Assessment of Triglyceride Droplet Crystallization Using Mixtures of β-Lactoglobulin and Phospholipids as Emulsifiers
Abstract
1. Introduction
2. Materials and Methods
2.1. Raw Materials
2.2. Emulsion Composition
2.3. Emulsification Process
2.4. Thermo-Optical Microscopy
2.5. Statistical Analysis
3. Results and Discussion
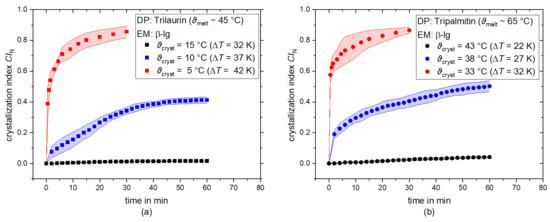
3.1. Crystallization Behavior of TAG Droplets Stabilized with β-Lactoglobulin in Dependence of Crystallization Temperature
3.2. Crystallization Behavior of Dispersed TAGs Stabilized by Mixtures of β-lg and PLs
3.3. Influence of Time for Emulsifier Rearrangement on Dispersed TAG Crystallization
4. Conclusions
Author Contributions
Funding
Data Availability Statement
Acknowledgments
Conflicts of Interest
References
- McClements, D.J. Food Emulsions; CRC Press: Boca Raton, FL, USA, 2004; ISBN 9780429123894. [Google Scholar]
- Boode, K.; Walstra, P. Partial coalescence in oil-in-water emulsions 1. Nature of the aggregation. Colloids Surf. A Physicochem. Eng. Asp. 1993, 81, 121–137. [Google Scholar] [CrossRef]
- Awad, T.S.; Helgason, T.; Kristbergsson, K.; Decker, E.A.; Weiss, J.; McClements, D.J. Effect of Cooling and Heating Rates on Polymorphic Transformations and Gelation of Tripalmitin Solid Lipid Nanoparticle (SLN) Suspensions. Food Biophys. 2008, 3, 155–162. [Google Scholar] [CrossRef]
- Walstra, P. Overview of Emulsion and Foam Stability. In Food Emulsions and Foams: Interfaces, Interactions and Stability; Dickinson, E., Ed.; Woodhead Publishing Ltd.: Cambridge, UK, 1987; pp. 242–257. ISBN 978-1-85573-785-3. [Google Scholar]
- Vanapalli, S.A.; Palanuwech, J.; Coupland, J.N. Stability of emulsions to dispersed phase crystallization: Effect of oil type, dispersed phase volume fraction, and cooling rate. Colloids Surf. A Physicochem. Eng. Asp. 2002, 204, 227–237. [Google Scholar] [CrossRef]
- Töpel, A. Chemie und Physik der Milch; Behr’s Verlag DE: Hamburg, Germany, 2015; ISBN 9783954683604. [Google Scholar]
- Abramov, S.; Ruppik, P.; Schuchmann, H. Crystallization in Emulsions: A Thermo-Optical Method to Determine Single Crystallization Events in Droplet Clusters. Processes 2016, 4, 25. [Google Scholar] [CrossRef]
- Abramov, S.; Berndt, A.; Georgieva, K.; Ruppik, P.; Schuchmann, H.P. Investigation of the influence of mean droplet size and shear rate on crystallization behavior of hexadecane-in-water dispersions. Colloids Surf. A Physicochem. Eng. Asp. 2017, 529, 513–522. [Google Scholar] [CrossRef]
- Abramov, S.; Ahammou, A.; Karbstein, H.P. Influence of external forces during supercooling on dispersion stability during melt emulsification. Chem. Eng. Technol. 2018, 41, 768–775. [Google Scholar] [CrossRef]
- Abramov, S.; Shah, K.; Weißenstein, L.; Karbstein, H. Effect of Alkane Chain Length on Crystallization in Emulsions during Supercooling in Quiescent Systems and under Mechanical Stress. Processes 2018, 6, 6. [Google Scholar] [CrossRef]
- Herhold, A.B.; Ertaş, D.; Levine, A.J.; King, H.E., Jr. Impurity mediated nucleation in hexadecane-in-water emulsions. Phys. Rev. E 1999, 59, 6946. [Google Scholar] [CrossRef]
- Lopez, C.; Lesieur, P.; Keller, G.; Ollivon, M. Thermal and Structural Behavior of Milk Fat. J. Colloid Interface Sci. 2000, 229, 62–71. [Google Scholar] [CrossRef]
