Natural Deep Eutectic Solvent Optimization to Obtain an Extract Rich in Polyphenols from Capsicum chinense Leaves Using an Ultrasonic Probe
Abstract
1. Introduction
2. Materials and Methods
2.1. Raw Material
2.2. Habanero Pepper Drying Leaf Process
2.3. Preparation of Natural Deep Eutectic Solvents
2.4. Experimental Design for a Natural Deep Eutectic Solvent Composition Improvement
Sonic Probe and Bath-Assisted Extraction of Phenolic Compounds from Habanero Pepper Leaves
2.5. Total Polyphenol Content Evaluation in Habanero Pepper Leaf Extract
2.6. Determination and Identification of Phenolic Compounds in Habanero Pepper Leaf Extracts
2.7. Evaluation of the Antioxidant Capacity of Habanero Pepper Leaf Extract
2.8. Vitamin C Identification and Quantification in Habanero Pepper Leaf Extracts
2.9. Statistical Analysis
3. Results
3.1. Total Polyphenol Content and Antioxidant Capacity of the Habanero Pepper Leaf Extract
3.1.1. Linear and Quadratic Model Analysis of Total Polyphenol Content and Antioxidant Capacity from Habanero Pepper Leaf Extract
3.1.2. Model Validation for Total Polyphenol Content and Antioxidant Capacity
3.2. Individual Polyphenols of the Habanero Pepper Leaf Extract
3.2.1. Modelling of Individual Polyphenols from Habanero Pepper Leaf Extract
3.2.2. Model Validation for Individual Polyphenols from Habanero Pepper Leaf Extract
3.3. Modelling of Vitamin C from Habanero Pepper Leaf Extract
Modelling of Vitamin C from Habanero Pepper Leaf Extract
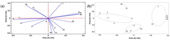
3.4. Principal Component Analysis (PCA)
4. Discussion
5. Conclusions
Supplementary Materials
Author Contributions
Funding
Data Availability Statement
Conflicts of Interest
References
- Oney-Montalo, J.; López-Domínguez, C.; Zamacona-Ruiz, M.; Gómez-Rincón, E.; Ramíre-Sucrez, M.; Rodríguez-Buenfil, I. Metabolitos presentes en Capsicum chinense en dos estados de maduración cultivados en diferentes tipos de suelos de Yucatán, México. Bionatura 2018, 1, 1–13. [Google Scholar] [CrossRef]
- Zamancona-Ruiz, M.; Ramírez-Sucre, M.; Rodríguez-Buenfil, I. Comparación de dos Métodos de Extracción y Secado para la Cuantificación de Carotenoides en Chile Habanero. Rev. Cent. Grad. Investig. 2018, 33, 74. [Google Scholar]
- Aviles-Baeza, W.I.; Lozano-Contreras, M.G.; Ramírez-Silva, J.H. Evaluation of Habanero Pepper (Capsicum chinense Jacq.) Varieties under Shade House Conditions in Yucatan, Mexico. Open Access Libr. J. 2018, 8, 1–10. [Google Scholar] [CrossRef]
- Ávila-Román, J.; Soliz-Rueda, J.R.; Bravo, F.I.; Aragonès, G.; Suárez, M.; Arola-Arnal, A.; Mulero, M.; Salvadó, M.J.; Arola, L.; Torres-Fuentes, C.; et al. Phenolic compounds and biological rhythms: Who takes the lead? Trends Food Sci. Technol. 2021, 113, 77–85. [Google Scholar] [CrossRef]
- Servicio de Información Agroalimentaria y Pesquera (SIAP). Available online: https://nube.siap.gob.mx/cierreagricola/ (accessed on 6 March 2023).
