Ultrasonic-Assisted Extraction and Antioxidant Evaluation of Resveratrol from Peanut Sprouts
Abstract
1. Introduction
2. Materials and Methods
2.1. Materials
2.2. Experimental Design
2.3. Static Adsorption and Desorption Test
2.4. The Purification Process of Resveratrol with AB-8 Resin
2.5. HPLC Analysis of the Resveratrol from Peanut Sprouts
2.6. Evaluation of Resveratrol Antioxidant Activities
2.6.1. Free Radical-Scavenging Activity on DPPH Radical
2.6.2. Determination of Antioxidant Activity in the β-Carotene/Linoleic Acid System
2.6.3. Determination of Reducing Power
2.6.4. Scavenging Activity on Hydroxyl Radical
2.6.5. Scavenging Activity on Superoxide Anion Radicals
2.7. Data Analysis
3. Result and Analysis
3.1. Optimization of Ultrasonic-Assisted for Resveratrol
3.2. Static Adsorption and Desorption
3.2.1. Adsorption Capacity, Adsorption Ratio, and Desorption Ratio of Different Resins
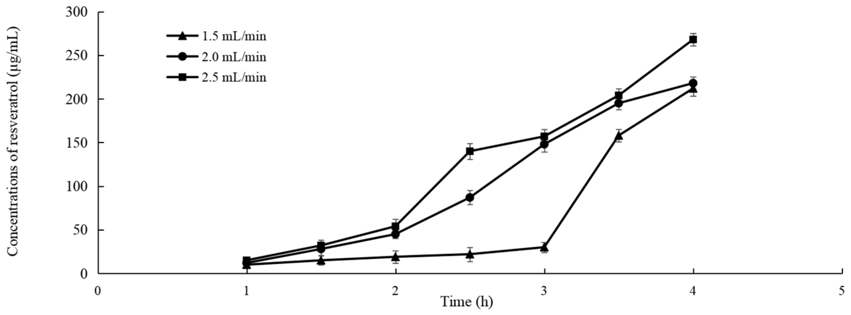
3.2.2. Static Adsorption and Desorption on AB-8
3.3. The Result of Purification Process of Resveratrol with AB-8 Resin
3.4. Antioxidant Activity Analysis
3.4.1. Scavenging Activity on DPPH Radical
3.4.2. β-Carotene Bleaching Test
3.4.3. Reducing Power of the Resveratrol Sample
3.4.4. Scavenging Activity on Hydroxyl Radical of the Resveratrol Sample
3.4.5. Scavenging Activity on Superoxide Radicals
3.5. Qualitative and Quantitative Analysis of the Resveratrol Sample
4. Conclusions
Author Contributions
Funding
Data Availability Statement
Acknowledgments
Conflicts of Interest
References
- Guo, M.W.; Xu, X.M.; Ding, Z.E. Optimization of extraction technology for resveratrol from peanut bud. China Food Saf. 2023, 6, 145–148. [Google Scholar] [CrossRef]
- Xu, Z.J.; Zhao, M.Y.; Chen, Q.W.; Li, X.N.; Gao, Z.P.; Guo, J.; Long, F.Y. High hydrostatic pressure improved properties of peanut sprout juice and its effect on resveratrol. Food Biosci. 2023, 56, e103061. [Google Scholar] [CrossRef]
- Li, X.L.; Long, T.; Yang, L.; Fan, Z.Q.; Chen, Y.L.; Guo, Y.B. Optimization of ultrasound-assisted enzymatic method extraction and antioxidant activity of resveratrol from coffee bean peels. Food Res. Dev. 2023, 44, 71–77. [Google Scholar] [CrossRef]
- Oh, W.Y.; Shahidi, F. Lipophilization of resveratrol and effects on antioxidant activities. J. Agric. Food Chem. 2017, 39, 8617–8625. [Google Scholar] [CrossRef]
- Piyaratne, P.S.; LeBlanc, R.; Myracle, A.D.; Cole, B.J.W.; Fort, R.C. Extraction and Purification of (E)-Resveratrol from the Bark of Conifer Species. Processes 2022, 10, 647. [Google Scholar] [CrossRef]
- Xie, M.X.; Yu, M.; Zhang, L.C.; Shi, T.Y. Transcriptome and proteome analysis of ultrasound pretreated peanut sprouts. Food Chem. Mol. Sci. 2022, 4, e100102. [Google Scholar] [CrossRef]
- Wang, N.; Ning, C.C.; Zhao, N.Y.; Li, N.; Li, J.W.; Zheng, Y.R.; Zhao, Z.; Yu, Q.Y. Study on Ultrasonic-microwave synergistic extraction of resveratrol from peanut sprouts and its antioxidant activity. J. Peanut Sci. 2022, 51, 39–48. [Google Scholar] [CrossRef]
