Effect of Direct-Contact Ultrasonic and Far Infrared Combined Drying on the Drying Characteristics and Quality of Ginger
Abstract
1. Introduction
2. Materials and Methods
2.1. Material and Chemicals
2.2. Dehydrating Method
2.3. Drying Characteristics
2.3.1. Drying Base Moisture Content
2.3.2. Moisture Ratio
2.3.3. Drying Rate
2.4. LF-NMR Analysis
2.5. Chromatic Aberration
2.6. Determination of Gingerol Content
2.7. Analysis of Volatile Substances
2.8. DPPH—Radical Scavenging Activity
2.9. Statistical Analysis
3. Results and Discussion
3.1. Effects of Drying Conditions on Drying Characteristics of Ginger
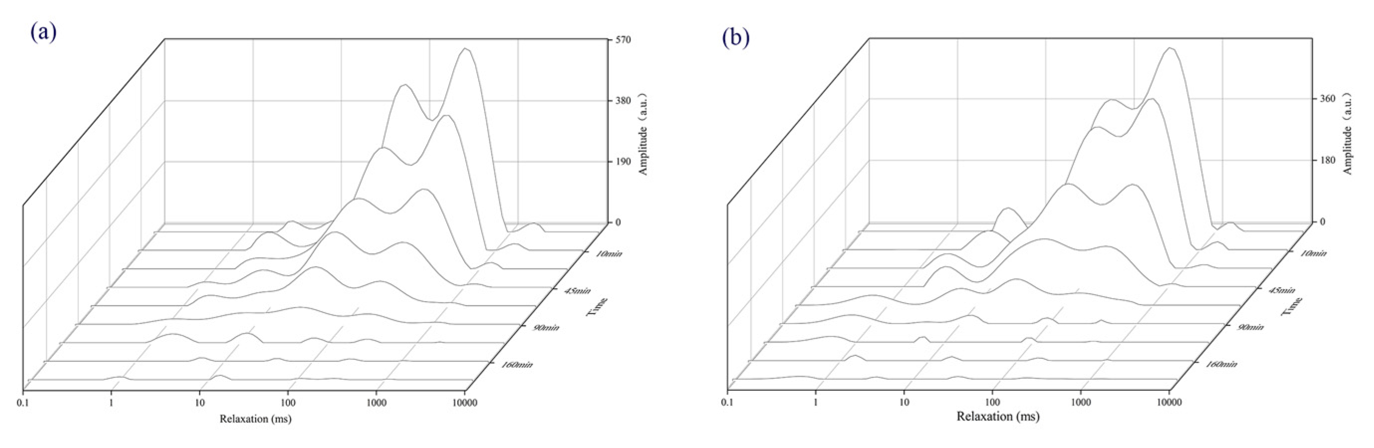
3.2. Changes in Water Migration
3.3. Effects of Different Drying Conditions on Color Changes of Ginger Slices
3.4. Effects of Different Drying Methods on Gingerol Content
3.5. Analysis of Volatile Substances
3.6. DPPH—Radical Scavenging Activity
4. Conclusions
Author Contributions
Funding
Data Availability Statement
Conflicts of Interest
References
- Malik, A.; Shimpy; Kumar, M. Advancements in ginger drying technologies. J. Stored Prod. Res. 2023, 100, 102058. [Google Scholar] [CrossRef]
- Pei, Y.; Li, Z.; Song, C.; Li, J.; Xu, W.; Zhu, G. Analysis and modelling of temperature and moisture gradient for ginger slices in hot air drying. J. Food Eng. 2022, 323, 111009. [Google Scholar] [CrossRef]
- Chen, D.; Pan, S.; Chen, J.; Pang, X.; Guo, X.; Gao, L.; Liao, X.; Wu, J. Comparing the Effects of High Hydrostatic Pressure and Ultrahigh Temperature on Quality and Shelf Life of Cloudy Ginger Juice. Food Bioprocess Technol. 2016, 9, 1779–1793. [Google Scholar] [CrossRef]
- Kiyama, R. Nutritional implications of ginger: Chemistry, biological activities and signaling pathways. J. Nutr. Biochem. 2020, 86, 108486. [Google Scholar] [CrossRef] [PubMed]
- Amponsah, I.K.; Boakye, A.; Orman, E.; Armah, F.A.; Borquaye, L.S.; Adjei, S.; Dwamena, Y.A.; Baah, K.A.; Harley, B.K. Assessment of some quality parameters and chemometric-assisted FTIR spectral analysis of commercial powdered ginger products on the Ghanaian market. Heliyon 2022, 8, e09150. [Google Scholar] [CrossRef] [PubMed]
- Zeng, S.; Wang, B.; Lv, W.; Wu, Y. Effects of microwave power and hot air temperature on the physicochemical properties of dried ginger (Zingiber officinale) using microwave hot-air rolling drying. Food Chem. 2023, 404, 134741. [Google Scholar] [CrossRef]
- Suhag, R.; Singh, S.; Kumar, Y.; Prabhakar, P.K.; Meghwal, M. Microfluidization of Ginger Rhizome (Zingiber officinale Roscoe) Juice: Impact of Pressure and Cycles on Physicochemical Attributes, Antioxidant, Microbial, and Enzymatic Activity. Food Bioprocess Technol. 2023. [Google Scholar] [CrossRef]
