Reaction Behavior of Kaolinite in Sulfur-Bearing Sodium Aluminate Solution under the Simulated Bayer Process
Abstract
:1. Introduction
2. Experimental Methods
2.1. Materials
2.2. Method
2.2.1. Digestion Process
2.2.2. Characterization
2.2.3. Desulfurization Rate Calculation
3. Results and Discussion
3.1. Thermodynamic Calculation of the SDSP Formation Reaction
3.2. Desulfurization Efficiency of Kaolinite
3.2.1. Effects of Reaction Time
3.2.2. Effects of Kaolinite Dosage
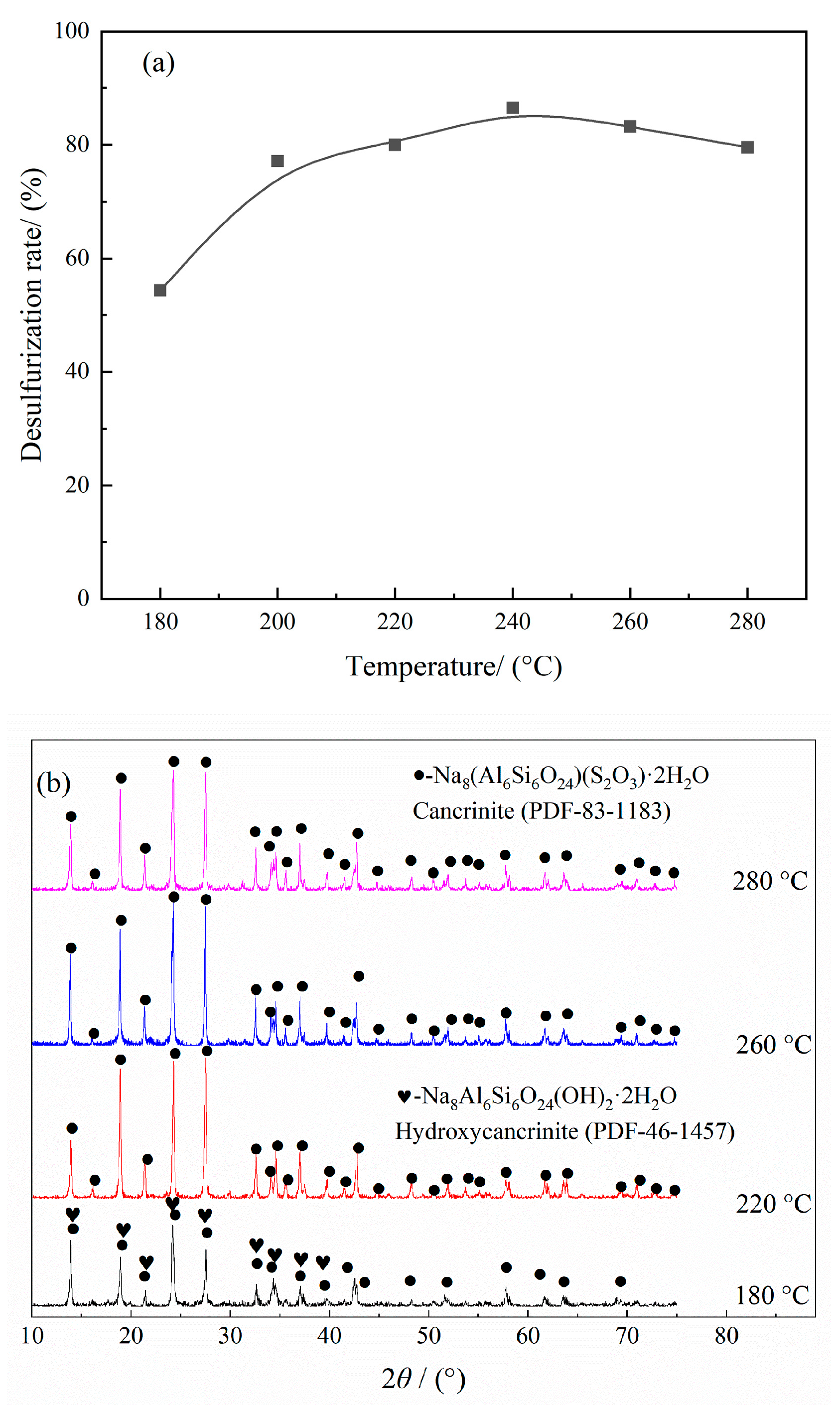
3.2.3. Effects of Reaction Temperature
3.2.4. Digestion Residues Characterization
4. Conclusions
Author Contributions
Funding
Data Availability Statement
Conflicts of Interest
References
- Liu, Y.; Li, Y.; Lin, Z.; Liu, Q.; Han, Z. Analysis of the historical changes in aluminum material flow and the utilization of secondary aluminum resources in China. Acta Geosci. Sin. 2023, 44, 333–340. [Google Scholar]
- Yin, J.; Xia, W.; Han, M. Resource utilization of high-sulfur bauxite of low-median grade in Chongqing China. Light Met. 2011, 19–22. [Google Scholar]
- Cheng, G.; Li, Y.; Zhang, M. Research progress on desulfurization technology of high-sulfur bauxite. Trans. Nonferrous Met. Soc. China 2022, 32, 3374–3387. [Google Scholar] [CrossRef]
- Li, X.; Li, C.; Qi, T.; Zhou, Q.; Liu, G.; Peng, Z. Reaction behavior of pyrite during Bayer digestion at high temperature. Chin. J. Nonferrous Met. 2013, 23, 829–835. [Google Scholar]
- Wang, S.; Wang, Y.; Qi, T.; Liu, G.; Zhou, Q.; Peng, Z.; Niu, F.; Li, X. Effect of redox agents on the reaction behavior of pyrite in sodium aluminate solution at elevated temperatures. Miner. Eng. 2023, 191, 107974. [Google Scholar] [CrossRef]
- Wang, S.; Wang, Y.; Li, M.; Qi, T.; Liu, G.; Zhou, Q.; Peng, Z.; Li, X. Characteristics of product layer and effects of sulfur-bearing ions on pyrite leaching in sodium aluminate solutions. Miner. Eng. 2023, 202, 108295. [Google Scholar] [CrossRef]
- Xie, Q.L.; Chen, W.M.; Yang, Q. Influence of sulfur anions on corrosion of 16mn low-alloy steel in sulfide-containing Bayer solutions. Corrosion 2014, 70, 842–849. [Google Scholar] [CrossRef] [PubMed]
- Xie, Q.; Chen, W. Corrosion behavior of 16 mn low alloy steel in sulfide-containing bayer solutions. Corros. Sci. 2014, 86, 252–260. [Google Scholar] [CrossRef]
- Peng, X.; Jin, L. Development and application of bauxite containing high sulfur. Light Met. 2010, 11, 14–17. [Google Scholar]
- Zhang, X.; Wu, Z.; Liu, F.; Zhao, H.; Xie, M. Research status and development trend of high-sulfur bauxite desulfurization technology. Nonferrous Met. Extr. Metall. 2023, 4, 20–27. [Google Scholar]
