Abstract
Electrical systems consist of varied components that are used for power distribution, supply, and transfer. During transmission, component failures occur as a result of signal interruptions and peak utilization. Therefore, fault diagnosis should be performed to prevent fluctuations in the power distribution. This article proposes a fluctuation-reducing fault diagnosis method (FRFDM) for use in power distribution networks. The designed method employs fuzzy linear inferences to identify fluctuations in electrical signals that occur due to peak load demand and signal interruptions. The fuzzy process identifies the fluctuations in electrical signals that occur during distribution intervals. The linear relationship between two peak wavelets throughout the intervals are verified across successive distribution phases. In this paper, non-recurrent validation for these fluctuations is considered based on the limits found between the power drop and failure. This modification is used for preventing surge-based faults due to external signals. The inference process hinders the distribution of new devices and re-assigns them based on availability and the peak load experienced. Therefore, the device from which the inference outputs are taken is non-linear, and the frequently employed wavelet transforms are recommended for replacement or diagnosis. This method improves the fault detection process and ensures minimal distribution failures.
1. Introduction
An electric power system is a network that uses electrical components to transfer, supply, and provide electricity. The electric power system provides the necessary electricity to perform numerous tasks in organizations, homes, and industries [1]. However, the network can experience various problems and issues that cause damage to electrical systems. Fluctuation is one of the most common causes of these issues. Fluctuation detection is a complicated endeavor in an electric power system, for which various methods and techniques are used [2]. An adaptive wavelet network (AWN) is frequently used for fluctuation detection. An AWN-based model analyzes the exact features and patterns of the power supply ratio [3]. The identified features then provide the necessary distribution parameters to detect the actual disturbance range in the power system. An automatic target adjustment technique is used in AWN that tests the level of power quality systems involved, based on a hierarchy of priorities [4]. The adjustment technique minimizes the latency and improves the accuracy of the fluctuation detection process. A real-time phasor measurement technique is also used to perform the fluctuation detection process in electric power systems [5]. This measurement technique detects the chaotic swings that cause damage in the power transmission process. The detected chaotic swings then minimize the complexity of the fluctuation detection process and lower its energy consumption level [6].
Electrical signal fluctuation detection is a process that can be used to detect the signals that lack power transmission. Many methods that are used for the signal fluctuation detection process are also used in power distribution systems [7]. A fluctuation–noise method is used for fluctuation detection, wherein a cell diagnosis technique analyzes the cell functions and features [8]. This diagnostic technique also detects the electrical fluctuation of cells and nodes in the distribution system. The fluctuation–noise method maximizes the detection accuracy, improving the power distribution system’s performance and its feasibility range [9]. A genetic algorithm (GA) is used for this part of the detection process. The actual aim of the GA is to detect faults during the power distribution processes. The GA evaluates the positive sequence measurements that have been identified based on the signal fluctuations [10]. The GA predicts the faults and signals, which reduces the emergency ratio in the distribution system. An electrical signal detection method can also be used for signal fluctuation detection [11] in which the laser and sensor levels of the nodes are identified on the basis of the power transmission. Finally, the electrical detection method calculates the temperature and pressure range of the nodes, which increases the accuracy of the fluctuation detection process [12].
Fault detection is a process that is used to identify the faults appearing in an electric power system. A fault detection method that is based on fluctuation is commonly used in power systems, employing fuzzy-logic-based fault detection to identify the issues [13]. In another study, a negative sequence analysis was employed to analyze the exact faults of the motor terminal current. Here, the fuzzy logic algorithm minimizes the latency that appears in the detection process [14]. This fuzzy-logic-based method can achieve a high fault detection accuracy, enhancing the system’s performance [15]. Elsewhere, a neural network (NN)-based fault detection approach was used to analyze fault in power systems. The NN approach uses a multilayer network that provides various functions to detect current faults during transmission [16]. The NN-based approach measures the faults and defects that appear, reducing the tasks’ complexity. A data-driven approach can also be used for the fault detection process. This data-driven approach predicts the positive and negative faults found in power systems [17]. A k-means clustering technique is adopted in this approach, which detects faults based on specified causes and conditions. The data-driven approach also classifies the faults and produces the necessary information for completing further processes [18]. However, an effective fault diagnosis method is required to identify the power interruptions that can manifest in electrical systems.
The current article makes the following contributions to the literature:
- Designing and validating a fuzzy-inference-system-based fault diagnosis method for identifying the interruptions of power distribution seen in electric power systems.
- Designing a wavelet-transform-based fluctuation and surge-classification-cum-detection system for improving the distribution efficiency of electric power systems, regardless of peak utilization.
- Performing a data-based analysis to validate the proposed method’s efficiency compared to the use of electrical systems for power distribution.
2. Analysis of the Literature
Shoaib et al. [19] proposed an observer-based fault detection (FD) scheme for power systems. The proposed FD scheme was mainly intended for use in detecting faults during the distribution and transmission processes. The scheme employed an observer that can identify both linear and non-linear faults in the system and can also identify these faults based on their types and functions. The proposed scheme could increase the robustness and efficiency levels of power systems.
Li et al. [20] designed a synchronized observer-based fault detection approach to address uncertain switching systems. In this approach, a mode estimation unit was used to gather the necessary information from the system. The actual mismatch and any misunderstanding issues were measured based on the estimation unit. The mode estimation unit then reduced the latency and energy consumption level of identification. This approach achieved a high level of fault detection accuracy, enhancing the systems’ performance range.
Han et al. [21] developed a performance-based fault detection (FD) and fault-tolerant control (FTC) method for non-linear systems. The main aim of the developed method was to estimate the faults and tolerances found in non-linear systems. This method also detected the system’s performance quality and stability level, which minimized the complexity of the computation process. The experimental results show that the developed FD method could improve the power system’s feasibility and reliability levels.