- Liu, Z.-L.; Staniszewska, I.; Zielinska, D.; Zhou, Y.-H.; Nowak, K.W.; Xiao, H.-W.; Pan, Z.; Zielinska, M. Combined Hot Air and Microwave-Vacuum Drying of Cranberries: Effects of Pretreatments and Pulsed Vacuum Osmotic Dehydration on Drying Kinetics and Physicochemical Properties. Food Bioprocess Technol. 2020, 13, 1848–1856. [Google Scholar] [CrossRef]
- Yan, W.; Liu, Q.; Wang, Y.; Tao, T.; Liu, B.; Liu, J.; Ding, C. Inhibition of Lipid and Aroma Deterioration in Rice Bran by Infrared Heating. Food Bioprocess Technol. 2020, 13, 1677–1687. [Google Scholar] [CrossRef]
- Bai, R.; Sun, J.; Qiao, X.; Zheng, Z.; Li, M.; Zhang, B. Hot Air Convective Drying of Ginger Slices: Drying Behaviour, Quality Characteristics, Optimisation of Parameters, and Volatile Fingerprints Analysis. Foods 2023, 12, 1283. [Google Scholar] [CrossRef]
- Shofinita, D.; Lestari, D.; Aliwarga, L.; Sumampouw, G.A.; Ambarwati, S.A.; Gunawan, K.C.; Achmadi, A.B. Drying Methods of Coffee Extracts and Their Effects on Physicochemical Properties: A Review. Food Bioprocess Technol. 2023. [Google Scholar] [CrossRef]
- Zhang, D.; Huang, D.; Zhang, Y.; Lu, Y.; Huang, S.; Gong, G.; Li, L. Ultrasonic assisted far infrared drying characteristics and energy consumption of ginger slices. Ultrason. Sonochem. 2023, 92, 106287. [Google Scholar] [CrossRef] [PubMed]
- E, J.; R, V.; T, J.Z. Quality of dry ginger (Zingiber officinale) by different drying methods. J. Food Sci. Technol. 2012, 51, 3190–3198. [Google Scholar] [CrossRef] [PubMed]
- An, K.; Wei, L.; Fu, M.; Cheng, L.; Peng, J.; Wu, J. Effect of Carbonic Maceration (CM) on the Vacuum Microwave Drying of Chinese Ginger (Zingiber officinale Roscoe) Slices: Drying Characteristic, Moisture Migration, Antioxidant Activity, and Microstructure. Food Bioprocess Technol. 2020, 13, 1661–1674. [Google Scholar] [CrossRef]
- Zeng, S.; Wang, B.; Zhao, D.; Lv, W. Microwave infrared vibrating bed drying of ginger: Drying qualities, microstructure and browning mechanism. Food Chem. 2023, 424, 136340. [Google Scholar] [CrossRef] [PubMed]
- Kahraman, O.; Malvandi, A.; Vargas, L.; Feng, H. Drying characteristics and quality attributes of apple slices dried by a non-thermal ultrasonic contact drying method. Ultrason. Sonochem. 2021, 73, 105510. [Google Scholar] [CrossRef] [PubMed]
- Akhoundzadeh Yamchi, A.; Yeganeh, R.; Kouchakzadeh, A. Effect of ultrasonic pretreatment on drying kinetics and physio-mechanical characteristics of peach slices. J. Food Process Eng. 2022, 45, e14053. [Google Scholar] [CrossRef]