- Wang, S.; Niu, F.; Wang, Y.; Qi, T.; Liu, G.; Zhou, Q.; Peng, Z.; Li, X. Effects of S2−- and S2O32−-containing Bayer solutions on corrosion of 16Mn Low-Alloy steel at elevated temperatures. JOM 2021, 73, 3920–3927. [Google Scholar] [CrossRef]
- Zhou, X.; Tan, F.; Chen, Y.; Yin, J.; Xia, W.; Huang, Q.; Gao, X. Thermodynamic analysis of Na−S−Fe−H2O system for Bayer process. Trans. Nonferrous Met. Soc. China 2022, 32, 2046–2060. [Google Scholar] [CrossRef]
- Wu, H.; Chen, C.; Li, J.; Lan, Y.; Wang, L.; Quan, B.; Jin, H. Digestion mechanism and crystal simulation of roasted low-grade high-sulfur bauxite. Trans. Nonferrous Met. Soc. China 2020, 30, 1662–1673. [Google Scholar] [CrossRef]
- Zhao, B.; Chen, Y.; Jiu, S. Effective desulfurization and alumina digestion of high-sulfur bauxite by new roasting process with conveying bed. Processes 2021, 9, 390. [Google Scholar] [CrossRef]
- Sun, Q.; Wang, S.; Ma, X.; Zhong, H. Desulfurization in high-sulfur bauxite with a novel thioether-containing hydroxamic acid: Flotation behavior and separation mechanism. Sep. Purif. Technol. 2021, 275, 119147. [Google Scholar] [CrossRef]
- Gong, X.; Wang, Z.; Zhuang, S.; Wang, D.; Wang, Y.; Wang, M. Roles of electrolyte characterization on bauxite electrolysis desulfurization with regeneration and recycling. Metall. Mater. Trans. B 2017, 48, 726–732. [Google Scholar] [CrossRef]
- Gong, X.; Zhuang, S.; Ge, L.; Wang, Z.; Wang, M. Desulfurization kinetics and mineral phase evolution of bauxite water slurry (bws) electrolysis. Int. J. Miner. Process. 2015, 139, 17–24. [Google Scholar] [CrossRef]
- Hao, Y.; Li, H. Study of bioleaching sulfur from bauxite with high sulfur using acidithiobacillus ferrooxidans bacterias. Light Met. 2014, 10, 11–15. [Google Scholar]
- Yang, Q.; Jin, H.; Yin, Q.; Xiao, Y.; Wang, S. Microwave roasting desulfurization pretreatment of high-sulfur bauxite and high-pressure dissolution performance of roasted ore. Nonferrous Met. Sci. Eng. 2021, 12, 39–45. [Google Scholar]
- Li, X.; Li, C.; Peng, Z.; Liu, G.; Zhou, Q.; Qi, T. Interaction of sulfur with iron compounds in sodium aluminate solutions. Trans. Nonferrous Met. Soc. China 2015, 25, 608–614. [Google Scholar] [CrossRef]
- Li, X.; Niu, F.; Tan, J.; Liu, G.; Qi, T.; Peng, Z.; Zhou, Q. Removal of S2− ion from sodium aluminate solutions with sodium ferrite. Trans. Nonferrous Met. Soc. China 2016, 26, 1419–1424. [Google Scholar] [CrossRef]
- Zhou, X.; Yin, J.; Chen, Y.; Xia, W.; Xiang, X.; Yuan, X. Simultaneous removal of sulfur and iron by the seed precipitation of digestion solution for high-sulfur bauxite. Hydrometallurgy 2018, 181, 7–15. [Google Scholar] [CrossRef]
