Numerical Study of the Combustion Process in the Vertical Heating Flue of Air Staging Coke Oven
Abstract
1. Introduction
2. Physical Model and Numerical Method
2.1. Physical Model of Coke Oven Combustion Chamber
2.2. Numerical Method
2.3. k-ε Turbulence Equation
2.4. Combustion Model
2.5. Radiation Model
2.6. NOX Generation Model
2.7. Solution Process
2.8. Mesh Independence Test
3. Mesh Model and Boundary Conditions
4. Numerical Method Validation
5. Results and Discussion
5.1. Impact of Air Staging on NO Emissions
5.2. Impact of Excess Air Coefficient on NO Emissions
5.3. Effect of Air Inlet Ratio on NO Emissions
5.4. Effect of Changes in Outlet Pressure on Coke Oven Combustion
6. Conclusions
- A comparison of NO emissions with and without air staging technology indicates that implementing air staging technology can reduce the flue gas outlet NO (PPM) value by 35%, resulting in a wider high-temperature region in the vertical heating flue and a more uniform temperature distribution;
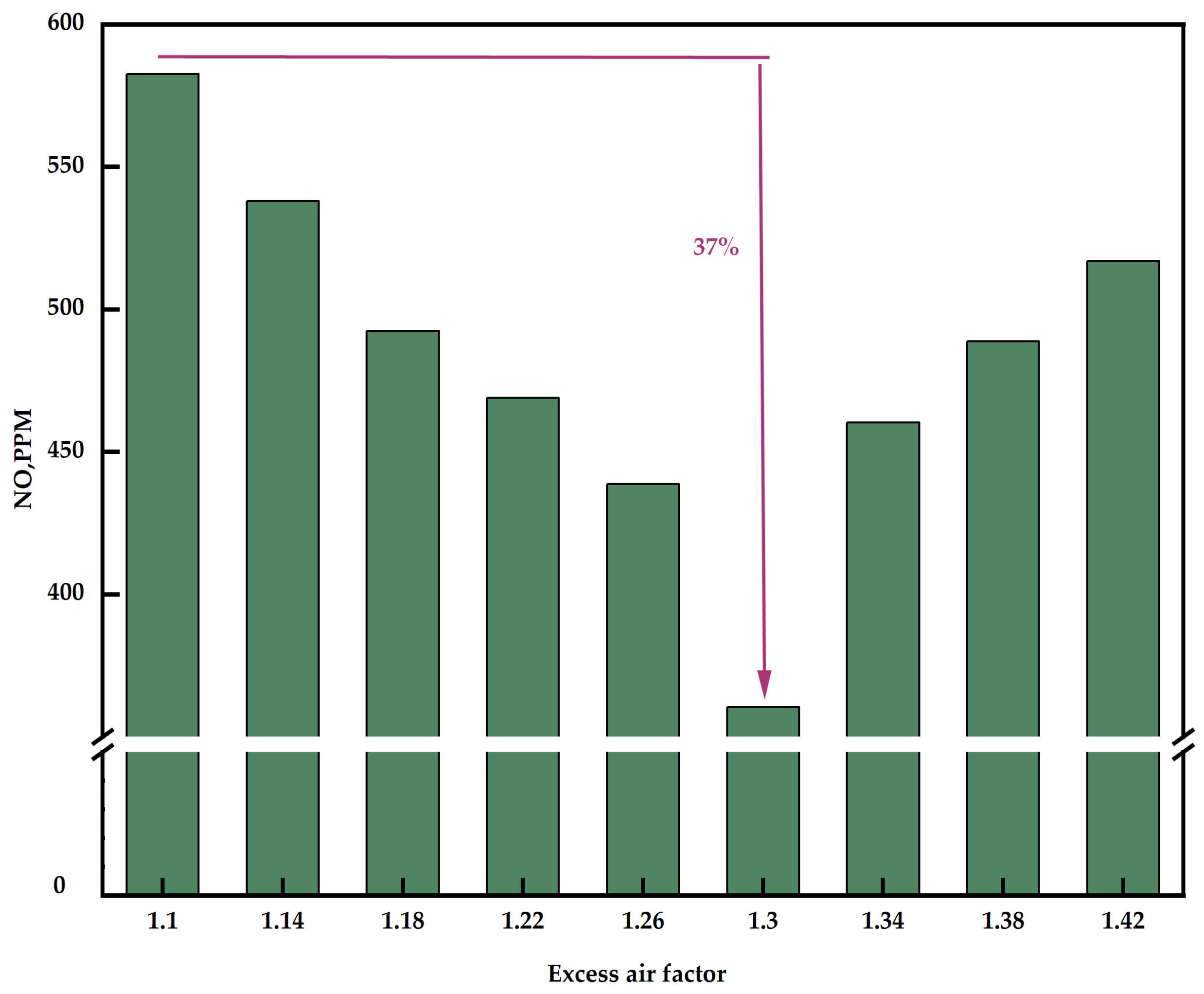
- The variation in the air excess coefficient significantly affects the combustion performance of the coke oven combustion chamber. When the air excess coefficient is 1.3, the flue gas NO (PPM) emission reaches its lowest value of 360, and the area of the high-temperature zone in the vertical heating flue is minimized. This indicates that an appropriate air excess coefficient enhances combustion intensity in the vertical heating flue, accelerates the oxygen consumption rate, and reduces the extent of the high-temperature zone;
- An analysis of the variation in air mass fraction ratios in both one-section and two-section configurations reveals that an air distribution ratio of 7:3 produces the most uniform combustion temperature. The difference in flue gas outlet NO (PPM) values between the 6:4 and 7:3 distribution ratios is minimal. The 7:3 distribution ratio is therefore selected considering its influence on the combustion characteristics of the coke oven and the resultant temperature field changes. (As illustrated in Figure 10, the lowest NO emission occurs at a 6:4 ratio.) At this distribution ratio, the flue gas outlet NO emission value is reduced by 53% compared to the conventional ungraded coke oven;
- The flow rate distribution cloud diagram comparing air staging (with and without), the air excess coefficient, and the air distribution ratio indicates that the incorporation of air staging into conventional coke ovens moderates combustion intensity in the vertical heating flue. The appropriate air excess coefficient and air distribution ratio also enhance the reflux velocity in the vertical heating flue and decrease NO generation;
- Considering the actual operation of the coke oven, alterations to the outlet pressure indicate that as negative outlet pressure increases, the ratio of the air inlet flow between the first and second sections decreases, subsequently reducing the high-temperature region in the vertical heating flue and suppressing combustion.
Author Contributions
Funding
Data Availability Statement
Conflicts of Interest
References
