A Projection-Based Evolutionary Algorithm for Multi-Objective and Many-Objective Optimization
Abstract
1. Introduction
1.1. Motivation
1.2. Contributions
- (1)
- We propose an efficient many-objective evolutionary algorithm framework, MOEA/PII. Applying the idea of dimension reduction and decomposition, MOEA/PII divides the objective space into the projection plane and free dimension(s). Firstly, the objective dimensions chosen by the user are selected as the projection plane and evolution is carried out on it. Then, on the free dimensions that consist of the remaining objective dimensions, free dimension algorithms are applied for further evolution. In this way, the objective space is effectively divided, and the idea of dimensionality reduction is applied to evolution;
- (2)
- MOEA/PII carves the projection plane into projection grids, and the evolution in each grid is carried out. In each projection grid, the number of individuals to be selected decreases, and accordingly, the selection pressure is alleviated;
- (3)
- On the projection plane, the customer can determine the objective domain, i.e., the objective value within a certain range, which helps them to identify the most appropriate solutions more efficiently;
- (4)
- In the proposed Bi-Elite strategy, each projection has a ConEliteList, saving individuals projected in the grid. There is also a ProEliteList for the projection plane, saving individuals outside the determined domain. They are used for sorting, using the free dimension algorithm;
- (5)
- On the free dimensions, we can apply any other MOEAs. The convergence of the solutions in each grid is determined by the free dimension algorithm. The distribution of the projection grid is uniform, which ensures the overall distribution of the solutions. MOEA/PII addresses the challenges of MaOPs by balancing the convergence and diversity of solutions;
- (6)
- In solving real-world problem, the study of the wireless sensor network deployment problem shows that MOEA/PII can efficiently perform optimized deployment. By determining the objective domain, the time is reduced and the solution set becomes more responsive to user needs.
2. Preliminaries
2.1. Problem Definition
2.2. Definitions on MOEA/P Framework
2.3. Definitions on New MOEA/PII Framework
3. MOEA/PII Framework
3.1. MOEA/PII Framework
| Algorithm 1: MOEA/PII |
| Input: (1) Many-Objective Problem (MaOP); (2) End condition; (3) DS: Objective decision space; (4) NumOfGrids: the number of projection grid; (5) E: Evolution generation; (6) N: Initial Population Size; (7) Free Dimension Algorithm; Output: Objective Solution Set (OSS); Algorithm:
}
|
| Algorithm 2: Bi-Elite |
| Input: (1) GenList (2) NumOfNeighbor: the number of Neighbor; (3) NeighborPool: the neighbor vector; (4) Free Dimension Algorithm; Output: Bi-Elite Queue of each projection grid: ConEliteList(i) and ProEliteList; Algorithm: For each p in GenList {
|
3.2. The Advantage of Bi-Elite Strategy
- N: population size
- M: the number of objectives
- Sorting //() times
- Apply the MOEA/PII algorithm framework with Bi-Elite strategy
- P: the number of the projection plane dimensions
- F: the number of free dimensions
- M = P + F
- If ConEliteList(S) ← In(ProjectionGrid, N)
- ProEliteList(R) ← Out(ObjectiveDomain, N)
- And N = S + R
- Then For each S in ConEliteList on F free dimensions
- Sorting //() times
- For each R in ProEliteList on P projection plane
- Sorting //()times
3.3. Computational Complexity Analysis
- 1.
- The complexity of the crossover and mutation operation.
- 2.
- The complexity of the Bi-Elite sorting.
4. Experimental Studies and Discussions
4.1. Benchmark Test Instances
4.2. Performance Indicator
- 1.
- IGD-metric.
- 2.
- HV-metric.
- 3.
- C-metric.