- Hu, X.; Chen, W. Desulfurization from sodium aluminate solution by wet oxidation. J. Cent. South Univ. (Sci. Technol.) 2011, 42, 2911–2916. [Google Scholar]
- Peng, H.; Ding, M.; Vaughan, J. The anion effect on zeolite linde type a to sodalite phase transformation. Ind. Eng. Chem. Res. 2018, 57, 10292–10302. [Google Scholar] [CrossRef]
- Whittington, B.I.; Fletcher, B.L.; Talbot, C. The effect of reaction conditions on the composition of desilication product (DSP) formed under simulated Bayer conditions. Hydrometallurgy 1998, 49, 1–22. [Google Scholar] [CrossRef]
- Li, X.; Li, C.; Zhou, Q.; Qi, T.; Liu, G.; Peng, Z. Interaction of sodium sulfide with silica-containing minerals in sodium aluminate solution. Int. J. Miner. Eng. 2015, 137, 9–14. [Google Scholar] [CrossRef]
- Cheng, L.; Wang, Y.; Wang, B.; Qi, T.; Liu, G.; Zhou, Q.; Peng, Z.; Li, X. Phase transformation of desilication products in red mud dealkalization process. J. Sustain. Metall. 2022, 8, 541–550. [Google Scholar] [CrossRef]
- Li, X.; Xi, Y.; Wang, Y.; Qi, T.; Liu, G.; Zhou, Q.; Peng, Z. Formation and transformation mechanism of sulfur-containing desiliconization products under simulated Bayer digestion conditions. Chin. J. Nonferrous Met. 2020, 30, 1906–1914. [Google Scholar]
- Li, X.; Li, Y.; Liu, X.; Liu, G.; Peng, Z.; Zhai, Y. A simple method of estimation of Gibbs free energy and enthalpy of complicate silicates. J. Chin. Ceram. Soc. 2001, 29, 232–237. [Google Scholar]
- Ihsan, B.; Gregor, P. Thermochemical Data of Pure Substances, 3rd ed.; VCH: New York, NY, USA, 1995; ISBN 3-527-28745-0. [Google Scholar]
- Shock, E.L.; Sassani, D.C.; Willis, M.; Sverjensky, D.A. Inorganic species in geologic fluids: Correlations among standard molal thermodynamic properties of aqueous ions and hydroxide complexes. Geochim. Cosmochim. Acta 1997, 61, 907–950. [Google Scholar] [CrossRef] [PubMed]
- Shock, E.L.; Helgeson, H.C. Calculation of the thermodynamic and transport properties of aqueous species at high pressures and temperatures: Correlation algorithms for ionic species and equation of state predictions to 5 Kb and 1000 °C. Geochim. Cosmochim. Acta 1988, 52, 2009–2036. [Google Scholar] [CrossRef]
- Tauson, V.L.; Goettlicher, J.; Sapozhnikov, A.N.; Mangold, S.; Lustenberg, E.E. Sulphur speciation in lazurite-type minerals (Na,Ca)8[Al6Si6O24](SO4,S)2 and their annealing products: A comparative XPS and XAS study. Eur. J. Mineral. 2012, 24, 133–152. [Google Scholar] [CrossRef]









| Sites | Element Mass Fraction (wt%) | Na2O/SiO2 | Al2O3/SiO2 | Added Sulfur Compounds | |||
