Lacustrine Shale Oil Occurrence State and Its Controlling Factors: A Case Study from the Jurassic Lianggaoshan Formation in the Sichuan Basin
Abstract
1. Introduction
2. Samples and Experiments
2.1. Samples
2.2. Experiments
2.2.1. NMR Experiments
2.2.2. Conventional and Multistage Rock-Eval Tests
2.2.3. LTNA/D Measurements
3. Results
3.1. Characteristics of Studied Shales
3.2. Shale Oil Contents and Occurrence States
3.2.1. Shale Oil Contents
3.2.2. T2 and T1-T2 Spectra of As-Received Shales
3.2.3. Shale Oil Contents in Different Occurrence States
4. Discussion
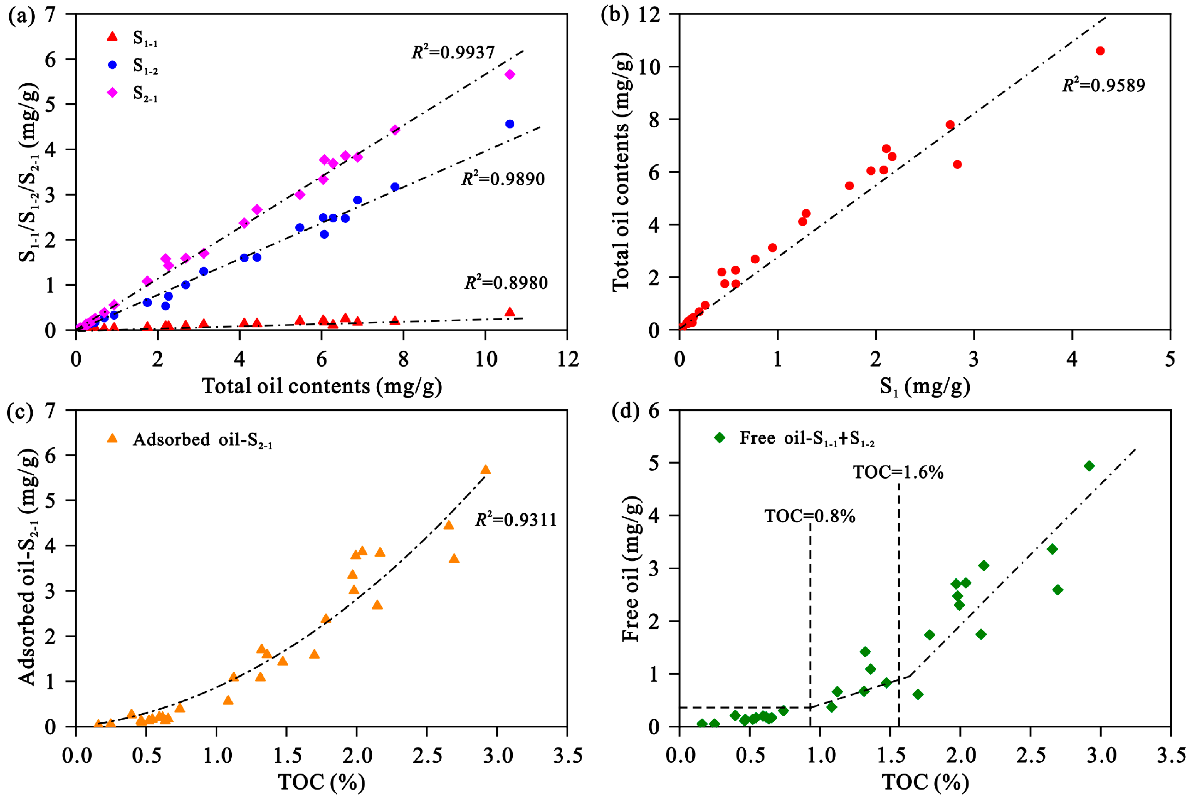
4.1. Organic Matter Content (TOC)
4.2. Micropore Structure
4.3. Classification Criteria of Shale Oil Resources
5. Conclusions
Author Contributions
Funding
Data Availability Statement
Acknowledgments
Conflicts of Interest
References
- Zou, C.N.; Yang, Z.; Cui, J.W.; Zhu, R.K.; Hou, L.H.; Tao, S.Z.; Yuan, X.J.; Wu, S.T.; Lin, S.H.; Wang, L.; et al. Formation mechanism, geological characteristics and development strategy of nonmarine shale oil in China. Pet. Explor. Dev. 2013, 40, 12–26. [Google Scholar] [CrossRef]
- EIA. The Wolfcamp Play has Been Key to Permain Basin Oil and Nature Gas Production Growth; EIA: Washington, DC, USA, 2018.
