Gas Formation of Cobalt and Copper in the Application of Unconstrained Co-Cr-Al-Cu Metal Powders in Submerged Arc Welding: Gas Phase Thermodynamics and 3D Slag SEM Evidence
Abstract
:1. Introduction
2. Materials and Methods
2.1. Welding Tests
2.2. Thermochemical Calculations for Gas Phase Reactions
3. Results
3.1. Weld Metal Chemistry
3.2. Mass Balance
3.3. Heating Effect Quantification from Exothermic Reactions with Aluminium
3.4. Speciation and Distribution of Cr, Co and Cu in the Slag
4. Discussion
4.1. Simplified Chemical Interactions
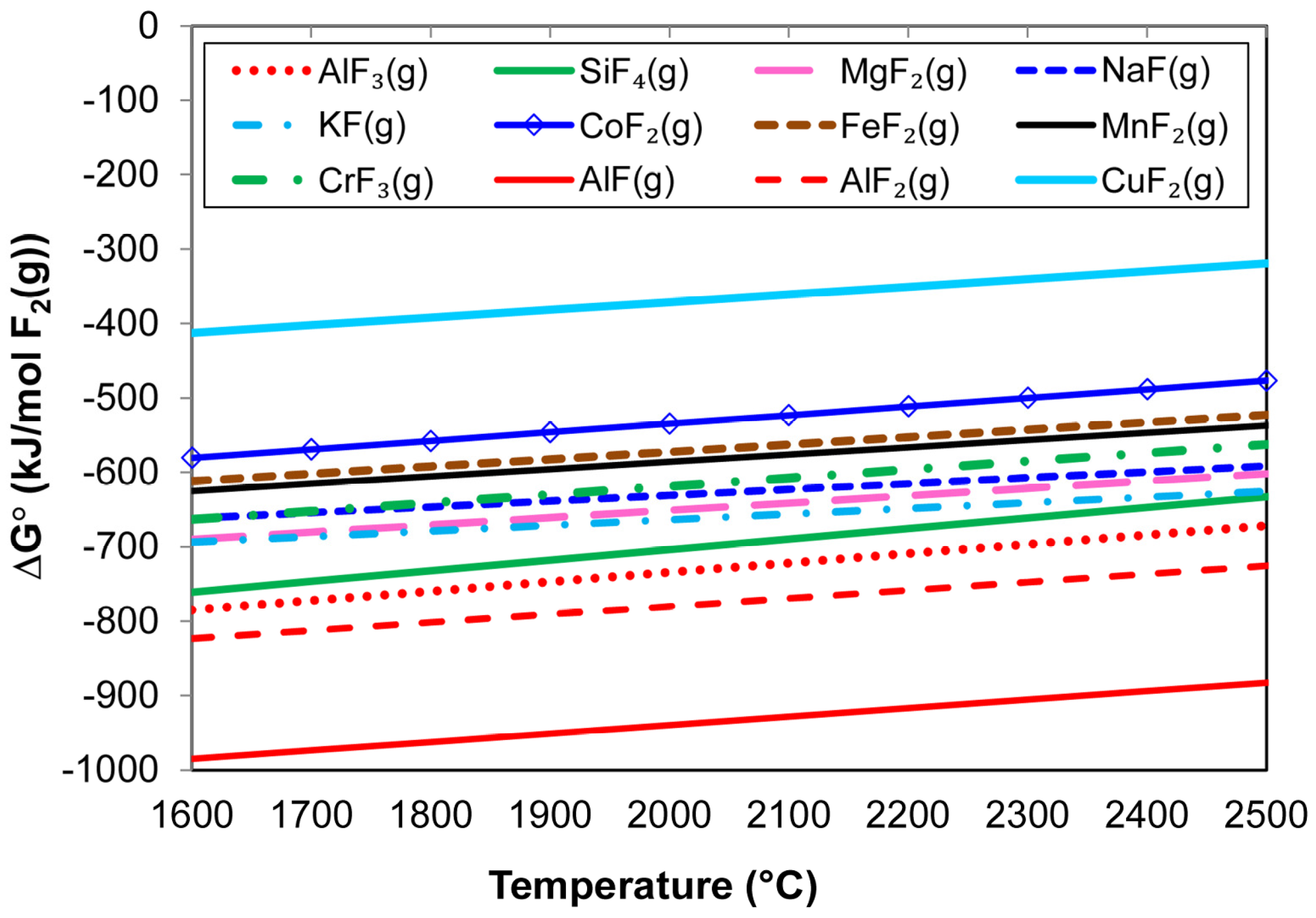
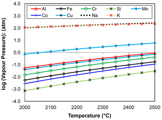
4.2. Thermochemical Equilibrium Calculations
4.3. SAW Reaction Flow Diagram with Al, Cr, Co and Cu Metal Powder Additions
5. Conclusions
- Al, Cr, Co and Cu unconstrained metal powders were successfully applied in SAW to alloy carbon steel weld metal whilst controlling the total weld metal ppm O at an acceptable level.
- The added copper metal powder vaporised as metallic copper in the arc cavity, and was incorporated into the Si-Cu-Na-Mn-Fe-Co oxy-fluoride upon re-condensation from the gas phase.