- Wu, P.C.; Pu, Y.F.; Du, X.Y.; Wang, H.J.; Wang, L.L.; Hou, X.J. Optimization of extraction of resveratrol from peanut bud with subcritical water and its inhibitory enzyme activity. China Food Addit. 2022, 2, 61–68. [Google Scholar] [CrossRef]
- Lee, D.U.; Kim, H.; Lee, G.; Jeon, S.H.; Lee, J.J.; Lee, S. Effects of thermal treatments on the stability of trans-resveratrol and yeast inactivation in transresveratrol-amplified grape juice. Arch. Biol. Sci. 2014, 66, 323–329. [Google Scholar] [CrossRef]
- Jia, X.J.; Liu, G.H.; Huang, Y.; Li, Z.P.; Liu, X.F.; Wang, Z.; Li, R.; Song, B.B.; Zhong, S.Y. Ultrasonic-Assisted Extraction, Structural Characteristics, and Antioxidant Activities of Polysaccharides from Alpinia officinarum Hance. Foods 2024, 13, 333. [Google Scholar] [CrossRef]
- Hayat, K.; Hussain, S.; Abbas, S.; Farooq, U.; Ding, B.M.; Xia, S.Q.; Jia, C.S.; Zhang, X.M.; Xia, W.S. Optimized microwave-assisted extraction of phenolic acids from citrus mandarin peels and evaluation of antioxidant activity in vitro. Sep. Purif. Technol. 2009, 70, 63–70. [Google Scholar] [CrossRef]
- D’Agua, A.Z.P.; da Silva, P.A.; de Oliveira, A.L.; Petrus, R.R. Enzymic Deactivation in Tender Coconut Water by Supercritical Carbon Dioxide. Processes 2024, 12, 1071. [Google Scholar] [CrossRef]
- Marić, M.; Grassino, A.N.; Zhu, Z.; Barba, F.J.; Brnčić, M.; Rimac Brnčić, S. An overview of the traditional and innovative approaches for pectin extraction from plant food wastes and by-products: Ultrasound-, microwaves-, and enzyme-assisted extraction. Trends Food Sci. Technol. 2018, 76, 28–37. [Google Scholar] [CrossRef]
- Avilés-Betanzos, K.A.; Scampicchio, M.; Ferrentino, G.; Ramírez-Sucre, M.O.; RodríguezBuenfil, I.M. Capsicum chinense polyphenols extraction by supercritical fluids using response surface methodology (RSM). Processes 2023, 11, 2055. [Google Scholar] [CrossRef]
- Apinun, L.; Prachya, J.; Ampika, A.; Muenfan, K.; Patcharaporn, N.; Jirarat, P.; Thapakorn, S.; Suwaree, S.; Damratsamon, S.; Metawee, S.; et al. Antioxidant activity, total phenolic, and resveratrol content in five cultivars of peanut sprouts. Asian Pac. J. Trop. Biomed. 2017, 7, 332–338. [Google Scholar] [CrossRef]
- Xu, X.M.; Long, S.S.; Zhu, Q.Y.; Wang, J.G. Effects of ultrasonic treatment on the flavonoids content of peanut seeds during germination. J. Jimei Univ. (Nat. Sci.) 2024, 29, 16–23. [Google Scholar] [CrossRef]
- Liu, Y.J.; Liu, G.Y.; Yu, D.; Li, L.; Fu, Z.Y.; Zheng, J.; Liu, Y.T.; Zhou, Z.C. Optimization of Purification Process of Saponins from Apostichopus japonicus with Macroporous Resin by Response Surface Methodology. Fish. Sci. 2024, 4, e23080. [Google Scholar] [CrossRef]
- Zhou, L.F.; Jiang, B.; Zhang, T.; Li, S.H. Ultrasound-assisted aqueous two-phase extraction of resveratrol from the enzymatic hydrolysates of Polygonum cuspidatum. Food Biosci. 2019, 31, 100442. [Google Scholar] [CrossRef]
- Xu, X.M.; Wang, N.; Wang, S.M.; Wang, J.Z.; Wu, N.N.; Xu, Y.D.; Xu, M. Effects of Different Pretreatments on Hot Air Drying Characteristics, Nutrition, and Antioxidant Capacity of Tartary Buckwheat Sprouts. Foods 2024, 13, 2473. [Google Scholar] [CrossRef]