- Rani, P.; Tripathy, P.P. Effect of ultrasound and chemical pretreatment on drying characteristics and quality attributes of hot air dried pineapple slices. J. Food Sci. Technol. 2019, 56, 4911–4924. [Google Scholar] [CrossRef]
- Rodríguez, Ó.; Llabrés, P.J.; Simal, S.; Femenia, A.; Rosselló, C. Intensification of Predrying Treatments by Means of Ultrasonic Assistance: Effects on Water Mobility, PPO Activity, Microstructure, and Drying Kinetics of Apple. Food Bioprocess Technol. 2014, 8, 503–515. [Google Scholar] [CrossRef]
- Llavata, B.; Femenia, A.; Clemente, G.; Cárcel, J.A. Combined Effect of Airborne Ultrasound and Temperature on the Drying Kinetics and Quality Properties of Kiwifruit (Actinidia deliciosa). Food Bioprocess Technol. 2023. [Google Scholar] [CrossRef]
- Namjoo, M.; Moradi, M.; Dibagar, N.; Niakousari, M. Cold Plasma Pretreatment Prior to Ultrasound-assisted Air Drying of Cumin Seeds. Food Bioprocess Technol. 2022, 15, 2065–2083. [Google Scholar] [CrossRef]
- Vallespir, F.; Crescenzo, L.; Rodríguez, Ó.; Marra, F.; Simal, S. Intensification of Low-Temperature Drying of Mushroom by Means of Power Ultrasound: Effects on Drying Kinetics and Quality Parameters. Food Bioprocess Technol. 2019, 12, 839–851. [Google Scholar] [CrossRef]
- Garcia-Perez, J.V.; Ortuño, C.; Puig, A.; Carcel, J.A.; Perez-Munuera, I. Enhancement of Water Transport and Microstructural Changes Induced by High-Intensity Ultrasound Application on Orange Peel Drying. Food Bioprocess Technol. 2011, 5, 2256–2265. [Google Scholar] [CrossRef]
- Zang, Z.; Zhang, Q.; Huang, X.; Jiang, C.; He, C.; Wan, F. Effect of Ultrasonic Combined with Vacuum Far-infrared on the Drying Characteristics and Physicochemical Quality of Angelica sinensis. Food Bioprocess Technol. 2023, 16, 2455–2470. [Google Scholar] [CrossRef]
- Xu, J.; Wang, D.; Lei, Y.; Cheng, L.; Zhuang, W.; Tian, Y. Effects of combined ultrasonic and microwave vacuum drying on drying characteristics and physicochemical properties of Tremella fuciformis. Ultrason. Sonochem. 2022, 84, 105963. [Google Scholar] [CrossRef] [PubMed]
- Zhang, Q.; Wan, F.; Zang, Z.; Jiang, C.; Xu, Y.; Huang, X. Effect of ultrasonic far-infrared synergistic drying on the characteristics and qualities of wolfberry (Lycium barbarum L.). Ultrason. Sonochem. 2022, 89, 106134. [Google Scholar] [CrossRef]
- Liu, Y.; Zeng, Y.; Hu, X.; Sun, X. Effect of Ultrasonic Power on Water Removal Kinetics and Moisture Migration of Kiwifruit Slices During Contact Ultrasound Intensified Heat Pump Drying. Food Bioprocess Technol. 2020, 13, 430–441. [Google Scholar] [CrossRef]