- Dıez, M.A.; Alvarez, R.; Barriocanal, C. Coal for metallurgical coke production: Predictions of coke quality and future requirements for cokemaking. Int. J. Coal Geol. 2002, 50, 389–412. [Google Scholar] [CrossRef]
- Liang, T.; Wang, S.; Lu, C.; Jiang, N.; Long, W. Environmental impact evaluation of an iron and steel plant in China: Normalized data and direct/indirect contribution. J. Clean. Prod. 2020, 264, 121697. [Google Scholar] [CrossRef]
- Razzaq, R.; Li, C.; Zhang, S. Coke oven gas: Availability, properties, purification, and utilization in China. Fuel 2013, 113, 287–299. [Google Scholar] [CrossRef]
- Bermúdez, J.M.; Arenillas, A.; Luque, R.; Angel Menéndez, J. An overview of novel technologies to valorise coke oven gas surplus. Fuel Process. Technol. 2013, 110, 150–159. [Google Scholar] [CrossRef]
- Li, P.; Wang, G.; Dong, Y.; Zhuo, Y.; Fan, Y. A review on desulfurization technologies of blast furnace gases. Curr. Pollut. Rep. 2022, 8, 189–200. [Google Scholar] [CrossRef]
- Smolka, J.; Slupik, L.; Fic, A.; Nowak, A.J.; Kosyrczyk, L. 3-D coupled CFD model of a periodic operation of a heating flue and coke ovens in a coke oven battery. Fuel 2016, 165, 94–104. [Google Scholar] [CrossRef]
- Lahaye, D.; Abbassi, M.; Vuik, K.; Talice, M.; Juretić, F. Mitigating Thermal NOX by Changing the Secondary Air Injection Channel: A Case Study in the Cement Industry. Fluids 2020, 5, 220. [Google Scholar] [CrossRef]
- Gamrat, S.; Poraj, J.; Bodys, J.; Smolka, J.; Adamczyk, W. Influence of External Flue Gas Recirculation on Gas Combustion in a Coke Oven Heating System. Fuel Process Technol. 2016, 152, 430–437. [Google Scholar] [CrossRef]
- Jin, K.; Feng, Y.; Zhang, X.; Wang, M.; Yang, J.; Ma, X. Simulation of Transport Phenomena in Coke Oven with Staging Combustion. Apply Therm. Eng. 2013, 58, 354–362. [Google Scholar] [CrossRef]
- Bothien, M.R.; Ciani, A.; Wood, J.P.; Gerhend, F. Toward decarbonized power generation with gas turbines by using sequential combustion for burning hydrogen. J. Eng. Gas Turbines Power 2019, 141, 121013. [Google Scholar] [CrossRef]
- Asghar, U.; Rafiq, S.; Anwar, A. Review on the progress in emission control technologies for the abatement of CO2, SOX and NOX from fuel combustion. J. Environ. Chem. Eng. 2021, 9, 106064. [Google Scholar] [CrossRef]
- Smith, J.A.; Davis, B.W. Effect of air staging on NOx and N2O emissions from a coal-fired boiler. Environ. Sci. Technol. 2020, 54, 7001–7009. [Google Scholar] [CrossRef]
- Cozzi, F.; Coghe, A. Effect of air staging on a coaxial swirled natural gas flame. Exp. Therm. Fluid Sci. 2012, 43, 32–39. [Google Scholar] [CrossRef]
- Lee, M.J.; Kim, S.H. Numerical simulation of combustion and NOx emission in a W-type flame boiler. Combust. Sci. Technol. 2021, 193, 95–112. [Google Scholar]
- Sung, Y.; Kim, S.; Jang, B.; Oh, C.; Jee, T.; Park, S.; Park, K.; Chang, S. Nitric oxide emission reduction in reheating furnaces through burner and furnace air-staged combustions. Energies 2021, 14, 1599. [Google Scholar] [CrossRef]
- Wang, X.; Hu, Z.; Deng, S.; Xiong, Y.; Tan, H. Effect of biomass/coal co-firing and air staging on NOX emission and combustion efficiency in a drop tube furnace. Energy Procedia 2014, 61, 2331–2334. [Google Scholar] [CrossRef]