Xu et al. [22] introduced a power quality (PQ) detection method for active distribution networks (ADN). An improved empirical wavelet transform (IEWT) was implemented in this method to detect the disturbance signals from the ADN. A multi-scale fluctuation dispersion entropy (MFDE) technique could also be used to identify the initial signals of the systems. The proposed method increased the accuracy of the PQ classification process.
Ye et al. [23] proposed an integrated short-term wind power forecasting method. The fluctuation clustering technique that was put forward identified the time series and segments. The identified segments then produced the necessary data for fault detection and for the power quality detection process. The proposed method could also detect the exact cause of the fluctuations, reducing the forecasting process’s latency. The proposed method could maximize the performance and robustness level of the forecasting systems.
Imani et al. [24] developed a maximum overlap discrete wavelet transform (MODWT)-based fault detection and classification approach for power systems. The main goal of the proposed approach was to identify the faults that occurred during the data transmission process. The actual sudden load variation and disturbance were detected using MODWT. Compared with other approaches, the developed approach could increase the effectiveness ratio of power distribution systems.
Zhang et al. [25] proposed an active detection method for fault diagnosis in low-voltage direct-current (LVDC) systems. The proposed method detected the exact location and direction of the faults that are present in LVDC systems. In this method, a converter was used to analyze the low-voltage signals and functions of the nodes in the system. The converter would minimize resource and energy consumption in the context of fault detection and diagnostic processes. The proposed detection method achieved a high accuracy in terms of fault detection and enhanced the performance level of LVDC systems.
Elmasry et al. [26] designed an ensemble deep learning approach (EDLA) for an electrical fault detection system (EFDS). The proposed approach works by training the datasets, which contain important information for the detection process. The designed system increased the accuracy of fault detection using the DL algorithm. A random forest (RF) algorithm was used to inform the EFDS. The experimental results show that the designed EDLA-EFDS could improve the effectiveness and robustness of the network.
Meng et al. [27] introduced a multi-branch arc fault detection method that used the ICEEMDAN algorithm for power systems. A light GBM algorithm was used to reduce the time and feature dimensions in the detection process. The arc signals used here produced optimal information for prediction. The arc signal decreased the latency seen in the identification process. The suggested method maximized the accuracy of the disturbance fault detection process.
Laib DitLeksir et al. [28] proposed a support vector machine (SVM) and artificial neural network (ANN)-based fault detection method for power systems. A segmentation technique was used to separate the variables and nodes according to various features. The SVM-based method verified the detection process’s exact values and key factors. The proposed method increased the accuracy of both the detection and segmentation processes.
Elmasry et al. [29] introduced an enhanced anomaly-based fault detection method for electric power grids. Real-time data were used in the method to provide optimal data for fault detection. The signal filtering technique was used here to filter the signals according to their characteristics and functions. The introduced method would mostly be used for data processing and pre-training processes and could improve the performance range in the fault detection process.
Xu et al. [30] designed an inter-turn short-circuit fault detection approach for inverter-fed permanent magnet synchronous machine (PMSM) systems. Both low- and high-voltage circuit ratios were identified to evaluate the fault severity range. The severity range then provided relevant data for the fault diagnosis process. The designed detection approach could enhance the efficiency and robustness of PMSM systems.
Lee et al. [31] developed a low-voltage direct current (LVDC) system fault detection method. The main goal of the proposed method was to detect faults that occur during the transmission process. The microgrid presented in the system was identified and was found to contain the necessary data for the computation process. The developed method achieved a high fault detection accuracy, reducing the complexity of LVDC systems.
Power distribution systems can experience surges as a result of load utilization and unpredictable device failures. The above methods employed current utilization metrics to determine the variations between the systems’ fluctuations and drops. The voltage and power variations were identified using post-utilization data, from which new assignments were performed. In this context, the data requirement is essential for preventing further losses in transmission. Therefore, wavelet- and electrical-signal-based assessments are required for fault detection so that the new distributions are overloaded. This specific issue is addressed by the method proposed in the current article, which works by defining the optimal schedules across validation, power acquirement, and distribution so that the fluctuations are distinguishable.
3. Fluctuation-Reducing Fault Diagnosis Method
The data published in [32] provide information on transformer maintenance through inspections performed at the Cauca department, Colombia, in 2019 and 2020. An operating network with 13.2 kV and 34.5 kV distributing powers for 15 K users in the region was analyzed for validation. The distribution uses 28 inline transformers and 12 stand-by transformers over 24 h. The faults, which are based on the problems of power surges, fluctuations, and drops, are analyzed regarding their distribution in terms of two discharge factors. The replacement recommendations are set for a scenario wherein the peak utilization is computed as and the value is higher than the available inline transformers. This analysis only considers the power used by a residential user for 24 continuous hours per day.
An electrical system comprises all the characteristics that are required to accomplish the delivery of electrical power, using a network composed of overhead and underground lines, flagpoles, electrical generators, and other necessary facilities. An electrical signal is used to pass on information or voltage while determining the level of fluctuations. Fault diagnosis is used to ascertain where the fault occurred and what the fault was, simply by estimating the main source of the out-of-control consequences. Fault diagnosis development involves elucidating the existing consequences of the transmission, given the sensor readings and development knowledge. Fault diagnosis is generally used for the prevention of fluctuations in transmission. In an automated fault determination and diagnosis procedure, a fault in the facility’s operation is encountered, after which the fault’s point of origin must be identified. Fuzzy inference articulates the drafting process from a given input to the output, using fuzzy logic to enhance the fault detection operation. A surge in the transmission will either be of high or low voltage and manifests as a transient wave of current, voltage, or power in an electrical system. For power systems in particular, the input is designed for this specific purpose, laying a groundwork from which decisions can be made or exemplars can be distinguished. This article proposes a fluctuation-reducing fault diagnosis method (FRFDM) for power distribution networks. Figure 1 illustrates the proposed method’s function within a power transmission system.
Figure 1.
The proposed method’s function.
