Physicochemical, Rheological, and Microstructural Properties of Low-Fat Mayonnaise Manufactured with Hydrocolloids from Dioscorea rotundata as a Fat Substitute
Abstract
1. Introduction
2. Materials and Methods
2.1. Materials
2.2. Methods
2.2.1. Obtention of Hydrocolloids from Dioscorea rotundata
2.2.2. Development of Mayonnaise
2.2.3. Storage Stability Analysis
2.2.4. Determination of the pH of the Product
2.2.5. Color Measurement
2.2.6. Microstructural Properties
2.2.7. Rheological Properties
2.2.8. Statistical Analysis
3. Results
3.1. Physicochemical Properties
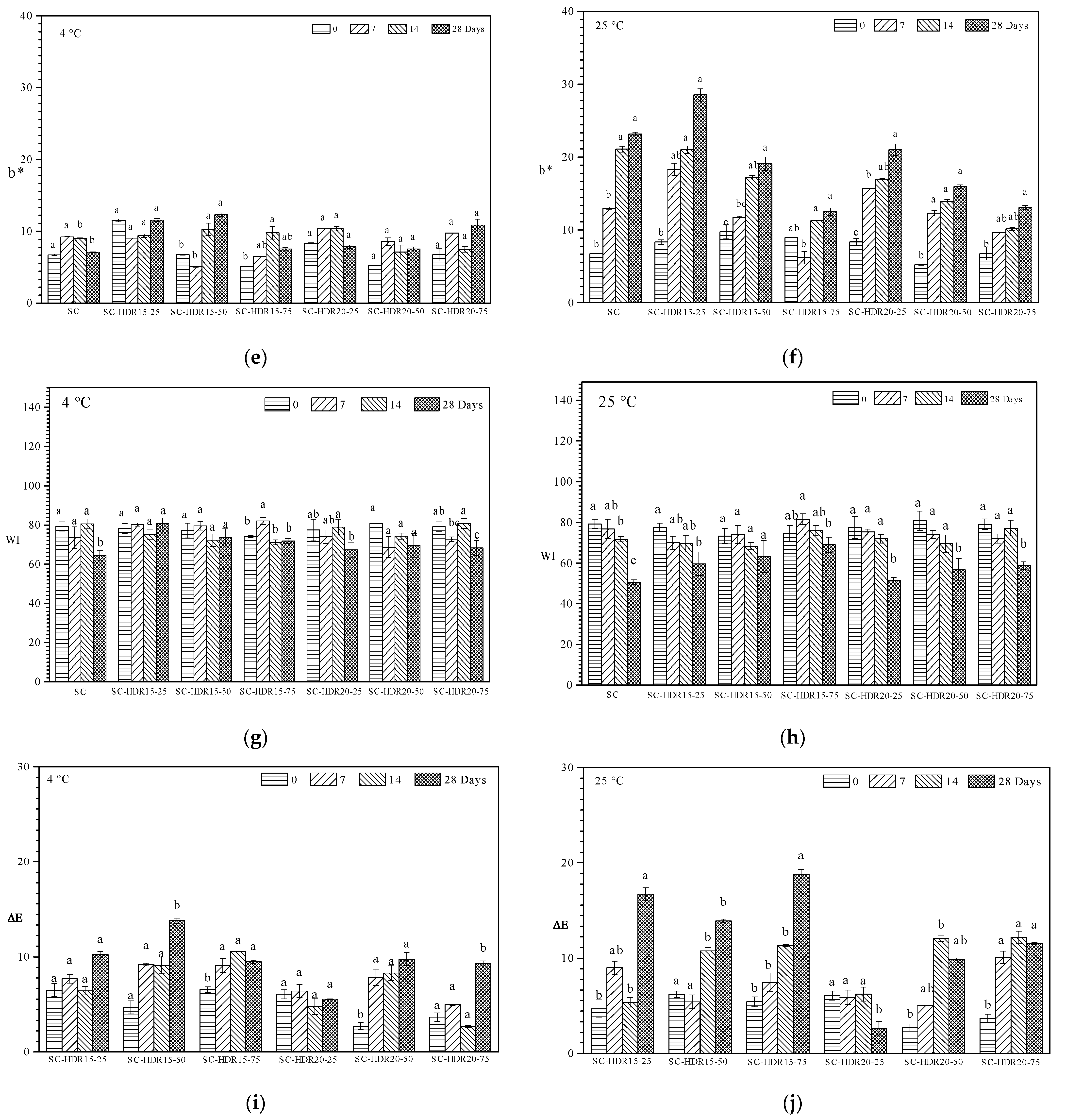
3.2. Color Analysis
3.3. Microstructural Properties
3.4. Rheological Properties
3.4.1. Stationary State
3.4.2. Viscoelastic Properties
4. Conclusions
Author Contributions
Funding
Data Availability Statement
Conflicts of Interest
References
- Mun, S.; Kim, Y.L.; Kang, C.G.; Park, K.H.; Shim, J.Y.; Kim, Y.R. Development of Reduced-Fat Mayonnaise Using 4αGTase-Modified Rice Starch and Xanthan Gum. Int. J. Biol. Macromol. 2009, 44, 400–407. [Google Scholar] [CrossRef]
- Sun, C.; Liu, R.; Liang, B.; Wu, T.; Sui, W.; Zhang, M. Microparticulated Whey Protein-Pectin Complex: A Texture-Controllable Gel for Low-Fat Mayonnaise. Food Res. Int. 2018, 108, 151–160. [Google Scholar] [CrossRef]
- Liu, Z.; Zhao, J.; Sun, R.; Wang, M.; Wang, K.; Li, Y.; Shang, H.; Hou, J.; Jiang, Z. Lactobacillus Plantarum 23-1 Improves Intestinal Inflammation and Barrier Function through the TLR4/NF-ΚB Signaling Pathway in Obese Mice. Food Funct. 2022, 13, 5971–5986. [Google Scholar] [CrossRef]
- Tang, W.H.W.; Wang, Z.; Levison, B.S.; Koeth, R.A.; Britt, E.B.; Fu, X.; Wu, Y.; Hazen, S.L. Intestinal Microbial Metabolism of Phosphatidylcholine and Cardiovascular Risk. N. Engl. J. Med. 2013, 368, 1575–1584. [Google Scholar] [CrossRef]
- Teklehaimanot, W.H.; Duodu, K.G.; Emmambux, M.N. Maize and Teff Starches Modified with Stearic Acid as Potential Fat Replacer in Low Calorie Mayonnaise-Type Emulsions. Starch/Staerke 2013, 65, 773–781. [Google Scholar] [CrossRef]
- Agyei-Amponsah, J.; Macakova, L.; DeKock, H.L.; Emmambux, M.N. Effect of Substituting Sunflower Oil with Starch-Based Fat Replacers on Sensory Profile, Tribology, and Rheology of Reduced-Fat Mayonnaise-Type Emulsions. Starch/Staerke 2021, 73, 1–34. [Google Scholar] [CrossRef]
