Study on the Effect of Thermal Assisted Combined Plant-Based Biomass Conditioning on Dehydrated Sludge Bio-Drying
Abstract
1. Introduction
2. Materials and Methods
2.1. Experimental Materials
2.2. Experimental Setup
2.3. Experimental Methods
2.3.1. Experimental Procedures
- Before the start of the bio-drying experiment, a dose of composite thermophilic bacteria with a mass ratio of 100:1 was inoculated, and the material was fed into the reactor. The ventilation rate, heating temperature, upper and lower limits of material temperature, stirring speed, and stirring frequency were set through the digital panel. After ensuring that the sampling port above was closed, the control system was activated to start the bio-drying experiment.
- During the bio-drying experiment, each group of experiments used a stirrer to continuously stir the materials, with a stirring frequency of 4.6 r/min and a ventilation rate of 1.58 L/(min·kg). During the experiment, samples were taken every 2 h to measure the moisture content, thermocouples were used to record the temperature changes in the stack every 5 min, humidity sensors were used to monitor the moisture content changes in the inlet and outlet air, and samples were taken every 2 h to measure the moisture content changes in the mixed materials.
- After the bio-drying experiment was completed, we stopped the reactor control system, opened the discharge port below, cleaned the drying products, and conducted the moisture content test. After sealing the remaining products, we sent them to a professional testing institution for characterization of calorific value. After the temperature inside the reactor returned to room temperature, we proceeded to the next set of bio-drying experiments.
2.3.2. Characterization
3. Results
3.1. The Effect of Thermal Assistance on Dehydrated Sludge Bio-Drying
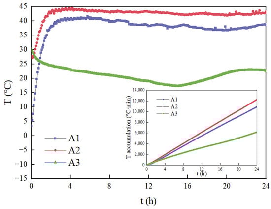
3.1.1. Temperature Changes
3.1.2. Moisture Removal Effect
3.2. The Effect of Thermal Assisted Combined Plant-Based Biomass Conditioning on Dehydrated Sludge Bio-Drying
3.2.1. The Effect of Different Types of Conditioners under Thermal Assistance on the Bio-Drying Characteristics of Dehydrated Sludge
- Temperature changes
- 2.
- Moisture removal effect
- 3.
- Product calorific value
- 4.
- Surface morphology
- Corncob
- Straw
- Sawdust
- Rice husk
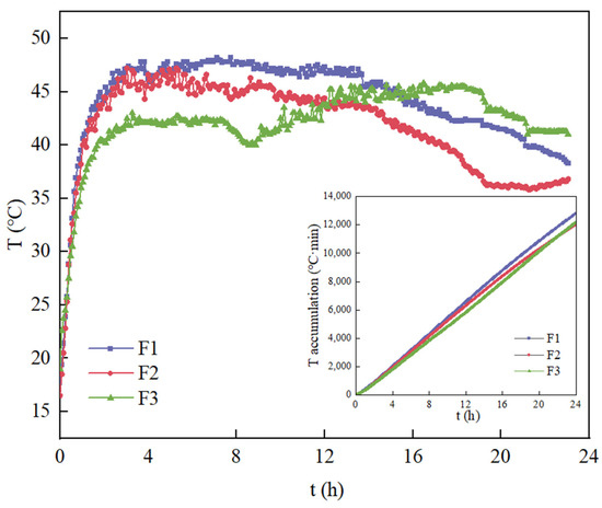
3.2.2. The Effect of Conditioner Ratio under Thermal Assistance on the Bio-Drying Characteristics of Dehydrated Sludge
- Temperature changes
- 2.
- Moisture removal effect
- 3.
