Study on Numerical Simulation of Formation Deformation Laws Induced by Offshore Shallow Gas Blowout
Abstract
1. Introduction
2. Theoretical Model for Formation Deformation
2.1. Model Assumptions
- (1)
- The sand layer is only subjected to vertical pressure from the overlying rock strata, neglecting lateral pressures caused by tectonic movements, etc.
- (2)
- The blowout formation experiences continuous sand ejection, with the rock framework considered as a uniformly isotropic porous elastic medium.
- (3)
- The flow of sand and gas occurs at the same velocity, and the flow of the sand–gas mixture follows Darcy’s law and is treated as an isothermal process.
2.2. Seepage Field Model
2.3. Deformation Field Equations
2.4. State Equations
3. Numerical Model
3.1. Base Case Model
3.2. Simulation Scheme
4. Analysis of Simulation Results
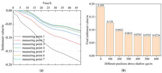
4.1. Spatiotemporal Evolution of Formation Settlement during Blowout
4.2. Sensitivity Analysis of Factors Affecting Geological Deformation
- (1)
- Burial depth.
- (2)
- Pressure coefficients.
- (3)
- Sand blasting volumes.
- (4)
- Shallow gas layer range
- (5)
- Gas blowout rate
- (6)
- Pressure differences
5. Conclusions
- After a blowout, the shallow gas formation near the wellbore showed distinct subsidence and uplift, with deformation increasing over time. The maximum subsidence values at 12 h, 24 h, 36 h, and 48 h post blowout were 0.072 m, 0.132 m, 0.164 m, and 0.193 m, respectively, with a gradually decreasing rate.
- Subsidence in the strata above the shallow gas layer formed a distinct “funnel” shape, with the maximum at the wellbore. Initially, the interlayer showed almost no deformation. Far-field formations were less affected by the blowout, exhibiting uniform subsidence, with the seabed mud line unaffected.
- During the blowout, effective stress in the shallow gas layer and surrounding strata gradually increased, while regions far from the shallow gas layer remained almost unaffected. Both gas ejection and sand ejection rates initially decreased rapidly, then stabilized, following an exponential pattern.
- Burial depth, pressure coefficient, sand blasting volume, shallow gas range, gas blowout rate, and bottom-hole pressure difference were all positively correlated with post-blowout formation deformation. Formation pressure, gas blasting rate, and bottom-hole pressure difference had a significant impact, followed by sand blasting volume and burial depth, while the range of the shallow gas layer had a weaker overall impact on formation deformation.
- The numerical model in this paper was a two-dimensional model, concentrating solely on vertical formation deformation post blowout. Future work aims to develop a comprehensive three-dimensional thermal-hydraulic-mechanical coupling model. Additionally, the formation, simplified as a porous elastic body, had limitations. Future endeavors will explore plastic deformation and failure characteristics following blowouts.
Author Contributions
Funding
Data Availability Statement
Conflicts of Interest
References
- Yan, C.; Li, Y.; Cheng, Y.; Wei, J.; Tian, W.; Li, S.; Wang, Z. Multifield coupling mechanism in formations around a wellbore during the exploitation of methane hydrate with CO2 replacement. Energy 2022, 245, 123283. [Google Scholar] [CrossRef]
- Wang, Q.; Lü, Y.; Li, Q. A review on submarine oil and gas leakage in near field: Droplets and plume. Environ. Sci. Pollut. Res. 2022, 29, 8012–8025. [Google Scholar] [CrossRef]