- Su, H.P.; Lien, C.P.; Lee, T.A.; Ho, J.H. Development of Low-Fat Mayonnaise Containing Polysaccharide Gums as Functional Ingredients. J. Sci. Food Agric. 2010, 90, 806–812. [Google Scholar] [CrossRef]
- Borreani, J.; Hernando, I.; Quiles, A. Cream Replacement by Hydrocolloid-Stabilized Emulsions to Reduce Fat Digestion in Panna Cottas. LWT 2020, 119, 108896. [Google Scholar] [CrossRef]
- Espert, M.; Borreani, J.; Hernando, I.; Quiles, A.; Sanz, T.; Salvador, A. Structural Changes of Filling Creams after in Vitro Digestion. Application of Hydrocolloid Based Emulsions as Fat Source. LWT 2019, 112, 108223. [Google Scholar] [CrossRef]
- Chivero, P.; Gohtani, S.; Yoshii, H.; Nakamura, A. Assessment of Soy Soluble Polysaccharide, Gum Arabic and OSA-Starch as Emulsifiers for Mayonnaise-like Emulsions. LWT Food Sci. Technol. 2016, 69, 59–66. [Google Scholar] [CrossRef]
- Jafari, S.M.; Beheshti, P.; Assadpoor, E. Rheological Behavior and Stability of D-Limonene Emulsions Made by a Novel Hydrocolloid (Angum Gum) Compared with Arabic Gum. J. Food Eng. 2012, 109, 1–8. [Google Scholar] [CrossRef]
- Lorenzo, G.; Zaritzky, N.; Califano, A. Modeling Rheological Properties of Low-in-Fat o/w Emulsions Stabilized with Xanthan/Guar Mixtures. Food Res. Int. 2008, 41, 487–494. [Google Scholar] [CrossRef]
- Razavi, S.M.A.; Alghooneh, A. Understanding the Physics of Hydrocolloids Interaction Using Rheological, Thermodynamic and Functional Properties: A Case Study on Xanthan Gum-Cress Seed Gum Blend. Int. J. Biol. Macromol. 2020, 151, 1139–1153. [Google Scholar] [CrossRef]
- Santos Fernandesa, S.; Salas-Mellado, M.d.l.M. Effect of Oil Replacement in Mayonnaise by Chia (Salvia hispanica L.) Mucilage. Integr. Food Nutr. Metab. 2018, 5, 1–4. [Google Scholar] [CrossRef]
- Castrillon, J.; Fiallo, O. Desarrollo De Una Emulsión Tipo Mayonesa a Partir De Iota -Carragenina Y Leche De Almendras (Prunus amygdalus L.). @Limentech Cienc. Tecnol. Aliment. 2017, 15, 16–27. [Google Scholar] [CrossRef]
- Bonilla, P. Elaboración de Mayonesa Nutracéutica a Base de Inulina y Estudio Reológico. Quím. Cent. 2020, 4, 3–12. [Google Scholar] [CrossRef]
