Lean-and-Green Datacentric Engineering in Laser Cutting: Non-Linear Orthogonal Multivariate Screening Using Gibbs Sampling and Pareto Frontier
Abstract
1. Introduction
2. Materials and Methods
2.1. The Experimental Setup Requirements
2.1.1. Description of the Material’s Specifications and Geometries
2.1.2. Description of the Laser Cutting System
2.1.3. Assignment of Controlling Factors and Settings for the Laser Process
2.1.4. The Process/Product Characteristics in the Lean-and-Green Design
2.2. The Theoretical Modeling of the Multivariate Screening Optimization
2.2.1. The Pareto Frontier Profiler
2.2.2. The Gibbs Sampling in Simple Regression Modeling
2.3. The Methodological Outline
- (1)
- Determine the relevant cutting process characteristics that include product characteristics, i.e., surface roughness, but also lean-and-green process characteristics such as the energy and gas consumptions and cutting time.
- (2)
- Select a group of controlling factors pertinent to the laser beam cutting process.
- (3)
- Determine the operating end points for each controlling factor, from step 2, and ensure that there is adequate representation of factor settings to retrieve potential curvature effects.
- (4)
- Select an OA-sampler that best accommodates the factorial settings that were decided in step 3.
- (5)
- Carry out the minimum number of replications for the assigned fractional factorial recipes that were formulated from step 4.
- (6)
- Test the sufficiency of the extent of replication using linear regression methods for slope and intercept drifts.
- (7)
- Use boxplot-based response graphs to identify potential strong regressors.
- (8)
- Test process/product characteristics for two-way correlations, and decide to retain only those characteristics that provide unique information to the screening/optimization problem.
- (9)
- Combine the visual and numerical toolset for the Pareto frontier analysis to find the optimal factorial recipe by utilizing: (1) the Hasse diagrams and (2) the Pareto skylines.
