Distributed Fiber Optic Vibration Signal Logging Well Production Fluid Profile Interpretation Method Research
Abstract
1. Introduction
2. Principle and Method
2.1. Principle of Distributed Fiber Optic Vibration Sensing System
2.2. K-Means++ Algorithm
- Select the first cluster center, , arbitrarily and randomly among the data points as the initial cluster center.
- For each data point that has not yet been selected, calculate the distance between and the nearest center that has been selected: ,.
- The similarity between the data points is calculated based on the distance between them and the nearest centroid, and the probability of each data point being a new centroid is assigned proportionally. Then, a new data point is randomly selected as a new centroid from this probability distribution, where the probability of point being selected is proportional to .
- Repeat steps 2 and 3 until centroids are selected.
- For the other data points, , mark them as the closest classification cluster to the category center, .
- Update the centroid of each category, , to the mean of all the samples belonging to that category.
3. Distributed Fiber Optic Vibration Signal Logging Data Processing and Interpretation Method
3.1. Spectrogram Analysis
3.2. Vibration Signal Frequency Division Based on K-Means++ Algorithm
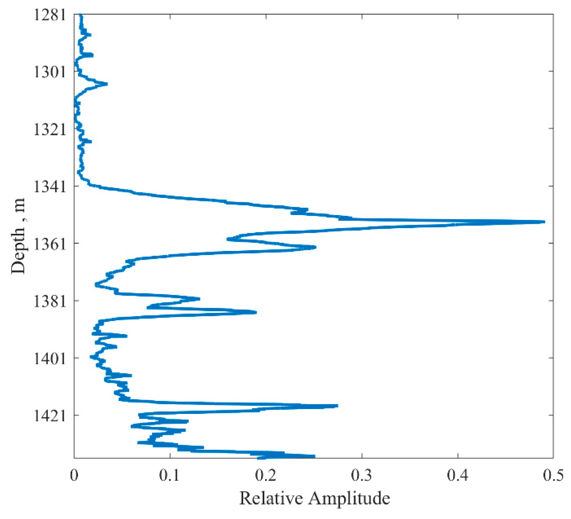
3.3. Production Estimation Analysis
4. Discussion
5. Conclusions
Author Contributions
Funding
Data Availability Statement
Conflicts of Interest
References
- Guo, H.-M.; Dai, J.-C.; Chen, K.-G. Principles of Production Logging and Data Interpretation; Petroleum Industry Press: Beijing, China, 2007; pp. 1–342. [Google Scholar]
- Soroush, M.; Mohammadtabar, M.; Roostaei, M.; Hosseini, S.A.; Fattahpour, V.; Mahmoudi, M.; Keough, D.; Tywoniuk, M.; Mosavat, N.; Cheng, L.; et al. Downhole Monitoring Using Distributed Acoustic Sensing: Fundamentals and Two Decades Deployment in Oil and Gas Industries. In Proceedings of the SPE Conference at Oman Petroleum & Energy Show, Muscat, Oman, 21–23 March 2022; OnePetro: Richardson, TX, USA, 2022. [Google Scholar]
- Horst, J.V.; Panhuis, P.I.; Al-Bulushi, N.; Deitrick, G.; Mustafina, D.; Hemink, G.; Groen, L.; Potters, H.; Mjeni, R.; Awan, K.; et al. Latest developments using fiber optic based well surveillance such as distributed acoustic sensing (DAS) for downhole production and injection profiling. In Proceedings of the SPE Kuwait Oil and Gas Show and Conference, Mishref, Kuwait, 12–15 October 2015; OnePetro: Richardson, TX, USA, 2015. [Google Scholar]
- Haavik, K.E. On the Use of Low-Frequency Distributed Acoustic Sensing Data for In-Well Monitoring and Well Integrity: Qualitative Interpretation. SPE J. 2022, 28, 1517–1532. [Google Scholar] [CrossRef]
- Parker, T.R.; Shatalin, S.V.; Farhadiroushan, M.; Miller, D. Distributed acoustic sensing: Recent field data and performance validation. In Second EAGE Workshop on Permanent Reservoir Monitoring 2013–Current and Future Trends; EAGE Publications BV: Utrecht, The Netherlands, 2013. [Google Scholar]
- Parker, T.; Shatalin, S.; Farhadiroushan, M. Distributed Acoustic Sensing–a new tool for seismic applications. First Break 2014, 32. [Google Scholar] [CrossRef]
- Ying, S.; Chang, W. Review of Distributed Optical Fiber Sensing Technology. J. Appl. Sci. 2021, 39, 843–857. [Google Scholar]
- Hayber, S.E.; Tabaru, T.E.; Keser, S.; Saracoglu, O.G. A Simple, High Sensitive Fiber Optic Microphone Based on Cellulose Triacetate Diaphragm. J. Light. Technol. 2018, 36, 5650–5655. [Google Scholar] [CrossRef]
- Keser, S.; Hayber, S.E. Fiber optic tactile sensor for surface roughness recognition by machine learning algorithms. Sens. Actuators A-Phys. 2021, 332, 113071. [Google Scholar] [CrossRef]
- Liu, J.; Lao, W.; Liang, W.; Liu, Q. A Wellbore Production Profile Monitoring Simulation Experiment Device Based on Distributed Fiber Optic Sound and Temperature Monitoring. CN201921116891.1, 16 July 2019. [Google Scholar]
- Leal-Junior, A.; Lopes, G.; Lazaro, R.; Duque, W.; Frizera, A.; Marques, C. SPR and FBG sensors system combination for salinity monitoring: A feasibility test. Opt. Fiber Technol. 2023, 78, 103305. [Google Scholar] [CrossRef]
- Beijing University. A Distributed Fiber Optic Acoustic Wave Sensing System and Its Sensing Method. CN201910748010.6, 14 August 2019.