- Evanuarini, H.; Susilo, A. The Quality of Low Fat Mayonnaise Using Banana Peel Flour as Stabilizer. IOP Conf. Ser. Earth Environ. Sci. 2020, 478, 012091. [Google Scholar] [CrossRef]
- Bajaj, R.; Singh, N.; Kaur, A. Properties of Octenyl Succinic Anhydride (OSA) Modified Starches and Their Application in Low Fat Mayonnaise. Int. J. Biol. Macromol. 2019, 131, 147–157. [Google Scholar] [CrossRef]
- Park, J.J.; Olawuyi, I.F.; Lee, W.Y. Characteristics of Low-Fat Mayonnaise Using Different Modified Arrowroot Starches as Fat Replacer. Int. J. Biol. Macromol. 2020, 153, 215–223. [Google Scholar] [CrossRef]
- Li, J.M.; Nie, S.P. The Functional and Nutritional Aspects of Hydrocolloids in Foods. Food Hydrocoll. 2016, 53, 46–61. [Google Scholar] [CrossRef]
- Rodríguez-Sandoval, E.; Sandoval-Aldana, A.; Ayala-Aponte, A. Hidrocoloides naturales de origen vegetal. Investigaciones recientes y aplicaciones en la industria de alimentos. Tecnura 2002, 13, 4–13. [Google Scholar]
- Raj, S. A Review on Pectin: Chemistry Due to General Properties of Pectin and Its Pharmaceutical Uses. Sci. Rep. 2012, 1, 10–13. [Google Scholar] [CrossRef]
- Norton, I.T.; Spyropoulos, F.; Cox, P. Practical Food Rheology: An Interpretive Approach. In Practical Food Rheology: An Interpretive Approach; John Wiley & Sons: New York, NY, USA, 2010. [Google Scholar] [CrossRef]
- Reina-Aranza, Y.C. El Cultivo de Ñame En El Caribe Colombiano. In Documentos de Trabajo Sobre Economía Regional y Urbana; Banco de la Républia, Centro de Estudios Ecnónomicos Regionales (CRRE): Cartagena, Colombia, 2012. [Google Scholar]
- Balogun, M.O. Microtubers in Yam Germoplasm Conservation and Propagation: The Status, the Prospects and Ther Constraints. Biotechnol. Mol. Biol. Rev. 2009, 4, 1–10. [Google Scholar]
- Vega, M.E.G. El Ñame (Dioscorea Spp.). Características, Usos Y Valor Medicinal. Aspectos De Importancia En El Desarrollo De Su Cultivo. Cultiv. Trop. 2012, 33, 5–15. [Google Scholar]
- Quintana-Martínez, S.E.; Torregroza-Fuentes, E.E.; García-Zapateiro, L.A. Food Hydrocolloids from Butternut Squash (Cucurbita Moschata) Peel: Rheological Properties and Their Use in Carica Papaya Jam. ACS Omega 2021, 6, 12114–12123. [Google Scholar] [CrossRef]
- AOAC International–Official Methods of Analysis, 18th ed.; AOAC International: Gaithersburg, MD, USA, 2016.