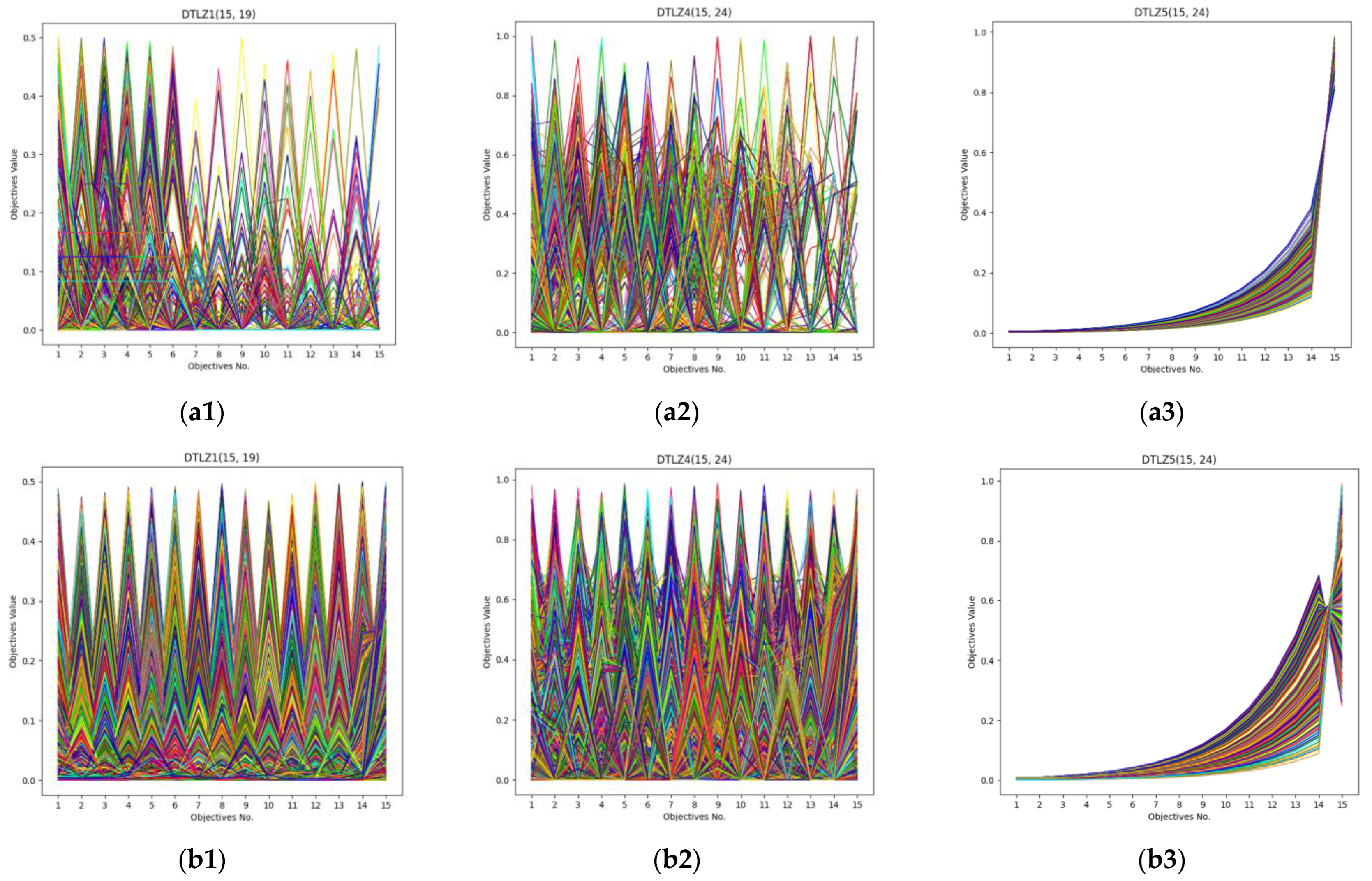
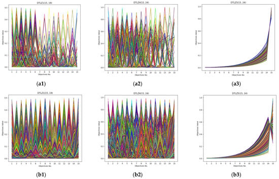
4.3. Experiments on Pareto Front
4.4. Perfomance Analysisc
4.5. Experiments on Projection Grids
4.6. Experiments on Wireless Sensor Networks (WSNs) Deployment Problem
4.6.1. Compare the C-Metric between Algorithms and with the MOEA/PII Framework
4.6.2. Experiments on Determining the Objective Domain
5. Conclusions
Author Contributions
Funding
Data Availability Statement
Acknowledgments
Conflicts of Interest
References
- Zhou, A.M.; Qu, B.Y.; Li, H.; Zhao, S.Z.; Suganthan, P.N.; Zhang, Q.F. Multiobjective evolutionary algorithms: A survey of the state of the art. Swarm Evol. Comput. 2011, 1, 32–49. [Google Scholar] [CrossRef]
- Behmanesh, R.; Rahimi, I.; Gandomi, A.H. Evolutionary Many-Objective Algorithms for Combinatorial Optimization Problems: A Comparative Study. Arch. Comput. Methods Eng. 2021, 28, 673–688. [Google Scholar] [CrossRef]
- Pereira, J.L.J.; Oliver, G.A.; Francisco, M.B.; Cunha, S.S.; Gomes, G.F. A Review of Multi-objective Optimization: Methods and Algorithms in Mechanical Engineering Problems. Arch. Comput. Methods Eng. 2022, 29, 2285–2308. [Google Scholar] [CrossRef]
- Osamy, W.; Khedr, A.M.; Salim, A.; Al Ali, A.I.; El-Sawy, A.A. Coverage, Deployment and Localization Challenges in Wireless Sensor Networks Based on Artificial Intelligence Techniques: A Review. IEEE Access 2022, 10, 30232–30257. [Google Scholar] [CrossRef]
- Benatia, M.A.; Sahnoun, M.; Baudry, D.; Louis, A.; El-Hami, A.; Mazari, B. Multi-Objective WSN Deployment Using Genetic Algorithms Under Cost, Coverage, and Connectivity Constraints. Wirel. Pers. Commun. 2017, 94, 2739–2768. [Google Scholar] [CrossRef]
- Bi, W.W.; Chen, M.J.; Shen, S.W.; Huang, Z.Y.; Chen, J. A Many-Objective Analysis Framework for Large Real-World Water Distribution System Design Problems. Water 2022, 14, 13. [Google Scholar] [CrossRef]
- Liu, J.; Huang, J.; Hu, J.Z. Multi-objective optimisation method of electric vehicle charging station based on non-dominated sorting genetic algorithm. Int. J. Glob. Energy Issue 2022, 44, 413–426. [Google Scholar] [CrossRef]
- Barakat, N.; Sharma, D. Evolutionary multi-objective optimization for bulldozer and its blade in soil cutting. Int. J. Manag. Sci. Eng. Manag. 2019, 14, 102–112. [Google Scholar] [CrossRef]
- Colombo, L.; Todd, M.D.; Sbarufatti, C.; Giglio, M. On statistical Multi-Objective optimization of sensor networks and optimal detector derivation for structural health monitoring. Mech. Syst. Signal Process. 2022, 167, 20. [Google Scholar] [CrossRef]
- Otis, M.J.D.; Vandewynckel, J. A Many-Objective Simultaneous Feature Selection and Discretization for LCS-Based Gesture Recognition. Appl. Sci. 2021, 11, 9787. [Google Scholar] [CrossRef]
