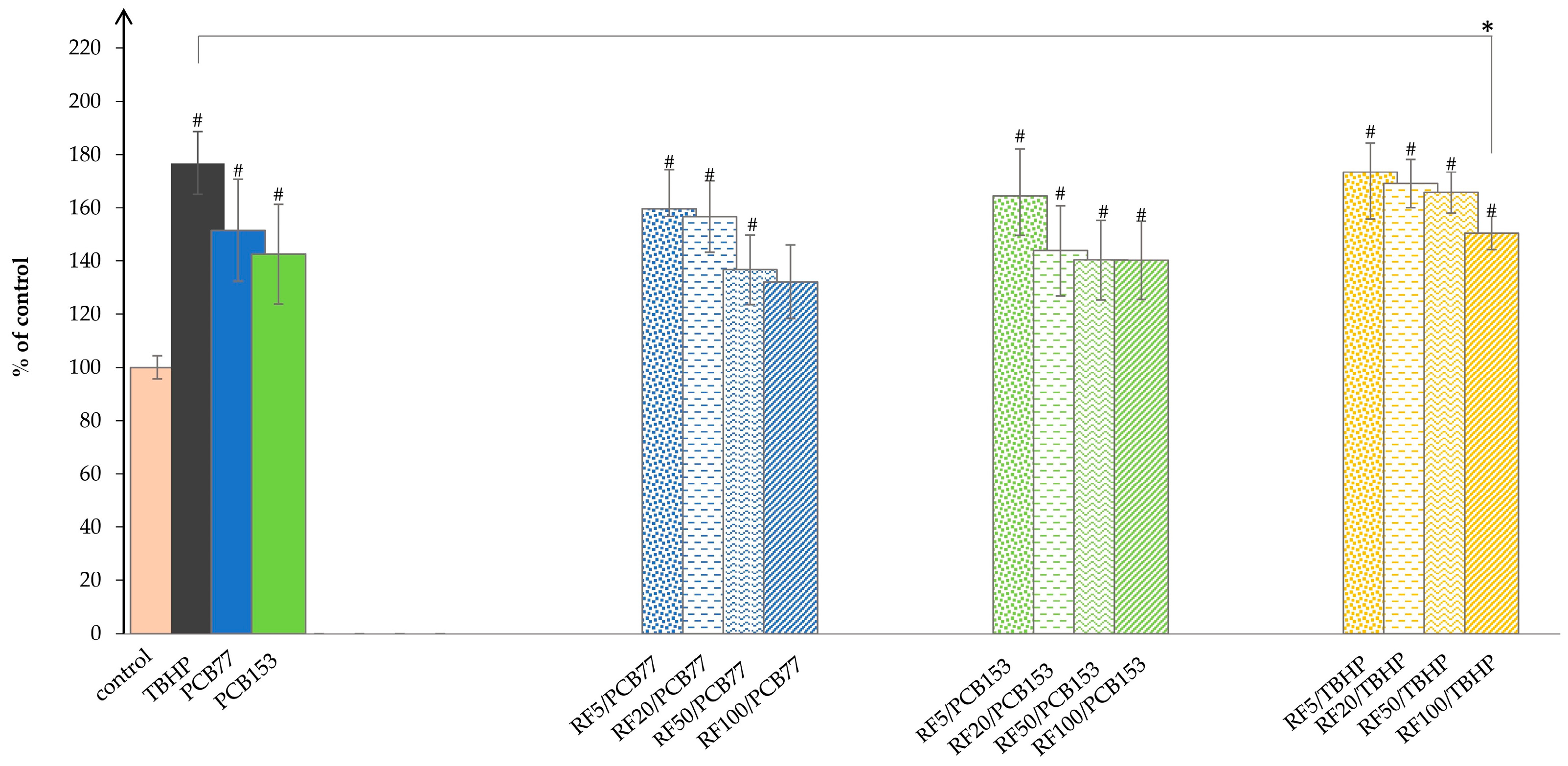
Toxicological evaluation of non-planar di-ortho-substituted PCB 153 and planar PCB 77 was performed in the CHO-K1 cell line after the pre-incubation of cells with a novel RF. For comparison, cells treated only with PCBs were also monitored. To evaluate cell proliferation/survival rate, a basic TB dye exclusion method was applied. The MTT reduction assay was used to determine the level of metabolic activity. NR, a colorimetric-based method, was used to monitor lysosomal integrity as an indirect marker of cellular viability, and the KB assay was used to measure the change in total cell protein content. The summarized results of the assessment of cell proliferation and viability using a battery of four in vitro bioassays are shown in Figure 2. Statistically significant (p < 0.05) cytotoxicity for both PCBs in CHO-K1 cells was confirmed. RF showed remarkable regeneration of cells treated with PCB 153 by all methods used. The viability of cells disturbed by treatment with ortho-substituted PCB 153 was significantly (p < 0.05) improved after the pre-incubation of cells with RF (at doses ≥ 5 µM determined with the TB method; ≥20 µM obtained by MTT and NR methods; ≥35 µM determined by the KB assay). The number of cells pre-incubated with a 100 µM derivative and then treated with 75 µM PCB 153 almost reached that of the control sample, determined by the TB method (Figure 2D). In contrast, no protective effect was observed after treatment of the cells with PCB 77.