- Gu, C.; Ma, H.; Tuly, J.A.; Guo, L.; Zhang, X.; Liu, D.; Ouyang, N.; Luo, X.; Shan, Y. Effects of catalytic infrared drying in combination with hot air drying and freeze drying on the drying characteristics and product quality of chives. Lwt 2022, 161, 113363. [Google Scholar] [CrossRef]
- Dajbych, O.; Kabutey, A.; Mizera, Č.; Herák, D. Investigation of the Effects of Infrared and Hot Air Oven Drying Methods on Drying Behaviour and Colour Parameters of Red Delicious Apple Slices. Processes 2023, 11, 3027. [Google Scholar] [CrossRef]
- Reis, C.G.d.; Figueirêdo, R.M.F.d.; Queiroz, A.J.d.M.; Paiva, Y.F.; Amadeu, L.T.S.; Santos, F.S.d.; Ferreira, J.P.d.L.; Lima, T.L.B.d.; Andrade, F.S.; Gomes, J.P.; et al. Pineapple Peel Flours: Drying Kinetics, Thermodynamic Properties, and Physicochemical Characterization. Processes 2023, 11, 3161. [Google Scholar] [CrossRef]
- Macedo, L.L.; Vimercati, W.C.; da Silva Araújo, C.; Saraiva, S.H.; Teixeira, L.J.Q. Effect of drying air temperature on drying kinetics and physicochemical characteristics of dried banana. J. Food Process Eng. 2020, 43, e13451. [Google Scholar] [CrossRef]
- Feng, Y.; Ping Tan, C.; Zhou, C.; Yagoub, A.E.A.; Xu, B.; Sun, Y.; Ma, H.; Xu, X.; Yu, X. Effect of freeze-thaw cycles pretreatment on the vacuum freeze-drying process and physicochemical properties of the dried garlic slices. Food Chem. 2020, 324, 126883. [Google Scholar] [CrossRef] [PubMed]
- He, L.; Duan, H.; Chen, X.; Chen, Y.; Mo, Q.; Huang, J.; Zhao, H.; Yao, X.; Chen, J.; Yao, Z. Quality assessment of commercial dried ginger (Zingiber officinale Roscoe) based on targeted and non-targeted chemical profiles and anti-inflammatory activity. Food Res. Int. 2023, 166, 112589. [Google Scholar] [CrossRef] [PubMed]
- Wang, C.-Y.; Chen, Y.-W.; Hou, C.-Y. Antioxidant and antibacterial activity of seven predominant terpenoids. Int. J. Food Prop. 2019, 22, 230–238. [Google Scholar] [CrossRef]
- Mustafa, I.; Chin, N.L. Antioxidant Properties of Dried Ginger (Zingiber officinale Roscoe) var. Bentong. Foods 2023, 12, 178. [Google Scholar] [CrossRef] [PubMed]
- Akther, F.; Alim, M.A.; Nasrin, N.A.; Khan, M.; Gomes, D.N.; Suhan, M.; Islam, M.; Begum, R. Effects of different drying methods on the proximate composition, antioxidant activity, and phytochemical content of Hibiscus sabdariffa L. Calyx. Food Chem. Adv. 2023, 3, 100553. [Google Scholar] [CrossRef]
- Mahayothee, B.; Thamsala, T.; Khuwijitjaru, P.; Janjai, S. Effect of drying temperature and drying method on drying rate and bioactive compounds in cassumunar ginger (Zingiber montanum). J. Appl. Res. Med. Aromat. Plants 2020, 18, 100262. [Google Scholar] [CrossRef]