- Ali, B.; Abderrahim, Z.; Hassane, M.; Marianne, S.; Marie-Laure, F.; Abdelkhaleq, L.; Mohammed, A.; Mohamed, B. Chemical Composition of Cactus Pear Seed Oil: Phenolics identification and antioxidant activity. J. Pharmacopunct. 2022, 25, 121–129. [Google Scholar] [CrossRef]
- Vaquero, M.J.R.; Serravalle, L.R.T.; de Nadra, M.C.M.; de Saad, A.M.S. Antioxidant capacity and antibacterial activity of phenolic compounds from argentinean herbs infusions. Food Control 2010, 21, 779–785. [Google Scholar] [CrossRef]
- Yang, J.; Shen, M.Y.; Wu, T.; Chen, X.X.; Wen, H.L.; Xie, J.H. Physicochemical, structural characterization, and antioxidant activities of chondroitin sulfate from Oreochromis niloticus bones. Food Sci. Hum. Wellness 2023, 12, 1102–1108. [Google Scholar] [CrossRef]
- Yang, Z.Y.; Cai, J.M.; Boateng, E.F.; Xing, L.J.; Zhang, W.A. Insight into Antioxidant Activity and Peptide Profile of Jinhua Ham Broth Peptides at Different Cooking Times. Antioxidants 2023, 12, 606. [Google Scholar] [CrossRef] [PubMed]
- Wang, P.F.; Sheng, Z.L.; Han, Q.; Zhao, Y.L.; Cheng, G.D.; Li, Y.H. Enrichment and purification of total flavonoids from Flos Populi extracts with macroporous resins and evaluation of antioxidant activities in vito. J. Chromatogr. B 2014, 945, 68–74. [Google Scholar] [CrossRef]
- Wang, C.R.; Shi, L.L.; Fan, L.T.; Ding, Y.F.; Zhao, S.; Liu, Y.J. Optimization of extraction and enrichment of phenolics from pomegranate (Punica granatum L.) leaves. Ind. Crops Prod. 2013, 42, 587–594. [Google Scholar] [CrossRef]
- Zhang, N.D.; Zuo, Z.H.; Wang, Y.; Sun, W.; Pang, W.Q. Optimization of ultrasound-assisted alkali alcohol extraction and macroporous resin purification of ferulic acid from corn husk. Sci. Technol. Food Ind. 2023, 44, 1–11. [Google Scholar] [CrossRef]
- Nie, C.; Zhao, Z.Y.; Xu, X.D.; Zhou, Z.Q. Separation and purification of total flavonoids from lane late navel orange by AB-8 macroporous resins. Sci. Technol. Food Ind. 2017, 38, 221–241. [Google Scholar] [CrossRef]
- Xi, L.H.; Mu, T.H.; Sun, H.N. Preparative purification of polyphenols from sweet potato (Iponoea batatas L.) leaves by AB-8 macroporous resins. Food Chem. 2015, 172, 166–174. [Google Scholar] [CrossRef] [PubMed]
- Song, Q.Y.; Li, W.J.; Pang, Z.H.; Xiao, Y.L.; Wang, H.Y.; Li, Y.D.; Liu, Y.; Wang, C.; Li, W. Optimization of Ultrasonic-Assisted Extraction and Purification of Resveratrol from Peanut Root. Sci. Technol. Food Ind. 2023, 44, 228–235. [Google Scholar] [CrossRef]
- Li, H.; Wang, X.Y.; Li, Y.; Li, P.H.; Wang, H. Polyphenolic compounds and antioxidant properties of selected China wines. Food Chem. 2009, 112, 454–460. [Google Scholar] [CrossRef]
- Chen, Y.; Xie, M.Y.; Nie, S.P.; Li, C.; Wang, Y.X. Purification, composiyion analysis and antioxidant activity of a polysaccharide from the fruiting bodies of Ganoderma atrum. Food Chem. 2008, 107, 231–241. [Google Scholar] [CrossRef]