- Chel-Guerrero, L.D.; Oney-Montalvo, J.E.; Rodríguez-Buenfil, I.M. Phytochemical characterization of by-products of Habanero pepper grown in two different types of soils from Yucatán, Mexico. Plants 2021, 10, 779. [Google Scholar] [CrossRef]
- Ukwuani, A.N.; Hassan, I.B. In vitro anti-inflammatory activity of hydromethanolic seed, fruit and leave extracts of Capsicum chinense (red pepper). Eur. J. Biomed. Pharm. Sci. 2015, 2, 57–65. [Google Scholar]
- Hazekawa, M.; Hideshima, Y.; Ono, K.; Nishinakagawa, T.; Kawakubo-Yasukochi, T.; Takatani-Nakase, T.; Nakashima, M. Anti-inflammatory effects of water extract from bell pepper (Capsicum annuum L. var. grossum) leaves in vitro. Exp. Ther. Med. 2017, 14, 4349–4355. [Google Scholar] [CrossRef]
- Chel-Guerrero, L.D.; Castañeda-Corral, G.; López-Castillo, M.; Scampicchio, M.; Morozova, K.; Oney-Montalvo, J.E.; Ferrentino, G.; Acevedo-Fernández, J.J.; Rodríguez-Buenfil, I.M. In Vivo Anti-Inflammatory Effect, Antioxidant Activity, and Polyphenolic Content of Extracts from Capsicum chinense By-Products. Molecules 2022, 27, 1323. [Google Scholar] [CrossRef]
- Rodríguez-Buenfil, I.M.; Ramírez-Sucre, M.O.; Ramírez-Rivera, E. Metabolómica y Cultivo del Chile Habanero (Capsicum Chinense Jacq) de la Península de Yucatán, 1st ed.; CIATEJ: Jalisco, Mexico, 2020; Chapters 6–9, 11; pp. 95–169, 185–216. ISBN 978-607-8734-09-2. [Google Scholar]
- Herrera-Pool, E.; Patrón-Vázquez, J.; Ramos-Díaz, A.; Ayora-Talavera, T.; Pacheco, N. Extraction and identification of phenoliccompounds in roots and leaves of Capsicum chinense by UPLC–PDA/MS.J. Bioeng. Biomed. Res. 2019, 3, 17–27. [Google Scholar]
- Abbas, M.; Saeed, F.; Anjum, F.M.; Afzaal, M.; Tufail, T.; Bashir, M.S.; Ishtiaq, A.; Hussain, S.; Suleria, H.A.R. Natural polyphenols: An overview. Int. J. Food Prop. 2017, 20, 1689–1699. [Google Scholar] [CrossRef]
- Radošević, K.; Čanak, I.; Panić, M.; Markov, K.; Bubalo, M.C.; Frece, J.; Srček, V.G.; Redovniković, I.R. Antimicrobial, cytotoxic and antioxidative evaluation of natural deep eutectic solvents. Environ. Sci. Pollut. Res. 2018, 25, 14188–14196. [Google Scholar] [CrossRef] [PubMed]
- Roy, W.R. Environmental Impact of Solvents: The Environmental Chemistry of Organic Solvents. In Handbook of Solvents, 2nd ed.; Chem Tec Publishing: Scarborough, UK, 2014; Volume 2, pp. 361–385. [Google Scholar] [CrossRef]
- Putnik, P.; Lorenzo, J.M.; Barba, F.J.; Roohinejad, S.; Jambrak, A.R.; Granato, D.; Montesano, D.; Kovaćević, D.B. Novel food processing and extraction technologies of high-added value compounds from plant materials. Foods 2018, 7, 106. [Google Scholar] [CrossRef] [PubMed]
- Mansinhos, I.; Gonçalves, S.; Rodríguez-Solana, R.; Ordóñez-Díaz, J.L.; Moreno-Rojas, J.M.; Romano, A. Ultrasonic-assisted extraction and natural deep eutectic solvents combination: A green strategy to improve the recovery of phenolic compounds from Lavandula pedunculata subsp. lusitanica (chaytor) franco. Antioxidants 2021, 10, 582. [Google Scholar] [CrossRef] [PubMed]