- Petchrompo, S.; Coit, D.W.; Brintrup, A.; Wannakrairot, A.; Parlikad, A.K. A review of Pareto pruning methods for multi-objective optimization. Comput. Ind. Eng. 2022, 167, 22. [Google Scholar] [CrossRef]
- He, Z.A.; Yen, G.G. Many-Objective Evolutionary Algorithm: Objective Space Reduction and Diversity Improvement. IEEE Trans. Evol. Comput. 2016, 20, 145–160. [Google Scholar] [CrossRef]
- Zhu, C.W.; Xu, L.H.; Goodman, E.D. Generalization of Pareto-Optimality for Many-Objective Evolutionary Optimization. IEEE Trans. Evol. Comput. 2016, 20, 299–315. [Google Scholar] [CrossRef]
- Yang, S.X.; Li, M.Q.; Liu, X.H.; Zheng, J.H. A Grid-Based Evolutionary Algorithm for Many-Objective Optimization. IEEE Trans. Evol. Comput. 2013, 17, 721–736. [Google Scholar] [CrossRef]
- Karimi, N.; Feylizadeh, M.R.; Govindan, K.; Bagherpour, M. Fuzzy multi-objective programming: A systematic literature review. Expert Syst. Appl. 2022, 196, 19. [Google Scholar] [CrossRef]
- He, Z.N.; Yen, G.G.; Zhang, J. Fuzzy-Based Pareto Optimality for Many-Objective Evolutionary Algorithms. IEEE Trans. Evol. Comput. 2014, 18, 269–285. [Google Scholar] [CrossRef]
- Menchaca-Mendez, A.; Montero, E.; Antonio, L.M.; Zapotecas-Martinez, S.; Coello, C.A.; Riff, M.C. A Co-Evolutionary Scheme for Multi-Objective Evolutionary Algorithms Based on epsilon-Dominance. IEEE Access 2019, 7, 18267–18283. [Google Scholar] [CrossRef]
- Wu, T.W.; An, S.G.; Han, J.Q.; Shentu, N.Y. An epsilon-domination based two-archive 2 algorithm for many-objective optimization. J. Syst. Eng. Electron. 2022, 33, 156–169. [Google Scholar] [CrossRef]
- Yuan, Y.; Xu, H.; Wang, B.; Yao, X. A New Dominance Relation-Based Evolutionary Algorithm for Many-Objective Optimization. IEEE Trans. Evol. Comput. 2016, 20, 16–37. [Google Scholar] [CrossRef]
- Zhang, Q.; Hui, L. MOEA/D: A Multiobjective Evolutionary Algorithm Based on Decomposition. IEEE Trans. Evol. Comput. 2008, 11, 712–731. [Google Scholar] [CrossRef]
- Sun, Y.H.; Xiao, K.L.; Wang, S.Q.; Lv, Q.Y. An evolutionary many-objective algorithm based on decomposition and hierarchical clustering selection. Appl. Intell. 2022, 52, 8464–8509. [Google Scholar] [CrossRef]
- Zhao, H.T.; Zhang, C.S.; Zhang, B.; Duan, P.B.; Yang, Y. Decomposition-based sub-problem optimal solution updating direction-guided evolutionary many-objective algorithm. Inf. Sci. 2018, 448, 91–111. [Google Scholar] [CrossRef]
- Asafuddoula, M.; Ray, T.; Sarker, R. A Decomposition-Based Evolutionary Algorithm for Many Objective Optimization. IEEE Trans. Evol. Comput. 2015, 19, 445–460. [Google Scholar] [CrossRef]
- Sun, Y.A.; Yen, G.G.; Yi, Z. IGD Indicator-Based Evolutionary Algorithm for Many-Objective Optimization Problems. IEEE Trans. Evol. Comput. 2019, 23, 173–187. [Google Scholar] [CrossRef]
- Liu, C.; Zhao, Q.; Yan, B.; Gao, Y. A new hypervolume-based differential evolution algorithm for many-objective optimization. Rairo-Oper. Res. 2017, 51, 1301–1315. [Google Scholar] [CrossRef]