- Tippetts, M.; Martini, S. Effect of cooling rate on lipid crystallization in oil-in-water emulsions. Food Res. Int. 2009, 42, 847–855. [Google Scholar] [CrossRef]
- Kaysan, G.; Spiegel, B.; Guthausen, G.; Kind, M. Influence of Shear Flow on the Crystallization of Organic Melt Emulsions—A Rheo-Nuclear Magnetic Resonance Investigation. Chem. Eng. Technol. 2020, 43, 1699–1705. [Google Scholar] [CrossRef]
- Bolzinger, M.A.; Cogne, C.; Lafferrere, L.; Salvatori, F.; Ardaud, P.; Zanetti, M.; Puel, F. Effects of surfactants on crystallization of ethylene glycol distearate in oil-in-water emulsion. Colloids Surf. A Physicochem. Eng. Asp. 2007, 299, 93–100. [Google Scholar] [CrossRef]
- Bunjes, H.; Koch, M.H.J.; Westesen, K. Influence of emulsifiers on the crystallization of solid lipid nanoparticles. J. Pharm. Sci. 2003, 92, 1509–1520. [Google Scholar] [CrossRef]
- McClements, D.J.; Dungan, S.R.; German, J.B.; Simoneau, C.; Kinsella, J.E. Droplet Size and Emulsifier Type Affect Crystallization and Melting of Hydrocarbon-in-Water Emulsions. J. Food Sci. 1993, 58, 1148–1151. [Google Scholar] [CrossRef]
- Bunjes, H.; Koch, M.H.J. Saturated phospholipids promote crystallization but slow down polymorphic transitions in triglyceride nanoparticles. J. Control. Release 2005, 107, 229–243. [Google Scholar] [CrossRef] [PubMed]
- McClements, D.J. Crystals and crystallization in oil-in-water emulsions: Implications for emulsion-based delivery systems. Adv. Colloid Interface Sci. 2012, 174, 1–30. [Google Scholar] [CrossRef] [PubMed]
- Hartel, R.W. Crystallization in Foods; Food Engineering Series; Aspen Publishers: Frederick, MD, USA, 2001; ISBN 978-0-8342-1634-1. [Google Scholar]
- Kashchiev, D.; van Rosmalen, G.M. Review: Nucleation in solutions revised. Cryst. Res. Technol. 2003, 38, 555–574. [Google Scholar] [CrossRef]
- Palanuwech, J.; Coupland, J.N. Effect of surfactant type on the stability of oil-in-water emulsions to dispersed phase crystallization. Colloids Surf. A Physicochem. Eng. Asp. 2003, 223, 251–262. [Google Scholar] [CrossRef]
- Awad, T.; Sato, K. Acceleration of crystallisation of palm kernel oil in oil-in-water emulsion by hydrophobic emulsifier additives. Colloids Surf. B Biointerfaces 2002, 25, 45–53. [Google Scholar] [CrossRef]
- Arima, S.; Ueno, S.; Ogawa, A.; Sato, K. Scanning microbeam small-angle X-ray diffraction study of interfacial heterogeneous crystallization of fat crystals in oil-in-water emulsion droplets. Langmuir 2009, 25, 9777–9784. [Google Scholar] [CrossRef]
- Gülseren, İ.; Coupland, J.N. Surface Melting in Alkane Emulsion Droplets as Affected by Surfactant Type. J. Am. Oil Chem. Soc. 2008, 85, 413–419. [Google Scholar] [CrossRef]
- Awad, T.; Sato, K. Effects of hydrophobic emulsifier additives on crystallization behavior of palm mid fraction in oil-in-water emulsion. J. Am. Oil Chem. Soc. 2001, 78, 837–842. [Google Scholar] [CrossRef]
- Awad, T.S. Ultrasonic studies of the crystallization behavior of two palm fats O/W emulsions and its modification. Food Res. Int. 2004, 37, 579–586. [Google Scholar] [CrossRef]