- Hikmawanti NP, E.; Ramadon, D.; Jantan, I.; Mun’im, A. Natural deep eutectic solvents (NADES): Phytochemical extraction performance enhancer for pharmaceutical and nutraceutical product development. Plants 2012, 10, 2091. [Google Scholar] [CrossRef]
- Maimulyanti, A.; Nurhidayati, I.; Mellisani, B.; Amelia Rachmawati Putri, F.; Puspita, F.; Restu Prihadi, A. Development of natural deep eutectic solvent (NADES) based on choline chloride as a green solvent to extract phenolic compound from coffee husk waste. Arab. J. Chem. 2023, 16, 104634. [Google Scholar] [CrossRef]
- Dai, Y.; Witkamp, G.-J.; Verpoorte, R.; Choi, Y.H. Tailoring properties of natural deep eutectic solvents with water to facilitate their applications. Food Chem. 2015, 187, 14–19. [Google Scholar] [CrossRef]
- Socas-Rodríguez, B.; Torres-Cornejo, M.V.; Álvarez-Rivera, G.; Mendiola, J.A. Deep eutectic solvents for the extraction of bioactive compounds from natural sources and agricultural by-products. Appl. Sci. 2021, 11, 4897. [Google Scholar] [CrossRef]
- Martinović, M.; Krgović, N.; Nešić, I.; Žugić, A.; Tadić, V.M. Conventional vs. Green Extraction Using Natural Deep Eutectic Solvents—Differences in the Composition of Soluble Unbound Phenolic Compounds and Antioxidant Activity. Antioxidants 2022, 11, 2295. [Google Scholar] [CrossRef]
- Wu, L.; Li, L.; Chen, S.; Wang, L.; Lin, X. Deep eutectic solvent-based ultrasonic-assisted extraction of phenolic compounds from Moringa oleifera L. leaves: Optimization, comparison and antioxidant activity. Sep. Purif. Technol. 2020, 247, 117014. [Google Scholar] [CrossRef]
- Jeong, K.M.; Jin, Y.; Yoo, D.E.; Han, S.Y.; Kim, E.M.; Lee, J. One-step sample preparation for convenient examination of volatile monoterpenes and phenolic compounds in peppermint leaves using deep eutectic solvents. Food Chem. 2018, 251, 69–76. [Google Scholar] [CrossRef]
- Afroz, B.M.; Geesi, M.H.; Riadi, Y.; Imran, M.; Imtiyaz Ali, M.; Ahsan, M.J.; Ajmal, N. Ultrasound-assisted extraction of some branded tea: Optimization based on polyphenol content, antioxidant potential and thermodynamic study. Saudi J. Biol. Sci. 2019, 26, 1043–1052. [Google Scholar] [CrossRef] [PubMed]
- Kumar, K.; Srivastav, S.; Sharanagat, V.S. Ultrasound assisted extraction (UAE) of bioactive compounds from fruit and vegetable processing by-products: A review. Ultrason. Sonochem. 2021, 70, 105325. [Google Scholar] [CrossRef]
- Sukor, N.; Jusoh, R.; Rahim, S.A.; Kamarudin, N. Ultrasound assisted methods for enhanced extraction of phenolic acids from Quercus Infectoria galls. Mater. Today Proc. 2018, 5, 21990–21999. [Google Scholar] [CrossRef]