- (10)
- Implement Gibbs sampling to obtain the posterior conditional distributions of the multivariate responses.
- (11)
- Use regression analysis to collect all the effects for each product/process characteristic from step 10.
- (12)
- Confirm the prediction results by examining the repeatability in the hierarchy of the replicated recipes from step 9.
2.4. The Computational Aids
3. Results
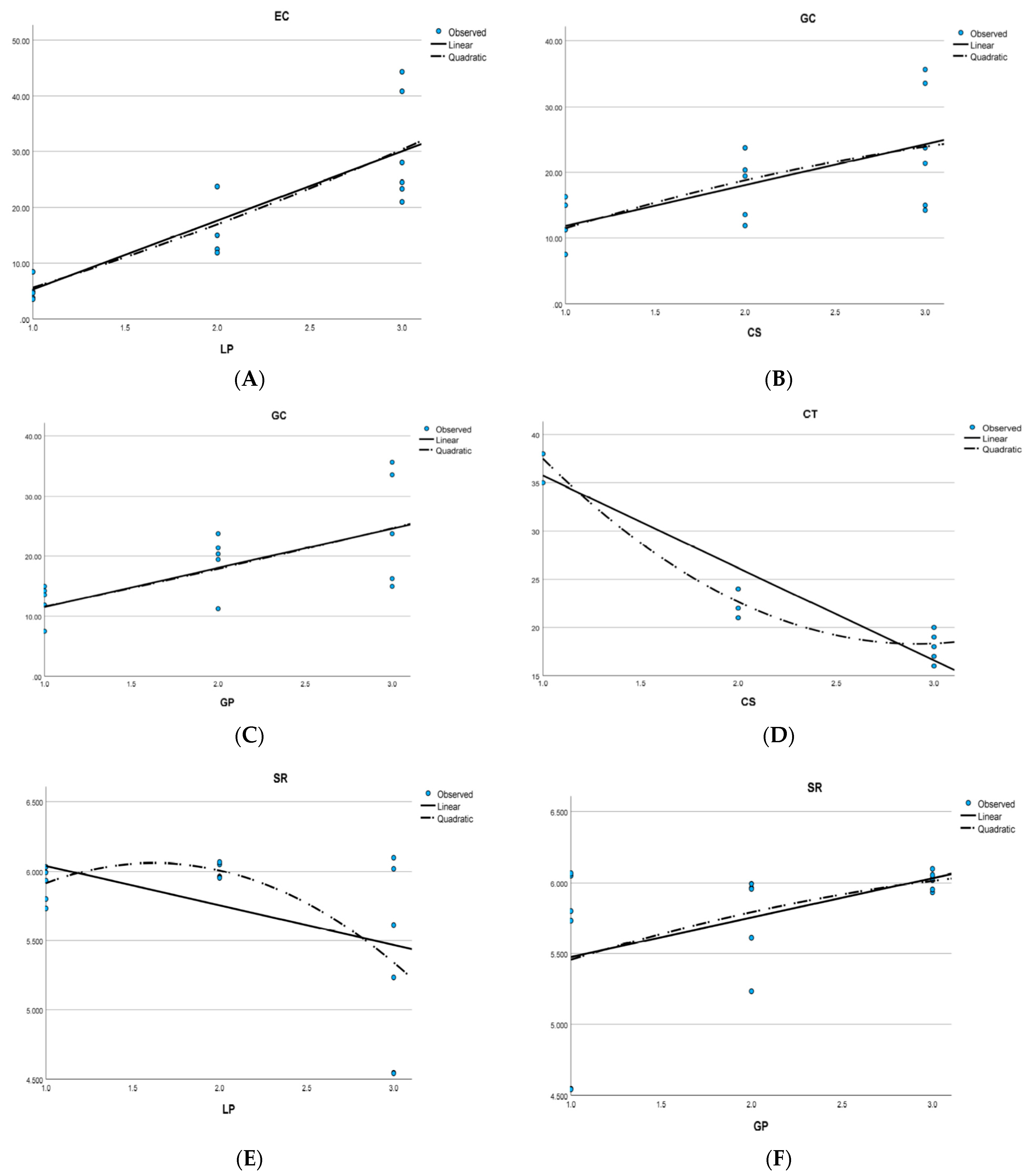
3.1. Data Collection and Screening
3.2. Pareto Frontier Analysis
3.3. Gibbs Sampling and Linear Regression Analysis
4. Discussion
5. Conclusions
Author Contributions
Funding
Data Availability Statement
Conflicts of Interest
References
- Nabavi, S.F.; Farshidianfar, A.; Dalir, H. An applicable review on recent laser beam cutting process characteristics modeling: Geometrical, metallurgical, mechanical, and defect. Int. J. Adv. Manuf. Technol. 2024, 130, 2159–2217. [Google Scholar] [CrossRef]
- Alsaadawy, M.; Dewidar, M.; Said, A.; Maher, I.; Shehabeldeen, T.A. A comprehensive review of studying the influence of laser cutting parameters on surface and kerf quality of metals. Int. J. Adv. Manuf. Technol. 2024, 130, 1039–1074. [Google Scholar] [CrossRef]
- He, Y.; Xie, H.; Ge, Y.; Lin, Y.; Yao, Z.; Wang, B.; Jin, M.; Liu, J.; Chen, X.; Sun, Y. Laser cutting technologies and corresponding pollution control strategy. Processes 2022, 10, 732. [Google Scholar] [CrossRef]
- United Nations. Sustainable Development Goals, Goal 9: Build Resilient Infrastructure, Promote Inclusive and Sustainable Industrialization and Foster Innovation. Available online: https://sdgs.un.org/goals/goal9 (accessed on 13 January 2024).
- United Nations. Sustainable Development Goals, Goal 12: Ensure Sustainable Consumption and Production Patterns. Available online: https://sdgs.un.org/goals/goal12 (accessed on 13 January 2024).