|---|---|---|---|---|---|---|---|
| Al2O3 | SiO2 | Na2O | S | ||||
| 1# | 20.62 | 39.27 | 38.14 | - | 0.53 | 1.03 | None |
| 2# | 18.51 | 43.80 | 46.18 | - | 0.42 | 0.95 | |
| 3# | 20.34 | 38.25 | 43.84 | 0.12 | 0.53 | 0.87 | Na2S·9H2O |
| 4# | 18.57 | 45.28 | 49.65 | - | 0.41 | 0.91 | |
| 5# | 22.90 | 32.81 | 35.42 | 2.98 | 0.70 | 0.93 | Na2S2O3·5H2O |
| 6# | 20.46 | 31.26 | 36.64 | 3.51 | 0.65 | 0.85 | |
| 7# | 23.43 | 31.66 | 36.43 | 0.81 | 0.74 | 0.87 | Na2SO3 |
| 8# | 20.58 | 34.57 | 45.86 | 1.79 | 0.60 | 0.75 | |
| 9# | 21.05 | 29.37 | 34.16 | 1.84 | 0.72 | 0.86 | Na2SO4 |
| 10# | 22.51 | 29.58 | 31.65 | 0.45 | 0.76 | 0.93 | |
| Added Sulfur Compounds | Na2O (wt%) | SiO2 (wt%) | Na2O/SiO2 (N/S) | |
|---|---|---|---|---|
| 1 | None | 19.46% | 32.56% | 0.60 |
| 2 | Na2S·9H2O | 18.32% | 30.95% | 0.59 |
| 3 | Na2S2O3·5H2O | 19.25% | 31.98% | 0.60 |
| 4 | Na2SO3 | 19.36% | 30.88% | 0.63 |
| 5 | Na2SO4 | 19.40% | 33.32% | 0.58 |
Disclaimer/Publisher’s Note: The statements, opinions and data contained in all publications are solely those of the individual author(s) and contributor(s) and not of MDPI and/or the editor(s). MDPI and/or the editor(s) disclaim responsibility for any injury to people or property resulting from any ideas, methods, instructions or products referred to in the content. |
© 2023 by the authors. Licensee MDPI, Basel, Switzerland. This article is an open access article distributed under the terms and conditions of the Creative Commons Attribution (CC BY) license (https://creativecommons.org/licenses/by/4.0/).
Share and Cite
Niu, F.; Liu, G.; Zhu, J.; Pan, J.; Qi, T.; Wang, S.; Li, X.; Wang, S.; Yang, Y. Reaction Behavior of Kaolinite in Sulfur-Bearing Sodium Aluminate Solution under the Simulated Bayer Process. Processes 2023, 11, 2630. https://doi.org/10.3390/pr11092630
Niu F, Liu G, Zhu J, Pan J, Qi T, Wang S, Li X, Wang S, Yang Y. Reaction Behavior of Kaolinite in Sulfur-Bearing Sodium Aluminate Solution under the Simulated Bayer Process. Processes. 2023; 11(9):2630. https://doi.org/10.3390/pr11092630
Chicago/Turabian StyleNiu, Fei, Guihua Liu, Junqiang Zhu, Jun Pan, Tiangui Qi, Saikui Wang, Xiaobin Li, Shi Wang, and Youming Yang. 2023. "Reaction Behavior of Kaolinite in Sulfur-Bearing Sodium Aluminate Solution under the Simulated Bayer Process" Processes 11, no. 9: 2630. https://doi.org/10.3390/pr11092630
APA StyleNiu, F., Liu, G., Zhu, J., Pan, J., Qi, T., Wang, S., Li, X., Wang, S., & Yang, Y. (2023). Reaction Behavior of Kaolinite in Sulfur-Bearing Sodium Aluminate Solution under the Simulated Bayer Process. Processes, 11(9), 2630. https://doi.org/10.3390/pr11092630