- Kaur, M.; Modi, V.K.; Sharma, H.K. Evaluation of ultrasonication and carbonation-ultrasonication assisted convective drying techniques for enhancing the drying rates and quality parameters of ripe and raw banana (Musa) peel. J. Food Sci. Technol. 2022, 59, 4542–4552. [Google Scholar] [CrossRef]
- Xi, H.; Liu, Y.; Guo, L.; Hu, R. Effect of ultrasonic power on drying process and quality properties of far-infrared radiation drying on potato slices. Food Sci. Biotechnol. 2019, 29, 93–101. [Google Scholar] [CrossRef]
- Li, C.; Ren, G.; Zhang, L.; Duan, X.; Wang, Z.; Ren, X.; Chu, Q.; He, T. Effects of different drying methods on the drying characteristics and drying quality of Cistanche deserticola. Lwt 2023, 184, 115000. [Google Scholar] [CrossRef]
- Sun, Q.; Zhang, M.; Mujumdar, A.S.; Yu, D. Research on the Vegetable Shrinkage During Drying and Characterization and Control Based on LF-NMR. Food Bioprocess Technol. 2022, 15, 2776–2788. [Google Scholar] [CrossRef]
- Wang, H.; Che, G.; Wan, L.; Wang, X.; Tang, H. Combination of LF-NMR and BP-ANN to monitor the moisture content of rice during hot-air drying. J. Food Process Eng. 2022, 45, e14102. [Google Scholar] [CrossRef]
- Liu, W.; Zhang, M.; Bhandari, B.; Yu, D. A novel combination of LF-NMR and NIR to intelligent control in pulse-spouted microwave freeze drying of blueberry. Lwt 2021, 137, 110455. [Google Scholar] [CrossRef]
- Sun, Y.; Zhang, M.; Mujumdar, A.S.; Yu, D. Pulse-spouted microwave freeze drying of raspberry: Control of moisture using ANN model aided by LF-NMR. J. Food Eng. 2021, 292, 110354. [Google Scholar] [CrossRef]
- Sun, Y.; Zhang, M.; Bhandari, B.; Yang, P. Intelligent detection of flavor changes in ginger during microwave vacuum drying based on LF-NMR. Food Res. Int. 2019, 119, 417–425. [Google Scholar] [CrossRef]
- Chen, Y.; Dong, H.; Li, J.; Guo, L.; Wang, X. Evaluation of a Nondestructive NMR and MRI Method for Monitoring the Drying Process of Gastrodia elata Blume. Molecules 2019, 24, 236. [Google Scholar] [CrossRef]
- Shang, J.; Zhang, Q.; Wang, T.; Xu, Y.; Zang, Z.; Wan, F.; Yue, Y.; Huang, X. Effect of Ultrasonic Pretreatment on the Far-Infrared Drying Process and Quality Characteristics of Licorice. Foods 2023, 12, 2414. [Google Scholar] [CrossRef]
- Malvandi, A.; Nicole Coleman, D.; Loor, J.J.; Feng, H. A novel sub-pilot-scale direct-contact ultrasonic dehydration technology for sustainable production of distillers dried grains (DDG). Ultrason. Sonochem. 2022, 85, 105982. [Google Scholar] [CrossRef]
- Wu, X.-f.; Zhang, M.; Ye, Y.; Yu, D. Influence of ultrasonic pretreatments on drying kinetics and quality attributes of sweet potato slices in infrared freeze drying (IRFD). Lwt 2020, 131, 109801. [Google Scholar] [CrossRef]