- Rajarajeswari, C.; Anbalagan, C. Integration of the green and lean principles for more sustainable development: A case study. Mater. Today Proc. 2023, in press. [CrossRef]
- Yadav, Y.; Kaswan, M.S.; Gahlot, P.; Duhan, R.K.; Garza-Reyes, J.A.; Rathi, R.; Chaudhary, R.; Yadav, G. Green Lean Six Sigma for sustainability improvement: A systematic review and future research agenda. Int. J. Lean Six Sigma 2023, 14, 759–790. [Google Scholar] [CrossRef]
- Yadav, S.; Samadhiya, A.; Kumar, A.; Majumdar, A.; Garza-Reyes, J.A.; Luthra, S. Achieving the sustainable development goals through net zero emissions: Innovation-driven strategies for transitioning from incremental to radical lean, green and digital technologies. Resour. Conserv. Recycl. 2023, 197, 107094. [Google Scholar] [CrossRef]
- Maldonado-Guzman, G.; Pinzon-Castro, S.Y.; Garza-Reyes, J.A. Does the integration of lean production and Industry 4.0 in green supply chains generate a better operational performance? J. Manuf. Technol. Manag. 2023, 34, 1120–1140. [Google Scholar] [CrossRef]
- Fiorello, M.; Gladysz, B.; Corti, D.; Wybraniak-Kujawa, M.; Ejsmont, K.; Sorlini, M. Towards a smart lean green production paradigm to improve operational performance. J. Clean. Prod. 2023, 413, 137418. [Google Scholar] [CrossRef]
- Elemure, I.; Dhakal, H.N.; Leseure, M.; Radulovic, J. Integration of Lean Green and Sustainability in Manufacturing: A Review on Current State and Future Perspectives. Sustainability 2023, 15, 10261. [Google Scholar] [CrossRef]
- Juma, L.; Zimon, D.; Ikram, M.; Madzik, P. Towards a sustainability paradigm; the nexus bewteen lean green practices, sustainability-oriented innovation and triple bottom line. Int. J. Prod. Econ. 2022, 245, 108393. [Google Scholar] [CrossRef]
- Kalemkerian, F.; Santos, J.; Tanco, M.; Garza-Reyes, J.A.; Viles, E. Analyzing the alignment between the green lean and circular strategies towards a circular lean approach. J. Manuf. Technol. Manag. 2022, 33, 1059–1079. [Google Scholar] [CrossRef]
- Fercoq, A.; Lamouri, S.; Carbone, V. Lean/Green integration focused on waste reduction techniques. J. Clean. Prod. 2016, 137, 567–578. [Google Scholar] [CrossRef]
- Marco-Ferreira, A.; Stefanelli, N.O.; Seles, B.M.R.P.; Fidelis, R. Lean and green: Practices, paradigms and future prospects. Benchmarking 2020, 27, 2077–2107. [Google Scholar] [CrossRef]
- Dieste, M.; Panizzolo, R.; Garza-Reyes, J.A.; Anosike, A. The relationship between lean and environmental performance: Practices and measures. J. Clean. Prod. 2019, 224, 120–131. [Google Scholar] [CrossRef]
- Bhattacharya, A.; Nand, A.; Castka, P. Lean-green integration and its impact on sustainability: A critical review. J. Clean. Prod. 2019, 236, 117697. [Google Scholar] [CrossRef]
- Mishra, M.N. Identify critical success factors to implement integrated green and lean six sigma. Int. J. Lean Six Sigma 2023, 13, 765–777. [Google Scholar] [CrossRef]