- EIA. Anunal Energy Outlook 2021 (with Projections to 2050) [A/OL]; EIA: Washington, DC, USA, 2021.
- Ma, Y.S.; Cai, X.Y.; Zhao, P.R.; Hu, Z.Q.; Liu, H.M.; Gao, B.; Wang, W.Q.; Li, Z.M.; Zhang, Z.L. Geological characteristics and exploration practrices of continental shale oil in China. Acta Geol. Sin. 2022, 96, 151–171. [Google Scholar]
- Fu, S.T.; Jin, Z.J.; Fu, J.H.; Li, S.X.; Yang, W.W. Transformation of understanding from tight oil to shale oil in the Member 7 of Yangchang Formation in Ordos Basin and its signification of exploration and development. Acta Pet. Sin. 2021, 42, 561–569. [Google Scholar]
- Liu, H.M.; Zhang, S.; Wang, X.J.; Zhang, P.F.; Li, J.L.; Wang, Y.; Wei, X.L.; Yin, Y.; Zhu, D.Y. Types and characteristics of shale lithofacies combinations in continental faulted basins: A case study from Upper Sub-Member of Es4 in Dongying Sag, Jiyang Depression. Earth Sci. 2023, 48, 30–48. [Google Scholar]
- Jin, Z.J.; Liang, X.P.; Bai, Z.R. Exploration breakthrough and its significance of Gulong lacustrine shale oil in the Songliao Basin, Northeastern China. Energy Geosci. 2022, 3, 120–125. [Google Scholar] [CrossRef]
- Zhang, Y.; Du, Y.; Liu, Y.; Li, W.H.; He, S.; Wang, X.Z.; Pang, Q.; Huang, D. Basic characteristics and exploration direction of lacustrine shale oil and gas in Da’anzhai member of Jurassic in Sichuan Basin. Geol. China 2022, 49, 51–65. [Google Scholar]
- Fu, Q.; Liu, Q.D.; Liu, S.L.; Duan, H.L. Shale oil accumulation conditions in the second member of Paleogene Funing Formation, Gaoyou Sag, Subei Basin. Pet. Geol. Exp. 2020, 42, 625–631. [Google Scholar]
- Jin, Z.J.; Zhu, R.K.; Liang, X.P.; Shen, Y.Q. Several issues worthy of attention in current lacustrine shale oil exploration and development. Pet. Explor. Dev. 2021, 48, 1276–1287. [Google Scholar] [CrossRef]
- Jiang, Q.G.; Li, M.W.; Qian, M.H.; Li, Z.M.; Li, Z.; Huang, Z.K.; Zhang, C.M.; Ma, Y.Y. Quantitative characterization of shale oil in different occurrence states and its application. Pet. Geol. Exp. 2016, 38, 842–849. [Google Scholar]
- Zhang, H.; Huang, H.P.; Li, Z.; Liu, M. Comparative study between sequential solvent-extraction and multiple isothermal stages pyrolysis: A case study on Eocene Shahejie Formation shales, Dongying Depression, East China. Fuel 2020, 263, 116591. [Google Scholar] [CrossRef]
- Xu, Y.; Lun, Z.M.; Pan, Z.J.; Wang, H.T.; Zhou, X.; Zhao, C.P.; Zhang, D.F. Occurrence space and state of shale oil: A review. J. Pet. Sci. Eng. 2022, 211, 110183. [Google Scholar] [CrossRef]