Figure 2.
Effect of pre-incubation with the novel ferrocene-containing triacyl derivative of resveratrol (RF) at concentrations of 2.5–100 µM on the viability and proliferation of CHO-K1 cells treated with either 75 µM PCB 77 or PCB 153 determined by Neutral Red (NR) uptake (A), Kenacid Blue (KB) (B), MTT (C), and Trypan Blue (TB) exclusion (D) methods. Control sample—cells treated with 15 μL DMSO mL−1. Results are expressed as a percentage of control ± SEM. Statistically significant differences (Student’s t-test): # p < 0.05 compared to control; * p < 0.05 compared RF + PCB vs. PCB.
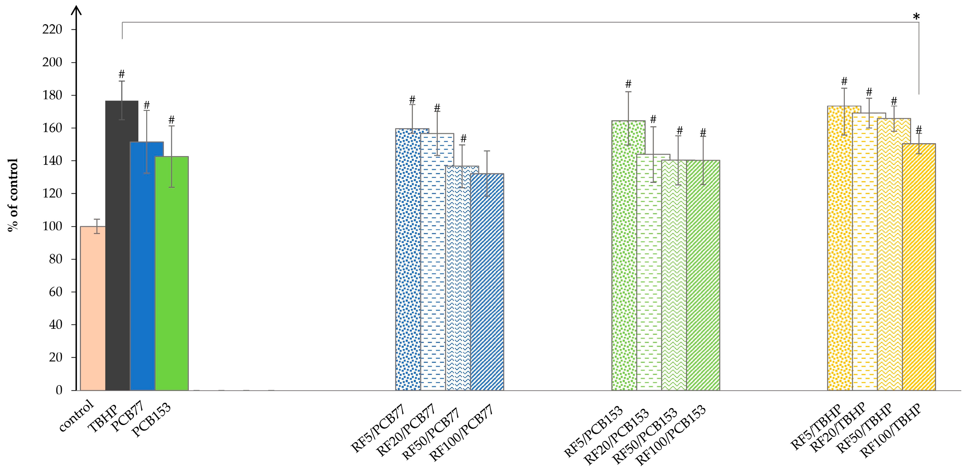
3.2. Antioxidant Activity of Ferrocene-Containing Triacyl Derivative of Resveratrol (RF) in PCB 77- or PCB 153-Treated Cells
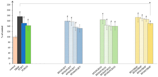
In order to determine the antioxidant activity of novel RF in PCB 77- or PCB 153-treated cells, a DCFDA assay was performed. Both PCB congeners in a 75 µM concentration induced statistically significant (p < 0.05) ROS formation (Figure 3), and those results were in correlation with our previous research [10]. The pre-incubation of CHO-K1 cells with low RF doses showed no protective effect on PCB-induced oxidative stress, but at doses of RF ≥ 50 µM in PCB 77-treated cells, ROS formation was decreased.
Figure 3.
Effect of pre-incubation with novel ferrocene-containing triacyl derivative of resveratrol (RF5–RF100) at concentrations of 5–100 µM on the formation of reactive oxygen species (ROS) in CHO-K1 cells treated with either 75 μM PCB 77 or PCB 153. Control sample—cells treated with 15 μL DMSO mL−1; positive control sample—cells treated with 50 µM tert-butyl hydroperoxide (TBHP). Results are expressed as a percentage of control ± SEM. Statistically significant differences (Student’s t-test): # p < 0.05 compared to control; * p < 0.05 compared RF + TBHP vs. TBHP.