- Wang, J.; Xiao, H.-W.; Ye, J.-H.; Wang, J.; Raghavan, V. Ultrasound Pretreatment to Enhance Drying Kinetics of Kiwifruit (Actinidia deliciosa) Slices: Pros and Cons. Food Bioprocess Technol. 2019, 12, 865–876. [Google Scholar] [CrossRef]
- Karlović, S.; Dujmić, F.; Brnčić, S.R.; Sabolović, M.B.; Ninčević Grassino, A.; Škegro, M.; Šimić, M.A.; Brnčić, M. Mathematical Modeling and Optimization of Ultrasonic Pre-Treatment for Drying of Pumpkin (Cucurbita moschata). Processes 2023, 11, 469. [Google Scholar] [CrossRef]
- Walawalkar, A.K.; Poosarla, V.G.; Shivshetty, N. Impact of ultrasonication and blanching as a pre-treatment on quality parameter of dried and rehydrated bitter gourd. Food Sci. Technol. Int. 2023, 10820132231177324. [Google Scholar] [CrossRef] [PubMed]
- Wang, T.; Ying, X.; Zhang, Q.; Xu, Y.; Jiang, C.; Shang, J.; Zang, Z.; Wan, F.; Huang, X. Evaluation of the Effect of Ultrasonic Pretreatment on the Drying Kinetics and Quality Characteristics of Codonopsis pilosula Slices Based on the Grey Correlation Method. Molecules 2023, 28, 5596. [Google Scholar] [PubMed]
- Liu, S.; Dong, H.; Ji, W.; Zhang, M.; Duan, W.; Wang, X. Change in physicochemical properties, aroma components, and potentially beneficial compounds during the stir-frying of Massa Medicata Fermentata. Food Chem. Adv. 2023, 3, 100340. [Google Scholar] [CrossRef]









| Time/min | Mobile Phase A: Water | Mobile Phase B: Acetonitrile |
|---|---|---|
| 0 | 70 | 30 |
| 40 | 30 | 70 |
| 4 mm | 6 mm | |||
|---|---|---|---|---|
| 0 W | 144 W | 0 W | 144 W | |
| 6-gingerol (mg/g) | 0.1012 ± 0.0171 a | 0.1017 ± 0.0831 a | 0.0910 ± 0.0147 b | 0.1063 ± 0.0104 a |
| 8-gingerol (mg/g) | 0.0214 ± 0.0018 a | 0.0160 ± 0.0006 b | 0.0194 ± 0.0015 a | 0.0205 ± 0.0008 a |
| Drying time (min) | 280 b | 160 d | 430 a | 270 c |
| Chromatism (ΔE) | 11.97 ± 0.65 a | 11.86 ± 0.58 b | 11.62 ± 0.79 c | 11.03 ± 0.91 d |
| NO | Compounds | CAS# | Formula | MW | RI | Rt | Dt |
|---|---|---|---|---|---|---|---|
| 1 | Nonanal | 124-19-6 | C9H18O | 142.2 | 1103.2 | 798.551 | 14.786 |
| 2 | 1,8-Cineole | 470-82-6 | C10H18O | 154.3 | 1037.7 | 674.219 | 12.958 |
| 3 | Limonene | 138-86-3 | C10H16 | 136.2 | 1034.2 | 668.154 | 12.194 |
| 4 | Octanal | 124-13-0 | C8H16O | 128.2 | 1009.5 | 626.709 | 14.102 |
| 5 | Butyl butyrate | 109-21-7 | C8H16O2 | 144.2 | 996.8 | 606.492 | 1.221 |
| 6 | Δ-3-Carene | 13466-78-9 | C10H16 | 136.2 | 1011.9 | 630.753 | 12.178 |
| 7 | Myrcene | 123-35-3 | C10H16 | 136.2 | 991.8 | 595.373 | 11.733 |
| 8 | β-Pinene | 127-91-3 | C10H16 | 136.2 | 979.0 | 567.07 | 12.178 |