- Shang, K.; Ishibuchi, H.; He, L.J.; Pang, L.M. A Survey on the Hypervolume Indicator in Evolutionary Multiobjective Optimization. IEEE Trans. Evol. Comput. 2021, 25, 1–20. [Google Scholar] [CrossRef]
- Li, F.; Cheng, R.; Liu, J.C.; Jin, Y.C. A two-stage R2 indicator based evolutionary algorithm for many-objective optimization. Appl. Soft. Comput. 2018, 67, 245–260. [Google Scholar] [CrossRef]
- Dhiman, G.; Soni, M.; Pandey, H.M.; Slowik, A.; Kaur, H. A novel hybrid hypervolume indicator and reference vector adaptation strategies based evolutionary algorithm for many-objective optimization. Eng. Comput. 2021, 37, 3017–3035. [Google Scholar] [CrossRef]
- de Oliveira, M.C.; Delgado, M.R.; Britto, A. A hybrid greedy indicator- and Pareto-based many-objective evolutionary algorithm. Appl. Intell. 2021, 51, 4330–4352. [Google Scholar] [CrossRef]
- Dhiman, G.; Kumar, V. KnRVEA: A hybrid evolutionary algorithm based on knee points and reference vector adaptation strategies for many-objective optimization. Appl. Intell. 2019, 49, 2434–2460. [Google Scholar] [CrossRef]
- Xiang, Y.; Zhou, Y.R.; Tang, L.P.; Chen, Z.F. A Decomposition-Based Many-Objective Artificial Bee Colony Algorithm. IEEE Trans. Cybern. 2019, 49, 287–300. [Google Scholar] [CrossRef] [PubMed]
- Zhao, H.T.; Zhang, C.S.; Zhang, B. A decomposition-based many-objective ant colony optimization algorithm with adaptive reference points. Inf. Sci. 2020, 540, 435–448. [Google Scholar] [CrossRef]
- Qiu, W.B.; Zhu, J.H.; Wu, G.H.; Fan, M.F.; Suganthan, P.N. Evolutionary many-Objective algorithm based on fractional dominance relation and improved objective space decomposition strategy. Swarm Evol. Comput. 2021, 60, 16. [Google Scholar] [CrossRef]
- Lu, X.; Yang, S.; Peng, F.; Chen, W. An Evolutionary Algorithm for Multi-objective Optimization Problem Based on Projection Plane: MOEA/P. In Proceedings of the 2021 The 5th International Conference on Algorithms, Computing and Systems, Xi’an, China, 24–26 September 2021. [Google Scholar]
- Deb, K.; Thiele, L.; Laumanns, M.; Zitzler, E. Scalable multi-objective optimization test problems. In Proceedings of the Congress on Evolutionary Computation, Honolulu, HI, USA, 12–17 May 2002. [Google Scholar]
- Huband, S.; Hingston, P.; Barone, L.; While, L. A review of multiobjective test problems and a scalable test problem toolkit. IEEE Trans. Evol. Comput. 2006, 10, 477–506. [Google Scholar] [CrossRef]
- Zhang, Q.; Zhou, A.; Zhao, S.; Suganthan, P.N.; Tiwari, S. Multiobjective optimization Test Instances for the CEC 2009 Special Session and Competition. Mech. Eng. 2008, 1–29. Available online: https://www.researchgate.net/publication/265432807_Multiobjective_optimization_Test_Instances_for_the_CEC_2009_Special_Session_and_Competition (accessed on 17 April 2023).