- Quintana, S.E.; Franco, J.M.; Garcia-Zapateiro, L. Physico-Chemical and Bromatological Characteristics of Arenca and Rheological Properties of Oil-in-Water Emulsions Containing Isolated Protein. Ciênc. Agrotecnol. 2015, 39, 634–641. [Google Scholar] [CrossRef]
- Quintana-Martinez, S.Q.; Cano, A.M.; García-Zapateiro, L. Rheological Behaviour in the Interaction of Lecithin and Guar Gum for Oil-in-Water Emulsions. Food Technol. Econ. Eng. Phys. Prop. 2018, 36, 73–80. [Google Scholar]
- Yolmeh, M.; Habibi Najafi, M.B.; Farhoosh, R.; Salehi, F. Modeling of Antibacterial Activity of Annatto Dye on Escherichia Coli in Mayonnaise. Food Biosci. 2014, 8, 8–13. [Google Scholar] [CrossRef]
- Keerthirathne, T.P.; Ross, K.; Fallowfield, H.; Whiley, H. The Combined Effect of PH and Temperature on the Survival of Salmonella Enterica Serovar Typhimurium and Implications for the Preparation of Raw Egg Mayonnaise. Pathogens 2019, 8, 218. [Google Scholar] [CrossRef]
- Mendoza Combat, J.C.; Mendoza, M.P.; Ávila García, B.d.C.; Ariza Díaz, M.L. Formulación de Mayonesa Baja En Grasa Usando Almidón de Maíz Modificado. Memorias 2020. [Google Scholar] [CrossRef]
- Parrales., S.L.R.; Miranda, J.V.S. Análisis de Las Propiedades Fisicoquímicas y Sensoriales de La Aplicación Del Aceite de Girasol, Oliva y Sacha Inchi En La Elaboración de Mayonesa, Aderezo César y Alioli. Bachelor’s Thesis, Universidad de Guayaquil, Guayaquil, Ecuador, 2021. [Google Scholar]
- Radiaci, C.D.E.U.N.A.; Si, C. Capitulo 4. La Medida Práctica Del Color. In Parámetros del Color De Vinos Tintos Españoles Con Madera: Correlación con la Percepción Sensorial de la Calidad; Fundación Dialnet: Logroño, Spain, 2010; pp. 1–15. [Google Scholar]
- Liu, H.; Xu, X.M.; Guo, S.D. Rheological, Texture and Sensory Properties of Low-Fat Mayonnaise with Different Fat Mimetics. LWT Food Sci. Technol. 2007, 40, 946–954. [Google Scholar] [CrossRef]
- Sukkwai, S.; Chonpracha, P.; Kijroongrojana, K.; Prinyawiwatkul, W. Influences of a Natural Colourant on Colour and Salty Taste Perception, Liking, Emotion and Purchase Intent: A Case of Mayonnaise-Based Dipping Sauces. Int. J. Food Sci. Technol. 2017, 52, 2256–2264. [Google Scholar] [CrossRef]
- McClements, D.J.; Bai, L.; Chung, C. Recent Advances in the Utilization of Natural Emulsifiers to Form and Stabilize Emulsions. Annu. Rev. Food Sci. Technol. 2017, 8, 205–236. [Google Scholar] [CrossRef]
- Rondón, E.; Pacheco Delahaye, E.; Ortega, F. Estimación de La Vida Útil de Un Análogo Comercial de Mayonesa Utilizando El Factor de Aceleración Q10. Rev. Fac. Agron. 2004, 21, 68–83. [Google Scholar]
- Akhtar, G.; Masoodi, F.A. Structuring Functional Mayonnaise Incorporated with Himalayan Walnut Oil Pickering Emulsions by Ultrasound Assisted Emulsification. Ultrason. Sonochem. 2022, 86, 106022. [Google Scholar] [CrossRef]