- Madsen, K.N.; Thompson, M.; Parker, T.; Finfer, D. A VSP field trial using distributed acoustic sensing in a producing well in the North Sea. First Break. 2013, 31. [Google Scholar] [CrossRef]
- Barberan, C.; Allanic, C.; Avila, D.; Hy-Billiot, J.; Hartog, A.; Frignet, B.; Lees, G. Multi-Offset Seismic Acquisition Using Optical Fiber behind Tubing. In Proceedings of the 74th EAGE Conference and Exhibition incorporating EUROPEC 2012, Copenhagen, Denmark, 4–7 June 2012; EAGE Publications BV: Utrecht, The Netherlands, 2012. [Google Scholar]
- Tabatabaei, M.; Zhu, D. Fracture Stimulation Diagnostics in Horizontal Wells Using DTS. In Proceedings of the Canadian Unconventional Resources Conference, Calgary, Canada, 30 September–2 October 2014; OnePetro: Richardson, TX, USA, 2011. [Google Scholar]
- Kalia, N.; Gorgi, S.; Holley, E.; Cullick, A.S.; Jones, T. Wellbore Monitoring in Unconventional Reservoirs: Value of Accurate DTS Interpretation and Risks Involved. In Proceedings of the SPE Unconventional Resources Conference, The Woodlands, TX, USA, 1–3 April 2014; OnePetro: Richardson, TX, USA, 2014. [Google Scholar]
- Yu, G.; Sun, Q.; Ai, F.; Yan, Z.; Li, H.; Li, F. Micro-Structured Fiber Distributed Acoustic Sensing System for Borehole Seismic Survey. In Proceedings of the 2018 SEG International Exposition and Annual Meeting, Anaheim, CA, USA, 14–19 October 2018; OnePetro: Richardson, TX, USA, 2018. [Google Scholar]
- Wang, Y.; Li, M.; Li, X.; Wang, H.; Tian, L.; Deng, R. Identification and classification of water absorption profile of distributed optical fiber vibration signal based on XGBoost algorithm. SN Appl. Sci. 2022, 4, 289. [Google Scholar] [CrossRef]
- Liu, F.; Xie, S.; Gu, L.; He, X.; Yi, D.; Chen, Z.; Zhang, M.; Tao, Q. Common-mode noise suppression technique in interferometric fiber-optic sensors. J. Light. Technol. 2019, 37, 5619–5627. [Google Scholar] [CrossRef]
- Li, X.; Liu, X.; Zhang, Y.; Guo, F.; Wang, X.; Feng, Y. Application and progress of oil and gas well engineering monitoring technology based on distributed fiber optic acoustic sensing. Pet. Drill. Process 2022, 44, 309–320. [Google Scholar] [CrossRef]
- Anwar, I.; Carey, B.; Johnson, P.; Donahue, C. Detecting and Characterizing Fluid Leakage through Wellbore Flaws Using Fiber-Optic Distributed Acoustic Sensing. In Proceedings of the 56th US Rock Mechanics/Geomechanics Symposium, Santa Fe, NM, USA, 26–29 June 2022; OnePetro: Richardson, TX, USA, 2022. [Google Scholar]
- Bukhamsin, A.; Horne, R. Using Distributed Acoustic Sensors to Optimize Production in Intelligent Wells. In Proceedings of the SPE Annual Technical Conference and Exhibition, Amsterdam, The Netherlands, 27–29 October 2014; OnePetro: Richardson, TX, USA, 2014. [Google Scholar]
- Molenaar, M.M.; Hill, D.; Webster, P.; Fidan, E.; Birch, B. First downhole application of distributed acoustic sensing for hydraulic-fracturing monitoring and diagnostics. SPE Drill. Complet. 2012, 27, 32–38. [Google Scholar] [CrossRef]
- Thiruvenkatanathan, P.; Langnes, T.; Beaumont, P.; White, D.; Webster, M. Downhole Sand Ingress Detection Using Fibre-Optic Distributed Acoustic Sensors. In Proceedings of the Abu Dhabi International Petroleum Exhibition & Conference, Abu Dhabi, United Arab Emirates, 7–10 November 2016; OnePetro: Richardson, TX, USA, 2016. [Google Scholar]