- Kaswan, M.S.; Rathi, R.; Cross, J.; Garza-Reyes, J.A.; Antony, J.; Yadav, V. Integrating Green Lean Six Sigma and industry 4.0: A conceptual framework. J. Manuf. Technol. Manag. 2023, 34, 87–121. [Google Scholar] [CrossRef]
- Kaswan, M.S.; Rathi, R.; Garza-Reyes, J.A.; Antony, J. Green lean six sigma sustainability-oriented project selection and implementation framework for manufacturing industry. Int. J. Lean Six Sigma 2023, 14, 33–71. [Google Scholar] [CrossRef]
- Shokri, A.; Antony, J.; Garza-Reyes, J.A. A new way of environmentally sustainable manufacturuing with assessing transformations through the green deployment of lean six sigma projects. J. Clean. Prod. 2022, 351, 131510. [Google Scholar] [CrossRef]
- Rathi, R.; Kaswan, M.S.; Garza-Reyes, J.A.; Antony, J.; Cross, J. Green lean six sigma for improving manufactruring sustainability: Framework development and validation. J. Clean. Prod. 2022, 345, 131130. [Google Scholar] [CrossRef]
- Letchumanan, L.T.; Gholami, H.; Yusof, N.M.; Ngadiman, N.H.A.B.; Salameh, A.A.; Streimikiene, D.; Cavallaro, F. Analyzing the factors enabling green lean six sigma implementation in the Industry 4.0 era. Sustainability 2022, 14, 3450. [Google Scholar] [CrossRef]
- Chugani, N.; Kumar, V.; Garza-Reyes, J.A.; Rocha-Lona, L.; Upadhyay, A. Investigating the green impact of lean, six sigma and lean six sigma: A systematic literature review. Int. J. Lean Six Sigma 2017, 8, 7–32. [Google Scholar] [CrossRef]
- Chetan; Ghosh, S.; Rao, P.V. Application of sustainable techniques in metal cutting for enhanced machinability: A review. J. Clean. Prod. 2015, 100, 17–34. [Google Scholar] [CrossRef]
- Gadallah, M.H.; Abdu, H.M. Modeling and optimization of laser cutting operations. Manuf. Rev. 2015, 2, 20. [Google Scholar] [CrossRef]
- Madic, M.; Antucheviciene, J.; Radovanovic, M.; Petkovic, D. Determination of laser cutting process conditions using the preference selection index method. Opt. Laser Technol. 2017, 89, 214–220. [Google Scholar] [CrossRef]
- Turkkan, Y.A.; Aslan, M.; Tarkan, A.; Aslan, Ö.; Yuce, C.; Yavuz, N. Multi-Objective Optimization of Fiber Laser Cutting of Stainless-Steel Plates Using Taguchi-Based Grey Relational Analysis. Metals 2023, 13, 132. [Google Scholar] [CrossRef]
- Senthilkumar, V.; Adinarayanan, A.; Jagatheesan, K. Grey relational analysis (GRA) for optimization of CO2 laser cutting stainless steel. Mater. Today Proc. 2023, 72, 2437–2442. [Google Scholar] [CrossRef]
- Alizadeh, A.; Omrani, H. An integrated multi response Taguchi-neural network-robust data envelopment analysis model for CO2 laser cutting. Measurement 2019, 131, 69–78. [Google Scholar] [CrossRef]
- Chaudhary, A.K.; Pandey, A.K.; Dubey, A.K. Computer aided Taguchi-fuzzy multi-optimization of laser cutting process. J. Intell. Fuzzy Sys. 2014, 26, 801–810. [Google Scholar] [CrossRef]
- Nguyen, V.; Altarazi, F.; Tran, T. Optimization of process parameters for laser cutting process of stainless steel 304: A comparative analysis and estimation with Taguchi method and response surface methodology. Math. Prob. Eng. 2022, 2022, 6677586. [Google Scholar] [CrossRef]