- Yüceer, M.; Ilyasoǧlu, H.; Özçelik, B. Comparison of Flow Behavior and Physicochemical Characteristics of Low-Cholesterol Mayonnaises Produced with Cholesterol-Reduced Egg Yolk. J. Appl. Poult. Res. 2016, 25, 518–527. [Google Scholar] [CrossRef]
- Chetana, R.; Bhavana, K.P.; Babylatha, R.; Geetha, V.; Suresh Kumar, G. Studies on Eggless Mayonnaise from Rice Bran and Sesame Oils. J. Food Sci. Technol. 2019, 56, 3117–3125. [Google Scholar] [CrossRef]
- Quintana, J.M. Microestructura, Estabilidad y Propiedades Reológicas de Emulsiones Alimentarias Estabilizadas con Hidrocoloides. Doctor Thesis, National University of La Plata, La Plata, Argentina, 2003. [Google Scholar]
- McClements, D.; Jafari, S. Improving Emulsion Formation, Stability and Performance Using Mixed Emulsifiers: A Review. Adv. Colloid Interface Sci. 2018, 251, 55–79. [Google Scholar] [CrossRef]
- McClements, D. Food Emulsions: Principles, Practice, and Techniques. In CRC Series in Contemporary Food Science, 2nd ed.; CRC Press: Boca Raton, FL, USA, 2016. [Google Scholar]
- Bengoechea, C.; Romero, A.; Cordobés, F.; Guerrero, A. Estudio Reológico y Microestructural de Emulsiones Concentradas de Aceite de Girasol En Agua Estabilizadas Con Proteínas Agroalimentarias. Grasas Aceites 2008, 59, 62–68. [Google Scholar] [CrossRef]
- Brewer, D.R.; Franco, J.M.; Garcia-Zapateiro, L.A. Rheological Properties of Oil-in-Water Emulsions Prepared with Oil and Protein Isolates from Sesame (Sesamum indicum). Food Sci. Technol. 2016, 36, 64–69. [Google Scholar] [CrossRef]
- Drew, M. Surfaces, Interfaces, and Colloids: Principles and Applications, 2nd ed.; John Wiley & Sons, Inc.: Hoboken, NJ, USA, 2002. [Google Scholar]
- Shinoda, K.; Arai, H. The Correlation between Phase Inversion Temperature In Emulsion and Cloud Point in Solution of Nonionic Emulsifier. J. Phys. Chem. 1964, 68, 12, 34. [Google Scholar] [CrossRef]
- Kosegarten-Conde, C.E.; Jiménez-Munguía, M.T. Factores Principales Que Intervienen En La Estabilidad de Una Emulsión Doble. Temas Sel. Ing. Aliment. 2012, 6, 1–18. [Google Scholar]
- Shinoda, K.; Saito, H. The Stability of O/W Type Emulsions as Functions of Temperature and the HLB of Emulsifiers: The Emulsification by PIT-Method. J. Colloid Interface Sci. 1969, 30, 258–263. [Google Scholar] [CrossRef]
- Gunasekaran, S.; Ak, M.M. Dynamic Oscillatory Shear Testing of Foods—Selected Applications. Trends Food Sci. Technol. 2000, 11, 115–127. [Google Scholar] [CrossRef]
- Partal, P.; Guerrero, A.; Berjano, M.; Gallegos, C. Influence of Concentration and Temperature on the Flow Behavior of Oil-in-Water Emulsions Stabilized by Sucrose Palmitate. J. Am. Oil Chem. Soc. 1997, 74, 1203–1212. [Google Scholar] [CrossRef]