The proposed method is illustrated in Figure 1 above. The power system comprises a multitude of transmission lines for distribution. This distribution is prone to fluctuations in electrical signals due to long-distance lines, interference, and voltage drops. The proposed interference system identifies these fluctuations using the wavelet transform function. The identified fluctuations are used for identifying faults across multiple wavelet transforms. A power distribution system operates at the dissemination terminals. It comprises the lines, poles, transformers, and other apparatuses that are required to transfer electric power to the transmission lines at the required voltage. Wavelet transform is a powerful signal processing tool that transmutes a time domain waveform into a time recurrence domain, determining the signal in the time and frequency domains recurrently. This wavelet transform technique is vitally important in electric power system investigations. The crowning achievement of the wavelet transform is a new enhanced basis function that can be intensified or condensed to ensure that both the low-frequency and high-frequency constituents of the signal are present.
The power system distributes the electricity to the transmission lines, and then the electrical signals are confirmed to determine the fluctuations. The fuzzy inference system helps to identify the fluctuations between the peak loads that are seen in the wavelet transforms and then identifies the faults in the process. The fuzzy system helps to control the electrical signal fluctuations during the different power distribution intervals. These fluctuations occur due to the overloading of the device and the subsequent peak load distribution. These fluctuations cause device failure or create uncontrollable devices. The fluctuations are directed between the two successive wavelet patterns. In addition, a surge in the transmission line can occur, which is caused by either a power fall or a power drop in the lines.
It is at this point that the fuzzy inference system helps to choose the highest power fall and diagnose it. If a device fails or falls, the device must be replaced with a new one via efficacious fault detection and diagnosis methods. The validation between the power and device failures based on the limit must be considered. These calculations are made to prevent the surges that occur in external signals. The fuzzy inference system’s outputs are recurrently estimated to ensure that a device is replaced if there is a failure or if the device falls. The power is distributed equally to the transmission lines for further fault detection and diagnosis. This is performed to ensure the efficient transformation of the power and to supply that power at precise voltages without any issues. During power distribution from the power systems, fluctuations may exist due to power overload to the transmission lines. This power overload and device overload may cause fluctuations during the power distribution procedures. If this occurs, the fuzzy inference system helps to determine the fluctuations in the wavelet transform with the help of fuzzy logic.
The process of providing power to the transmission lines to determine the electrical signals can be explained using Equation (1) as follows:
where denotes the power systems, and denotes the power distribution operation. The fluctuation occurs while the power is distributed to the transmission lines as a result of device overload and failures. The power is distributed to the transmission lines and the electrical signals are identified; then, further processing takes place using the fuzzy inference system. This processing helps to determine the fluctuations from the successive wavelet transforms, and efficiently diagnoses the problem. The process of distributing the power from the power system to the transmission lines can be explained using Equation (2) as follows:
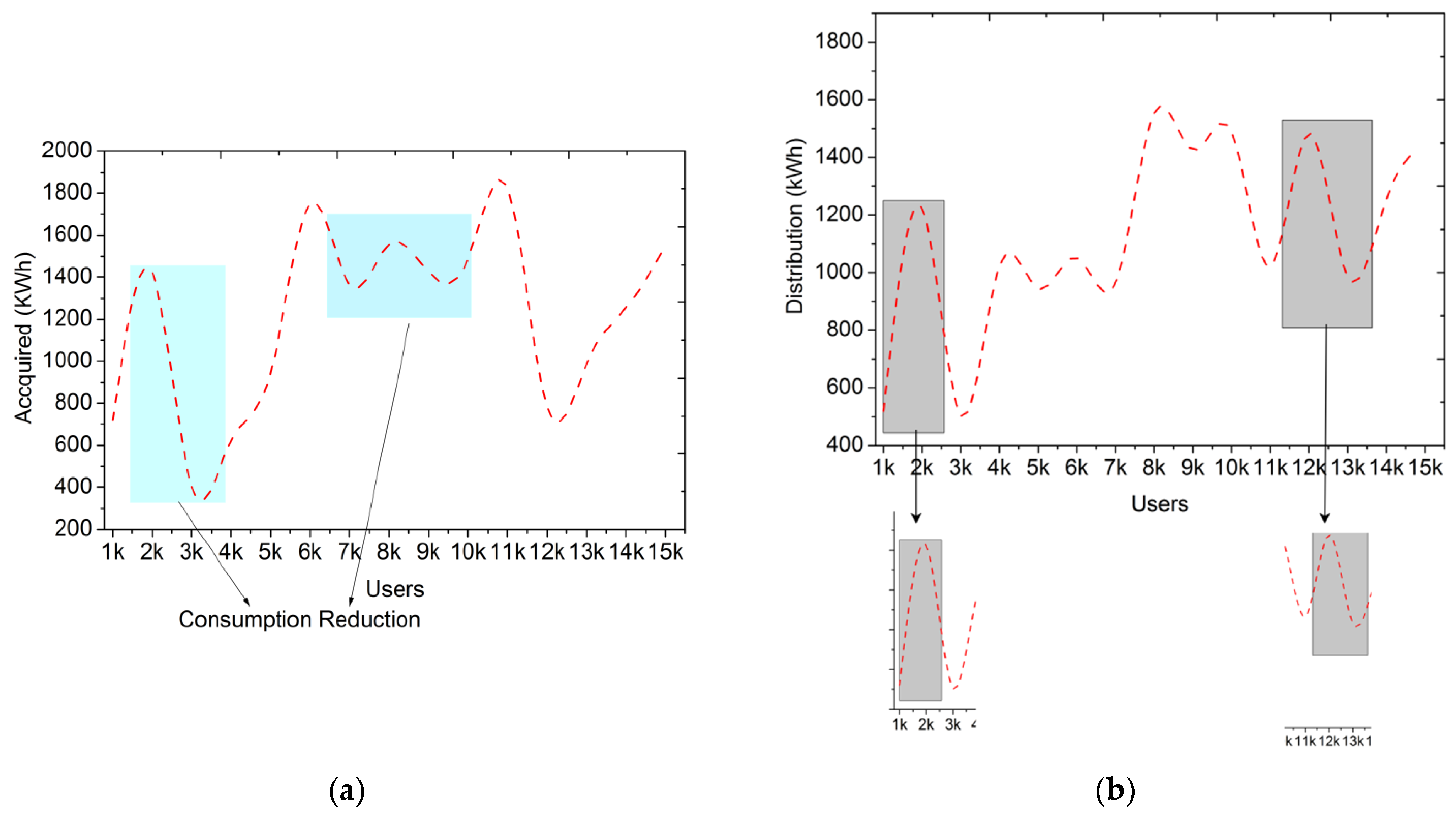
where denotes the power-acquired transmission lines, where the power is further processed, and then the electrical signals are extracted from the transmission line, which holds the time intervals for each device. These electrical signals determine the time that is taken for power distribution from the power system to the transmission lines. The power acquired for transmission in 2020, along with the distribution rate, are presented in Figure 2.