3.3. Effect of Ferrocene-Containing Triacyl Derivative of Resveratrol (RF) on Apoptosis/Necrosis Induced by PCB 77 or PCB 153
Our study was designed to examine whether the pre-incubation of cells with RF could prevent cell death induced by PCB exposure. CHO-K1 cells were cultured with either 75 μM (IC20–IC50 level) PCB 77 or PCB 153 for 24 h, and the occurrence of apoptotic or necrotic events was determined. This study further confirmed the increased number of cells in the apoptotic fraction after PCB exposure (Figure 4 and Figure 5), which is consistent with our previous studies [9,11]. The induction of apoptosis was significant (p < 0.05) for both congeners. In addition, the same endpoints (apoptosis/necrosis) were assessed for cells pre-incubated with RF and subsequently treated with the specific PCB congener. For cells treated with PCB 77, the selected dose range for the pre-incubation with RF was up to 20 µM, as higher doses negatively affected cell viability (Figure 2). The dose range of RF in cells treated with PCB 153 was more extensive, up to 100 µM, considering the protective effect of RF (at these doses) on PCB 153-induced cytotoxicity (Figure 2). The pre-incubation of PCB 77-treated cells with RF did not suppress the induction of cell death (Figure 4); in fact, a statistically significant (p < 0.05) increase in cells in the apoptotic and necrotic fractions was recorded (for 5 µM and 10 µM RF). The intended protective effect of RF was evident when cells were treated with PCB 153 (Figure 5), and these results correlate with those obtained in experiments monitoring cell viability (Figure 2).
Figure 4.
Effect of 2.5–20 µM ferrocene-containing triacyl derivative of resveratrol (RF2.5–RF20) pre-incubation on apoptosis/necrosis induced by 75 μM PCB 77-treated CHO-K1 cells determined by annexin V/7-aminoactinomycin D (7-AAD) staining on a Muse™ Cell Analyzer. (A) The proportion of live, early apoptotic, late apoptotic/dead, and dead cells within the population (mean ± SEM). Statistically significant differences (Student’s t-test): # p < 0.05 compared to control; * p < 0.05 compared RF + PCB 77 vs. PCB 77). (B) Representative flow cytometry dot plots of control (cells treated with 15 μL DMSO mL−1), PCB 77-treated, RF-treated, and PCB 77-treated cells.
Figure 5.
Effect of 2.5–100 µM ferrocene-containing triacyl derivative of resveratrol (RF2.5–RF100) pre-incubation on apoptosis/necrosis induced by 75 μM PCB 153-treated CHO-K1 cells determined by annexin V/7-AAD staining on a Muse™ Cell Analyzer. (A) The proportion of live, early apoptotic, late apoptotic/dead, and dead cells within the population (mean ± SEM). Statistically significant differences (Student’s t-test): # p < 0.05 compared to control; * p < 0.05 compared RF + PCB 153 vs. PCB 153). (B) Representative flow cytometry dot plots of control (cells treated with 15 μL DMSO mL−1), PCB 153-treated, RF-treated, and PCB 153-treated cells.