- Morais, G.G. Influence of Mixing Speed in Liquid Crystal Formation and Rheology of O/W Emulsions Containing Vegetable Oils. J. Dispers Sci. Technol. 2013, 35, 1551–1556. [Google Scholar] [CrossRef]
- Orgulloso-Bautista, S.; Ortega-Toro, R.; Alberto, L.; Zapateiro, G. Design and Application of Hydrocolloids from Butternut Squash (Cucurbita moschata) Epidermis as a Food Additive in Mayonnaise-Type Sauces. ACS Omega 2021, 6, 5499–5508. [Google Scholar] [CrossRef]
- Schmidtl, H. Aditivos Alimentarios y La Reglamentación de Los Alimentos. In Aplicaciones y Comentarios de Orden Químico y Tecnológico; Fundacion Chile: Santiago, Chile, 1990; pp. 1–154. [Google Scholar]
- Zapata, L.; Espinoza, A. Mayonesa Industrial; Organizacion de consumidores y usuarios de Chile: Santiago, Chile, 2012; p. 36. [Google Scholar]
- Jian, H.L.; Lin, X.J.; Zhang, W.A.; Zhang, W.M.; Sun, D.F.; Jiang, J.X. Characterization of Fractional Precipitation Behavior of Galactomannan Gums with Ethanol and Isopropanol. Food Hydrocoll. 2014, 40, 115–121. [Google Scholar] [CrossRef]
- Elbeltagy, A.E.; Mustafa, M.; Khalil, A.H. Development of Low Fat Mayonnaise Containing Different Types and Levels of Hydrocolloid Gum. J. Agroaliment. Process. Technol. 2014, 20, 54–63. [Google Scholar]
- Mostaghim, M.A.T. Evaluation of Using Salep and Chitosan Hydrocolloid as Stabilizers and Fat Replacer in Physicochemical and Rheological Features of Low-Fat Mayonnaise. Food Biosci. 2019, 9, 63–72. [Google Scholar]
- Shen, R.; Luo, S.; Dong, J. Application of Oat Dextrine for Fat Substitute in Mayonnaise. Food Chem. 2011, 126, 65–71. [Google Scholar] [CrossRef]
- Khalid, M.U.; Shabbir, M.A.; Mustafa, S.; Hina, S.; Quddoos, M.Y.; Mahmood, S.; Maryam, Y.; Faisal, F.; Rafique, A. Effect of Apple Peel as an Antioxidant on the Quality Characteristics and Oxidative Stability of Mayonnaise. Appl. Food Res. 2021, 1, 100023. [Google Scholar] [CrossRef]
- Hijazi, T.; Karasu, S.; Tekin-çakmak, Z.H.; Bozkurt, F. Extraction of Natural Gum from Cold-Pressed Chia Seed, Flaxseed, and Rocket Seed Oil By-Product and Application in Low Fat Vegan Mayonnaise. Foods 2022, 11, 363. [Google Scholar] [CrossRef]
- Lupi, F.R.; Gabriele, D.; De Cindio, B.; Sánchez, M.C.; Gallegos, C. A Rheological Analysis of Structured Water-in-Olive Oil Emulsions. J. Food Eng. 2011, 107, 296–303. [Google Scholar] [CrossRef]
- Mancini, F.; Montanari, L.; Peressini, D.; Fantozzi, P. Influence of Alginate Concentration and Molecular Weight on Functional Properties of Mayonnaise. LWT Food Sci. Technol. 2002, 35, 517–525. [Google Scholar] [CrossRef]
- Ma, L.; Barbosa-Cánovas, G.V. Rheological Characterization of Mayonnaise. Part II: Slippage at Different Oil and Xanthan Gum Concentrations. J. Food Eng. 1995, 25, 397–408. [Google Scholar] [CrossRef]