Figure 2.
Graphical analysis of (a) the power acquired and (b) the power that is distributed.
Using this dataset, the acquired KWh for 15 K users is presented in Figure 2. The reduced consumption is highlighted in the acquired graphs and the surge can be detected from the distribution intervals. The difference between is used for identifying the surges and fluctuations. A further analysis is then performed using the above data for the wavelet, fluctuation, and FIS calculations. The time taken for transferring the power to each device is estimated for further fuzzy inference system procedures. Based on the power distribution to the transmission lines, the electrical signals are used to estimate the time intervals used in the fluctuation determination procedure. The process of electrical signals can be explained using Equation (3), as follows:
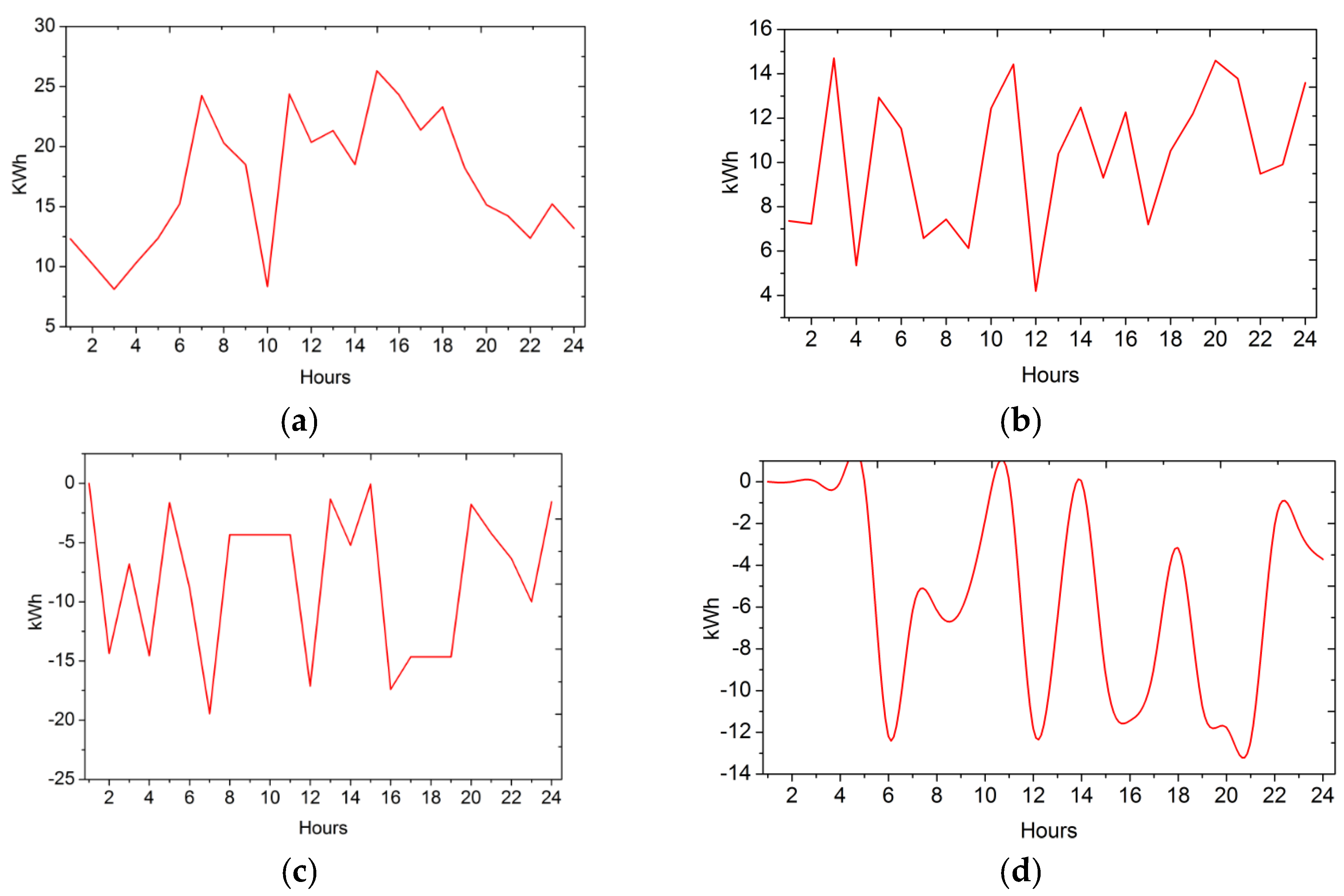
where represents the electrical signals of the transmission lines. Each device’s power handling time intervals are identified; then, this information is passed on to the fuzzy inference system, which is helpful in future procedures. The electrical signal transmission is split due to the consistent and fluctuating distributions from the given data and is illustrated in Figure 3.
Figure 3.
Signal transmission in consistent (a,b) and fluctuating distributions (c).