- Weiss, C.; Rieger, J.; Rummer, B. Formation and control of nitrogen oxide in the heating system of a coke oven. Environ. Eng. Sci. 2012, 29, 555–562. [Google Scholar] [CrossRef]
- Wei, L.; Yan, H.F.; Ke, J. Numerical analysis and optimization of influence of multi-point heating on coking process. Steel 2015, 50, 25–32. [Google Scholar] [CrossRef]
- Poraj, J.; Gamrat, S.; Bodys, J.; Smolka, J. Numerical study of air staging in a coke oven heating system. Clean Technol. Environ. Policy 2016, 18, 1815–1825. [Google Scholar] [CrossRef]
- Li, X.; Zhang, L.; Sun, Y.; Jiang, B.; Li, X.; Wang, J. Numerical simulation of the flue gas side of refining vacuum furnace using CFD. Chem. Eng. Sci. 2015, 123, 70–80. [Google Scholar] [CrossRef]
- Wang, Q.W.; Shen, Q.L.; Li, X.G.; Xiao, W.D. Revisit flame modulation towards low-NOX and uniform thermal field in heating flue of a coke oven. Appl. Therm. Eng. 2023, 228, 120522. [Google Scholar] [CrossRef]
- Espejo Delgado, V.; Papadaki, A.; Casal Fàbrega, J.; Planas Cuchi, E. CFD Simulation of Explosions in Fired Combustion Chambers. Chem. Eng. Trans. 2023, 104, 79–84. [Google Scholar]
- Huang, H.; Zheng, Z.; Yao, J.; Zhang, L.; Bu, S.; Xu, F.; Xu, W.; Ding, H. The Quantitative Study on the Influence of Operating Parameters Upon Thermal Performance of Heating Furnace. J. Therm. Sci. Eng. Appl. 2023, 15, 021001. [Google Scholar] [CrossRef]
- Buczyński, R.; Kim, R. On optimization of the coke oven twin-heating flue design providing a substantial reduction of NOX emissions Part I: General description, validation of the models and interpretation of the results. Fuel 2022, 323, 124194. [Google Scholar] [CrossRef]
- Xu, Q.; Zou, Z.; Chen, Y.; Wang, K.; Du, Z.; Feng, J.; Ding, C. Performance of a novel-type of heat flue in a coke oven based on high-temperature and low-oxygen diffusion combustion technology. Fuel 2020, 267, 117–160. [Google Scholar] [CrossRef]
- Fan, G.; Chen, M.; Wang, C.A.; Feng, Q.; Sun, Y.; Xu, J.; Du, Y.; Che, D. Numerical study on oxy-fuel combustion characteristics of industrial furnace firing coking dry gas. Energy 2024, 286, 129643. [Google Scholar] [CrossRef]
- Li, Z.; Yi, Q.; Zhang, Y.; Zhao, Y.; Huang, Y. Numerical study and design strategy for a low emission coke oven system using oxy-fuel combustion of coke oven gas. J. Clean. Prod. 2020, 252, 119656. [Google Scholar] [CrossRef]
- Bolshakov, A.P.; Ralchenko, V.G.; Yurov, V.Y.; Popovich, A.F.; Antonova, I.A. High-rate growth of single crystal diamond in microwave plasma in CH4/H2 and CH4/H2/Ar gas mixtures in presence of intensive soot formation. Diam. Relat. Mater. 2016, 62, 49–57. [Google Scholar] [CrossRef]
- Turns, S.R. Understanding NOX formation in nonpremixed flames: Experiments and modeling. Prog. Energy Combust. Sci. 1995, 21, 361–385. [Google Scholar] [CrossRef]
- Saravanan, S.; Nagarajan, G.; Anand, S.; Sampath, S. Correlation for thermal NOX formation in compression ignition (CI) engine fuelled with diesel and biodiesel. Energy 2012, 42, 401–410. [Google Scholar] [CrossRef]