- Ranjha MM, A.N.; Irfan, S.; Lorenzo, J.M.; Shafique, B.; Kanwal, R.; Pateiro, M.; Arshad, R.N.; Wang, L.; Nayik, G.A.; Roobab, U.; et al. Sonication, a potential technique for extraction of phytoconstituents: A systematic review. Processes 2021, 9, 1406. [Google Scholar] [CrossRef]
- Aznar-Ramos, M.J.; Razola-Díaz M del, C.; Verardo, V.; Gómez-Caravaca, A.M. Comparison between Ultrasonic Bath and Sonotrode Extraction of Phenolic Compounds from Mango Peel By-Products. Horticulturae 2022, 8, 1014. [Google Scholar] [CrossRef]
- Duarte, H.; Gomes, V.; Aliaño-González, M.J.; Faleiro, L.; Romano, A.; Medronho, B. Ultrasound-Assisted Extraction of Polyphenols from Maritime Pine Residues with Deep Eutectic Solvents. Foods 2022, 11, 3754. [Google Scholar] [CrossRef]
- Singleton, V.L.; Orthofer, R.; Lamuela-Raventós, R.M. Analysis of total phenols and other oxidation substrates and antioxidants by means of folin-ciocalteu reagent. In Methods in Enzymology; Academic Press: Cambridge, MA, USA, 1999; pp. 152–178. [Google Scholar]
- Oney-Montalvo, J.E.; Avilés-Betanzos, K.A.; Jesús Ramírez-Rivera EDe Ramírez-Sucre, M.O.; Rodríguez-Buenl, I.M. Polyphenols content in Capsicum chinense fruits at different harvest times and their correlation with the antioxidant activity. Plants 2020, 9, 1394. [Google Scholar] [CrossRef]
- Osamede, A.J.; Mostafa, H.; Riaz, A.; Maqsood, S. Utilization of natural deep eutectic solvents and ultrasound-assisted extraction as green extraction technique for the recovery of bioactive compounds from date palm (Phoenix dactylifera L.) seeds: An investigation into optimization of process parameters. Ultrason. Sonochem. 2022, 91, 106233. [Google Scholar] [CrossRef]
- Lanjekar, K.J.; Gokhale, S.; Rathod, V.K. Utilization of waste mango peels for extraction of polyphenolic antioxidants by ultrasound-assisted natural deep eutectic solvent. Bioresour. Technol. Rep. 2022, 18, 101074. [Google Scholar] [CrossRef]
- Dias AC, S.; Demuner, A.J.; Santos, M.H. Ultrasound-assisted extraction of active compounds from Beta vulgaris using deep eutectic solvents. Res. Sq. 2022, 43, 1–15. [Google Scholar] [CrossRef]
- Patil, S.S.; Pathak, A.; Rathod, V.K. Optimization and kinetic study of ultrasound assisted deep eutectic solvent based extraction: A greener route for extraction of curcuminoids from Curcuma longa. Ultrason. Sonochem. 2021, 70, 105267. [Google Scholar] [CrossRef]
- Avilés-Betanzos, K.A.; Oney-Montalvo, J.E.; Cauich-Rodríguez, J.V.; González-Ávila, M.; Scampicchio, M.; Morozova, K.; Ramírez-Sucre, M.O.; Rodríguez-Buenfil, I.M. Antioxidant Capacity, Vitamin C and Polyphenol Profile Evaluation of a Capsicum chinense By-Product Extract Obtained by Ultrasound Using Eutectic Solvent. Plants 2022, 11, 2060. [Google Scholar] [CrossRef]
- Maghsoudlou, E.; Kenari, R.E. Effects of the bath and probe ultrasound treatment on the antioxidant activity of phenolic extract from oregano (Origanumvulgare L.) leaves. Iran. Food Sci. Technol. 2020, 15, 89–101. [Google Scholar] [CrossRef]