In the above representation (Figure 3), indicates the fluctuations for 24 h in the same location, marked as 0 in the dataset. The location is marked as 0 or 1 to denote the same location or a different location, as introduced in the dataset, and is subsequently computed. Based on the available distribution intervals (other than those already acquired), the independent and cumulative representation’s is presented. The microscopic signal variations from the individual time intervals are analyzed using FIS and its corresponding transform for fault detection. The prime classification requirement regards the fluctuation drop (in ), whereby an abrupt surge reduces the power distribution. This also transforms the voltage to the transmission lines and the wavelet transform. The process of determining the time intervals of the power-handling process in the electrical signals can be explained using Equation (4) as follows:
where denotes the time intervals of each device. These characteristics are given as the inputs to the fuzzy inference system for determining the fluctuations in the two successive wavelet transforms. This procedure also determines the fluctuations in the electrical signals during power distribution from the power systems to the transmission lines. These fluctuations are determined when the device is overloaded and the peak load of the power to the devices is present. The transform function is utilized to identify the fluctuations between the two wavelet exemplars. The fluctuations are determined at different intervals, and the fuzzy inference system helps to prevent these fluctuations. Fuzzy inference systems also help to determine the maximum power fall after power distribution to the transmission lines. This transform is also used for detecting the time-frequency of the fluctuations; it then finds ways to prevent the transformations’ oscillations. The time intervals are identified according to the quantity of the power distribution to the transmission lines, which is useful for the fuzzy inference system process. The process of using wavelet transforms to determine the fluctuations can be explained using Equation (5) as follows:
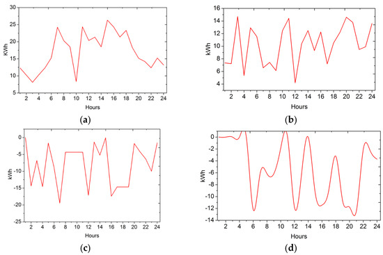
where denotes the operation of the wavelet transform, and the spaciousness between the two peak wavelets is determined using the fuzzy inference system. Thus, its use helps to prevent fluctuations during the transformation of the power process. The wavelet representations before and after the FIS process is correlated with the distribution are depicted in Figure 4.
Figure 4.
Wavelet representations before (a,b) and after FIS (c,d).
The wavelet representations before and after FIS for fluctuation suppression are presented in Figure 4. The surge is determined based on the suppression of the positive and negative parts. A deficiency is observed if the fluctuation is positive, whereas the negative side of the graph represents the need for further power acquisition to handle new distributions. This reduces the number of failures in power distribution by augmenting and appropriately. The handling time of the power distribution is estimated via the electrical signals; thus, it helps to determine the fluctuations in the signals. These fluctuations are helpful to ensure that replacements occur after the detection of faulty and uncontrollable devices. Wavelet transform also helps to detect the fault as well as its diagnosis. The process of determining the spaciousness using wavelet transform can be explained using Equation (6) as follows:
where represents the two successive wavelet transforms; subsequently, the fluctuations between the two peak wavelet transforms in the recurrent time intervals are determined. The electrical signals simultaneously identify the fluctuations for the related time intervals. This can cause a failure in the device, or the device can become uncontrollable. In this case, a surge may occur, which is caused by the sudden power fall of the transmission lines, leading to device failures. The fuzzy inference system helps to detect the maximum surge level and then helps to diagnose it. The fluctuations occurred between the two wavelet transforms, and the fault detection process occurred after identifying these fluctuations. The electrical signal handles the power distribution time interval, which helps to detect the fault and the fault diagnosis procedure. The fuzzy inference system functions are portrayed in Figure 5.
Figure 5.
Illustration of the FIS functions.
The FIS relies on successive intervals, for fuzzification using in combination. The surge in the successive intervals of and the resultant are jointly and independently validated. This is required in order to extract the FIS output, which is an intermediate of the surge and wavelet. Depending on the fluctuations, , the to and values are extracted cyclically. The identification updates comprise combinations. Additionally, the representation for the next consecutive interval is extracted from the previous , such that is the extracted output (Figure 5). A fuzzy inference system aids in detecting the fluctuation between the wavelet transforms, which are still functioning successfully. The process of estimating the fluctuations between the peak loads of the wavelet transforms can be explained using Equation (7) as follows:
where denotes the fluctuations between the wavelet transforms, and denotes the recurrent time intervals. The expanse between two peak wavelets throughout the interval is determined to be between the consecutive power distribution levels. The logical “AND” and “OR” operators are represented as and in the above equation. These operators are used for identifying the fluctuations across the fuzzification processes. The non-simultaneous corroboration of fluctuation depends on the electrical signal time limit between the power fall and device failure. This calculation is used to counter the surge and prevent device failures due to extraneous signals. The fuzzy inference system processes works by detecting the fault, estimating the power distribution, and replacing new devices after the device fails, depending on the power connections and peak load experienced. The process of determining a surge during the detection of fluctuations in two successive wavelet transforms can be explained using Equation (8) as follows:
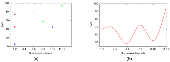
where denotes the surge in the fluctuations; after determining the fluctuation, the fault detection process takes place by collating all of the knowledge obtained from the previous processes. The fluctuation determination process helps to diagnose the device failures and the power downfall in the device during power distribution to the transmission lines. The values for that are observed between the successive intervals are then analyzed, as shown in Figure 6.
Figure 6.
B Analysis between the successive intervals: (a) a surge of fluctuation intervals and (b) mapping the same interval.