- Zitzler, E.; Thiele, L.; Laumanns, M.; Fonseca, C.M.; Fonseca, V. Performance assessment of multiobjective optimizers: An analysis and review. IEEE Trans. Evol. Comput. 2003, 7, 117–132. [Google Scholar] [CrossRef]
- Zitzler, E.; Thiele, L. Multiobjective evolutionary algorithms: A comparative case study and the strength Pareto approach. IEEE Trans. Evol. Comput. 1999, 3, 257–271. [Google Scholar] [CrossRef]
- Lv, L.; Peng, F.; Chen, W.; Wang, J. Node Deployment of Wireless Sensor Networks Based on MOEA/P Algorithm. In Proceedings of the 2021 13th International Conference on Communication Software and Networks (ICCSN), Chongqing, China, 4–7 June 2021. [Google Scholar]









| Classify | Algorithm | Year | Approaches |
|---|---|---|---|
| Dominance-based algorithm | Generalized Pareto optimality criterion [13]. | 2016 | Generalizes Pareto optimality both symmetrically and asymmetrically by expanding the dominance area of solutions to enhance the scalability of existing Pareto-based algorithms. |
| Grid domination [14]. | 2013 | Grid dominance and grid difference; uses three grid-based criteria, grid ranking, grid crowding distance, and grid coordinate point distance, to determine the fitness. | |
| Fuzzy domination [16]. | 2014 | The concept of fuzzy logic is adopted to define a fuzzy Pareto domination relation. | |
| Based on ε-dominance relationship [17]. | 2019 | Using ε-dominance, the objective space is divided into boxes, diversity is ensured by them, and a single solution is established in each box. | |
| ε-domination-based Two_Arch2 algorithm [18]. | 2022 | It uses the diversity archive (DA) and convergence archive (CA); ε-domination is sorted in the DA; the boundary protection strategy is based on indicator sorting in the CA. | |
| θ-DEA [19]. | 2016 | Based on using the θ-dominance relation to sort in the environmental selection phase, solutions are allocated into different clusters represented by well-distributed reference points. | |
| Decomposition-based algorithms | MOEA/D [20]. | 2008 | Decomposes a multi-objective optimization problem into a number of scalar optimization sub-problems, which optimize by only using information from neighbor sub-problems. |
| The algorithm [21]. | 2022 | Based on decomposition and hierarchical clustering selection, uniformly distributed reference vectors and adaptive reference vectors are used to divide the population and rank the dominant individuals, respectively. | |
| OD-RVEA [22]. | 2018 | An adaptive reference vector adjustment strategy to solve irregular PF problems. | |
| I-DBEA [23]. | 2015 | A means of reference point generation, which uses associated solutions to reference directions. | |
| Indicator-based algorithm | IGD indicator-based [24]. | 2019 | The IGD indicator is employed in each generation to select the solutions with favorable convergence and diversity. |
| MODEhv [25]. | 2017 | The hyper-volume indicator is incorporated for the selection of solutions to be varied and kept in an archive. | |