- Seyyedattar, M.; Zendehboudi, S.; Butt, S. Invited review—Molecular dynamics simulations in reservoir analysis of offshore petroleum reserves: A systematic review of theory and applications. Earth-Sci. Rev. 2019, 192, 194–213. [Google Scholar] [CrossRef]
- Brkić, D.; Stajić, Z. Offshore Oil and Gas Safety: Protection against Explosions. J. Mar. Sci. Eng. 2021, 9, 331. [Google Scholar] [CrossRef]
- Farahani, M.V.; Hassanpouryouzband, A.; Yang, J.H.; Tohidi, B. Insights into the climate-driven evolution of gas hydrate-bearing permafrost sediments: Implications for prediction of environmental impacts and security of energy in cold regions. RSC Adv. 2021, 11, 14334–14346. [Google Scholar] [CrossRef]
- Li, Q.; Zhang, C.; Yang, Y.; Ansari, U.; Han, Y.; Li, X.; Cheng, Y. Preliminary experimental investigation on long-term fracture conductivity for evaluating the feasibility and efficiency of fracturing operation in offshore hydrate-bearing sediments. Ocean Eng. 2023, 281, 114949. [Google Scholar] [CrossRef]
- Farahani, M.V.; Hassanpouryouzband, A.; Yang, J.; Tohidi, B. Development of a coupled geophysical–geothermal scheme for quantification of hydrates in gas hydrate-bearing permafrost sediments. Phys. Chem. Chem. Phys. 2021, 23, 24249–24264. [Google Scholar] [CrossRef] [PubMed]
- Yan, C.; Ren, X.; Cheng, Y.; Song, B.; Li, Y.; Tian, W. Geomechanical issues in the exploitation of natural gas hydrate. Gondwana Res. 2020, 81, 403–422. [Google Scholar] [CrossRef]
- Choi, J.; Kang, N.-K.; Hwang, I.G.; Lee, D.-H. Geochemical characteristics and origins of hydrocarbon gases in the shallow gas field in the Pohang Basin, Korea. Geosci. J. 2022, 26, 349–365. [Google Scholar] [CrossRef]
- Müller, S.; Reinhardt, L.; Franke, D.; Gaedicke, C.; Winsemann, J. Shallow gas accumulations in the German North Sea. Mar. Pet. Geol. 2018, 91, 139–151. [Google Scholar] [CrossRef]
- Sun, Q.; Wu, S.; Cartwright, J.; Dong, D. Shallow gas and focused fluid flow systems in the Pearl River Mouth Basin, northern South China Sea. Mar. Geol. 2012, 315, 1–14. [Google Scholar] [CrossRef]
- Seyyedattar, M.; Zendehboudi, S.; Butt, S. Technical and Non-technical Challenges of Development of Offshore Petroleum Reservoirs: Characterization and Production. Nat. Resour. Res. 2020, 29, 2147–2189. [Google Scholar] [CrossRef]
- Xue, L.; Fan, J.; Rausand, M.; Zhang, L. A safety barrier-based accident model for offshore drilling blowouts. J. Loss Prev. Process Ind. 2013, 26, 164–171. [Google Scholar] [CrossRef]
- Yin, B.; Li, B.; Liu, G.; Wang, Z.; Sun, B. Quantitative risk analysis of offshore well blowout using bayesian network. Saf. Sci. 2021, 135, 105080. [Google Scholar] [CrossRef]
- Li, X.; Abbassi, R.; Chen, G.; Wang, Q. Modeling and analysis of flammable gas dispersion and deflagration from offshore platform blowout. Ocean Eng. 2020, 201, 107146. [Google Scholar] [CrossRef]
- Khakzad, N.; Khakzad, S.; Khan, F. Probabilistic risk assessment of major accidents: Application to offshore blowouts in the Gulf of Mexico. Nat. Hazards 2014, 74, 1759–1771. [Google Scholar] [CrossRef]
- Zhu, J.; Chen, G.; Yin, Z.; Khan, F.; Meng, X. An integrated methodology for dynamic risk evaluation of deepwater blowouts. J. Loss Prev. Process Ind. 2022, 74, 104647. [Google Scholar] [CrossRef]
- Yang, D.; Chen, G.; Shi, J.; Li, X. Effect of gas composition on dispersion characteristics of blowout gas on offshore platform. Int. J. Nav. Arch. Ocean Eng. 2019, 11, 914–922. [Google Scholar] [CrossRef]
- Socolofsky, S.A.; Jun, I.; Boufadel, M.C.; Liu, R.; Lu, Y.; Arey, J.S.; McFarlin, K.M. Development of an offshore response guidance tool for determining the impact of SSDI on released gas and benzene from artificial subsea oil well blowout simulations. Mar. Pollut. Bull. 2022, 184, 114114. [Google Scholar] [CrossRef] [PubMed]