The and for six intervals in 24 h of power distribution are analyzed in Figure 6. The is identified in for the fuzzification process, followed by at the same intervals. This is required to prevent a particular surge from causing failure across any distribution instance. Regardless of the power consumption, the devices in the distribution and validation phases converge to identify the faults in. The two successive wavelet transforms are assessed to determine the specific fluctuations, device failures, and uncontrollable devices. These fluctuations have been determined between the peak wavelet transforms and the recurrent validation of the time intervals, which helps in the fault detection process. Based on this finding, the fault diagnosis process uses the fuzzy inference system. The process of fault detection based on the outcome of the fluctuation detection process can be explained using Equations (9) and (10) as follows:
where denotes the fault detection process, and represents the outcome of the fuzzy inference system procedures. At this point, the fault diagnosis process occurs through the precise distribution of the power and the re-assigning of the new device. Device replacement occurs when the device is overloaded and when the peak power distribution has occurred. In that situation, the fault diagnosis process takes place with the help of the fuzzy inference system, replacing the failed devices with the most appropriate new devices. The fault detection ratio, which is based on fluctuations and the drop to failure, is analyzed in Figure 7.
Figure 7.
Fault detection based on (a) fluctuations and (b) drop to failure.
The faults in and in to are identified across the varying hours to prevent failures. The devices in the above observations at any interval are then highlighted for replacement. The drops are suppressed if the fluctuation is rectified, and the distribution is thereby streamlined. The same device is then used for further power acquisition and distribution without replacement. Based on the signal wavelets and the and forming the FIS operation, , further distributions are performed (see Figure 7). The process of assigning the new devices to replace the failed devices can be explained using Equations (11) and (12) as follows:
where denotes the failed devices or the uncontrolled devices, and represents the new devices, which are replaced by the fuzzy inference system. Hence, this also prevents power distribution failures while transforming the voltages to the transmission lines. The process of eliminating distribution failure can be explained using Equation (13) as follows:
where represents the prevention of power distribution failure during the process. This method helps to enhance the fault detection process and eliminate power distribution failures. In addition, this method helps in the recurrent observation of the inference outputs for further fault detection processes. The fluctuations are observed between the two peak wavelet transforms during the different time intervals of the power distribution in the electrical signals. Figure 8 presents an analysis of based on the and values between the successive wavelet representations.
Figure 8.
G analysis based on and; (a) i analysis and (b) B analysis.
is selected from 40 transformers that were used in the dataset and faces both and . These junctures need not be the same since the FIS optimizes the preventing by using power distributions. The distributions are handled using allied transformers or via rotational power acquisition. These cases are considered in the FIS as a way to prevent new assignments/replacements. Therefore, in sequential wavelet transforms, peak utilization is suppressed by differentiating the FIS inputs and
4. Discussion
A comparative analysis is presented in this section using fault detection, fluctuation detection, replacement recommendation, distribution failure, and detection time. In this comparative analysis, the distribution levels and fluctuation drop-down vary between 24 and 1, respectively. This study uses a power system computer-aided design (PSCAS) simulation tool for implementation. The simulation tool comprises a generator, a transmission line, transforms, and the remaining components. These components and features are widely applied when developing fault detection systems. For effective analysis, the EDLA-EFDS [26], EABM [29], and MODWT [24] methods are considered, as discussed earlier in the analysis of the literature, along with the proposed method.
4.1. Fault Detection
Fault detection is achieved in this paper by using a fuzzy inference system, with the help of the wavelet transform. The fault detection process is achieved by considering all the knowledge obtained from the previous processes. The fluctuation determination process helps to diagnose the device failures and the power downfall recorded in the device during the distribution of power to the transmission lines. With the aid of the electrical signal outcome, the time intervals are estimated as a way to detect faults in the procedures. The two successive wavelet transforms are assessed in order to determine the fluctuations, device failures, and uncontrollable devices. The fluctuations are determined between the peak wavelet transforms and the recurrent validation of the time intervals, which helps in the fault detection process. Fault detection is estimated using the inference system’s outcome, and then the recurrent interval timing is extracted from the transmission lines. Fault detection is successfully achieved via this approach, and the device replacement is performed properly (see Figure 9).
Figure 9.
Fault detection comparisons: (a) distribution interval and (b) fluctuation drop.
4.2. Fluctuation Identification
The identification of the fluctuations is easier to achieve using this method, through the use of wavelet transforms. The fluctuation between the two successive wavelet transforms can be detected, and the outcome of its analysis helps to determine the faults. The expanse between two peak wavelets throughout the interval can be determined between consecutive power distribution levels. The non-simultaneous corroboration of fluctuation depends on the electrical signal time limit between the power fall and when device failure is likely. At this point, a surge may occur, manifesting in the sudden power fall of the transmission lines, and leading to device failures. The fuzzy inference system helps to detect the maximum surge and then helps to diagnose the problem. The fluctuations occur between the two wavelet transforms, and the fault detection process occurs after these fluctuations are identified. The surge also occurs during the fluctuation, while the wavelet transform helps to establish the level of fluctuation in the process. Through the inference outcome, fluctuation identification can be achieved (Figure 10).
Figure 10.
Fluctuation identification comparisons: (a) distribution interval and (b) fluctuation drop.
4.3. Replacement Recommendation
The recommendations for device replacement are reduced by enhancing the power distribution in the transmission lines. Device replacement occurs when the device is overloaded and when peak power distribution occurs. If a device fails or falls, that device must be replaced with a new one, which is decided via efficacious fault detection and diagnosis methods. The validation between the power and device failures, based on the set limit, must be considered. In that situation, the fault diagnosis process takes place with the help of the fuzzy inference system, thereby replacing the failed devices with new functioning devices. However, through effective power distribution in the lines, device failures can be controlled, and the number of replacement devices that are needed is reduced. Replacement of the devices is less common with the precise transformation of the voltage, lessening device overload and preventing uncontrollable devices. The efficaciousness of the fuzzy inference system helps in the precise production of power distribution to the transmission line, which helps to avoid the need for device replacements (Figure 11).
Figure 11.
Replacement recommendation comparisons: (a) distribution interval and (b) fluctuation drop.