- Product calorific value
4. Conclusions
Author Contributions
Funding
Data Availability Statement
Conflicts of Interest
References
- Wei, L.; Zhu, F.; Li, Q.; Xue, C.; Xia, X.; Yu, H.; Zhao, Q.; Jiang, J.; Bai, S. Development, current state and future trends of sludge management in China: Based on exploratory data and CO2-equivaient emissions analysis. Environ. Int. 2020, 144, 106093. [Google Scholar] [CrossRef] [PubMed]
- Zhang, Q.H.; Yang, W.N.; Ngo, H.H.; Guo, W.S.; Jin, P.K.; Dzakpasu, M.; Yang, S.J.; Wang, Q.; Wang, X.C.; Ao, D. Current status of urban wastewater treatment plants in China. Environ. Int. 2016, 92–93, 11–22. [Google Scholar] [CrossRef]
- Raheem, A.; Sikarwar, V.S.; He, J.; Dastyar, W.; Dionysiou, D.D.; Wang, W.; Zhao, M. Opportunities and challenges in sustainable treatment and resource reuse of sewage sludge: A review. Chem. Eng. J. 2018, 337, 616–641. [Google Scholar] [CrossRef]
- Cai, L.; Krafft, T.; Chen, T.B.; Lv, W.Z.; Gao, D.; Zhang, H.Y. New insight into biodrying mechanism associated with tryptophan andtyrosine degradations during sewage sludge biodrying. Bioresour. Technol. 2017, 244, 132–141. [Google Scholar] [CrossRef] [PubMed]
- Dos Reis, R.F.; Sergio Cordeiro, J.; Font, X.; Laguna Achon, C. The biodrying process of sewade sludge—A review. Dry. Technol. 2020, 38, 1247–1260. [Google Scholar] [CrossRef]
- Yañez, R.; Alonso, J.L.; Díaz, M.J. Influence of bulking agent on sewage sludge composting process. Bioresour. Technol. 2009, 100, 5827–5833. [Google Scholar] [CrossRef] [PubMed]
- Villegas, M.; Huiliñir, C. Biodrying of sewage sludge: Kinetics of volatile solids degradation under different initial moisture contents and air-flow rates. Bioresour. Technol. 2014, 174, 33–41. [Google Scholar] [CrossRef] [PubMed]
- Ma, J.; Zhang, L.; Mu, L.; Zhu, K.; Li, A. Multivariate insights of bulking agents influence on co-biodrying of sewage sludge and food waste: Process performance, organics degradation and microbial community. Sci. Total Environ. 2019, 681, 18–27. [Google Scholar] [CrossRef] [PubMed]
- Léonard, A.; Blacher, S.; Marchot, P.; Pirard, J.P.; Crine, M. Convective Drying of Wastewater Sludges: Influence of Air Temperature, Superficial Velocity, and Humidity on the Kinetics. Dry. Technol. 2005, 23, 1667–1679. [Google Scholar] [CrossRef]
- Fumihito, M.; Kazunori, I. Effect of compost temperature on oxygen uptake rate, specific growth rate and enzymatic activity of microorganisms in dairy cattle manure. Bioresour. Technol. 2006, 97, 961–965. [Google Scholar]
- Huang, D.-L.; Zeng, G.-M.; Feng, C.-L.; Hu, S.; Lai, C.; Zhao, M.-H.; Su, F.-F.; Tang, L.; Liu, H.-L. Changes of microbial population structure related to lignin degradation during lignocellulosic waste composting. Bioresour. Technol. 2009, 101, 4062–4067. [Google Scholar] [CrossRef] [PubMed]
- Tang, J.C.; Kanamori, T.; Inoue, Y.; Yasuta, T.; Yoshida, S.; Katayama, A. Changes in the microbial community structure during thermophilic composting of manure as detected by the quinone profile method. Process Biochem. 2003, 39, 1999–2006. [Google Scholar] [CrossRef]