- Qian, M.H.; Jiang, Q.H.; Qian, M.H.; Li, Z.M.; Li, Z.; Huang, Z.K.; Zhang, C.M.; Ma, Y.Y.; Li, M.W. Quantitative characerization of extractable organic matter in lacusatine shale with different occurrences. Pet. Geol. Exp. 2017, 39, 278–286. [Google Scholar]
- Bai, L.H.; Liu, B.; Du, Y.J.; Wang, B.Y.; Tian, S.S.; Wang, L.; Xue, Z.Q. Distribution characteristics and oil mobility thresholds in lacustrine shale reservoir: Insights from N2 adsorption experiments on samples prior to and following hydrocarbon extraction. Pet. Sci. 2022, 19, 486–497. [Google Scholar] [CrossRef]
- Guo, Q.Y.; Xu, S.; Chen, Z.X.; Wu, Z.B. Novel Method for the Classification of Shale Oil Reservoirs Associated with Mobility: Inspiration from Gas Adsorption and Multiple Isothermal Stage Pyrolysis. Energy Fuels 2023, 37, 9121–9130. [Google Scholar]
- Wang, S.; Feng, Q.J.; Javadpour, F.; Xia, T.; Li, Z. Oil adsorption in shale nanopores and its effect on recoverable oil-in-place. Int. J. Coal Geol. 2015, 147–148, 9–24. [Google Scholar] [CrossRef]
- Xu, L.; Wang, R.; Zan, L. Shale oil occurrence and slit medium coupling based on a molecular dynamics simulation. J. Pet. Sci. Eng. 2023, 220, 111151. [Google Scholar] [CrossRef]
- Wu, Z.B.; Sun, Z.; Shu, K.; Jiang, S.; Gou, Q.Y.; Chen, Z.X. Mechanism of shale oil displacement by CO2 in nanopores: A molecular dynamics simulation study. Adv. Geo-Energy Res. 2024, 11, 141–151. [Google Scholar] [CrossRef]
- Fleury, M.; Romero-Sarmiento, M. Characterization of shales using T1–T2 NMR maps. J. Pet. Sci. Eng. 2016, 137, 55–62. [Google Scholar] [CrossRef]
- Liu, B.; Bai, L.H.; Chi, Y.A.; Jia, R.; Fu, X.F.; Yang, L. Geochemical characterization and quantitative evaluation of shale oil reservoir by two-dimensional nuclear magnetic resonance and quantitative grain fluorescence on extract: A case study from the Qingshankou Formation in Southern Songliao Basin, northeast China. Mar. Pet. Geol. 2019, 109, 561–573. [Google Scholar]
- Liu, B.; Jiang, X.W.; Bai, L.H.; Lu, R.S. Investigation of oil and water migrations in lacustrine oil shales using 20 MHz 2D NMR relaxometry techniques. Pet. Sci. 2022, 19, 1007–1018. [Google Scholar] [CrossRef]
- He, W.Y.; He, H.Q.; Wang, Y.H.; Cui, B.W.; Meng, Q.A.; Guo, X.J.; Bai, X.F.; Wang, Y.Z. Major breakthrough and significance of shale oil of the Jurassic Lianggaoshan Formation in Well Ping’an 1in northeasten Sichuan Basin. China Pet. Explor. 2022, 27, 40–49. [Google Scholar]