- Tamim, N.; Laboureur, D.M.; Mentzer, R.A.; Hasan, A.R.; Mannan, M.S. A framework for developing leading indicators for offshore drillwell blowout incidents. Process Saf. Environ. Prot. 2017, 106, 256–262. [Google Scholar] [CrossRef]
- Jiao, Z.R.; Yuan, S.; Ji, C.X.; Mannan, M.S.; Wang, Q.S. Optimization of dilution ventilation layout design in confined environ-ments using Computational Fluid Dynamics (CFD). J. Loss Prev. Process. Ind. 2019, 60, 195–202. [Google Scholar] [CrossRef]
- Yi, H.; Feng, Y.; Wang, Q. Computational fluid dynamics (CFD) study of heat radiation from large liquefied petroleum gas (LPG) pool fires. J. Loss Prev. Process Ind. 2019, 61, 262–274. [Google Scholar] [CrossRef]
- Wang, J.; Wang, M.; Yu, X.; Zong, R.; Lu, S. Experimental and numerical study of the fire behavior of a tank with oil leaking and burning. Process Saf. Environ. Prot. 2022, 159, 1203–1214. [Google Scholar] [CrossRef]
- Tan, W.; Wang, K.; Li, C.; Liu, L.; Wang, Y.; Zhu, G. Experimental and numerical study on the dispersion of heavy gases in urban environments. Process Saf. Environ. Prot. 2018, 116, 640–653. [Google Scholar] [CrossRef]
- Zhang, L.; Wu, S.; Zheng, W.; Fan, J. A dynamic and quantitative risk assessment method with uncertainties for offshore managed pressure drilling phases. Saf. Sci. 2018, 104, 39–54. [Google Scholar] [CrossRef]
- Guo, Y.; Sun, B.; Gao, Y.; Li, H.; Wu, C. Gas kick during carbonate reservoirs drilling and its risk assessment. Pet. Explor. Dev. 2017, 44, 462–469. [Google Scholar] [CrossRef]
- Sun, Z.-Y.; Zhou, J.-L.; Gan, L.-F. Safety assessment in oil drilling work system based on empirical study and Analytic Network Process. Saf. Sci. 2018, 105, 86–97. [Google Scholar] [CrossRef]
- Meng, H.; An, X. Dynamic risk analysis of emergency operations in deepwater blowout accidents. Ocean Eng. 2021, 240, 109928. [Google Scholar] [CrossRef]
- Dadashzadeh, M.; Ahmad, A.; Khan, F. Dispersion modelling and analysis of hydrogen fuel gas released in an enclosed area: A CFD-based approach. Fuel 2016, 184, 192–201. [Google Scholar] [CrossRef]
- Ma, Q.C.; Zhang, L.B. CFD simulation study on gas dispersion for risk assessment: A case study of sour gas well blowout. Saf. Sci. 2011, 49, 1289–1295. [Google Scholar]
- Li, X.; Chen, G.; Zhu, H.; Xu, C. Gas dispersion and deflagration above sea from subsea release and its impact on offshore platform. Ocean Eng. 2018, 163, 157–168. [Google Scholar] [CrossRef]
- Li, X.; Chen, G.; Zhang, R.; Zhu, H.; Xu, C. Simulation and assessment of gas dispersion above sea from a subsea release: A CFD-based approach. Int. J. Nav. Arch. Ocean Eng. 2019, 11, 353–363. [Google Scholar] [CrossRef]
- Lei, Y.; Sun, J.; Wang, G. Simulation of Shallow Gas Invasion Process During Deepwater Drilling and Its Control Measures. J. Ocean Univ. China 2022, 21, 707–718. [Google Scholar] [CrossRef]
- Cheng, K.; Wang, Y.; Yang, Q. A semi-resolved CFD-DEM model for seepage-induced fine particle migration in gap-graded soils. Comput. Geotech. 2018, 100, 30–51. [Google Scholar] [CrossRef]
- Papamichos, E.; Vardoulakis, I.; Tronvoll, J.; Skjærstein, A. Volumetric sand production model and experiment. Int. J. Numer. Anal. Methods Geomech. 2010, 25, 789–808. [Google Scholar] [CrossRef]
- Papamichos, E.; Vardoulakis, I. Sand erosion with a porosity diffusion law. Comput. Geotech. 2005, 32, 47–58. [Google Scholar] [CrossRef]
- Latief, F.D.E.; Fauzi, U. Kozeny–Carman and empirical formula for the permeability of computer rock models. Int. J. Rock Mech. Min. Sci. 2012, 50, 117–123. [Google Scholar] [CrossRef]