- Boone, K.; Ridge, A.; Crickmore, R.; Onen, D. Detecting Leaks in Abandoned Gas Wells with Fibre-Optic Distributed Acoustic Sensing. In Proceedings of the IPTC 2014: International Petroleum Technology Conference, Doha, Qatar, 19–22 January 2014; EAGE Publications BV: Utrecht, The Netherlands, 2014. cp-395-00133. [Google Scholar]
- Wang, W. Design and Application of a Distributed Acoustic Sensing System for Logging. Master’s Thesis, University of Electronic Science and Technology, Chengdu, China, 2021. [Google Scholar] [CrossRef]
- Chen, T.; Guestrin, C. Xgboost: A Scalable Tree Boosting System; ACM: New York, NY, USA, 2016; pp. 785–794. [Google Scholar]
- McKinley, R.M.; Bower, F.M.; Rumble, R.C. The structure and interpretation of noise from flow behind cemented casing. J. Pet. Technol. 1973, 25, 329–338. [Google Scholar] [CrossRef]
- Xu, S. Noise logging. Logging Technol. 1980, 3, 18–28. [Google Scholar]
- Qiu, J.; Zhang, H.; Lei, G.; Wang, S.; Xie, F.; Gan, C. Application of noise spectrum logging in water injection wells. Logging Technol. 2017, 41, 601–605. [Google Scholar]
- Lin, Q.; Shen, K.; Jiang, Y.; Luo, Q.; Yao, J.; Tao, C. Application of continuous tubing distributed fiber optic logging technology in output profiles. Oil Gas Well Test. 2023, 32, 58–62. [Google Scholar]
- Cummins, H.Z.; Gammon, R.W. Rayleigh and Brillouin scattering in benzene: Depolarization factors. Appl. Phys. Lett. 1965, 6, 171–173. [Google Scholar] [CrossRef]
- Healey, P. Fading in heterodyne OTDR. Electron. Lett. 1984, 1, 30–32. [Google Scholar] [CrossRef]
- Koyamada, Y.; Imahama, M.; Kubota, K.; Hogari, K. Fiber-optic distributed strain and temperature sensing with very high measurand resolution over long range using coherent OTDR. J. Light. Technol. 2009, 27, 1142–1146. [Google Scholar] [CrossRef]
- Wang, Q.; Wang, C.; Feng, Z.; Ye, J. A review on the research of K-means clustering algorithm. Electron. Des. Eng. 2012, 20, 21–24. [Google Scholar]
- Wu, C.; Cheng, Y.; Zheng, Y.; Pan, Y. A review of K-means algorithm research. Mod. Libr. Inf. Technol. 2011, 5, 28–35. [Google Scholar]
- Wang, Y. Research on Distributed Fiber Optic Vibration Signal Logging Data Processing Method and Production Prediction. Master’s Thesis, Yangtze University, Jingzhou, China, 2023. [Google Scholar]
- Evans, R.P.; Blotter, J.D.; Stephens, A.G. Flow rate measurements using flow-induced pipe vibration. J. Fluids Eng. 2004, 126, 280–285. [Google Scholar] [CrossRef]
- Zhang, Y.K. Research on Fiber Optic Distributed Flow Monitoring Technology Based on backward Rayleigh Coherence. Master’s Thesis, Qilu University of Technology, Jinan, China, 2021. [Google Scholar]











| Number | Vibration Source | Vibration Signal Pattern | Frequency Range | Remarks |
|---|---|---|---|---|
| 1 | Flow in the tube | Longitudinal strips | Less than 12 Hz | Full well section distribution. |
| 2 | Out-of-pipe run-off (cement run-off channel) | Longitudinal strips | 12–55 Hz | Extends fading to both sides from the shot hole section and can be identified in combination with well temperature. |