| TS-R2EA [27]. | 2018 | R2 indicator-based achievement scalarizing function for the primary selection; the reference vector guides the objective space partition approach and the secondary selection strategy. | |
| Hybrid method | KnRVEA [30]. | 2019 | Based on knee points (convergence) and reference vector adaptation strategies; a knee adaptation strategy (diversity). |
| Decomposition-based artificial bee colony algorithm [31]. | 2019 | Decomposes a number of sub-problems (maintains diversity), which are simultaneously optimized by a modified ABC algorithm (rapid convergence). | |
| Decomposition-based ant colony [32]. | 2020 | Decomposition-based many-objective ant colony optimization; an adaptive reference point mechanism. | |
| FDEA-II [33]. | 2021 | Fractional dominance relation (strong convergence); the objective space decomposition approach is improved with a sub-space selection mechanism (to maintain the population diversity), a fractional dominance relation, and an improved objective space decomposition strategy. |
| Notations | Meanings |
|---|---|
| DS | objective decision space |
| NumOfGrids | the number of projection grids |
| E | evolution generation |
| N | initial population size |
| p | individual |
| Gi | the ith projection grid |
| SourceList | all the individuals of the grids |
| GenList | offspring by mutation and crossover operation |
| ProEliteList | individual that fall outside the objective domain will be stored in ProEliteList |
| ConEliteList(i) | if individual is in Gi, it will be stored in ConEliteList(i) by the free dimension algorithm |
| OSS | objective solution set |
| Parameters | Settings |
|---|---|
| SegmentsCrossOver | |
| Random Mutation |
| ALGORITM | M = 3 | M = 5 | M = 8 | M = 10 | M = 15 |
|---|---|---|---|---|---|
| MOEA/DD NSGAIII | (1000, 1000) | (1000, 1000) | (1000, 1000) | (1000, 1000) | (1000, 1000) |
| DDP2 N3P2 | (500, 500) | (500, 500) | (300, 250) | (200, 250) | (200, 150) |
| Test Instances | Algorithm | M = 3 | M = 5 | M = 8 | M = 10 | M = 15 |
|---|---|---|---|---|---|---|
| DTLZ1 | MOEA/DD | 0.010 (0.001) | 0.110 (0.002) | 0.179 (0.001) | 0.180 (0.002) | 0.181 (0.002) |
| DDP2 | 0.010 (0.001) | 0.075 (0.002) | 0.173 (0.001) | 0.173 (0.001) | 0.176 (0.001) | |
| DTLZ2 | MOEA/DD | 0.026 (0.000) | 0.198 (0.001) | 0.454 (0.001) | 0.524 (0.001) | 0.542 (0.001) |
| DDP2 | 0.028 (0.000) | 0.169 (0.002) | 0.415 (0.001) | 0.507 (0.002) | 0.542 (0.001) | |
| DTLZ3 | MOEA/DD | 0.030 (0.000) | 0.260 (0.002) | 0.435 (0.001) | 0.522 (0.001) | 0.553 (0.001) |
| DDP2 | 0.029 (0.000) | 0.196 (0.001) | 0.371 (0.001) | 0.417 (0.003) | 0.543 (0.001) | |
| DTLZ4 | MOEA/DD | 0.034 (0.001) | 0.229 (0.001) | 0.451 (0.001) | 0.448 (0.001) | 0.456 (0.002) |
| DDP2 | 0.031 (0.001) | 0.197 (0.001) | 0.363 (0.001) | 0.401 (0.001) | 0.449 (0.002) | |
| DTLZ5 | MOEA/DD | 0.053 (0.000) | 0.113 (0.000) | 0.394 (0.001) | 0.472 (0.001) | 0.501 (0.001) |
| DDP2 | 0.009 (0.001) | 0.069 (0.001) | 0.307 (0.001) | 0.421 (0.001) | 0.479 (0.001) | |
| DTLZ6 | MOEA/DD | 0.078 (0.001) | 0.156 (0.001) | 0.377 (0.001) | 0.468 (0.001) | 0.558 (0.001) |