- Katsuragi, T.; Kaneko, N.; Sato, K. Effects of addition of hydrophobic sucrose fatty acid oligoesters on crystallization rates of n-hexadecane in oil-in-water emulsions. Colloids Surf. B Biointerfaces 2001, 20, 229–237. [Google Scholar] [CrossRef]
- McClements, D.; Dickinson, E.; Dungan, S.R.; Kinsella, J.E.; Ma, J.G.; Povey, M.J. Effect of Emulsifier Type on the Crystallization Kinetics of Oil-in-Water Emulsions Containing a Mixture of Solid and Liquid Droplets. J. Colloid Interface Sci. 1993, 160, 293–297. [Google Scholar] [CrossRef]
- Himawan, C.; Starov, V.M.; Stapley, A.G.F. Thermodynamic and kinetic aspects of fat crystallization. Adv. Colloid Interface Sci. 2006, 122, 3–33. [Google Scholar] [CrossRef] [PubMed]
- Bunjes, H.; Koch, M.H.J.; Westesen, K. Effects of surfactants on the crystallization and polymorphism of lipid nanoparticles. In Molecular Organisation on Interfaces; Lagaly, G., Ed.; Springer: Berlin/Heidelberg, Germany, 2006; pp. 7–10. ISBN 978-3-540-43637-9. [Google Scholar]
- Talón, E.; Lampi, A.-M.; Vargas, M.; Chiralt, A.; Jouppila, K.; González-Martínez, C. Encapsulation of eugenol by spray-drying using whey protein isolate or lecithin: Release kinetics, antioxidant and antimicrobial properties. Food Chem. 2019, 295, 588–598. [Google Scholar] [CrossRef] [PubMed]
- Bos, M.A.; van Vliet, T. Interfacial rheological properties of adsorbed protein layers and surfactants: A review. Adv. Colloid Interface Sci. 2001, 91, 437–471. [Google Scholar] [CrossRef]
- Heiden-Hecht, T.; Drusch, S. Impact of Saturation of Fatty Acids of Phosphatidylcholine and Oil Phase on Properties of β-Lactoglobulin at the Oil/Water Interface. Food Biophys. 2022, 17, 171–180. [Google Scholar] [CrossRef]
- Heiden-Hecht, T.; Taboada, M.L.; Brückner-Gühmann, M.; Karbstein, H.P.; Gaukel, V.; Drusch, S. Towards an improved understanding of spray-dried emulsions: Impact of the emulsifying constituent combination on characteristics and storage stability. Int. Dairy J. 2021, 121, 105134. [Google Scholar] [CrossRef]
- Waninge, R.; Walstra, P.; Bastiaans, J.; Nieuwenhuijse, H.; Nylander, T.; Paulsson, M.; Bergenståhl, B. Competitive adsorption between beta-casein or beta-lactoglobulin and model milk membrane lipids at oil-water interfaces. J. Agric. Food Chem. 2005, 53, 716–724. [Google Scholar] [CrossRef]
- Euston, S.E.; Singh, H.; Munro, P.A.; Dalgleish, D.G. Competitive Adsorption Between Sodium Caseinate and Oil-Soluble and Water-Soluble Surfactants in Oil-in-Water Emulsions. J. Food Sci. 1995, 60, 1124–1131. [Google Scholar] [CrossRef]
- Dickinson, E.; Euston, S.R.; Woskett, C.M. Competitive adsorption of food macromolecules and surfactants at the oil-water interface. In Surfactants and Macromolecules: Self-Assembly at Interfaces and in Bulk; Lindman, B., Rosenholm, J.B., Stenius, P., Eds.; Steinkopff: Darmstadt, Germany, 1990; pp. 65–75. ISBN 978-3-7985-0838-5. [Google Scholar]
- Bylaite, E.; Nylander, T.; Venskutonis, R.; Jönsson, B. Emulsification of caraway essential oil in water by lecithin and beta-lactoglobulin: Emulsion stability and properties of the formed oil-aqueous interface. Colloids Surf. B Biointerfaces 2001, 20, 327–340. [Google Scholar] [CrossRef]