- Yi, J.; He, Q.Y.; Peng, G.F.; Fan, F.T. Improved water solubility, chemical stability, antioxidant and anticancer activity of resveratrol via nanoencapsulation with pea protein nanofibrils. Food Chem. 2022, 377, e131942. [Google Scholar] [CrossRef]
- Lee, S.Y.; Lee, S.J.; Yim, D.G.; Hur, S.J. Changes in the Content and Bioavailability of Onion Quercetin and Grape Resveratrol During In Vitro Human Digestion. Foods 2020, 9, 694. [Google Scholar] [CrossRef] [PubMed]
- Zhu, Y.Y.; Li, X.H.; Da, C.Y.; Liang, P.Y.; Jin, S.S.; Tang, C.B. Effects of Cyclocarya paliurus (batal.) extracts on oxidative stability and sensory quality in meat products (frankfurters). Foods 2022, 11, 3721. [Google Scholar] [CrossRef]
- Frankel, E.N.; Meyer, A.S. The problems of using one-dimensional methods to evaluate multifunctional food and biological antioxidants. J. Sci. Food Agric. 2000, 80, 1925–1941. [Google Scholar] [CrossRef]
- Abdelsalam, S.A.; Renu, K.; Zahra, H.A.; Abdallah, B.M.; Ali, E.M.; Veeraraghavan, V.P.; Sivalingam, K.; Ronsard, L.; Ammar, R.B.; Vidya, D.S.; et al. Polyphenols mediate neuroprotection in cerebral ischemic stroke—An update. Nutrients 2023, 15, 1107. [Google Scholar] [CrossRef]
- Rudrapal, M.; Mishra, A.K.; Rani, L.; Sarwa, K.K.; Zothantluanga, J.H.; Khan, J.; Kamal, M.; Palai, S.; Bendale, A.R.; Talele, S.G.; et al. Nanodelivery of dietary polyphenols for therapeutic applications. Molecules 2022, 27, 8706. [Google Scholar] [CrossRef]
- Lai, F.R.; Wen, Q.B.A.; Li, L.; Wu, H.; Li, X.F. Antioxidant activities of water-soluble polysaccharide extracted from mung bean (Vigna radiate L.). hull with ultrasonic- assisted treatment. Carbohydr. Polym. 2010, 81, 323–329. [Google Scholar] [CrossRef]
- Li, C.; Xu, X.F.; Tao, Z.H.; Wang, X.J.; Pan, Y.J. Resveratrol dimers, nutritional components in grape wine, are selective ROS scavengers and weak Nrf2 activators. Food Chem. 2015, 173, 218–223. [Google Scholar] [CrossRef]
- Yoshimi, S.; Risako, N.; Naru, K. Resveratrol analogues like piceatannol are potent antioxidants as quantitatively demonstrated through the high scavenging ability against reactive oxygen species and methyl radical. Bioorg. Med. Chem. Lett. 2017, 23, 5203–5206. [Google Scholar] [CrossRef]
- Perumal, S.; Klaus, B. Antioxidant properties of various solvent extracts of total phenolic constituents from three different agroclimatic origins of drumstick tree (Moringa oleifera Lam. ) leaves. J. Agric. Food Chem. 2003, 51, 2144–2155. [Google Scholar] [CrossRef]









| Level | Factor | |||
|---|---|---|---|---|
| Ethanol Concentration A | Temperature B | Solid to Liquid Ratio C | Time D | |
| 1 | 60% | 60 °C | 1:25 | 30 min |
| 2 | 70% | 70 °C | 1:30 | 40 min |
| 3 | 80% | 80 °C | 1:35 | 50 min |
| Run | A | B | C | D | Response (mg/g) | ||
|---|---|---|---|---|---|---|---|
| 1 | 1 | 1 | 1 | 1 | 9.155 | 9.028 | 8.986 |
| 2 | 1 | 2 | 2 | 2 | 10.185 | 10.177 | 10.232 |
| 3 | 1 | 3 | 3 | 3 | 7.285 | 7.213 | 7.332 |
| 4 | 2 | 1 | 2 | 3 | 9.876 | 9.875 | 9.824 |
| 5 | 2 | 2 | 3 | 1 | 10.512 | 10.485 | 10.578 |