4.4. Distribution Failure
The distribution failure in the proposed method is less common from the power system to the transmission lines as a result of employing the correct amount of power. The power is distributed to the transmission lines, the electrical signals are identified, and further processing takes place using the fuzzy inference system. This procedure helps to determine the fluctuations using the successive wavelet transforms and helpts to diagnose them effectively. These electrical signals determine the time taken for power distribution from the power system to the transmission lines. The time taken to handle the power transferred to each device is estimated for further fuzzy inference system procedures. Based on the power distribution to the transmission lines, the electrical signals estimate the time intervals that are used for the fluctuation determination procedure. In light of all the characteristics mentioned above, the distribution failure is minimized, and fault detection is enhanced (Figure 12).
Figure 12.
Distribution failure comparisons: (a) distribution interval and (b) fluctuation drop.
4.5. Detection Time
The time taken for detection is less in this method with the use of the fuzzy inference system, and these outcomes can be used to detect the fault effectively. The system detects fluctuations while distributing the power to the transmission line. The fluctuations cause an overload of the device, leading to failure. The fluctuations are detected between the two successive wavelet transforms and then the surges in the fluctuations are also determined. The system elucidates the reasons behind the sudden downfall of power in the transmission lines. The fuzzy inference system also determines the maximum power fall from the procedure. The fuzzy inference system helps to detect the maximum surge and then helps to diagnose the cause; it also detects the fault within the process and helps to eliminate power distribution failure. After fault detection, the system assists in the replacement process. That is, the failed device is replaced with the correct device. By employing the features mentioned above, the inference system enables efficacious detection within a shorter period (Figure 13).
Figure 13.
Detection time comparisons: (a) distribution interval and (b) fluctuation drop.
5. Conclusions
This research paper introduces the fluctuation-reducing fault diagnosis method for improving the distribution efficiency of electric power systems. The proposed method exploits the fuzzy inference system for identifying surges and drops in power, thereby preventing distribution failures. First, the fluctuations in peak power distribution are identified using electrical signal spikes via wavelet transform. The identified spikes between two successive intervals and wavelets are distinguished by their drop. If a drop is observed from the surge due to fluctuation, non-recurrent fault validations are performed. In this validation system, the wavelet operations for device failures are estimated using inference outputs to prevent new errors. The failure is computed using the previous distribution intervals by considering the variations between the power that is acquired and the power that is distributed. Such computations are used for leveraging the actual fault detection in a way that is different from the fluctuations during any surge. The comparative analysis shows that the proposed method achieved 10.38% greater fault detection, 13.11% fewer replacement recommendations, and 13.1% fewer distribution failures during the different test intervals. In future studies, a transfer learning and neural network model will be incorporated into the wavelet transform model to improve the fault diagnosis process when handling complex power distribution. Table 1 shows the variables and descriptions of proposed method.
Table 1.
Variables and descriptions.
Author Contributions
Formal analysis, G.L.; Writing—original draft, Y.Z.; Writing—review & editing, G.H. All authors have read and agreed to the published version of the manuscript.
Funding
This research received no external funding.
Data Availability Statement
The data presented in this study are available on request from the corresponding author.
Conflicts of Interest
The authors declare no conflict of interest.
References
- Zhang, S.; Xiang, Y.; Liu, J.; Liu, J.; Yang, J.; Zhao, X.; Jawad, S.; Wang, J. A regulating capacity determination method for pumped storage hydropower to restrain PV generation fluctuations. CSEE J. Power Energy Syst. 2020, 8, 304–316. [Google Scholar]
- Xu, J.; Fu, H.; Liao, S.; Xie, B.; Ke, D.; Sun, Y.; Li, X.; Peng, X. Demand-side management based on model predictive control in the distribution network for smoothing distributed photovoltaic power fluctuations. J. Mod. Power Syst. Clean Energy 2022, 10, 1326–1336. [Google Scholar] [CrossRef]
- Zhang, D.; Chen, Y.; Wang, L.; Liu, J.; Yuan, R.; Wu, J.; Zhang, Y.; Li, M. Control strategy and optimal configuration of energy storage system for smoothing short-term fluctuation of PV power. Sustain. Energy Technol. Assess. 2021, 45, 101166. [Google Scholar] [CrossRef]
- Goh, S.M.; Kow, K.W.; Tan, M.; Rajkumar, R.; Wong, Y.W. Hardware implementation of an active learning self-organizing neural network to predict the power fluctuation events of a photovoltaic grid-tied system. Microprocess. Microsyst. 2022, 90, 104448. [Google Scholar] [CrossRef]
- Kuwalek, P.; Jesko, W. Recreation of voltage fluctuation using basic parameters measured in the power grid. J. Electr. Eng. Technol. 2020, 15, 601–609. [Google Scholar] [CrossRef]
- Lin, H.; Song, W. Suppression of DC-link voltage fluctuation in the motor drive system with reduced capacitance. J. Electr. Eng. Technol. 2021, 16, 2611–2620. [Google Scholar] [CrossRef]
- Liang, H.; Li, H.; Wang, G. A single-phase-to-ground fault detection method based on the ratio fluctuation coefficient of the zero-sequence current and voltage differential in a distribution network. IEEE Access 2023, 11, 7297–7308. [Google Scholar] [CrossRef]