- Primacella, M.; Wang, T.; Acevedo, N.C. Characterization of Mayonnaise Properties Prepared Using Frozen-Thawed Egg Yolk Treated with Hydrolyzed Egg Yolk Proteins as Anti-Gelator. Food Hydrocoll. 2019, 96, 529–536. [Google Scholar] [CrossRef]
- Resch, J.J.; Daubert, C.R. Rheological and Physicochemical Properties of Derivatized Whey Protein Concentrate Powders. Int. J. Food Prop. 2002, 5, 419–434. [Google Scholar] [CrossRef]
- Lastra Ripoll, S.E.; Quintana Martínez, S.E.; García Zapateiro, L.A. Rheological and Microstructural Properties of Xanthan Gum-Based Coating Solutions Enriched with Phenolic Mango (Mangifera indica) Peel Extracts. ACS Omega 2021, 6, 16119–16128. [Google Scholar] [CrossRef]
- Ramos, A.M.; Ibarz, A. Comportamiento Viscoelástico de Pulpa de Membrillo En Función de La Concentración de Sólidos Solubles. Cienc. Tecnol. Aliment. 2006, 26, 214–219. [Google Scholar] [CrossRef]









| Sample Code | Hydrocolloid | Oil % | Eggs % | Xanthan Gum % | Sugar % | Salt % | Vinegar % | Sodium Benzoate % | Species % | Water % | |
|---|---|---|---|---|---|---|---|---|---|---|---|
| Solution | % | ||||||||||
| SC | 0 | 0 | 64 | 10 | 0.2 | 1 | 1.5 | 5.4 | 0.5 | 1 | 16.4 |
| SC-HDR15-25 | HDR15 | 16 | 48 | 10 | 0.2 | 1 | 1.5 | 5.4 | 0.5 | 1 | 16.4 |
| SC-HDR15-50 | HDR15 | 32 | 32 | 10 | 0.2 | 1 | 1.5 | 5.4 | 0.5 | 1 | 16.4 |
| SC-HDR15-75 | HDR15 | 48 | 16 | 10 | 0.2 | 1 | 1.5 | 5.4 | 0.5 | 1 | 16.4 |
| SC-HDR20-25 | HDR20 | 16 | 48 | 10 | 0.2 | 1 | 1.5 | 5.4 | 0.5 | 1 | 16.4 |
| SC-HDR20-50 | HDR20 | 32 | 32 | 10 | 0.2 | 1 | 1.5 | 5.4 | 0.5 | 1 | 16.4 |
| SC-HDR20-75 | HDR20 | 48 | 16 | 10 | 0.2 | 1 | 1.5 | 5.4 | 0.5 | 1 | 16.4 |
| Control Samples | pH | L* | a* | b* | WI | ΔE | Droplet Size µm |
|---|---|---|---|---|---|---|---|
| SC | 5.42 0.02 b | 80.69 2.46 a | −3.18 0.01 a | 6.74 0.04 a | 79.29 2.31 a | -- | 1.17 0.08 a |
| SC-HDR15-25 | 4.83 0.01 b | 82.13 2.95 ab | −3.70 0.56 a | 11.53 3.00 a | 78.23 2.54 a | 6.52 1.17 a | 1.18 0.35 a |
| SC-HDR15-50 | 4.64 0.01 a | 78.36 3.89 a | −1.60 0.01 a | 5.12 2.01 b | 77.25 3.74 a | 4.70 3.68 b | 1.20 0.17 a |
| SC-HDR15-75 | 4.46 0.01 a | 74.95 0.62 b | −3.28 1.86 a | 5.12 2.01 b | 74.12 0.52 b | 3.57 1.29 b | 1.89 0.45 c |
| SC-HDR20-25 | 5.23 0.02 a | 79.45 5.39 a | −3.46 0.87 a | 8.36 1.46 a | 77.52 5.51 ab | 6.08 2.49 a | 1.31 0.20 b |
| SC-HDR20-50 | 5.01 0.01 ab | 81.83 5.06 a | −2.65 0.03 a | 5.22 0.06 a | 80.87 4.83 a | 2.73 1.38 b | 1.47 0.01 b |
| SC-HDR20-75 | 4.76 0.06 c | 80.44 3.41 a | −0.94 0.57 a | 6.76 1.88 b | 79.14 2.56 ab | 3.68 0.45 b | 1.65 0.20 c |
| Sample Code | k Pa·sn | n | η∞ Pa·s | R2 |
|---|---|---|---|---|