- Yang, Y.M.; Huang, D.; Yang, G.; Li, Y.C.; Dai, H.M.; Bai, R. Geological conditions to form lacustrine facies shale oil and gas of Jurassic Daanzhai Member in Sichuan Basin and exploration directions. Nat. Gas Explor. Dev. 2019, 42, 1–12. [Google Scholar]
- Zou, C.N.; Yang, Z.; Sun, S.S.; Zhao, Q.; Bai, W.H.; Liu, H.L.; Pan, S.Q.; Wu, S.T.; Yuan, Y.L. “Exploring Petroleum inside source kithen”: Shale oil and gas Sichuan Basin. Sci. China-Earth Sci. 2020, 50, 903–920. [Google Scholar]
- Tian, H.; He, K.; Huangfu, Y.H.; Liao, F.R.; Wang, X.M.; Zhang, S.C. Oil content and mobility in a shale reservoir in Songliao Basin, Northeast China: Insights from combined solvent extraction and NMR methods. Fuel 2024, 357, 129678. [Google Scholar] [CrossRef]
- Zhang, P.F.; Lu, S.F.; Li, J.Q.; Xue, H.T.; Li, W.H.; Zhang, P. Characterization of shale pore system: A case study of Paleogene Xin’gouzui Formation in the Jianghan basin, China. Mar. Pet. Geol. 2017, 79, 321–334. [Google Scholar] [CrossRef]
- Yasin, Q.; Sohail, G.M.; Liu, K.Y.; Du, Q.Z.; Boateng, C.D. Study on brittleness templates for shale gas reservoirs-A case study of Longmaxi shale in Sichuan Basin, southern China. Pet. Sci. 2021, 18, 1370–1389. [Google Scholar] [CrossRef]
- Zhang, J.Y.; Zhu, R.K.; Wu, S.T.; Jiang, X.H.; Liu, C.; Cai, Y.; Zhang, S.R.; Zhang, T.S. Microscopic oil occurrence in high-maturity lacustrine shales: Qingshankou Formation, Gulong Sag, Songliao Basin. Pet. Sci. 2023, 20, 2226–2246. [Google Scholar] [CrossRef]
- Lin, Z.Z.; Li, J.Q.; Wang, M.; Zhang, P.F.; Lu, S.F.; Zhi, Q.; Wang, J.J.; Huang, H.S. Organic fluid migration in low permeability reservoirs restricted by pore structure parameters. J. Pet. Sci. Eng. 2022, 218, 111028. [Google Scholar] [CrossRef]











| Sample | Depth/m | S1/mg/g | S2/mg/g | Tmax/°C | HI | TOC/% |
|---|---|---|---|---|---|---|
| XQ1-4 | 2435.38 | 0.09 | 0.36 | 449 | 66.80 | 0.54 |
| XQ1-5 | 2435.71 | 0.11 | 0.46 | 450 | 75.07 | 0.62 |
| XQ1-6 | 2436.41 | 2.83 | 11.38 | 446 | 422.38 | 2.69 |
| XQ1-8 | 2436.84 | 2.11 | 9.19 | 447 | 424.12 | 2.17 |
| XQ1-7 | 2436.87 | 2.76 | 12.81 | 444 | 482.21 | 2.66 |
| XQ1-9 | 2437.57 | 0.77 | 4.55 | 444 | 334.31 | 1.36 |
| XQ1-11 | 2437.98 | 0.12 | 0.41 | 450 | 69.45 | 0.59 |
| XQ1-13 | 2439.62 | 4.29 | 15.51 | 444 | 531.46 | 2.92 |
| XQ1-14 | 2440.10 | 1.95 | 7.98 | 446 | 405.08 | 1.97 |
| XQ1-15 | 2440.50 | 0.14 | 0.58 | 450 | 145.51 | 0.40 |
| XQ1-19 | 2442.45 | 0.07 | 0.20 | 454 | 42.41 | 0.47 |
| XQ1-20 | 2443.17 | 0.13 | 0.33 | 453 | 63.85 | 0.52 |