- Naresh; Khatak, P. Laser cutting technique: A literature review. Mater. Today Proc. 2022, 56, 2484–2489. [Google Scholar] [CrossRef]
- Riveiro, A.; Quintero, F.; Boutinguiza, M.; del Val, J.; Comesana, R.; Lusquinos, F.; Pou, J. Laser cutting: A review on the influence of assist gas. Materials 2019, 12, 157. [Google Scholar] [CrossRef]
- Madic, M.; Petrovic, G.; Petkovic, D.; Antucheviciene, J.; Marinkovic, D. Application of a robust decision-making rule for comprehensive assessment of laser cutting conditions and performance. Machines 2022, 10, 153. [Google Scholar] [CrossRef]
- Li, B.; Zhang, S.; Du, J.; Sun, Y. State-of-the-art in cutting performance and surface integrity considering tool edge micro-geometry in metal cutting process. J. Manuf. Proces. 2022, 77, 380–411. [Google Scholar] [CrossRef]
- Besseris, G.J.; Kremmydas, A.T. Concurrent multi-response optimization of austenitic stainless steel surface roughness driven by embedded lean and green indicators. J. Clean. Prod. 2014, 85, 293–305. [Google Scholar] [CrossRef]
- Box, G.E.P.; Hunter, W.G.; Hunter, J.S. Statistics for Experimenters—Design, Innovation, and Discovery; Wiley: New York, NY, USA, 2005. [Google Scholar]
- Fisher, R.A. Statistical Methods, Experimental Design, and Scientific Inference; Oxford University Press: Oxford, UK, 1990. [Google Scholar]
- Taguchi, G.; Chowdhury, S.; Wu, Y. Quality Engineering Handbook; Wiley: Hoboken, NJ, USA, 2004. [Google Scholar]
- Taguchi, G.; Chowdhury, S.; Taguchi, S. Robust Engineering: Learn How to Boost Quality while Reducing Costs and Time to Market; McGraw-Hill: New York, NY, USA, 2000. [Google Scholar]
- Geman, S.; Geman, D. Stochastic relaxation, Gibbs distributions, and the Bayesian restoration of images. IEEE Trans. Pat. Anal. Mach. Intell. 1984, 6, 721–741. [Google Scholar] [CrossRef] [PubMed]
- Zeger, S.; Rizaul Karim, M. Generalized linear models with random effects: A Gibbs sampling approach. J. Am. Stat. Assc. 1991, 86, 79–86. [Google Scholar] [CrossRef]
- Gelfand, A.E.; Smith, A.F.M. Sampling-based approaches to calculating marginal densities. J. Am. Stat. Assc. 1990, 85, 398–409. [Google Scholar] [CrossRef]
- Casella, G.; George, E.I. Explaining the Gibbs sampler. Am. Stat. 1992, 46, 167–174. [Google Scholar]
- Pareto, V. Manuel d’économie politique. Bull. Amer. Math. Soc. 1912, 18, 462–474. [Google Scholar]
- Borzsonyi, S.; Kossmann, D.; Stocker, K. The Skyline Operator. In Proceedings of the 17th International Conference on Data Engineering, Heidelberg, Germany, 2–6 April 2001; IEEE: Piscataway, NJ, USA, 2001; pp. 421–430. [Google Scholar]
- Kiessling, W. Foundations of preferences in database systems. In Proceedings of the VLDB’02: 28th International Conference on Very Large Databases, Hong Kong, China, 20–23 August 2002; pp. 311–322. [Google Scholar]