4. Discussion
The line of PCB adverse effects includes endocrine disruption, harmful effects on the reproductive system that can be passed on to offspring, the central nervous system with developmental and behavioral disorders, dementia, cancer, metabolic disorders, immune system dysfunctions, and cardiovascular disease [18,19]. At the cellular level, oxidative stress and inflammation are known triggering factors leading to toxicity. Planar PCBs (dioxin-like PCBs) are ligands for AhR, while ortho-substituted PCBs act by other mechanisms [20,21]. The confirmed adverse effects of PCBs have led to the search for natural bioactive compounds directed at ameliorating PCB toxicity. Comprehensive studies by Selvakumar et al. [22,23] have shown that quercetin, when administered to rats by gavage (50 mg/kg bwt) together with an i.p. injection of Aroclor 1254 (a mixture of PCB congeners containing 54% chlorine by weight) at a dose of 2 mg/kg bwt, reduced the endogenous hydrogen peroxide and peroxide in homogenates from the brain, cerebellum, and hippocampus to the levels observed in the control group. In addition, the authors reported that quercetin significantly reduced apoptosis and Bax expression in the hippocampus [22,23,24]. Polyphenols, such as quercetin and epigallocatechin gallate, also inhibit the pro-inflammatory effects of PCBs in endothelial cells [25,26]. The hepatoprotective effects of caffeic acid derivatives, chlorogenic acid, ferulic acid, and rosmarinic acid, have been observed in PCB-induced toxic responses [24]. Resveratrol (RSV), a stilbenoid polyphenol, has potent antioxidant activity and has been shown to be effective in alleviating many diseases caused by oxidative stress [27]. Despite the beneficial effects of polyphenols, their clinical application is still mainly limited due to poor pharmacokinetic properties. To overcome these drawbacks, an infinite number of different polyphenol analogs and prodrugs have been synthesized, and various technological approaches have been developed that involve polyphenol incorporation into different delivery systems (e.g., liposomes, nanoparticles). Recently, our group demonstrated a beneficial effect of a novel resveratrol derivative, RF, on multiple cellular endpoints in ovary cell culture [8]. Guided by these positive results, the aim of this study was to explore the possible application of a new RF as a protective agent against the cytotoxic effects of PCBs. To test this hypothesis, ovarian cells were pre-incubated with RF and then treated with a selected PCB congener (di-ortho chlorine-substituted PCB 153 and non-ortho-substituted dioxin-like PCB 77 were used as model PCBs). In order to gather an extensive amount of information for systematic analysis of cell proliferation and viability, four basic bioassays with distinct endpoints were chosen: the TB exclusion method, MTT reduction assay, and NR and KB assays (Figure 2). Statistically significant (p < 0.05) cytotoxicity was confirmed for both PCB congeners by all methods used, which is consistent with our previous studies [9,10,11]. Novel RF improved viability in PCB 153-treated cells more effectively than in cells exposed to PCB 77 and resulted in a significant increase in cell survival almost up to control levels (observed with 100 µM resveratrol derivative). The earliest, statistically significant (p < 0.05) protective effects against PCB 153-induced cytotoxicity were observed by the TB method at 5 µM RF, indicating an increase in the number of live cells (Figure 2D), while (at the same concentration) the metabolic activity of cells (per individual cell) was slightly deprived (determined by the MTT method (Figure 2C)). NR and MTT assays showed the ameliorative effect of RF (in PCB 153-treated cells) at doses ≥ 20 µM, while KB was observed at doses ≥ 35 µM (Figure 2A–C). Recently, our group published a study [28] investigating the effect of RSV on toxicity induced by PCBs in CHO-K1 cells. The results showed that RSV differentially affects cell proliferation and viability in PCB-treated ovarian cells. At low concentrations (<10 μM), cell proliferation and metabolic activity were enhanced, and RSV exerted a protective effect against PCB 153-induced toxicity, whereas these events were reversed at higher concentrations [28]. Compared to RSV, the novel RF showed promising results in terms of improved biological activity and cell protection against PCB 153 toxicity at all concentrations tested (up to 100 µM).
Numerous studies have shown that the adverse effects of PCBs are mediated by the induction of oxidative stress at the cellular level. An imbalance between the overproduction of ROS and antioxidant defense can cause numerous reproductive diseases/disorders, such as endometriosis, polycystic ovary syndrome, unexplained infertility, etc. [29]. To cope with an excess of free radicals generated during oxidative stress, cells have evolved various mechanisms to maintain redox homeostasis, like scavenging or detoxifying ROS, blocking free radical formation, and/or sequestering transition metals. With the aforementioned, enzymatic/non-enzymatic antioxidant defense can be triggered endogenously or supplied by the diet. Among exogenous defenses, dietary polyphenols (RSV in particular) have been widely studied for their potent antioxidant capacities and other properties by which cellular functions are regulated [30]. Hence, in the next series of experiments, the ability of novel RF to attenuate the production of ROS in PCB-exposed cells was assessed. ROS level was measured using the DCFH fluorescence reaction. Both PCBs at the tested concentration (75 µM) induced significant (p < 0.05) ROS formation in ovarian cells (Figure 3), which is consistent with our previous studies [10,11], as well as with the results of other studies [15,31]. Thus, reducing intracellular ROS levels could be an effective strategy to prevent PCB-induced cytotoxicity. The pre-incubation of cells with RF (≥50 µM) resulted in ROS depletion primarily after PCB 77 exposure (although the results were not significant), whereas no such effect was observed with PCB 153 (Figure 3). Considering the protective effect of RF on cell viability in PCB 153-treated cells, we hypothesized that a reduction in ROS will be present as well. The opposite results suggest that the protective effect of RF on cytotoxicity induced by ortho-substituted PCBs is achieved by other mechanisms unrelated to changes in oxidative stress. We assume that inflammatory processes could be the mediators affected by RF, but this claim needs to be confirmed in further studies. The pro-inflammatory effects of PCB 153 via cytokine expression are well documented by other authors [32,33]. Recent scientific studies also support the hypothesis regarding the biological activity of polyphenols in terms of inflammation prevention [34].