- Cai, L.; Chen, T.B.; Gao, D.; Yu, J. Bacterial communities and their association with the bio-drying of sewage sludge. Water Res. 2016, 90, 44–51. [Google Scholar] [CrossRef] [PubMed]
- Zhao, L.; Gu, W.-M.; He, P.-J.; Shao, L.-M. Biodegradation potential of bulking agents used in sludge bio-drying and their contribution to bio-generated heat. Water Res. 2011, 45, 2322–2330. [Google Scholar] [CrossRef] [PubMed]
- Song, X.; Ma, J.; Gao, J.; Liu, Y.; Hao, Y.; Li, W.; Hu, R.; Li, A.; Zhang, L. Optimization of bio-drying of kitchen waste: Inoculation, initial moisture content and bulking agents. J. Mater. Cycles Waste Manag. 2017, 19, 496–504. [Google Scholar] [CrossRef]
- Liu, Z.; Xu, Z.; Zhu, X.; Yin, L.; Yin, Z.; Li, X.; Zheng, W. Calculation of carbon emissions in wastewater treatment and its neutralization measures: A review. Sci. Total Environ. 2024, 912, 169356. [Google Scholar] [CrossRef]
- Srivastava, R.K.; Shetti, N.P.; Reddy, K.R.; Kwon, E.E.; Nadagouda, M.N.; Aminabhavi, T.M. Biomass utilization and production of biofuels from carbon neutral materials. Environ. Pollut. 2021, 276, 116731. [Google Scholar] [CrossRef] [PubMed]
- Li, G.; Zhang, F.; Sun, Y.; Wong, J.W.C.; Fang, M. Chemical Evaluation of Sewage Sludge Composting as a Mature Indicator for Composting Process. Water Air Soil Pollut. 2001, 132, 333–345. [Google Scholar] [CrossRef]
- Kulikowska, D.; Bernat, K.; Zaborowska, M.; Zielińska, M. Municipal Sewage Sludge Composting in the Two-Stage System: The Role of Different Bulking Agents and Amendments. Energies 2022, 15, 5014. [Google Scholar] [CrossRef]
- Jemaat, Z.; Qi, Y.W. Spent Labisia pumilia as a bulking agent for palm oil mill sludge composting. Mater. Today Proc. 2022, 57, 1067–1070. [Google Scholar] [CrossRef]
- Zhang, D.; Luo, W.; Li, Y.; Wang, G.; Li, G. Performance of co-composting sewage sludge and organic fraction of municipal solid waste at different proportions. Bioresour. Technol. 2018, 250, 853–859. [Google Scholar] [CrossRef]
- Ponsá, S.; Pagans, E.; Sánchez, A. Composting of dewatered wastewater sludge with various ratios of pruning waste used as a bulking agent and monitored by respirometer. Biosyst. Eng. 2009, 102, 433–443. [Google Scholar] [CrossRef]
- Li, Q.; Cheng, T.; Lu, Y.; Zhang, B.; Huang, Y.; Yang, Y.; Li, C.; Li, J.; Wang, H.; Fu, P. Sludge low-temperature drying with mainly non-phase change in mere seconds based on particle high-speed self-rotation in cyclone. Water Res. 2022, 224, 119092. [Google Scholar] [CrossRef] [PubMed]
- Ma, J.; Zhang, L.; Mu, L.; Zhu, K.; Li, A. Energetic enhancement of thermal assistance in the cooling stage of biodrying by stimulating microbial degradation. Waste Manag. 2019, 89, 165–176. [Google Scholar] [CrossRef] [PubMed]
- Yuan, J.; Zhang, D.; Li, Y.; Chadwick, D.; Li, G.; Du, L. Effects of adding bulking agents on biostabilization and drying of municipal solid waste. Waste Manag. 2017, 62, 52–60. [Google Scholar] [CrossRef] [PubMed]
- Zhang, H.Y.; Krafft, T.; Gao, D.; Zheng, G.D.; Cai, L. Lignocellulose biodegradation in the biodrying process of sewage sludge and sawdust. Dry. Technol. 2017, 36, 316–324. [Google Scholar] [CrossRef]