| SC | c | a | d | 0.97 |
| SC-HDR15-25 | a | b | d | 0.99 |
| SC-HDR15-50 | ab | b | b | 0.99 |
| SC-HDR15-75 | d | b | a | 0.99 |
| SC-HDR20-25 | c | a | cd | 0.99 |
| SC-HDR20-50 | ab | b | b | 0.99 |
| SC-HDR20-75 | d | b | a | 0.99 |
| Sample Code | k′ | n′ | R2 | k″ | n″ | R2 | Tanδω=10rad·s−1 |
|---|---|---|---|---|---|---|---|
| SC | 205.35 2.22 c | 0.17 0.00 d | 0.98 | 48.30 0.45 a | 0.18 0.00 b | 0.98 | 0.24 d |
| SC-HDR15-25 | 2425.00 10.03 d | 0.07 0.00 a | 0.98 | ** | ** | ** | 0.12 a |
| SC-HDR15-50 | 3108.11 11.50 e | 0.07 0.00 a | 0.98 | 376.44 5.95 d | 0.11 0.00 a | 0.88 | 0.11 a |
| SC-HDR15-75 | 3215.11 30.75 e | 0.11 0.00 b | 0.95 | 473.52 8.06 e | 0.16 0.00 b | 0.93 | 0.17 c |
| SC-HDR20-25 | 68.94 0.47 a | 0.17 0.00 d | 0.99 | 68.94 0.47 b | 0.17 0.00 b | 0.99 | 0.34 e |
| SC-HDR20-50 | 156.37 1.94 b | 0.15 0.00 c | 0.96 | 156.37 1.94 c | 0.15 0.00 b | 0.96 | 0.15 bc |
| SC-HDR20-75 | ** | ** | ** | ** | ** | ** | 0.17 c |
Disclaimer/Publisher’s Note: The statements, opinions and data contained in all publications are solely those of the individual author(s) and contributor(s) and not of MDPI and/or the editor(s). MDPI and/or the editor(s) disclaim responsibility for any injury to people or property resulting from any ideas, methods, instructions or products referred to in the content. |
© 2023 by the authors. Licensee MDPI, Basel, Switzerland. This article is an open access article distributed under the terms and conditions of the Creative Commons Attribution (CC BY) license (https://creativecommons.org/licenses/by/4.0/).
Share and Cite
Rojas-Martin, L.; Quintana, S.E.; García-Zapateiro, L.A. Physicochemical, Rheological, and Microstructural Properties of Low-Fat Mayonnaise Manufactured with Hydrocolloids from Dioscorea rotundata as a Fat Substitute. Processes 2023, 11, 492. https://doi.org/10.3390/pr11020492
Rojas-Martin L, Quintana SE, García-Zapateiro LA. Physicochemical, Rheological, and Microstructural Properties of Low-Fat Mayonnaise Manufactured with Hydrocolloids from Dioscorea rotundata as a Fat Substitute. Processes. 2023; 11(2):492. https://doi.org/10.3390/pr11020492
Chicago/Turabian StyleRojas-Martin, Leonardo, Somaris E. Quintana, and Luis A. García-Zapateiro. 2023. "Physicochemical, Rheological, and Microstructural Properties of Low-Fat Mayonnaise Manufactured with Hydrocolloids from Dioscorea rotundata as a Fat Substitute" Processes 11, no. 2: 492. https://doi.org/10.3390/pr11020492
APA StyleRojas-Martin, L., Quintana, S. E., & García-Zapateiro, L. A. (2023). Physicochemical, Rheological, and Microstructural Properties of Low-Fat Mayonnaise Manufactured with Hydrocolloids from Dioscorea rotundata as a Fat Substitute. Processes, 11(2), 492. https://doi.org/10.3390/pr11020492