| XQ1-21 | 2443.68 | 1.29 | 8.39 | 448 | 390.78 | 2.15 |
| XQ1-22 | 2444.13 | 1.73 | 7.89 | 447 | 398.28 | 1.98 |
| XQ1-25 | 2446.57 | 0.09 | 0.29 | 450 | 61.83 | 0.46 |
| XQ1-26 | 2447.40 | 0.43 | 4.46 | 438 | 262.51 | 1.70 |
| XQ1-27 | 2447.80 | 0.11 | 0.60 | 447 | 91.41 | 0.66 |
| XQ1-29 | 2449.74 | 0.12 | 0.35 | 448 | 54.33 | 0.64 |
| XQ1-32 | 2452.65 | 2.08 | 10.81 | 448 | 542.19 | 1.99 |
| XQ1-32S | 2452.65 | 2.17 | 11.82 | 447 | 579.40 | 2.04 |
| XQ1-33 | 2453.39 | 0.20 | 1.19 | 446 | 160.88 | 0.74 |
| XQ1-35 | 2454.08 | 1.25 | 6.74 | 444 | 378.59 | 1.78 |
| XQ1-39 | 2457.76 | 0.95 | 3.67 | 447 | 277.37 | 1.32 |
| XQ1-40 | 2458.28 | 0.57 | 2.71 | 448 | 241.48 | 1.12 |
| XQ1-42 | 2459.15 | 0.46 | 3.39 | 447 | 257.99 | 1.31 |
| XQ1-45 | 2461.24 | 0.02 | 0.04 | 447 | 25.06 | 0.16 |
| XQ1-49 | 2464.98 | 0.03 | 0.11 | 447 | 43.84 | 0.25 |
| XQ1-51 | 2467.26 | 0.26 | 1.82 | 443 | 167.90 | 1.08 |
| XQ1-52 | 2468.50 | 0.57 | 4.17 | 444 | 282.90 | 1.47 |
| Sample | Depth/m | S1-1/mg/g | S1-2/mg/g | S2-1/mg/g | S2-2/mg/g | Free Oil/mg/g | Total Oil/mg/g |
|---|---|---|---|---|---|---|---|
| XQ1-4 | 2435.38 | 0.03 | 0.14 | 0.16 | 0.33 | 0.17 | 0.33 |
| XQ1-5 | 2435.71 | 0.03 | 0.15 | 0.20 | 0.44 | 0.18 | 0.38 |
| XQ1-6 | 2436.41 | 0.11 | 2.48 | 3.69 | 5.99 | 2.59 | 6.28 |
| XQ1-8 | 2436.84 | 0.17 | 2.88 | 3.83 | 4.41 | 3.05 | 6.88 |
| XQ1-7 | 2436.87 | 0.19 | 3.17 | 4.43 | 5.87 | 3.36 | 7.79 |
| XQ1-9 | 2437.57 | 0.09 | 1.00 | 1.59 | 2.73 | 1.09 | 2.68 |
| XQ1-11 | 2437.98 | 0.03 | 0.17 | 0.21 | 0.39 | 0.20 | 0.41 |
| XQ1-13 | 2439.62 | 0.38 | 4.56 | 5.66 | 7.68 | 4.94 | 10.6 |
| XQ1-14 | 2440.1 | 0.21 | 2.49 | 3.34 | 3.89 | 2.70 | 6.04 |
| XQ1-15 | 2440.5 | 0.04 | 0.17 | 0.26 | 0.50 | 0.21 | 0.47 |
| XQ1-19 | 2442.45 | 0.03 | 0.11 | 0.10 | 0.18 | 0.14 | 0.24 |
| XQ1-20 | 2443.17 | 0.02 | 0.12 | 0.13 | 0.23 | 0.14 | 0.27 |
| XQ1-21 | 2443.68 | 0.14 | 1.61 | 2.67 | 5.18 | 1.75 | 4.42 |
| XQ1-22 | 2444.13 | 0.20 | 2.27 | 3.00 | 4.17 | 2.47 | 5.47 |
| XQ1-25 | 2446.57 | 0.02 | 0.09 | 0.13 | 0.28 | 0.11 | 0.24 |
| XQ1-26 | 2447.4 | 0.08 | 0.53 | 1.58 | 2.78 | 0.61 | 2.19 |
| XQ1-27 | 2447.8 | 0.03 | 0.14 | 0.17 | 0.42 | 0.17 | 0.34 |
| XQ1-29 | 2449.74 | 0.03 | 0.12 | 0.13 | 0.27 | 0.15 | 0.28 |
| XQ1-32 | 2452.65 | 0.18 | 2.12 | 3.77 | 5.42 | 2.30 | 6.07 |
| XQ1-32S | 2452.65 | 0.25 | 2.47 | 3.86 | 6.12 | 2.72 | 6.58 |
| XQ1-33 | 2453.39 | 0.03 | 0.27 | 0.39 | 0.71 | 0.30 | 0.69 |
| XQ1-35 | 2454.08 | 0.14 | 1.60 | 2.37 | 3.86 | 1.74 | 4.11 |
| XQ1-39 | 2457.76 | 0.12 | 1.30 | 1.70 | 2.20 | 1.42 | 3.12 |