- Cerda-Flores, S.C.; Rojas-Punzo, A.A.; Napoles-Rivera, F. Applications of multi-objective optimization to industrial processes: A literature review. Processes 2022, 10, 133. [Google Scholar] [CrossRef]
- Tao, Y.; Ding, L.; Lin, X.; Pei, J. Distance-based representative skyline. In Proceedings of the 25th International Conference on Data Engineering, ICDE2009, Shanghai, China, 29 March–2 April 2009; IEEE: Piscataway, NJ, USA, 2009; pp. 892–903. [Google Scholar]
- Yin, B.; Wei, X.; Liu, Y. Finding the informative and concise set through approximate skyline queries. Expert Sys. App. 2019, 119, 289–310. [Google Scholar] [CrossRef]
- Peng, P.; Wong, R.C.-W. Skyline queries and Pareto optimality. In Encyclopedia of Database Systems; Liu, L., Ozsu, M.T., Eds.; Springer Science & Business Media LLC: Berlin/Heidelberg, Germany, 2016. [Google Scholar]
- Nielsen, F. Output-sensitive peeling of convex and maximal layers. Inf. Proc. Lett. 1996, 59, 255–259. [Google Scholar] [CrossRef]
- Kung, H.T.; Luccio, F.; Preparata, F.P. On finding the maxima of a set of vectors. J. ACM 1975, 22, 469–476. [Google Scholar] [CrossRef]
- Marler, R.T.; Arora, J.S. Survey of multi-objective optimization methods for engineering. Struct. Multidisc. Optim. 2004, 26, 369–395. [Google Scholar] [CrossRef]
- Trautmann, H.; Mehnen, J. Preference-based Pareto optimization in certain and noisy environments. Eng. Optim. 2009, 41, 23–38. [Google Scholar] [CrossRef]
- Lu, L.; Anderson-Cook, C.M.; Robinson, T.J. Optimization of designed experiments based on multiple criteria utilizing a Pareto frontier. Technometrics 2011, 53, 353–365. [Google Scholar] [CrossRef]
- Lu, L.; Anderson-Cook, C.M. Adapting the hypervolume quality indicator to quantify trade-offs and search efficiency for multiple criteria decision making using Pareto fronts. Qual. Reliab. Eng. Int. 2012, 29, 1117–1133. [Google Scholar] [CrossRef]
- Sembou, G. Optimization of a Laser-Cut Product Using Advanced Quality Methods. Master’s Thesis, Kingston University, London, UK, 2013. [Google Scholar]
- R Core Team. R (Version 4.3.0): A Language and Environment for Statistical Computing; R Foundation for Statistical Computing: Vienna, Austria, 2023; Available online: https://www.R-project.org/ (accessed on 21 April 2023).
- Lawson, J. Design and Analysis of Experiments with R; CRC Press: Boca Raton, FL, USA, 2014. [Google Scholar]
- Mantz, A.B. A Gibbs sampler for multivariate linear regression. arXiv 2016, arXiv:1509.00908. [Google Scholar] [CrossRef]



















| Settings | |||||
|---|---|---|---|---|---|
| Controlling Factors | Abbreviation | Units | Level 1 | Level 2 | Level 3 |
| Laser Power | LP | W | 4000 | 5000 | 6000 |
| Cutting Speed | CS | m/min | 0.8 | 1.6 | 2.4 |
| Gas Pressure | GP | bar | 0.5 | 0.7 | 1 |
| Focus Length | F | mm | −4 | +2.2 | +6.5 |
| Trial No. | LP | CS | GP | F |
|---|---|---|---|---|
| 1 | 4000 | 0.8 | 0.5 | −4 |
| 2 | 4000 | 1.9 | 0.75 | 2.25 |
| 3 | 4000 | 3 | 1 | 6.5 |
| 4 | 5000 | 0.8 | 0.75 | 6.5 |
| 5 | 5000 | 1.9 | 1 | −4 |
| 6 | 5000 | 3 | 0.5 | 2.25 |