- Bajkacz, S.; Adamek, J. Development of a Method Based on Natural Deep Eutectic Solvents for Extraction of Flavonoids from Food Samples. Food Anal. Methods 2018, 11, 1330–1344. [Google Scholar] [CrossRef]
- Sailau, Z.; Almas, N.; Aldongarov, A.; Toshtay, K. Studying the Formation of Choline Chloride- and Glucose-Based Natural Deep Eutectic Solvent at the Molecular Level. J. Mol. Model. 2022, 28, 235. [Google Scholar] [CrossRef] [PubMed]
- Gharat, N.N.; Rathod, V.K. Extraction of ferulic acid from rice bran using NADES-ultrasound-assisted extraction: Kinetics and optimization. J. Food Process Eng. 2022, 2022, e14158. [Google Scholar] [CrossRef]
- González, C.G.; Mustafa, N.R.; Wilson, E.G.; Verpoorte, R.; Choi, Y.H. Application of natural deep eutectic solvents for the “green” extraction of vanillin from vanilla pods. Flavour Fragr. J. 2017, 33, 91–96. [Google Scholar] [CrossRef]
- Roy, J.; Azamthulla, M.; Mukkerjee, D. Hesperidin and diosmin a novel drugs. Int. J. Pharm. Res. Technol. 2019, 10, 25–33. [Google Scholar] [CrossRef]
- Xu, M.; Ran, L.; Chen, N.; Fan, X.; Ren, D.; Yi, L. Polarity-dependent extraction of flavonoids from citrus peel waste using a tailor-made deep eutectic solvent. Food Chem. 2019, 297, 124970. [Google Scholar] [CrossRef]
- Bhattacharyya, S.; Pal, S.; Mohamed, R.; Singh, P.; Chattopadhyay, S.; Pal China, S.; Porwal, K.; Sanyal, S.; Gayen, J.R.; Chattopadhyay, N. A nutraceutical composition containing diosmin and hesperidin has osteogenic and anti-resorptive effects and expands the anabolic window of teriparatide. Biomed. Pharmacother. 2019, 118, 109207. [Google Scholar] [CrossRef]
- Pyrzynska, K. Hesperidin: A Review on Extraction Methods, Stability and Biological Activities. Nutrients 2022, 14, 2387. [Google Scholar] [CrossRef] [PubMed]
- Huwait, E.; Mobashir, M. Potential and Therapeutic Roles of diosmin in Human Diseases. Biomedicines 2022, 10, 1076. [Google Scholar] [CrossRef] [PubMed]







| # EXP | Encoded Values | Real Value | Variable Response | |||
|---|---|---|---|---|---|---|
| X1 | X2 | MoR (mol/mol) | Water (%) | TPC (mg GAE/100 g DL) | Ax (% Inhibition) | |
| 1 | −1 | −1 | 1:1 | 20 | Y1 | Z1 |
| 2 | 1 | −1 | 2:1 | 20 | Y2 | Z2 |
| 3 | −1 | 1 | 1:1 | 60 | Y3 | Z3 |
| 4 | 1 | 1 | 2:1 | 60 | Y4 | Z4 |
| 5 | 0 | 0 | 1.5:1 | 40 | Y5 | Z5 |
| 6 | 0 | 0 | 1.5:1 | 40 | Y6 | Z6 |
| 7 | 0 | 0 | 1.5:1 | 40 | Y7 | Z7 |
| 8 | 0 | 0 | 1.5:1 | 40 | Y8 | Z8 |
| 9 | −1.414 | 0 | 0.8:1 | 40 | Y8 | Z8 |
| 10 | 1.414 | 0 | 2.2:1 | 40 | Y8 | Z8 |
| 11 | 0 | −1.414 | 1.5:1 | 12 | Y8 | Z8 |
| 12 | 0 | 1.414 | 1.5:1 | 68 | Y8 | Z8 |
| Factors | Response Variable | |||||
|---|---|---|---|---|---|---|
| Exp | Coded Values | Real Values | TPC (mg GAE/100 g DL) | Ax (% Inhibition) | ||
| X1 | X2 | MoR (mol/mol) | Water (%) | |||
| 1 | −1 | −1 | 1 | 20 | 205.40 ± 10.00 g | 82.22 ± 1.81 e |