- Komilis, D.P.; Ham, R.K. The effect of lignin and sugars to the aerobic decomposition of solid wastes. Waste Manag. 2003, 23, 419–423. [Google Scholar] [CrossRef]
- Petric, I.; Šestan, A.; Šestan, I. Influence of wheat straw addition on composting of poultry manure. Process Saf. Environ. Prot. 2009, 87, 206–212. [Google Scholar] [CrossRef]











| Drying Technologies | Characteristics |
|---|---|
| Natural drying | Natural drying utilizes natural forces such as solar energy for dehydration, which is low-cost but occupies a large area, has a long drying cycle, requires a lot of manpower, and the drying effect is easily affected by climate conditions. |
| Thermal drying | Thermal drying uses direct heating to increase the temperature of sludge, which consumes a lot of energy, has insufficient water removal efficiency, and also has the problem of pollution of thermal conductive media. |
| Frying drying | Frying drying involves immersing sludge in hot oil at approximately 150 °C, transferring heat directly to water molecules in the sludge. But this method is obtained based on the combustion of fossil fuels, so it is limited in large-scale promotion. |
| Microwave drying | Microwave drying is the process of inducing water molecules in sludge to rotate through the application of an electric field. The oscillating electromagnetic field generates resistance forces such as friction, elasticity, and inertia, thereby increasing the overall temperature of the sludge. But microwave drying requires high requirements for raw materials. |
| Bio-drying | Bio-drying is the process of generating heat through aerobic metabolism of microorganisms, achieving the self-heating and high-temperature state of the material, and carrying out the evaporated moisture of the material through forced ventilation. The treatment cycle of bio-drying is short, the operating cost is low, and the technical adaptability is strong. |
| Items | Dehydrated Sludge | Straw | Rice Husk | Sawdust | Corncob |
|---|---|---|---|---|---|
| Moisture content (%) | 84.5~89.7 (87.1) | 11.8~14.7 (13.3) | 10.9~11.9 (11.4) | 27.8~29.5 (28.7) | 11.2~14.1 (12.7) |
| Volatile matter (%) | 45.9~46.2 (46.1) | 85.7~86.1 (85.9) | 82.9~83.2 (83.1) | 92.9~93.2 (93.1) | 95.9~96.2 (96.1) |
| C (%) | 51.41 | 36.34 | 35.56 | 43.14 | 43.62 |
| H (%) | 4.14 | 5.45 | 5.35 | 5.95 | 6.11 |
| N (%) | 7.61 | 0.66 | 0.39 | 0.08 | 0.28 |
| S (%) | 0.89 | 0.13 | 0.12 | 0.10 | 0.14 |
| Qnet,d (kJ/kg) | 11,790.0 | 13,294.7 | 13,491.18 | 16,362.5 | 16,574.2 |
| Qnet,ar (kJ/kg) | 1925.5 | 13,034.8 | 13,113.1 | 16,169.4 | 16,482.6 |
| Bulk density (kg/m3) | 970 | 259 | 355 | 167 | 287 |
| Hemicellulose (%TS) | - | 20.88 | 18.72 | 13.56 | 37.74 |
| Cellulose (%TS) | - | 28.39 | 25.95 | 33.75 | 35.19 |
| Lignin (%TS) | - | 17.30 | 26.09 | 22.01 | 8.22 |
| Items | Method | Instrument Model |
|---|---|---|
| Moisture content | Gravimetric method | DHG-9030A, Shanghai Peiyin Instruments, Shanghai, China |
| Volatile matter | Gravimetric method | SX2-4-10A, Shangcheng instruments, Shaoxing, China |