| 7 | 6000 | 0.8 | 1 | 2.25 |
| 8 | 6000 | 1.9 | 0.5 | 6.5 |
| 9 | 6000 | 3 | 0.75 | −4 |
| Run# | EC1 | EC2 | GC1 | GC2 | CT1 | CT2 | SR1 | SR2 |
|---|---|---|---|---|---|---|---|---|
| 1 | 8.44 | 8.44 | 7.50 | 7.50 | 38 | 38 | 5.732 | 5.8 |
| 2 | 4.89 | 4.67 | 19.43 | 20.35 | 22 | 21 | 5.994 | 5.992 |
| 3 | 3.78 | 3.56 | 33.52 | 35.62 | 17 | 16 | 6.034 | 5.932 |
| 4 | 23.75 | 23.75 | 11.25 | 11.25 | 38 | 38 | 5.962 | 5.956 |
| 5 | 15.00 | 15.00 | 23.75 | 23.75 | 24 | 24 | 6.054 | 5.952 |
| 6 | 12.50 | 11.88 | 14.25 | 15.00 | 20 | 19 | 6.052 | 6.066 |
| 7 | 44.33 | 40.83 | 15.00 | 16.28 | 38 | 35 | 6.096 | 6.02 |
| 8 | 28.00 | 24.50 | 11.87 | 13.57 | 24 | 21 | 4.546 | 4.542 |
| 9 | 23.33 | 21.00 | 21.37 | 23.75 | 20 | 18 | 5.234 | 5.612 |
| Standardized Coefficients | |||
|---|---|---|---|
| Characteristics | βo (p-Value) | β1 (p-Value) | Adj. R2 |
| EC | 0.557 (0.361) | 0.997 (<0.001) | 0.993 |
| GC | 0.004 (0.996) | 0.996 (<0.001) | 0.990 |
| CT | −1.646 (0.295) | 0.991 (<0.001) | 0.979 |
| SR | 0.734 (0.219) | 0.962 (<0.001) | 0.914 |
| Variable 1 | Variable 2 | Correlation | Count | Lower C.I. | Upper C.I. |
|---|---|---|---|---|---|
| CT | EC | 0.456 | 18 | −0.014 | 0.761 |
| GC | −0.701 | 18 | −0.880 | −0.348 | |
| CT | 1.000 | 18 | -- | -- | |
| SR | 0.184 | 18 | −0.310 | 0.599 | |
| EC | EC | 1.000 | 18 | -- | -- |
| GC | −0.349 | 18 | −0.702 | 0.141 | |
| CT | 0.456 | 18 | −0.014 | 0.761 | |
| SR | −0.238 | 18 | −0.635 | 0.257 | |
| GC | EC | −0.349 | 18 | −0.702 | 0.141 |
| GC | 1.000 | 18 | -- | -- | |
| CT | −0.701 | 18 | −0.880 | -0.348 | |
| SR | 0.226 | 18 | −0.269 | 0.627 | |
| SR | EC | −0.238 | 18 | −0.635 | 0.257 |
| GC | 0.226 | 18 | −0.269 | 0.627 | |
| CT | 0.184 | 18 | −0.310 | 0.599 | |
| SR | 1.000 | 18 | -- | -- |
| Process and Product Characteristics | ||||||||
|---|---|---|---|---|---|---|---|---|
| Controlling Factors | EC | GC | CT | SR | ||||
| Mean | se | Mean | se | Mean | se | Mean | se | |
| Constant Term | −2.27 | 0.15 | −5.29 | 0.097 | 46.89 | 0.158 | 6.09 | 0.02 |
| LP | 12.32 | 0.037 | −1.81 | 0.024 | 0.29 | 0.038 | −0.29 | 0.005 |
| CS | −6.06 | 0.037 | 6.17 | 0.025 | −9.49 | 0.038 | −0.04 | 0.005 |
| GP | 2.36 | 0.036 | 6.57 | 0.025 | −0.52 | 0.039 | 0.27 | 0.005 |
| F | 1.35 | 0.036 | 0.75 | 0.025 | −0.64 | 0.037 | −0.11 | 0.005 |
| Characteristics | Kolmogorov–Smirnov a | Shapiro–Wilk | ||||
|---|---|---|---|---|---|---|
| Statistic | df | Sig. | Statistic | df | Sig. | |
| EC | 0.142 | 18 | 0.200 * | 0.909 | 18 | 0.083 |
| GC | 0.150 | 18 | 0.200 * | 0.925 | 18 | 0.157 |
| CT | 0.267 | 18 | 0.001 | 0.803 | 18 | 0.002 |
| SR | 0.309 | 18 | <0.001 | 0.662 | 18 | <0.001 |
| N | Skewness | Kurtosis | |||
|---|---|---|---|---|---|
| Statistic | Statistic | Std. Error | Statistic | Std. Error | |
| EC | 18 | 0.820 | 0.536 | 0.152 | 1.038 |
| GC | 18 | 0.830 | 0.536 | 0.322 | 1.038 |
| CT | 18 | 0.570 | 0.536 | −1.522 | 1.038 |
| SR | 18 | −1.986 | 0.536 | 2.981 | 1.038 |
| Linear Model | Quadratic Model | ||||||