| DDP2 | 0.016 (0.001) | 0.079 (0.001) | 0.316 (0.001) | 0.468 (0.001) | 0.534 (0.001) | |
| DTLZ7 | MOEA/DD | 0.065 (0.001) | 0.192 (0.001) | 0.435 (0.001) | 0.477 (0.001) | 0.565 (0.001) |
| DDP2 | 0.062 (0.001) | 0.167 (0.001) | 0.402 (0.001) | 0.461 (0.001) | 0.526 (0.001) |
| Test Instances | Algorithm | M = 3 | M = 5 | M = 8 | M = 10 | M = 15 |
|---|---|---|---|---|---|---|
| WFG 1 | NSGAIII | 0.098 (0.001) | 0.591 (0.001) | 4.406 (0.000) | 7.081 (0.000) | 11.896 (0.001) |
| N3P2 | 0.106 (0.000) | 0.575 (0.000) | 1.504 (0.001) | 1.861 (0.001) | 4.789 (0.001) | |
| WFG 2 | NSGAIII | 0.124 (0.001) | 0.559 (0.000) | 7.169 (0.001) | 10.920 (0.000) | 18.124 (0.001) |
| N3P2 | 0.133 (0.001) | 0.533 (0.001) | 2.583 (0.000) | 3.498 (0.000) | 10.534 (0.000) | |
| WFG 3 | NSGAIII | 0.073 (0.000) | 0.350 (0.000) | 1.301 (0.000) | 1.785 (0.000) | 2.635 (0.001) |
| N3P2 | 0.020 (0.001) | 0.111 (0.000) | 0.686 (0.001) | 1.250 (0.000) | 2.348 (0.001) | |
| WFG 4 | NSGAIII | 0.133 (0.000) | 0.690 (0.000) | 2.441 (0.000) | 4.572 (0.000) | 6.337 (0.001) |
| N3P2 | 0.093 (0.001) | 0.532 (0.000) | 1.901 (0.001) | 3.442 (0.001) | 5.106 (0.001) | |
| WFG 5 | NSGAIII | 0.151 (0.000) | 0.752 (0.000) | 2.971 (0.000) | 6.833 (0.000) | 8.926 (0.001) |
| N3P2 | 0.112 (0.001) | 0.526 (0.000) | 2.088 (0.001) | 3.549 (0.000) | 6.479 (0.001) | |
| WFG 6 | NSGAIII | 0.230 (0.000) | 1.256 (0.000) | 3.257 (0.000) | 6.164 (0.000) | 8.764 (0.001) |
| N3P2 | 0.097 (0.000) | 0.558 (0.001) | 2.068 (0.001) | 3.882 (0.001) | 4.586 (0.001) | |
| WFG 7 | NSGAIII | 0.381 (0.000) | 1.081 (0.000) | 3.261 (0.000) | 5.129 (0.000) | 7.873 (0.001) |
| N3P2 | 0.790 (0.001) | 0.531 (0.000) | 2.012 (0.001) | 3.609 (0.001) | 5.985 (0.001) | |
| WFG 8 | NSGAIII | 0.162 (0.000) | 1.026 (0.000) | 3.419 (0.000) | 5.656 (0.000) | 8.164 (0.001) |
| N3P2 | 0.094 (0.000) | 0.526 (0.001) | 2.103 (0.001) | 3.864 (0.001) | 6.325 (0.001) | |
| WFG 9 | NSGAIII | 0.187 (0.000) | 0.812 (0.000) | 3.248 (0.000) | 5.506 (0.000) | 8.487 (0.001) |
| N3P2 | 0.102 (0.001) | 0.546 (0.001) | 2.071 (0.001) | 3.624 (0.000) | 6.109 (0.001) |
| Test Instances | Algorithm | M = 3 | M = 5 | M = 8 | M = 10 | M = 15 |
|---|---|---|---|---|---|---|
| DTLZ1 | NSGAIII | 0.265 (0.016) | 0.249 (0.023) | 0.232 (0.021) | 0.227 (0.021) | 0.220 (0.026) |
| N3P2 | 0.271 (0.021) | 0.261 (0.013) | 0.238 (0.021) | 0.235 (0.019) | 0.225 (0.025) | |
| DTLZ2 | NSGAIII | 0.226 (0.032) | 0.183 (0.016) | 0.112 (0.023) | 0.283 (0.023) | 0.118 (0.033) |
| N3P2 | 0.226 (0.022) | 0.205 (0.023) | 0.152 (0.012) | 0.247 (0.027) | 0.180 (0.026) | |
| DTLZ3 | NSGAIII | 0.229 (0.031) | 0.224 (0.023) | 0.180 (0.011) | 0.162 (0.022) | 0.133 (0.016) |
| N3P2 | 0.241 (0.024) | 0.232 (0.018) | 0.189 (0.014) | 0.181 (0.031) | 0.174 (0.033) | |
| DTLZ4 | NSGAIII | 0.278 (0.023) | 0.318 (0.023) | 0.243 (0.033) | 0.203 (0.031) | 0.164 (0.021) |
| N3P2 | 0.316 (0.024) | 0.332 (0.022) | 0.266 (0.025) | 0.253 (0.034) | 0.190 (0.032) | |
| DTLZ5 | NSGAIII | 0.202 (0.023) | 0.213 (0.018) | 0.287 (0.023) | 0.183 (0.026) | 0.161 (0.023) |