- Ayambire, P.N.; Qi, H.; Anane, P.O.K.; Awopone, A.K.; Jian, L.; Bamisile, O. An improved fault detection method for overhead transmission lines based on differential tunnel magnetoresistive sensor array approach. IEEE Can. J. Electr. Comput. Eng. 2022, 45, 409–417. [Google Scholar] [CrossRef]
- Dang, H.L.; Kim, J.; Kwak, S.; Choi, S. Series DC arc fault detection using machine learning algorithms. IEEE Access 2021, 9, 133346–133364. [Google Scholar] [CrossRef]
- Ferracuti, F.; Schweitzer, P.; Monteriu, A. Arc fault detection and appliances classification in AC home electrical networks using recurrence quantification plots and image analysis. Electr. Power Syst. Res. 2021, 201, 107503. [Google Scholar] [CrossRef]
- Bebars, A.D.; Eladl, A.A.; Abdulsalam, G.M.; Badran, E.A. Internal electrical fault detection techniques in DFIG-based wind turbines: A review. Prot. Control Mod. Power Syst. 2022, 7, 18. [Google Scholar]
- Wong, S.Y.; Choe, C.W.C.; Goh, H.H.; Low, Y.W.; Cheah, D.Y.S.; Pang, C. Power transmission line fault detection and diagnosis based on artificial intelligence approach and its development in uav: A review. Arab. J. Sci. Eng. 2021, 46, 9305–9331. [Google Scholar]
- LiRen, C.X.; Ma, X.; Chen, F.; Yang, Z.; Panchal, S. Simulation and inspection of fault arc in building energy-saving distribution system. Int. J. Syst. Assur. Eng. Manag. 2022, 13, 331–339. [Google Scholar]
- Zhou, G.; Han, M.; Filizadeh, S.; Geng, Z.; Zhang, X. A fault detection scheme in MTDC systems using a superconducting fault current limiter. IEEE Syst. J. 2021, 16, 3867–3877. [Google Scholar]
- Liu, Z.; Chen, H.; Hu, Z.; Li, Y.; Wu, X.; Peng, H. Fault Detection System for 500 kV AC fault current limiter based on high-coupled split reactor. IEEE Trans. Appl. Supercond. 2021, 31, 5604107. [Google Scholar]
- Sun, Y.; Pei, W.; Jia, D.; Zhang, G.; Wang, H.; Zhao, L.; Feng, Z. Application of integrated energy storage system in wind power fluctuation mitigation. J. Energy Storage 2020, 32, 101835. [Google Scholar]
- Zhang, S. Fault detection during power system out-of-step oscillation using frequency difference sudden-change of voltage and current at a single terminal bus and a novel setting-free distance protection unlocking scheme. Heliyon 2023, 9, e14286. [Google Scholar]
- Tang, X.; Li, Z.; He, Y.; Wang, L.; Yue, Y.; Wang, W. DC-side admittance model of converters with constant power control considering DC-side voltage fluctuation. J. Power Electron. 2023, 23, 219–229. [Google Scholar]
- Shoaib, M.A.; Khan, A.Q.; Mustafa, G.; Gul, S.T.; Khan, O.; Khan, A.S. A framework for observer-based robust fault detection in non-linear systems with application to synchronous generators in power systems. IEEE Trans. Power Syst. 2021, 37, 1044–1053. [Google Scholar]
- Li, L.; Ding, S.X.; Na, Y.; Qiu, J. An asynchronized observer based fault detection approach for uncertain switching systems with mode estimation. IEEE Trans. Circuits Syst. II Express Briefs 2021, 69, 514–518. [Google Scholar]
- Han, H.; Yang, Y.; Li, L.; Ding, S.X. Performance-based fault detection and fault-tolerant control for non-linear systems with T–S fuzzy implementation. IEEE Trans. Cybern. 2019, 51, 801–814. [Google Scholar]
- Xu, Y.; Fan, S.; Xie, S.; Lu, M. Power quality dectection and classification in active distribution networks based on improved empiricial wavelet transform and disperson entropy. CSEE J. Power Energy Syst. 2020, 8, 1646–1658. [Google Scholar]
- Ye, L.; Li, Y.; Pei, M.; Zhao, Y.; Li, Z.; Lu, P. A novel integrated method for short-term wind power forecasting based on fluctuation clustering and history matching. Appl. Energy 2022, 327, 120131. [Google Scholar]
- Imani, A.; Moravej, Z.; Pazoki, M. A novel MODWT-based fault detection and classification scheme in VSC-HVDC transmission line. Electr. Power Syst. Res. 2023, 221, 109434. [Google Scholar]
- Zhang, C.; Wang, H.; Wang, Z.; Li, Y. Active detection fault diagnosis and fault location technology for LVDC distribution networks. Int. J. Electr. Power Energy Syst. 2023, 148, 108921. [Google Scholar]
- Elmasry, W.; Wadi, M. Edla-efds: A novel ensemble deep learning approach for electrical fault detection systems. Electr. Power Syst. Res. 2022, 207, 107834. [Google Scholar]
- Meng, Y.; Yang, Q.; Chen, S.; Wang, Q.; Li, X. Multi-branch AC arc fault detection based on ICEEMDAN and LightGBM algorithm. Electr. Power Syst. Res. 2023, 220, 109286. [Google Scholar]
- Laib DitLeksir, Y.; Guerfi, K.; Amouri, A.; Moussaoui, A. Detection of Electrical Fault in Medium Voltage Installation Using Support Vector Machine and Artificial Neural Network. Russ. J. Nondestruct. Test. 2022, 58, 176–185. [Google Scholar]
- Elmasry, W.; Wadi, M. Detection of faults in electrical power grids using an enhanced anomaly-based method. Arab. J. Sci. Eng. 2022, 47, 14899–14914. [Google Scholar]
- Xu, Z.; Zhang, J.; Din, Z.; Wu, Y.; Cheng, M. Inter-turn short-circuit fault detection with high-frequency signal injection for inverter-fed PMSM systems. J. Power Electron. 2023, 23, 892–903. [Google Scholar]
- Lee, K.M.; Park, C.W. New fault detection method for low voltage dc microgrid with renewable energy sources. J. Electr. Eng. Technol. 2022, 17, 2151–2159. [Google Scholar]
- Available online: https://data.mendeley.com/datasets/yzyj46xpmy/4 (accessed on 13 December 2022).
Disclaimer/Publisher’s Note: The statements, opinions and data contained in all publications are solely those of the individual author(s) and contributor(s) and not of MDPI and/or the editor(s). MDPI and/or the editor(s) disclaim responsibility for any injury to people or property resulting from any ideas, methods, instructions or products referred to in the content. |
© 2023 by the authors. Licensee MDPI, Basel, Switzerland. This article is an open access article distributed under the terms and conditions of the Creative Commons Attribution (CC BY) license (https://creativecommons.org/licenses/by/4.0/).