|---|---|---|---|---|---|---|---|
| Characteristic | Factor | ANOVA sig. | Coefficient sig. | Adjusted R2 | ANOVA sig. | Coefficient sig. | Adjusted R2 |
| EC | LP | <0.001 | <0.001 | 0.72 | <0.001 | 0.541 | 0.703 |
| 0.765 | |||||||
| CS | 0.078 | 0.078 | 0.13 | 0.187 | 0.405 | 0.094 | |
| 0.557 | |||||||
| GP | 0.509 | 0.509 | −0.033 | 0.798 | 0.936 | −0.1 | |
| 0.862 | |||||||
| F | 0.713 | 0.713 | −0.053 | 0.819 | 0.579 | −0.104 | |
| 0.611 | |||||||
| GC | LP | 0.439 | 0.439 | −0.022 | 0.643 | 0.52 | −0.069 |
| 0.588 | |||||||
| CS | 0.003 | 0.003 | 0.398 | 0.013 | 0.421 | 0.363 | |
| 0.734 | |||||||
| GP | 0.002 | 0.002 | 0.442 | 0.008 | 0.658 | 0.405 | |
| 0.94 | |||||||
| F | 0.742 | 0.742 | −0.055 | 0.847 | 0.675 | −0.108 | |
| 0.638 | |||||||
| CT | LP | 0.897 | 0.897 | −0.061 | 0.939 | 0.734 | −0.124 |
| 0.745 | |||||||
| CS | <0.001 | <0.001 | 0.878 | <0.001 | <0.001 | 0.971 | |
| <0.001 | |||||||
| GP | 0.847 | 0.847 | −0.06 | 0.982 | 0.979 | −0.131 | |
| 1 | |||||||
| F | 0.796 | 0.796 | −0.058 | 0.962 | 0.886 | −0.128 | |
| 0.914 | |||||||
| SR | LP | 0.037 | 0.037 | 0.196 | 0.026 | 0.155 | 0.304 |
| 0.082 | |||||||
| CS | 0.718 | 0.718 | −0.054 | 0.329 | 0.144 | 0.023 | |
| 0.154 | |||||||
| GP | 0.043 | 0.043 | 0.184 | 0.134 | 0.591 | 0.133 | |
| 0.808 | |||||||
| F | 0.419 | 0.419 | −0.019 | 0.156 | 0.109 | 0.115 | |
| 0.084 | |||||||
Disclaimer/Publisher’s Note: The statements, opinions and data contained in all publications are solely those of the individual author(s) and contributor(s) and not of MDPI and/or the editor(s). MDPI and/or the editor(s) disclaim responsibility for any injury to people or property resulting from any ideas, methods, instructions or products referred to in the content. |
© 2024 by the authors. Licensee MDPI, Basel, Switzerland. This article is an open access article distributed under the terms and conditions of the Creative Commons Attribution (CC BY) license (https://creativecommons.org/licenses/by/4.0/).
Share and Cite
Sembou, G.; Besseris, G. Lean-and-Green Datacentric Engineering in Laser Cutting: Non-Linear Orthogonal Multivariate Screening Using Gibbs Sampling and Pareto Frontier. Processes 2024, 12, 377. https://doi.org/10.3390/pr12020377
Sembou G, Besseris G. Lean-and-Green Datacentric Engineering in Laser Cutting: Non-Linear Orthogonal Multivariate Screening Using Gibbs Sampling and Pareto Frontier. Processes. 2024; 12(2):377. https://doi.org/10.3390/pr12020377
Chicago/Turabian StyleSembou, Georgia, and George Besseris. 2024. "Lean-and-Green Datacentric Engineering in Laser Cutting: Non-Linear Orthogonal Multivariate Screening Using Gibbs Sampling and Pareto Frontier" Processes 12, no. 2: 377. https://doi.org/10.3390/pr12020377
APA StyleSembou, G., & Besseris, G. (2024). Lean-and-Green Datacentric Engineering in Laser Cutting: Non-Linear Orthogonal Multivariate Screening Using Gibbs Sampling and Pareto Frontier. Processes, 12(2), 377. https://doi.org/10.3390/pr12020377