| N3P2 | 0.216 (0.022) | 0.223 (0.017) | 0.299 (0.012) | 0.195 (0.022) | 0.179 (0.019) | |
| DTLZ6 | NSGAIII | 0.158 (0.018) | 0.144 (0.012) | 0.176 (0.034) | 0.148 (0.021) | 0.131 (0.023) |
| N3P2 | 0.166 (0.022) | 0.166 (0.016) | 0.190 (0.025) | 0.153 (0.022) | 0.147 (0.012) | |
| DTLZ7 | NSGAIII | 0.109 (0.019) | 0.084 (0.019) | 0.123 (0.020) | 0.141 (0.023) | 0.097 (0.022) |
| N3P2 | 0.137 (0.022) | 0.096 (0.013) | 0.136 (0.011) | 0.146 (0.022) | 0.105 (0.022) |
| Algorithm | IGD | |
|---|---|---|
| DTLZ1 | MOEA/DD | 0.110 (0.002) |
| NSGAIII | 0.031 (0.000) |
| Projection Grids | DDP2 | N3P2 | |
|---|---|---|---|
| DTLZ1 | 2D_2S/D_4G | 0.075 (0.001) | 0.025 (0.001) |
| 3D_2S/D_8G | 0.073 (0.001) | 0.027 (0.000) | |
| 2D_3S/D_9G | 0.067 (0.001) | 0.023 (0.001) | |
| 2D_4S/D_16G | 0.063 (0.000) | 0.02 (0.001) | |
| 4D_2S/D_16G | 0.081 (0.001) | 0.03 (0.001) | |
| 3D_3S/D_27G | 0.062 (0.000) | 0.017 (0.001) | |
| 3D_4S/D_64G | 0.053 (0.000) | 0.014 (0.000) | |
| 4D_3S/D_81G | 0.053 (0.000) | 0.014 (0.000) | |
| 4D_4S/D_256G | 0.053 (0.000) | 0.014 (0.000) |
| Algorithm | 1 MOEA/DD | 2 DDP2 |
|---|---|---|
| 1 MOEA/DD | — | C(1, 2) = 0.015 (0.002) |
| 2 DDP2 | C(2, 1) = 0.232 (0.004) | — |
| Algorithm | 1 NSGAIII | 2 N3P2 |
|---|---|---|
| 1 NSGAIII | — | C(1, 2) = 0.106 (0.003) |
| 2 N3P2 | C(2, 1) = 0.188 (0.002) | — |
| Determined the Objective Domain | Average Time (s) | Average Number of Solutions that Meet User Requirements |
|---|---|---|
| No determined. | 12.397 | 13.1 |
| Coverage fraction scope [50–100%] | 9.779 | 22.5 |
Disclaimer/Publisher’s Note: The statements, opinions and data contained in all publications are solely those of the individual author(s) and contributor(s) and not of MDPI and/or the editor(s). MDPI and/or the editor(s) disclaim responsibility for any injury to people or property resulting from any ideas, methods, instructions or products referred to in the content. |
© 2023 by the authors. Licensee MDPI, Basel, Switzerland. This article is an open access article distributed under the terms and conditions of the Creative Commons Attribution (CC BY) license (https://creativecommons.org/licenses/by/4.0/).
Share and Cite
Peng, F.; Lv, L.; Chen, W.; Wang, J. A Projection-Based Evolutionary Algorithm for Multi-Objective and Many-Objective Optimization. Processes 2023, 11, 1564. https://doi.org/10.3390/pr11051564
Peng F, Lv L, Chen W, Wang J. A Projection-Based Evolutionary Algorithm for Multi-Objective and Many-Objective Optimization. Processes. 2023; 11(5):1564. https://doi.org/10.3390/pr11051564
Chicago/Turabian StylePeng, Funan, Li Lv, Weiru Chen, and Jun Wang. 2023. "A Projection-Based Evolutionary Algorithm for Multi-Objective and Many-Objective Optimization" Processes 11, no. 5: 1564. https://doi.org/10.3390/pr11051564
APA StylePeng, F., Lv, L., Chen, W., & Wang, J. (2023). A Projection-Based Evolutionary Algorithm for Multi-Objective and Many-Objective Optimization. Processes, 11(5), 1564. https://doi.org/10.3390/pr11051564