- Rieger, J.; Weiss, C.; Rummer, B. Modelling and control of pollutant formation in blast stoves. J. Clean. Prod. 2015, 88, 254–261. [Google Scholar] [CrossRef]
- Anufriev, I.S. Review of water/steam addition in liquid-fuel combustion systems for NOX reduction: Waste-to-energy trends. Appl. Therm. Eng. 2021, 138, 110665. [Google Scholar] [CrossRef]
- Muhammed, F.T.; Cem, O.; Mahmut, D. Prediction of Excess Air Factor in Automatic Feed Coal Burners by Processing of Flame Images. Chin. J. Mech. Eng. 2017, 30, 722–731. [Google Scholar] [CrossRef]
















| Parameter | Mass Fraction, % | ||||||||
|---|---|---|---|---|---|---|---|---|---|
| Component | CO2 | O2 | CO | CH4 | H2 | N2 | H2O | C2H4 | C2H6 |
| COG inlet | 11.79 | 2.00 | 14.51 | 36.31 | 10.22 | 11.25 | 5.20 | 5.50 | 3.22 |
| Air inlet | 21.48 | 75.55 | 2.97 | ||||||
| Property | Boundary Condition | Value |
|---|---|---|
| Air inlet | mair = m0, Tair = T0 | T0 = 1273 K |
| Gas outlet | mout = m0, Pout = P0 | P0 = −100 Pa |
| Flue inlet | mflue = m1, Tflue = T1 | T1 = 873 K |
| Heat transfer surface | heat flux | 5500 W/m2 |
| Other surfaces | heat flux | 0 W/m2 |
| Parameter | Simulation | Experimentation | Error/% |
|---|---|---|---|
| T/K | 1650 | 1603 ± 20 | 3 |
| ω(N2)/% | 72.2 | 69.9 ± 0.35 | 3.2 |
| ω(CO2)/% | 5.2 | 5.5 ± 0.02 | 5.4 |
| NOX | 882 | 935 ± 10 ppm | 5.7 |
| Case/Mass Flow of Rate | 1 | 2 | |
|---|---|---|---|
| Air excess coefficient | 1.18 | - | |
| COG inlet (kg/s) | 0.001908 | - | |
| Air inlet (kg/s) | Primary | - | 0.01072 |
| Second | - | 0.004594 | |
| Total | 0.01531 | - |
Disclaimer/Publisher’s Note: The statements, opinions and data contained in all publications are solely those of the individual author(s) and contributor(s) and not of MDPI and/or the editor(s). MDPI and/or the editor(s) disclaim responsibility for any injury to people or property resulting from any ideas, methods, instructions or products referred to in the content. |
© 2024 by the authors. Licensee MDPI, Basel, Switzerland. This article is an open access article distributed under the terms and conditions of the Creative Commons Attribution (CC BY) license (https://creativecommons.org/licenses/by/4.0/).
Share and Cite
Hu, X.; Zhang, J.; Yu, Z.; Liu, Z.; Guo, J.; Xu, C. Numerical Study of the Combustion Process in the Vertical Heating Flue of Air Staging Coke Oven. Processes 2024, 12, 2294. https://doi.org/10.3390/pr12102294
Hu X, Zhang J, Yu Z, Liu Z, Guo J, Xu C. Numerical Study of the Combustion Process in the Vertical Heating Flue of Air Staging Coke Oven. Processes. 2024; 12(10):2294. https://doi.org/10.3390/pr12102294
Chicago/Turabian StyleHu, Xiaolei, Jiale Zhang, Zihan Yu, Zhenzhen Liu, Jiayi Guo, and Changhua Xu. 2024. "Numerical Study of the Combustion Process in the Vertical Heating Flue of Air Staging Coke Oven" Processes 12, no. 10: 2294. https://doi.org/10.3390/pr12102294
APA StyleHu, X., Zhang, J., Yu, Z., Liu, Z., Guo, J., & Xu, C. (2024). Numerical Study of the Combustion Process in the Vertical Heating Flue of Air Staging Coke Oven. Processes, 12(10), 2294. https://doi.org/10.3390/pr12102294