| 6 | 2 | 3 | 1 | 2 | 7.583 | 7.634 | 7.523 |
| 7 | 3 | 1 | 3 | 2 | 10.263 | 10.242 | 10.135 |
| 8 | 3 | 2 | 1 | 3 | 10.255 | 10.243 | 10.192 |
| 9 | 3 | 3 | 2 | 1 | 7.622 | 7.545 | 7.532 |
| k1 | 26.54 | 29.13 | 26.87 | 27.16 | |||
| k2 | 27.97 | 30.96 | 27.63 | 27.99 | |||
| k3 | 28.01 | 22.43 | 27.37 | 27.37 | |||
| R | 1.47 | 8.53 | 0.76 | 0.83 | |||
| Sources of Variation | Sum of Squares SS | DF | Mean Squares MS | F-Value | Significance |
|---|---|---|---|---|---|
| A | 1.413 | 2 | 0.707 | 238.430 | ** |
| B | 40.350 | 2 | 20.175 | 6806.684 | ** |
| C | 0.682 | 2 | 0.341 | 115.015 | ** |
| D | 0.384 | 2 | 0.192 | 64.739 | ** |
| Error E | 0.053 | 18 | 0.003 |
| Resin Name | Mass Concentration before Adsorption (mg/L) | Mass Concentration after Adsorption (mg/L) | Adsorption Ratio (%) | Desorption Ratio (%) |
|---|---|---|---|---|
| AB-8 | 9 | 1.4 | 84.4 ± 1.6 ac | 83.2 ± 2.5 a |
| D101 | 9 | 1.5 | 83.3 ± 2.6 a | 78.8 ± 3.5 bd |
| D110 | 9 | 1.8 | 80.0 ± 2.1 b | 75.4 ± 3.1 ce |
| X-5 | 9 | 1.2 | 86.7 ± 2.9 c | 80.9 ± 2.7 d |
| NKA-9 | 9 | 2.1 | 76.7 ± 1.9 d | 72.1 ± 3.8 e |
| Ethanol Concentration (%) | Sample Mass (g) | Elution Volume (mL) | Desorption Ratio (%) | Purity of Resveratrol (%) |
|---|---|---|---|---|
| 50 | 0.2 | 800 | 84.2 | 24.3 |
| 60 | 0.2 | 800 | 83.1 | 47.5 |
| 70 | 0.2 | 800 | 79.5 | 38.9 |
| Components | Content (mg/g) |
|---|---|
| Protocatechuic acid | 8.332 |
| Catechins | 17.941 |
| Caffeic acid | 4.153 |
| Epicatechuic acid | 36.906 |
| Resveratrol | 475.304 |
| Rutin | 85.458 |
Disclaimer/Publisher’s Note: The statements, opinions and data contained in all publications are solely those of the individual author(s) and contributor(s) and not of MDPI and/or the editor(s). MDPI and/or the editor(s) disclaim responsibility for any injury to people or property resulting from any ideas, methods, instructions or products referred to in the content. |
© 2024 by the authors. Licensee MDPI, Basel, Switzerland. This article is an open access article distributed under the terms and conditions of the Creative Commons Attribution (CC BY) license (https://creativecommons.org/licenses/by/4.0/).
Share and Cite
Xu, X.; Zhang, D.; Liu, X.; Zheng, R.; Jiang, T. Ultrasonic-Assisted Extraction and Antioxidant Evaluation of Resveratrol from Peanut Sprouts. Processes 2024, 12, 2295. https://doi.org/10.3390/pr12102295
Xu X, Zhang D, Liu X, Zheng R, Jiang T. Ultrasonic-Assisted Extraction and Antioxidant Evaluation of Resveratrol from Peanut Sprouts. Processes. 2024; 12(10):2295. https://doi.org/10.3390/pr12102295
Chicago/Turabian StyleXu, Xianmeng, Dandan Zhang, Xiaohua Liu, Rong Zheng, and Tingqi Jiang. 2024. "Ultrasonic-Assisted Extraction and Antioxidant Evaluation of Resveratrol from Peanut Sprouts" Processes 12, no. 10: 2295. https://doi.org/10.3390/pr12102295
APA StyleXu, X., Zhang, D., Liu, X., Zheng, R., & Jiang, T. (2024). Ultrasonic-Assisted Extraction and Antioxidant Evaluation of Resveratrol from Peanut Sprouts. Processes, 12(10), 2295. https://doi.org/10.3390/pr12102295