| 9 | α-Fenchene | 471-84-1 | C10H16 | 136.2 | 952.4 | 512.485 | 12.147 |
| 10 | α-Pinene | 80-56-8 | C10H16 | 136.2 | 937.0 | 483.17 | 12.194 |
| 11 | 2-Heptanone | 110-43-0 | C7H14O | 114.2 | 890.3 | 404.325 | 16.297 |
| 12 | Heptanal | 111-71-7 | C7H14O | 114.2 | 901.7 | 422.52 | 13.387 |
| 13 | Cyclohexanone | 108-94-1 | C6H10O | 98.1 | 889.8 | 403.43 | 11.573 |
| 14 | 1-Hexanol | 111-27-3 | C6H14O | 102.2 | 868.9 | 369.358 | 1.124 |
| 15 | (Z)-3-hexen-1-ol | 928-96-1 | C6H12O | 100.2 | 852.2 | 344.223 | 11.798 |
| 16 | Hexanal | 66-25-1 | C6H12O | 100.2 | 793.6 | 268.818 | 1.565 |
| 17 | Butyl methyl ketone | 591-78-6 | C6H12O | 100.2 | 781.5 | 255.412 | 11.887 |
| 18 | 1-Butanol, 2-methyl- | 137-32-6 | C5H12O | 88.1 | 740.1 | 214.638 | 11.536 |
| 19 | 1-Hexen-3-one | 1629-60-3 | C6H10O | 98.1 | 776.2 | 249.827 | 10.904 |
| 20 | 1-Pentanol | 71410 | C5H12O | 88.1 | 758.0 | 231.395 | 1.255 |
| 21 | Pentanal | 110-62-3 | C5H10O | 86.1 | 691.4 | 174.98 | 14.225 |
| 22 | 1-Butanol | 71-36-3 | C4H10O | 74.1 | 651.2 | 156.548 | 13.965 |
| 23 | Pentan-2,3-dione | 600-14-6 | C5H8O2 | 100.1 | 692.2 | 175.539 | 12.931 |
| 24 | 2,3 Butandione (Diacetyl) | 431-03-8 | C4H6O2 | 86.1 | 572.4 | 126.945 | 11.556 |
| 25 | Linalool | 78-70-6 | C10H18O | 154.3 | 1087.9 | 767.519 | 12.229 |
| 26 | 1-Octen-3-ol | 3391-86-4 | C8H16O | 128.2 | 991.4 | 594.422 | 11.786 |
| 27 | Benzaldehyde | 100-52-7 | C7H6O | 106.1 | 960.1 | 527.625 | 11.508 |
| 28 | Styrene | 100-42-5 | C8H8 | 104.2 | 902.2 | 423.356 | 1.441 |
| 29 | 3-Hexen-1-ol | 928-96-1 | C6H12O | 100.2 | 841.4 | 328.862 | 1.223 |
| 30 | 2-Pentanone | 107-87-9 | C5H10O | 86.1 | 676,5 | 167.452 | 11.097 |
| 31 | Isopropyl acetate | 108-21-4 | C5H10O2 | 102.1 | 660.5 | 160.477 | 11.593 |
| 32 | Acetone | 67-64-1 | C3H6O | 58.1 | 506.1 | 106.417 | 11.142 |
| 33 | Propanal | 123-38-6 | C3H6O | 58.1 | 489.6 | 101.839 | 10.425 |
| 34 | n-Nonanal | 124-19-6 | C9H18O | 142.2 | 1103.5 | 799.136 | 19.427 |
| 35 | 2-Nonanone | 821-55-6 | C9H18O | 142.2 | 1092.6 | 776.93 | 14.109 |
| 36 | Octamethylcyclotetrasiloxane | 556-67-2 | C8H24O4Si4 | 296.6 | 1011,8 | 630.574 | 16.845 |
| 37 | 2,3-Butanedione | 431-03-8 | C4H6O2 | 86.1 | 567.9 | 125.429 | 11.661 |
| 38 | 1-Propanol | 71-23-8 | C3H8O | 60.1 | 561.6 | 123.365 | 11.248 |
| 39 | Ethyl Acetate | 141-78-6 | C4H8O2 | 88.1 | 596.2 | 135.234 | 10.953 |
| 40 | Terpinolene | 586-62-9 | C10H16 | 136.2 | 1090.1 | 768.204 | 1.22084 |
| 41 | Benzeneacetaldehyde | 122-78-1 | C8H8O | 120.2 | 1045.9 | 687.765 | 1.2561 |
| 42 | β-Ocimene | 13877-91-3 | C10H16 | 136.2 | 1035.1 | 669.436 | 1.21916 |