| C, H, N, S | Elemental analysis method | Vario UNICUBE, Elemantar, Rhein-Main-Gebiet, Germany |
| ulk density | Volumetric method | ZS-102 vibrating density meter, Dedu instruments, Changzhou, China |
| Calorific value | Oxygen bomb combustion method | 5E-AC8018, Kaiyuan Instruments, Changsha, China |
| Cellulose, hemicellulose, and lignin | Van Soest abstersion fiber method | ANKOM220 fiber analyzer, ANKOM Technology, Fairport, NY, USA |
| Groups | Types | Materials | Temperature (°C) |
|---|---|---|---|
| A1 | Thermal assisted bio-drying | 5 kg dehydrated sludge + 50 g bacterial preparations | 75 |
| A2 | Thermal drying | 5 kg dehydrated sludge | 75 |
| A3 | Bio-drying | 5 kg dehydrated sludge + 50 g bacterial preparations | - |
| Groups | Conditioners | Initial Moisture Content |
|---|---|---|
| E1 | Corncob | 71.69% |
| E2 | Straw | 72.15% |
| E3 | Sawdust | 76.73% |
| E4 | Rice husk | 73.32% |
| E5 | - | 84.61% |
| Groups | Qnet,ar (kJ/kg) | Qnet,d (kJ/kg) | Qgr,d (kJ/kg) |
|---|---|---|---|
| E1 | 8801.7 | 10,154.7 | 16,804.1 |
| E2 | 11,608.8 | 14,652.8 | 16,276.0 |
| E3 | 10,487.2 | 15,366.8 | 16,798.0 |
| E4 | 10,272.0 | 14,528.6 | 15,883.0 |
| Groups | Total Mass | Msludge:Mconditioner | Initial Moisture Content |
|---|---|---|---|
| F1 | 5 kg | 3:1 | 69.09% |
| F2 | 5 kg | 4:1 | 72.15% |
| F3 | 5 kg | 5:1 | 75.63% |
| Groups | Qnet,ar (kJ/kg) | Qnet,d (kJ/kg) | Qgr,d (kJ/kg) |
|---|---|---|---|
| F1 | 11,055.4 | 14,707.1 | 16,325.7 |
| F2 | 11,608.8 | 14,652.8 | 16,276.0 |
| F3 | 8671.7 | 14,507.1 | 16,125.8 |
Disclaimer/Publisher’s Note: The statements, opinions and data contained in all publications are solely those of the individual author(s) and contributor(s) and not of MDPI and/or the editor(s). MDPI and/or the editor(s) disclaim responsibility for any injury to people or property resulting from any ideas, methods, instructions or products referred to in the content. |
© 2024 by the authors. Licensee MDPI, Basel, Switzerland. This article is an open access article distributed under the terms and conditions of the Creative Commons Attribution (CC BY) license (https://creativecommons.org/licenses/by/4.0/).
Share and Cite
Li, H.; Luo, Y.; Jiang, C.; Wang, Y.; Xiang, L. Study on the Effect of Thermal Assisted Combined Plant-Based Biomass Conditioning on Dehydrated Sludge Bio-Drying. Processes 2024, 12, 943. https://doi.org/10.3390/pr12050943
Li H, Luo Y, Jiang C, Wang Y, Xiang L. Study on the Effect of Thermal Assisted Combined Plant-Based Biomass Conditioning on Dehydrated Sludge Bio-Drying. Processes. 2024; 12(5):943. https://doi.org/10.3390/pr12050943
Chicago/Turabian StyleLi, He, Yujie Luo, Chang Jiang, Yizhuo Wang, and Lu Xiang. 2024. "Study on the Effect of Thermal Assisted Combined Plant-Based Biomass Conditioning on Dehydrated Sludge Bio-Drying" Processes 12, no. 5: 943. https://doi.org/10.3390/pr12050943
APA StyleLi, H., Luo, Y., Jiang, C., Wang, Y., & Xiang, L. (2024). Study on the Effect of Thermal Assisted Combined Plant-Based Biomass Conditioning on Dehydrated Sludge Bio-Drying. Processes, 12(5), 943. https://doi.org/10.3390/pr12050943