Scientific data suggest that the pre-incubation of cell cultures with polyphenols causes a reduction in apoptosis induced by various toxicants. In the present study, we investigated the possible protective mechanism of a resveratrol derivative against cell death resulting from PCB 77 (Figure 4) and PCB 153 treatment (Figure 5). Using the flow cytometry technique, we confirmed the induction of apoptosis for both PCBs. Then, experiments were set up to assess whether the resveratrol derivative is able to attenuate PCB-induced apoptosis in ovarian cells. A noticeable protective effect of RF (at doses up to 100 µM) was observed when cells were treated with an ortho-substituted PCB congener—PCB 153. This effect is clearly consistent with the results obtained using cytotoxicity bioassays. Other scientific studies also confirm the anti-apoptotic effect of polyphenols in different experimental models. Bhattacharyya and co-workers demonstrated that curcumin down-regulated the Bax level while augmenting Bcl-2 expression in T cells of the tumor bearer, thereby protecting the immunocytes from tumor-induced apoptosis [35]. Lycopene supplementation in adult albino rats prevents ROS-mediated apoptosis in Sertoli cells exposed to PCBs [36]. Caffeic acid, ellagic acid, and ferulic acid inhibit apoptosis in normal human peripheral blood mononuclear cells by a Bcl-2-independent mechanism [37]. A neuroprotective role of quercetin on PCB-induced apoptosis was observed by Selvakumar et al. (2012) [23]. Previously, we found a mild protective/anti-apoptotic effect of RSV in PCB 153-treated cells. The activity of the novel resveratrol derivative against PCB toxicity was significantly improved compared with RSV—the viability of PCB 153-treated cells was protected, cytotoxicity was reduced, and apoptosis was alleviated.
5. Conclusions
Numerous research projects are currently focusing on the development of various strategies to improve the bioavailability and biological activity of polyphenols. Ferrocenyl-based polyphenolic compounds have many enhanced properties and offer valuable therapeutic effects. Our data suggest that the newly synthesized compound, RF, has the potential to confront persistent organochlorine compounds, as demonstrated here with ortho-substituted PCB 153. RF restored cell viability impaired by PCB 153 to control levels by reducing the extent of apoptotic and necrotic cell death. The pre-incubation of ovarian cells with low doses of RF showed no protective efficacy on PCB-induced oxidative stress, but at RF doses of ≥50 µM, ROS formation was decreased. The presence of ferrocenyl units (esterification of all three hydroxyl groups) on RSV clearly improved the biological activity of this polyphenol in protecting cells from PCB 153. Future research focus should be the possible protective effect of RF on cytotoxicity induced by other ortho-PCB congeners and a deeper analysis of the mechanisms by which this effect is achieved.
Author Contributions
Conceptualization, I.K.; methodology, T.M.; validation, M.M.; formal analysis, T.M.; investigation, M.M. and T.M.; resources, V.K.; data curation, M.M.; writing—original draft preparation, I.K.; writing—review and editing, N.B.; supervision, B.Š.; project administration, L.B.; funding acquisition, L.B. and I.K. All authors have read and agreed to the published version of the manuscript.
Funding
This research was funded by the Croatian Science Foundation, grant No. IP-2020-02-9162, and the University of Zagreb, grant No. 0000 7000 2425. The APC was funded by MDPI.
Data Availability Statement
The raw data supporting the conclusions of this article will be made available by the authors upon request.
Conflicts of Interest
The authors declare no conflicts of interest.