| 43 | Hexyl acetate | 142-92-7 | C8H16O2 | 144.2 | 1010.1 | 628.708 | 1.40889 |
| 44 | Pyrazine, 2-ethyl-5-methyl- | 13360-64-0 | C7H10N2 | 122.2 | 991.9 | 597.143 | 1.1755 |
| 45 | Camphene | 79-92-5 | C10H16 | 136.2 | 951.9 | 511.612 | 1.21412 |
| 46 | 2-Propanol | 67-63-0 | C3H8O | 60.1 | 929.3 | 468.846 | 1.20572 |
| 47 | 3-Methylbutanal | 590-86-3 | C5H10O | 86.1 | 902.6 | 423.026 | 1.20069 |
| 48 | Dipropyl sulfide | 111-47-7 | C6H14S | 118.2 | 889.4 | 401.644 | 1.15703 |
| 49 | Butanal | 123-72-8 | C4H8O | 72.1 | 868.3 | 367.024 | 1.12513 |
| 50 | 2-Hexenal | 505-57-7 | C6H10O | 98.1 | 852.1 | 342.586 | 1.18054 |
| 51 | (Z)-3-Hexen-1-ol | 928-96-1 | C6H12O | 100.2 | 839.9 | 325.277 | 1.22419 |
| 52 | Furfural | 1998/1/1 | C5H4O2 | 96.1 | 834 | 317.131 | 1.33333 |
| 53 | 1-Octene | 111-66-0 | C8H16 | 112.2 | 784.7 | 257.056 | 1.19061 |
| 54 | 2,3-Pentanedione | 600-14-6 | C5H8O2 | 100.1 | 673.1 | 163.379 | 1.27792 |
| 55 | 2-Propenal, 2-methyl- | 78-85-3 | C4H6O | 70.1 | 582.5 | 127.741 | 1.22251 |
Disclaimer/Publisher’s Note: The statements, opinions and data contained in all publications are solely those of the individual author(s) and contributor(s) and not of MDPI and/or the editor(s). MDPI and/or the editor(s) disclaim responsibility for any injury to people or property resulting from any ideas, methods, instructions or products referred to in the content. |
© 2024 by the authors. Licensee MDPI, Basel, Switzerland. This article is an open access article distributed under the terms and conditions of the Creative Commons Attribution (CC BY) license (https://creativecommons.org/licenses/by/4.0/).
Share and Cite
Feng, Z.; Zhang, M.; Guo, L.; Shao, R.; Wang, X.; Liu, F. Effect of Direct-Contact Ultrasonic and Far Infrared Combined Drying on the Drying Characteristics and Quality of Ginger. Processes 2024, 12, 98. https://doi.org/10.3390/pr12010098
Feng Z, Zhang M, Guo L, Shao R, Wang X, Liu F. Effect of Direct-Contact Ultrasonic and Far Infrared Combined Drying on the Drying Characteristics and Quality of Ginger. Processes. 2024; 12(1):98. https://doi.org/10.3390/pr12010098
Chicago/Turabian StyleFeng, Zhenhua, Minmin Zhang, Lanping Guo, Rencai Shao, Xiao Wang, and Feng Liu. 2024. "Effect of Direct-Contact Ultrasonic and Far Infrared Combined Drying on the Drying Characteristics and Quality of Ginger" Processes 12, no. 1: 98. https://doi.org/10.3390/pr12010098
APA StyleFeng, Z., Zhang, M., Guo, L., Shao, R., Wang, X., & Liu, F. (2024). Effect of Direct-Contact Ultrasonic and Far Infrared Combined Drying on the Drying Characteristics and Quality of Ginger. Processes, 12(1), 98. https://doi.org/10.3390/pr12010098