- Fang, Y.; Dalgleish, D.G. Comparison of the effects of three different phosphatidylcholines on casein-stabilized oil-in-water emulsions. J. Am. Oil Chem. Soc. 1996, 73, 437–442. [Google Scholar] [CrossRef]
- Brown, E.M. Interactions of β-Lactoglobulin and α-Lactalbumin with Lipids: A Review. J. Dairy Sci. 1984, 67, 713–722. [Google Scholar] [CrossRef]
- Fang, Y.; Dalgleish, D.G. Interactions between Sodium Caseinate and Dioleoylphosphatidylcholine on Oil–Water Interfaces and in Solution. In Food Colloids; Elsevier: Amsterdam, The Netherlands, 2004; pp. 67–76. ISBN 9781855737839. [Google Scholar]
- Nylander, T.; Arnebrant, T.; Cárdenas, M.; Bos, M.; Wilde, P. Protein/Emulsifier Interactions. In Food Emulsifiers and Their Applications; Hasenhuettl, G.L., Hartel, R.W., Eds.; Springer International Publishing: Cham, Switzerland, 2019; pp. 101–192. ISBN 978-3-030-29185-3. [Google Scholar]
- Dijkstra, A.J. About water degumming and the hydration of non-hydratable phosphatides. Eur. J. Lipid Sci. Technol. 2017, 119, 1600496. [Google Scholar] [CrossRef]
- Bot, F.; Cossuta, D.; O’Mahony, J.A. Inter-relationships between composition, physicochemical properties and functionality of lecithin ingredients. Trends Food Sci. Technol. 2021, 111, 261–270. [Google Scholar] [CrossRef]
- Van Nieuwenhuyzen, W.; Szuhaj, B.F. Effects of lecithins and proteins on the stability of emulsions. Fett Wiss. Technol. 1998, 100, 282–291. [Google Scholar] [CrossRef]
- Reiner, J.; Martin, D.; Ott, F.; Harnisch, L.; Gaukel, V.; Karbstein, H.P. Influence of the Triglyceride Composition, Surfactant Concentration and Time–Temperature Conditions on the Particle Morphology in Dispersions. Colloids Interfaces 2023, 7, 22. [Google Scholar] [CrossRef]
- MacWilliams, S.V.; Sebben, D.A.; Clulow, A.J.; Ferri, J.K.; Gillies, G.; Golding, M.; Boyd, B.J.; Beattie, D.A.; Krasowska, M. The effect of emulsifier type on the secondary crystallisation of monoacylglycerol and triacylglycerols in model dairy emulsions. J. Colloid Interface Sci. 2022, 608, 2839–2848. [Google Scholar] [CrossRef]
- Zhou, X.; Arita-Merino, N.; Meesters, G.; Sala, G.; Sagis, L.M. Emulsifier crystal formation and its role in periodic deformation-relaxation of emulsion droplets upon cooling. J. Food Eng. 2023, 347, 111430. [Google Scholar] [CrossRef]
- Feng, J.; Valkova, Z.; Lin, E.E.; Nourafkan, E.; Wang, T.; Tcholakova, S.; Slavchov, R.; Smoukov, S.K. Minimum surfactant concentration required for inducing self-shaping of oil droplets and competitive adsorption effects. Soft Matter 2022, 18, 6729–6738. [Google Scholar] [CrossRef] [PubMed]
- Reiner, J.; Walter, E.M.; Karbstein, H.P. Assessment of droplet self-shaping and crystallization during temperature fluctuations exceeding the melting temperature of the dispersed phase. Colloids Surf. A Physicochem. Eng. Asp. 2023, 656, 130498. [Google Scholar] [CrossRef]
- Salminen, H.; Helgason, T.; Aulbach, S.; Kristinsson, B.; Kristbergsson, K.; Weiss, J. Influence of co-surfactants on crystallization and stability of solid lipid nanoparticles. J. Colloid Interface Sci. 2014, 426, 256–263. [Google Scholar] [CrossRef]
- Handa, T.; Saito, H.; Miyajima, K. Phospholipid monolayers at the triolein-saline interface: Production of microemulsion particles and conversion of monolayers to bilayers. Biochemistry 1990, 29, 2884–2890. [Google Scholar] [CrossRef] [PubMed]