| XQ1-40 | 2458.28 | 0.05 | 0.61 | 1.08 | 1.66 | 0.66 | 1.74 |
| XQ1-42 | 2459.15 | 0.06 | 0.61 | 1.08 | 2.12 | 0.67 | 1.75 |
| XQ1-45 | 2461.24 | 0.01 | 0.04 | 0.03 | 0.04 | 0.05 | 0.08 |
| XQ1-49 | 2464.98 | 0.01 | 0.04 | 0.05 | 0.09 | 0.05 | 0.10 |
| XQ1-51 | 2467.26 | 0.04 | 0.33 | 0.56 | 1.15 | 0.37 | 0.93 |
| XQ1-52 | 2468.5 | 0.08 | 0.75 | 1.43 | 2.66 | 0.83 | 2.26 |
| Shale Oil Resource | TOC/% | S1/mg/g | S1/TOC/mg/g TOC |
|---|---|---|---|
| Enriched resource | ≥1.6 | ≥1.5 | ≥45 |
| Low-efficient resource | 0.8–1.6 | 0.2–1.5 | / |
| Scattered resource | <0.8 | <0.2 | <45 |
Disclaimer/Publisher’s Note: The statements, opinions and data contained in all publications are solely those of the individual author(s) and contributor(s) and not of MDPI and/or the editor(s). MDPI and/or the editor(s) disclaim responsibility for any injury to people or property resulting from any ideas, methods, instructions or products referred to in the content. |
© 2024 by the authors. Licensee MDPI, Basel, Switzerland. This article is an open access article distributed under the terms and conditions of the Creative Commons Attribution (CC BY) license (https://creativecommons.org/licenses/by/4.0/).
Share and Cite
Zhang, S.; Guo, R.; Tang, Q.; Hong, H.; Qin, C.; Lu, S.; Zhang, P.; Wei, T.; Pan, K.; Lin, Z. Lacustrine Shale Oil Occurrence State and Its Controlling Factors: A Case Study from the Jurassic Lianggaoshan Formation in the Sichuan Basin. Processes 2024, 12, 2617. https://doi.org/10.3390/pr12122617
Zhang S, Guo R, Tang Q, Hong H, Qin C, Lu S, Zhang P, Wei T, Pan K, Lin Z. Lacustrine Shale Oil Occurrence State and Its Controlling Factors: A Case Study from the Jurassic Lianggaoshan Formation in the Sichuan Basin. Processes. 2024; 12(12):2617. https://doi.org/10.3390/pr12122617
Chicago/Turabian StyleZhang, Shaomin, Ruiying Guo, Qingsong Tang, Haitao Hong, Chunyu Qin, Shuangfang Lu, Pengfei Zhang, Tengqiang Wei, Keyu Pan, and Zizhi Lin. 2024. "Lacustrine Shale Oil Occurrence State and Its Controlling Factors: A Case Study from the Jurassic Lianggaoshan Formation in the Sichuan Basin" Processes 12, no. 12: 2617. https://doi.org/10.3390/pr12122617
APA StyleZhang, S., Guo, R., Tang, Q., Hong, H., Qin, C., Lu, S., Zhang, P., Wei, T., Pan, K., & Lin, Z. (2024). Lacustrine Shale Oil Occurrence State and Its Controlling Factors: A Case Study from the Jurassic Lianggaoshan Formation in the Sichuan Basin. Processes, 12(12), 2617. https://doi.org/10.3390/pr12122617