| 2 | 1 | −1 | 2 | 20 | 190.52 ± 8.67 f | 37.36 ± 0.87 a |
| 3 | −1 | 1 | 1 | 60 | 206.75 ± 6.22 g | 74.25 ± 2.72 d |
| 4 | 1 | 1 | 2 | 60 | 166.06 ± 14.89 e | 33.04 ± 1.91 a |
| 5 | 0 | 0 | 1.5 | 40 | 65.85 ± 0.96 b | 45.33 ± 1.34 b |
| 6 | 0 | 0 | 1.5 | 40 | 79.00 ± 3.80 b | 45.44 ± 0.83 b |
| 7 | 0 | 0 | 1.5 | 40 | 77.58 ± 3.06 b | 45.44 ± 2.78 b |
| 8 | 0 | 0 | 1.5 | 40 | 77.24 ± 9.24 b | 44.78 ± 1.37 b |
| 9 | −1.414 | 0 | 0.8 | 40 | 162.46 ± 11.23 e | 44.00 ± 3.26 b |
| 10 | 1.414 | 0 | 2.2 | 40 | 131.56 ± 6.83 d | 44.12 ± 2.21 b |
| 11 | 0 | −1.414 | 1.5 | 12 | 44.84 ± 2.27 a | 74.91 ± 5.29 d |
| 12 | 0 | 1.414 | 1.5 | 68 | 115.76 ± 13.06 c | 77.57 ± 0.68 de |
| SB | −1.414 | −1.414 | 0.8 | 12 | 76.77 ± 9.92 b | 61.67 ± 0.37 c |
| # Exp | Factors | Individual Polyphenols * | |||||||
|---|---|---|---|---|---|---|---|---|---|
| MoR (mol) | Water (%) | Protocatechuic Acid | Catechin | Chlorogenic Acid | Cinnamic Acid | Rutin | Quercetin + Luteolin | Kaempferol | |
| 1 | 1 | 20 | 0.00 | 0.00 | 0.00 | 0.00 | 0.00 | 27.16±0.61 d | 39.61 ± 0.37 b |
| 2 | 2 | 20 | 0.00 | 0.00 | 0.00 | 0.00 | 8.90 ± 0.28 cd | 23.59 ± 2.42 bcd | 42.14±0.95 c |
| 3 | 1 | 60 | 0.00 | 0.00 | 9.38 ± 1.85 cd | 0.00 | 3.02 ± 0.32 ab | 23.87 ± 1.41 cd | 0.00 |
| 4 | 2 | 60 | 0.00 | 0.00 | 5.28 ± 3.30 bc | 0.00 | 9.23 ± 4.51 c | 8.55 ± 0.48 a | 0.00 |
| 5 | 1.5 | 40 | 0.00 | 0.00 | 7.61 ± 1.17 bcd | 0.00 | 4.91 ± 0.75 bc | 10.40 ± 0.62 a | 0.00 |
| 6 | 1.5 | 40 | 0.00 | 37.08±1.01 b | 3.82 ± 2.07 ab | 4.68 ± 1.62 b | 10.1 ± 3.618 c | 20.94 ± 4.09 bc | 0.00 |
| 7 | 1.5 | 40 | 0.00 | 32.18 ± 1.72 a | 4.18 ± 0.24 ab | 3.75 ± 0.61 b | 9.75 ± 1.53 c | 19.92 ± 3.63 bc | 0.00 |
| 8 | 1.5 | 40 | 0.00 | 32.85 ± 4.59 a | 5.16 ± 0.75 bc | 3.68 ± 0.59 b | 10.00 ± 0.70 c | 25.59 ± 1.59 d | 0.00 |
| 9 | 0.8 | 40 | 0.00 | 0.00 | 10.60 ± 0.99 de | 1.05 ± 0.01 a | 22.57 ± 1.63 f | 25.54 ± 1.35 d | 0.00 |
| 10 | 2.2 | 40 | 0.00 | 0.00 | 13.73 ± 3.86 e | 8.63 ± 0.23 c | 15.71 ± 0.81 e | 19.72 ± 0.64 b | 0.00 |
| 11 ** | 1.5 | 12 | 9.31 ± 0.13 a | 0.00 | 7.02 ± 0.02 bcd | 3.42 ± 0.90 b | 10.36 ± 0.56 c | 74.05 ± 2.04 e | 1.26 ± 0.02 a |
| 12 | 1.5 | 68 | 26.46 ± 0.15 b | 0.00 | 14.29 ± 3.90 e | 7.95 ± 0.58 c | 21.00 ± 2.94 f | 20.85 ± 0.80 bc | 0.00 |
| # Exp | Factors | Individual Polyphenols * | ||||||
|---|---|---|---|---|---|---|---|---|
| MoR (mol) | Water (%) | Vanillin | Diosmin + Hesperidin | Hesperidin Neohesperidin | Naringenin | Apigenin | Ferulic Acid | |
| 1 | 1 | 20 | 11.20 ± 0.04 de | 99.86 ± 17.31 bc | 13.53 ± 0.44 bc | 9.96±0.10 c | 7.43 ± 0.05 b | 5.14 ± 0.48 b |
| 2 | 2 | 20 | 11.16 ± 0.18 d | 110.32 ± 7.72 cd | 6.85 ± 0.97 a | 9.64 ± 0.07 b | 8.86±0.10 c | 6.21 ± 0.17 c |
| 3 | 1 | 60 | 11.82 ± 0.03 e | 55.24 ± 0.53 a | 10.92 ± 0.47 ab | 0.00 | 0.00 | 7.19 ± 0.28 d |
| 4 | 2 | 60 | 10.45 ± 0.13 bc | 47.01 ± 2.50 a | 6.77 ± 0.12 a | 0.00 | 0.00 | 6.49 ± 0.09 c |