- Bergenståhl, B.; Alander, J. Lipids and colloidal stability. Current Opinion. Colloid Interface Sci. 1997, 2, 590–595. [Google Scholar]
- Friberg, S.E. Food Emulsions: Emulsion Stability, 3rd ed.; Marcel Dekker: New York, NY, USA, 1997. [Google Scholar]
- Shchipunov, Y.A.; Kolpakov, A.F. Phospholipids at the oil/water interface: Adsorption and interfacial phenomena in an electric field. Adv. Colloid Interface Sci. 1991, 35, 31–138. [Google Scholar] [CrossRef]
- Barford, N.M.; Krog, N.; Larsen, G.; Buchheim, W. Effects of Emulsifiers on Protein-Fat Interaction in Ice Cream Mix during Ageing I: Quantitative Analyses. Fett Wiss. Technol. 1991, 93, 24–29. [Google Scholar] [CrossRef]
- Zhang, Z.; Goff, H.D. On fat destabilization and composition of the air interface in ice cream containing saturated and unsaturated monoglyceride. Int. Dairy J. 2005, 15, 495–500. [Google Scholar] [CrossRef]





| Sample | Continuous Phase | Dispersed Phase | ||
|---|---|---|---|---|
| Purified Water | β-lg | TAG | PL | |
| β-lg | 99% | 1% | 1% | - |
| β-lg + DOPE | 98% | 1% | 1% | |
| β-lg + DSPC | 98% | 1% | 1% | |
| β-lg + DSPE | 98% | 1% | 1% | 1.4 × 10−6 |
| Dispersed Phase | ϑcryst,1 ΔTDP | ϑcryst,2 ΔTDP | ϑcryst,3 ΔTDP |
|---|---|---|---|
| Trilaurin | 15 °C | 10 °C | 5 °C |
| (ϑmelt ~ 47 °C) | 32 K | 37 K | 42 K |
| Tripalmitin | 43 °C | 38 °C | 33 °C |
| (ϑmelt ~ 65 °C) | 22 K | 27 K | 32 K |
Disclaimer/Publisher’s Note: The statements, opinions and data contained in all publications are solely those of the individual author(s) and contributor(s) and not of MDPI and/or the editor(s). MDPI and/or the editor(s) disclaim responsibility for any injury to people or property resulting from any ideas, methods, instructions or products referred to in the content. |
© 2023 by the authors. Licensee MDPI, Basel, Switzerland. This article is an open access article distributed under the terms and conditions of the Creative Commons Attribution (CC BY) license (https://creativecommons.org/licenses/by/4.0/).
Share and Cite
Reiner, J.; Schwenkschuster, M.; Harnisch, L.; Gaukel, V.; Karbstein, H.P. Assessment of Triglyceride Droplet Crystallization Using Mixtures of β-Lactoglobulin and Phospholipids as Emulsifiers. Processes 2023, 11, 2600. https://doi.org/10.3390/pr11092600
Reiner J, Schwenkschuster M, Harnisch L, Gaukel V, Karbstein HP. Assessment of Triglyceride Droplet Crystallization Using Mixtures of β-Lactoglobulin and Phospholipids as Emulsifiers. Processes. 2023; 11(9):2600. https://doi.org/10.3390/pr11092600
Chicago/Turabian StyleReiner, Jasmin, Marian Schwenkschuster, Leon Harnisch, Volker Gaukel, and Heike Petra Karbstein. 2023. "Assessment of Triglyceride Droplet Crystallization Using Mixtures of β-Lactoglobulin and Phospholipids as Emulsifiers" Processes 11, no. 9: 2600. https://doi.org/10.3390/pr11092600
APA StyleReiner, J., Schwenkschuster, M., Harnisch, L., Gaukel, V., & Karbstein, H. P. (2023). Assessment of Triglyceride Droplet Crystallization Using Mixtures of β-Lactoglobulin and Phospholipids as Emulsifiers. Processes, 11(9), 2600. https://doi.org/10.3390/pr11092600