- Liang, Y.; Cheng, Y.; Han, Z.; Pidho, J.J.; Yan, C. Study on Multiscale Fluid–Solid Coupling Theoretical Model and Productivity Analysis of Horizontal Well in Shale Gas Reservoirs. Energy Fuels 2023, 37, 5059–5077. [Google Scholar] [CrossRef]
- Wei, W.; Cai, J.; Xiao, J.; Meng, Q.; Xiao, B.; Han, Q. Kozeny-Carman constant of porous media: Insights from fractal-capillary imbibition theory. Fuel 2018, 234, 1373–1379. [Google Scholar] [CrossRef]




























| Parameter | Value | Unit |
|---|---|---|
| Molar mass of gas | 0.016 | kg/mol |
| Ideal gas constant | 8.314 | J/(mol·K) |
| Temperature | 269 | K |
| Erosion coefficient | 1.5 | m−1 |
| Gas dynamic viscosity | 2.01 × 10−5 | Pa·s |
| Elastic modulus of shallow gas layer | 0.2 | GPa |
| Poisson’s ratio | 0.25 | |
| Initial porosity of shallow gas layer | 0.5 | |
| Initial permeability of shallow gas layer | 0.5 | D |
| Density of shallow gas layer | 1700 | kg/m3 |
| Elastic modulus of overlying layer | 2 | GPa |
| Poisson’s ratio of overlying layer | 0.3 | |
| Initial porosity of overlying layer | 0.3 | |
| Initial permeability of overlying layer | 0.01 | D |
| Density of overlying layer | 2000 | kg/m3 |
| Elastic modulus of underlying layer | 5 | GPa |
| Poisson’s ratio of underlying layer | 0.3 | |
| Initial porosity of underlying layer | 0.2 | |
| Initial permeability of underlying layer | 0.02 | D |
| Density of underlying layer | 2200 | kg/m3 |
| Seawater depth | 20 | m |
| Pressure coefficient of shallow gas layer | 1.6 |
| Factor | Parameter | Lower Value | Base Value | Higher Value |
|---|---|---|---|---|
| Inherent formation factors | Buried depth/m | 400, 500 | 600 | 700, 800 |
| Shallow gas range/m | 60, 80 | 100 | 120, 140 | |
| Pressure coefficient | 1.2, 1.4 | 1.6 | 1.8, 2.0 | |
| Sand blasting volume/m3 | 300, 600 | 900 | 1200, 1500 | |
| Operational factors | Pressure difference/MPa | 1.26, 2.76 | 4.26 | 5.76, 7.26 |
| Gas blowout rate/m3/h | 0.6 × 105, 0.8 × 105 | 1 × 105 | 1.2 × 105, 1.4 × 105 |
Disclaimer/Publisher’s Note: The statements, opinions and data contained in all publications are solely those of the individual author(s) and contributor(s) and not of MDPI and/or the editor(s). MDPI and/or the editor(s) disclaim responsibility for any injury to people or property resulting from any ideas, methods, instructions or products referred to in the content. |
© 2024 by the authors. Licensee MDPI, Basel, Switzerland. This article is an open access article distributed under the terms and conditions of the Creative Commons Attribution (CC BY) license (https://creativecommons.org/licenses/by/4.0/).
Share and Cite
Yin, Z.; Ma, Y.; Yang, X.; Yan, X.; Han, Z.; Liang, Y.; Zhang, P. Study on Numerical Simulation of Formation Deformation Laws Induced by Offshore Shallow Gas Blowout. Processes 2024, 12, 378. https://doi.org/10.3390/pr12020378
Yin Z, Ma Y, Yang X, Yan X, Han Z, Liang Y, Zhang P. Study on Numerical Simulation of Formation Deformation Laws Induced by Offshore Shallow Gas Blowout. Processes. 2024; 12(2):378. https://doi.org/10.3390/pr12020378
Chicago/Turabian StyleYin, Zhiming, Yingwen Ma, Xiangqian Yang, Xinjiang Yan, Zhongying Han, Yanbo Liang, and Penghui Zhang. 2024. "Study on Numerical Simulation of Formation Deformation Laws Induced by Offshore Shallow Gas Blowout" Processes 12, no. 2: 378. https://doi.org/10.3390/pr12020378
APA StyleYin, Z., Ma, Y., Yang, X., Yan, X., Han, Z., Liang, Y., & Zhang, P. (2024). Study on Numerical Simulation of Formation Deformation Laws Induced by Offshore Shallow Gas Blowout. Processes, 12(2), 378. https://doi.org/10.3390/pr12020378