References
- Berman, A.Y.; Motechin, R.A.; Wiesenfeld, M.Y.; Holz, M.K. The therapeutic potential of resveratrol: A review of clinical trials. NPJ Precis. Oncol. 2017, 1, 35. [Google Scholar] [CrossRef] [PubMed]
- Delmas, D.; Cornebise, C.; Courtaut, F.; Xiao, J.; Aires, V. New Highlights of Resveratrol: A Review of Properties against Ocular Diseases. Int. J. Mol. Sci. 2021, 22, 1295. [Google Scholar] [CrossRef] [PubMed]
- Vestergaard, M.; Ingmer, H. Antibacterial and antifungal properties of resveratrol. Int. J. Antimicrob. Agents 2019, 53, 716–723. [Google Scholar] [CrossRef] [PubMed]
- Pasquariello, R.; Verdile, N.; Brevini, T.A.L.; Gandolfi, F.; Boiti, C.; Zerani, M.; Maranesi, M. The Role of Resveratrol in Mammalian Reproduction. Molecules 2020, 25, 4554. [Google Scholar] [CrossRef] [PubMed]
- Chimento, A.; De Amicis, F.; Sirianni, R.; Sinicropi, M.S.; Puoci, F.; Casaburi, I.; Saturnino, C.; Pezzi, V. Progress to Improve Oral Bioavailability and Beneficial Effects of Resveratrol. Int. J. Mol. Sci. 2019, 20, 1381. [Google Scholar] [CrossRef] [PubMed]
- Intagliata, S.; Modica, M.N.; Santagati, L.M.; Montenegro, L. Strategies to Improve Resveratrol Systemic and Topical Bioavailability: An Update. Antioxidants 2019, 8, 244. [Google Scholar] [CrossRef] [PubMed]
- Micale, N.; Molonia, M.S.; Citarella, A.; Cimino, F.; Saija, A.; Cristani, M.; Speciale, A. Natural Product-Based Hybrids as Potential Candidates for the Treatment of Cancer: Focus on Curcumin and Resveratrol. Molecules 2021, 26, 4665. [Google Scholar] [CrossRef] [PubMed]
- Kmetič, I.; Murati, T.; Kovač, V.; Landeka Jurčević, I.; Šimić, B.; Radošević, K.; Miletić, M. Novel ferrocene-containing triacyl derivative of resveratrol improves viability parameters in ovary cells. J. Appl. Toxicol. 2023, 43, 1159–1168. [Google Scholar] [CrossRef] [PubMed]
- Murati, T.; Šimić, B.; Brozovic, A.; Kniewald, J.; Miletić Gospić, A.; Bilandžić, N.; Kmetič, I. PCB 77 action in ovary cells–toxic effects, apoptosis induction and cell cycle analysis. Toxicol. Mech. Methods 2015, 25, 302–311. [Google Scholar] [CrossRef]
- Murati, T.; Šimić, B.; Pleadin, J.; Vukmirović, M.; Miletić, M.; Durgo, K.; Kniewald, J.; Kmetič, I. Reduced cytotoxicity in PCB-exposed Chinese Hamster Ovary (CHO) cells pretreated with vitamin E. Food Chem. Toxicol. 2017, 99, 17–23. [Google Scholar] [CrossRef]
- Miletić, M.; Murati, T.; Šimić, B.; Bilandžić, N.; Brozović, A.; Kmetič, I. Ortho-substituted PCB 153: Effects in CHO-K1 cells. Arh. Hig. Rada Toksikol. 2021, 72, 326–332. [Google Scholar] [CrossRef] [PubMed]
- van den Berg, M.; Kypke, K.; Kotz, A.; Tritscher, A.; Lee, S.Y.; Magulova, K.; Fiedler, H.; Malisch, R. WHO/UNEP global surveys of PCDDs, PCDFs, PCBs and DDTs in human milk and benefit-risk evaluation of breastfeeding. Arch. Toxicol. 2017, 91, 83–96. [Google Scholar] [CrossRef] [PubMed]
- Pessah, I.N.; Lein, P.J.; Seegal, R.F.; Sagiv, S.K. Neurotoxicity of polychlorinated biphenyls and related organohalogens. Acta Neuropathol. 2019, 138, 363–387. [Google Scholar] [CrossRef] [PubMed]
- Ghosh, S.; De, S.; Chen, Y.; Sutton, D.C.; Ayorinde, F.O.; Dutta, S.K. Polychlorinated biphenyls (PCB-153) and (PCB-77) absorption in human liver (HepG2) and kidney (HK2) cells in vitro: PCB levels and cell death. Environ. Int. 2010, 36, 893–900. [Google Scholar] [CrossRef] [PubMed]