| 3 | Reservoir fluid flow | Horizontal strips | 55–116 Hz | It is related to the pore size, fracture angle, and openness and generally has a short extension, which may be divided into reservoir pore flow and reservoir fracture flow. |
| 4 | Surface noise | No fixed form | 116–275 Hz | The amplitude is strongest at the surface and extends underground to fade away. |
| 5 | Background noise | No fixed form | Greater than 275 Hz | High-frequency signals. |
| Number | K-Means | K-Medoids | Hierarchical Clustering | Spectral Clustering |
|---|---|---|---|---|
| 1 | Less than 12 Hz | Less than 34 Hz | Less than 2 Hz | Less than 11 Hz |
| 2 | 12–55 Hz | 34–54 Hz | 2–4 Hz | 11–23 Hz |
| 3 | 55–116 Hz | 54–107 | 4–6 Hz | 23–32 Hz |
| 4 | 116–275 Hz | 219–257 Hz, 418–432 Hz | 6–34 Hz | 32–51 |
| 5 | Greater than 275 Hz | 107–219 Hz, 257–418 Hz, Greater than 432 Hz | Greater than 34 Hz | Greater than 51 Hz |
| Number | Well Section (m) | Thickness (m) | Porosity (%) | Permeability (mD) | Relative Water Absorption (%) | Layer Relative Yield (%) |
|---|---|---|---|---|---|---|
| 1 | 1345.6–1348.1 | 2.5 | 22 | 128 | 3.9 | 3.3 |
| 2 | 1351.7–1353.6 | 1.9 | 21 | 103 | 4.6 | 4.2 |
| 3 | 1355.4–1361.7 | 6.3 | 22 | 116 | 9.9 | 10.0 |
| 4 | 1363.4–1365.3 | 1.9 | 20 | 87 | 2.3 | 2.2 |
| 5 | 1377.9–1385.0 | 7.1 | 21 | 91 | 4.8 | 5.7 |
| 6 | 1387.4–1391.2 | 3.8 | 18 | 45 | 2.3 | 2.3 |
| 7 | 1392.2–1394.1 | 1.9 | 23 | 159 | 0.5 | 0.9 |
| 8 | 1399.0–1404.8 | 5.8 | 18 | 55 | 1.3 | 1.4 |
| 9 | 1415.3–1424.8 | 9.5 | 20 | 75 | 8.9 | 8.3 |
Disclaimer/Publisher’s Note: The statements, opinions and data contained in all publications are solely those of the individual author(s) and contributor(s) and not of MDPI and/or the editor(s). MDPI and/or the editor(s) disclaim responsibility for any injury to people or property resulting from any ideas, methods, instructions or products referred to in the content. |
© 2024 by the authors. Licensee MDPI, Basel, Switzerland. This article is an open access article distributed under the terms and conditions of the Creative Commons Attribution (CC BY) license (https://creativecommons.org/licenses/by/4.0/).
Share and Cite
Guo, Y.; Yang, W.; Dong, X.; Zhang, L.; Zhang, Y.; Wang, Y.; Yang, B.; Deng, R. Distributed Fiber Optic Vibration Signal Logging Well Production Fluid Profile Interpretation Method Research. Processes 2024, 12, 721. https://doi.org/10.3390/pr12040721
Guo Y, Yang W, Dong X, Zhang L, Zhang Y, Wang Y, Yang B, Deng R. Distributed Fiber Optic Vibration Signal Logging Well Production Fluid Profile Interpretation Method Research. Processes. 2024; 12(4):721. https://doi.org/10.3390/pr12040721
Chicago/Turabian StyleGuo, Yanan, Wenming Yang, Xueqiang Dong, Lei Zhang, Yue Zhang, Yi Wang, Bo Yang, and Rui Deng. 2024. "Distributed Fiber Optic Vibration Signal Logging Well Production Fluid Profile Interpretation Method Research" Processes 12, no. 4: 721. https://doi.org/10.3390/pr12040721
APA StyleGuo, Y., Yang, W., Dong, X., Zhang, L., Zhang, Y., Wang, Y., Yang, B., & Deng, R. (2024). Distributed Fiber Optic Vibration Signal Logging Well Production Fluid Profile Interpretation Method Research. Processes, 12(4), 721. https://doi.org/10.3390/pr12040721