| 5 | 1.5 | 40 | 11.42 ± 0.39 de | 136.99 ± 4.66 ef | 16.96 ± 1.24 cd | 0.00 | 0.00 | 8.21±0.15 e |
| 6 | 1.5 | 40 | 11.36 ± 0.26 de | 143.23 ± 0.77 f | 13.54 ± 5.96 bc | 0.00 | 0.00 | 7.30 ± 0.26 d |
| 7 | 1.5 | 40 | 11.04 ± 0.07 cd | 152.49±4.90 f | 19.67±2.35 d | 0.00 | 0.00 | 7.40 ± 0.19 d |
| 8 | 1.5 | 40 | 11.36 ± 0.46 de | 124.16 ± 4.65 de | 16.80 ± 1.44 cd | 0.00 | 0.00 | 8.13 ± 0.08 e |
| 9 | 0.8 | 40 | 13.77 ± 0.17 f | 89.79 ± 7.71 b | 0.00 | 0.00 | 0.00 | 7.57 ± 0.42 d |
| 10 | 2.2 | 40 | 15.63 ± 0.36 g | 86.87 ± 2.31 b | 0.00 | 0.00 | 0.00 | 8.10 ± 0.14 e |
| 11 ** | 1.5 | 12 | 9.47 ± 0.12 a | 147.16 ± 15.34 f | 9.69 ± 3.59 ab | 1.10 ± 0.08 a | 0.86 ± 0.00 a | 1.62 ± 0.02 a |
| 12 | 1.5 | 68 | 10.18 ± 0.70 b | 53.45 ± 0.23 a | 0.00 | 0.00 | 0.00 | 8.18 ± 0.18 e |
| Polyphenol | Valor-p | R2 | Prediction Equation |
|---|---|---|---|
| protocatechuic Acid | 0.0000 | 65.07 | Y = − 0.130628 + 11.3912 X1 − 0.479447 X2 − 3.79708 X12 + 0.0 X1 X 2 + 0.00675098 X22 (4) |
| catechin | 0.0000 | 64.99 | Y = − 142.477 + 156.447 X1 + 2.51409 X2- 52.1491 X12 + 0.0 X1 X 2 − 0.0311816 X22 (5) |
| chlorogenic Acid | 0.0248 | 33.57 | Y = 9.27969 − 13.9409 X1 + 0.162909 X2 + 6.03737 X12 − 0.1025 X1 X 2 + 0.00184521 X22 (6) |
| cinnamic Acid | 0.2750 | 18.24 | - |
| rutin | 0.4409 | 14.15 | - |
| quercetin + luteolin | 0.0000 | 66.66 | Y = 59.4592 + 29.487 X1 − 2.26881 X2 − 8.19045 X12 − 0.293667 X1 X 2 + 0.0265434 X22 (7) |
| kaempferol | 0.0036 | 42.83 | Y = 85.4374 − 59.608 X1 − 1.54332 X2 + 20.9242 X12 − 0.0631667 X1 X 2 + 0.0138855 X22 (8) |
| vanillin | 0.0000 | 80.78 | Y = 17.4725 − 15.7118 X1 + 0.26386 X2 + 5.7821 X12 − 0.0333333 X1 X 2 − 0.00260217 X22 (9) |
| diosmin + hesperidin | 0.0000 | 89.80 | Y = −192.368 + 377.518 X1 + 3.95735 X2 − 119.769 X12 − 0.467083 X1 X 2 − 0.0595795 X22 (10) |
| neohesperidin | 0.0000 | 63.70 | Y = −47.5401 + 74.2087 X1 + 0.632753 X2 − 26.4878 X12 + 0.0630833 X1 X 2 − 0.0103751 X22 (11) |
| naringenin | 0.0010 | 47.95 | Y = 22.6353 − 14.8187 X1 − 0.441881 X2 + 4.80597 X12 + 0.008 X1 X 2 + 0.00370526 X22 (12) |
| apigenin | 0.0010 | 47.82 | Y = 15.6045 − 10.2314 X1 − 0.301503 X2 + 4.00611 X12 − 0.0356667 X1 X 2 + 0.00305654 X22 (13) |
| ferulic Acid | 0.0000 | 81.43 | Y = − 3.55373 + 2.54448 X1 + 0.394706 X2 − 0.164435 X12 − 0.0441667 X1 X 2 − 0.00329367 X22 (14) |
| Variable Response | NADES Composition | Optimal Predicted Concentration (mg/100 g DL) | |
|---|---|---|---|
| MoR (mol) | Water (%) | ||
| TPC | 0.8 | 68 | 271.46 |
| Ax | 0.8 | 12 | 89.76 |
| protocatechuic Acid | 1.5 | 68 | 7.02 |
| catechin | 1.5 | 40 | 25.53 |
| chlorogenic Acid | 0.8 | 68 | 16.02 |
| quercetin + luteolin | 1.5 | 12 | 56.6 |
| kaempferol | 2.2 | 12 | 37.38 |
| vanillin | 2.2 | 36 | 14.38 |
| diosmin + hesperidin | 1.5 | 27 | 148.9 |
| neohesperidin | 1.4 | 35 | 17.01 |