- Zhu, Y.; Kalen, A.L.; Li, L.; Lehmler, H.J.; Robertson, L.W.; Goswami, P.C.; Spitz, D.R.; Aykin-Burns, N. Polychlorinated biphenyl (PCB)—Induced oxidative stress and cytotoxicity can be mitigated by antioxidants following exposure. Free Radic. Bio. Med. 2009, 47, 1762–1771. [Google Scholar] [CrossRef] [PubMed]
- Freshney, R.I. Culture of Animal Cells: A Manual of Basic Techniques, 5th ed.; John Wiley & Sons Inc.: Hoboken, NJ, USA, 2005. [Google Scholar]
- O’Hare, S.; Atterwill, C.K. (Eds.) In Vitro Toxicity Testing Protocols, Methods in Molecular Biology; Humana Press: Totowa, NJ, USA, 1995; Volume 43. [Google Scholar]
- Schæbel, L.K.; Bonefeld-Jørgensen, E.C.; Vestergaard, H.; Andersen, S. The influence of persistent organic pollutants in the traditional Inuit diet on markers of inflammation. PLoS ONE 2017, 12, e0177781. [Google Scholar] [CrossRef] [PubMed]
- Montano, L.; Pironti, C.; Pinto, G.; Ricciardi, M.; Buono, A.; Brogna, C.; Venier, M.; Piscopo, M.; Amoresano, A.; Motta, O. Polychlorinated Biphenyls (PCBs) in the Environment: Occupational and Exposure Events, Effects on Human Health and Fertility. Toxics 2022, 10, 365. [Google Scholar] [CrossRef] [PubMed]
- Simon, T.; Britt, J.K.; James, R.C. Development of a neurotoxic equivalence scheme of relative potency for assessing the risk of PCB mixtures. Regul. Toxicol. Pharm. 2007, 48, 148–170. [Google Scholar] [CrossRef] [PubMed]
- Zhang, W.; Sargis, R.M.; Volden, P.A.; Carmean, C.M.; Sun, X.J.; Brady, M.J. PCB 126 and other dioxin-like PCBs specifically suppress hepatic PEPCK expression via the aryl hydrocarbon receptor. PLoS ONE 2012, 7, e37103. [Google Scholar] [CrossRef]
- Selvakumar, K.; Bavithra, S.; Krishnamoorthy, G.; Venkataraman, P.; Arunakaran, J. Polychlorinated biphenyls-induced oxidative stress on rat hippocampus: A neuroprotective role of quercetin. Sci. World J. 2012, 2012, 980314. [Google Scholar] [CrossRef]
- Selvakumar, K.; Bavithra, S.; Suganthi, M.; Benson, C.S.; Elumalai, P.; Arunkumar, R.; Krishnamoorthy, G.; Venkataraman, P.; Arunakaran, J. Protective Role of Quercetin on PCBs-Induced Oxidative Stress and Apoptosis in Hippocampus of Adult Rats. Neurochem. Res. 2012, 37, 708–721. [Google Scholar] [CrossRef]
- Żwierełło, W.; Maruszewska, A.; Skórka-Majewicz, M.; Goschorska, M.; Baranowska-Bosiacka, I.; Dec, K.; Styburski, D.; Nowakowska, A.; Gutowska, I. The influence of polyphenols on metabolic disorders caused by compounds released from plastics—Review. Chemosphere 2020, 240, 124901. [Google Scholar] [CrossRef]
- Choi, Y.J.; Arzuaga, X.; Kluemper, C.T.; Caraballo, A.; Toborek, M.; Hennig, B. Quercetin blocks caveolae-dependent pro-inflammatory responses induced by co-planar PCBs. Environ. Int. 2010, 36, 931–934. [Google Scholar] [CrossRef] [PubMed]
- Liu, D.; Perkins, J.T.; Hennig, B. EGCG prevents PCB-126-induced endothelial cell inflammation via epigenetic modifications of NF-κB target genes in human endothelial cells. J. Nutr. Biochem. 2016, 28, 164–170. [Google Scholar] [CrossRef]
- Gu, T.; Wang, N.; Wu, T.; Ge, Q.; Chen, L. Antioxidative Stress Mechanisms behind Resveratrol: A Multidimensional Analysis. J. Food Quality 2021, 2021, 5571733. [Google Scholar] [CrossRef]
- Miletić, M.; Kmetič, I.; Kovač, V.; Šimić, B.; Petković, T.; Švob Štrac, D.; Pleadin, J.; Murati, T. Resveratrol ameliorates ortho-polychlorinated biphenyls’ induced toxicity in ovary cells. Environ. Sci. Pollut. Res. 2023, 30, 77318–77327. [Google Scholar] [CrossRef] [PubMed]
- Agarwal, A.; Aponte-Mellado, A.; Premkumar, B.J.; Shaman, A.; Gupta, S. The effects of oxidative stress on female reproduction: A review. Reprod. Biol. Endocrinol. 2012, 10, 49. [Google Scholar] [CrossRef] [PubMed]
- Han, X.; Shen, T.; Lou, H. Dietary Polyphenols and Their Biological Significance. Int. J. Mol. Sci. 2007, 8, 950–988. [Google Scholar] [CrossRef]
- Schlezinger, J.J.; Struntz, W.D.; Goldstone, J.V.; Stegeman, J.J. Uncoupling of cytochrome P450 1A and stimulation of reactive oxygen species production by co-planar polychlorinated biphenyl congeners. Aquat. Toxicol. 2006, 77, 422–432. [Google Scholar] [CrossRef]
- IARC. Polychlorinated Biphenyls and Polybrominated Biphenyls; (IARC Monographs on the Evaluation of Carcinogenic Risks to Humans, No. 107); International Agency for Research on Cancer: Lyon, France, 2016. Available online: https://www.ncbi.nlm.nih.gov/books/NBK361696/pdf/Bookshelf_NBK361696.pdf (accessed on 10 January 2024).
- Phillips, M.C.; Dheer, R.; Santaolalla, R.; Davies, J.M.; Burgueño, J.; Lang, J.K.; Toborek, M.; Abreu, M.T. Intestinal exposure to PCB 153 induces inflammation via the ATM/NEMO pathway. Toxicol. Appl. Pharmacol. 2018, 339, 24–33. [Google Scholar] [CrossRef]
- Hussain, T.; Tan, B.; Yin, Y.; Blachier, F.; Tossou, M.C.; Rahu, N. Oxidative Stress and Inflammation: What Polyphenols Can Do for Us? Oxidative Med. Cell. Longev. 2016, 2016, 7432797. [Google Scholar] [CrossRef] [PubMed]
- Bhattacharyya, S.; Mandal, D.; Saha, B.; Sen, G.S.; Das, T.; Sa, G. Curcumin prevents tumor-induced T cell apoptosis through Stat-5a-mediated Bcl-2 induction. J. Biol. Chem. 2007, 282, 15954–15964. [Google Scholar] [CrossRef] [PubMed]
- Krishnamoorthy, G.; Selvakumar, K.; Venkataraman, P.; Elumalai, P.; Arunakaran, J. Lycopene supplementation prevents reactive oxygen species mediated apoptosis in Sertoli cells of adult albino rats exposed to polychlorinated biphenyls. Interdiscip. Toxicol. 2013, 6, 83–92. [Google Scholar] [CrossRef] [PubMed]
- Khanduja, K.L.; Avti, P.K.; Kumar, S.; Mittal, N.; Sohi, K.K.; Pathak, C.M. Anti-apoptotic activity of caffeic acid, ellagic acid and ferulic acid in normal human peripheral blood mononuclear cells: A Bcl-2 independent mechanism. Biochim. Biophys. Acta Gen. Subj. 2006, 1760, 283–289. [Google Scholar] [CrossRef]
Disclaimer/Publisher’s Note: The statements, opinions and data contained in all publications are solely those of the individual author(s) and contributor(s) and not of MDPI and/or the editor(s). MDPI and/or the editor(s) disclaim responsibility for any injury to people or property resulting from any ideas, methods, instructions or products referred to in the content. |
© 2024 by the authors. Licensee MDPI, Basel, Switzerland. This article is an open access article distributed under the terms and conditions of the Creative Commons Attribution (CC BY) license (https://creativecommons.org/licenses/by/4.0/).