| naringenin | 0.8 | 12 | 9.16 |
| apigenin | 2.2 | 12 | 8.36 |
| ferulic Acid | 0.8 | 54.5 | 8.17 |
| Factors | Response Variable | ||||
|---|---|---|---|---|---|
| Exp | Coded Values | Real Values | Vit C (mg/100 g DL) | ||
| X1 | X2 | MoR (mol/mol) | Water (%) | ||
| 1 | −1 | −1 | 1 | 20 | 6.04 ± 0.13 b |
| 2 | 1 | −1 | 2 | 20 | 5.22 ± 0.07 b |
| 3 | −1 | 1 | 1 | 60 | 13.25 ± 0.62 ef |
| 4 | 1 | 1 | 2 | 60 | 9.62 ± 0.19 c |
| 5 | 0 | 0 | 1.5 | 40 | 13.96 ± 0.07 fg |
| 6 | 0 | 0 | 1.5 | 40 | 8.37 ± 0.15 c |
| 7 | 0 | 0 | 1.5 | 40 | 11.33 ± 0.07 d |
| 8 | 0 | 0 | 1.5 | 40 | 12.22 ± 0.08 de |
| 9 | −1.414 | 0 | 0.8 | 40 | 13.48 ± 0.12 efg |
| 10 | 1.414 | 0 | 2.2 | 40 | 18.51 ± 1.72 h |
| 11 | 0 | −1.414 | 1.5 | 12 | 3.22 ± 0.03 a |
| 12 | 0 | 1.414 | 1.5 | 68 | 14.97 ± 0.39 g |
Disclaimer/Publisher’s Note: The statements, opinions and data contained in all publications are solely those of the individual author(s) and contributor(s) and not of MDPI and/or the editor(s). MDPI and/or the editor(s) disclaim responsibility for any injury to people or property resulting from any ideas, methods, instructions or products referred to in the content. |
© 2023 by the authors. Licensee MDPI, Basel, Switzerland. This article is an open access article distributed under the terms and conditions of the Creative Commons Attribution (CC BY) license (https://creativecommons.org/licenses/by/4.0/).
Share and Cite
Avilés-Betanzos, K.A.; Cauich-Rodríguez, J.V.; González-Ávila, M.; Scampicchio, M.; Morozova, K.; Ramírez-Sucre, M.O.; Rodríguez-Buenfil, I.M. Natural Deep Eutectic Solvent Optimization to Obtain an Extract Rich in Polyphenols from Capsicum chinense Leaves Using an Ultrasonic Probe. Processes 2023, 11, 1729. https://doi.org/10.3390/pr11061729
Avilés-Betanzos KA, Cauich-Rodríguez JV, González-Ávila M, Scampicchio M, Morozova K, Ramírez-Sucre MO, Rodríguez-Buenfil IM. Natural Deep Eutectic Solvent Optimization to Obtain an Extract Rich in Polyphenols from Capsicum chinense Leaves Using an Ultrasonic Probe. Processes. 2023; 11(6):1729. https://doi.org/10.3390/pr11061729
Chicago/Turabian StyleAvilés-Betanzos, Kevin Alejandro, Juan Valerio Cauich-Rodríguez, Marisela González-Ávila, Matteo Scampicchio, Ksenia Morozova, Manuel Octavio Ramírez-Sucre, and Ingrid Mayanin Rodríguez-Buenfil. 2023. "Natural Deep Eutectic Solvent Optimization to Obtain an Extract Rich in Polyphenols from Capsicum chinense Leaves Using an Ultrasonic Probe" Processes 11, no. 6: 1729. https://doi.org/10.3390/pr11061729
APA StyleAvilés-Betanzos, K. A., Cauich-Rodríguez, J. V., González-Ávila, M., Scampicchio, M., Morozova, K., Ramírez-Sucre, M. O., & Rodríguez-Buenfil, I. M. (2023). Natural Deep Eutectic Solvent Optimization to Obtain an Extract Rich in Polyphenols from Capsicum chinense Leaves Using an Ultrasonic Probe. Processes, 11(6), 1729. https://doi.org/10.3390/pr11061729