- Thermochemical calculations indicate that copper vaporisation does not substitute for aluminium vaporisation, even though both elements have similar vapour pressures at specific temperatures.
- Copper, in combination with aluminium, has a stabiliser effect in SAW due to its formation of an initial alloy melt of low liquidus temperature. This initial alloy melt lowers the temperature required to melt high-melting point metals such as Cr into the weld pool.
- Nano-sized oxy-fluoride strands and spheres in the dome structures of the 3D slag sample indicate that vaporisation and re-condensation of oxy-fluorides occurred.
Author Contributions
Funding
Data Availability Statement
Conflicts of Interest
References
- Sengupta, V.; Havrylov, D.; Mendex, P.F. Physical phenomena in the weld zone of submerged arc welding—A Review. Weld. J. 2019, 98, 283–313. [Google Scholar]
- O’Brien, A. Welding Handbook—Materials and Applications, Part 1, 9th ed.; American Welding Society (AWS): Miami, FL, USA, 2011; Volume 4. [Google Scholar]
- Coetsee, T.; De Bruin, F. Aluminium Assisted Nickel Alloying in Submerged Arc Welding of Carbon Steel: Application of Unconstrained Metal Powders. Appl. Sci. 2022, 12, 5392. [Google Scholar] [CrossRef]
- Coetsee, T.; De Bruin, F. Modification of Flux Oxygen Behaviour via Co-Cr-Al Unconstrained Metal Powder Additions in Submerged Arc Welding: Gas Phase Thermodynamics and 3D Slag SEM Evidence. Processes 2022, 10, 2452. [Google Scholar] [CrossRef]
- Coetsee, T.; De Bruin, F.J. Improved titanium transfer in Submerged Arc Welding of carbon steel through aluminium addition. Miner. Process. Extr. Metall. Rev. 2021, 43, 771–774. [Google Scholar] [CrossRef]
- Coetsee, T.; De Bruin, F.J. Reactions at the molten flux-weld pool interface in submerged arc welding. High Temp. Mater. Process. 2021, 40, 421–427. [Google Scholar] [CrossRef]
- Coetsee, T.; De Bruin, F. Application of Copper as Stabiliser in Aluminium Assisted Transfer of Titanium in Submerged Arc Welding of Carbon Steel. Processes 2021, 9, 1763. [Google Scholar] [CrossRef]
- Coetsee, T.; De Bruin, F. Chemical Interaction of Cr-Al-Cu Metal Powders in Aluminum-Assisted Transfer of Chromium in Submerged Arc Welding of Carbon Steel. Processes 2022, 10, 296. [Google Scholar] [CrossRef]
- Coetsee, T.; De Bruin, F. Aluminium-Assisted Alloying of Carbon Steel in Submerged Arc Welding: Application of Al-Cr-Ti-Cu Unconstrained Metal Powders. Processes 2022, 10, 452. [Google Scholar] [CrossRef]
- Coetsee, T.; De Bruin, F. Application of Unconstrained Cobalt and Aluminium Metal Powders in the Alloying of Carbon Steel in Submerged Arc Welding: Thermodynamic Analysis of Gas Reactions. Appl. Sci. 2022, 12, 8472. [Google Scholar] [CrossRef]
- Coetsee, T.; De Bruin, F. Aluminium-Assisted Alloying of Carbon Steel in Submerged Arc Welding with Al-Cr-Ni Unconstrained Metal Powders: Thermodynamic Interpretation of Gas Reactions. Processes 2022, 10, 2265. [Google Scholar] [CrossRef]
- Coetsee, T.; De Bruin, F. Chemical Behaviour of Copper in the Application of Unconstrained Cr-Ni-Al-Cu Metal Powders in Submerged Arc Welding: Gas Phase Thermodynamics and 3D Slag SEM Evidence. Processes 2023, 11, 351. [Google Scholar] [CrossRef]
- Dallam, C.B.; Liu, S.; Olson, D.L. Flux composition dependence of microstructure and toughness of submerged arc HSLA weldments. Weld. J. 1985, 64, 140–152. [Google Scholar]
- O’Brien, A. Welding Handbook—Welding Processes, Part 1, 9th ed.; American Welding Society (AWS): Miami, FL, USA, 1994; Volume 2. [Google Scholar]
- Di Schino, A. Heat treatment effect on interface microstructure and hardness of a medium carbon steel cladded by AISI 316 stainless steel. Acta Metall. Slovaca 2020, 26, 111–115. [Google Scholar] [CrossRef]
- Hallén, H.; Johansson, K.-E. Use of a Metal Powder for Surface Coating by Submerged Arc Welding. U.S. Patent 6331688 B1, 18 December 2001. [Google Scholar]
- Eagar, T.W. Sources of weld metal oxygen contamination during submerged arc welding. Weld. J. 1978, 57, 76–80. [Google Scholar]
- Chai, C.S.; Eagar, T.W. Slag metal reactions in binary CaF2-metal oxide welding fluxes. Weld. J. 1982, 61, 229–232. [Google Scholar]
- Tuliani, S.S.; Boniszewski, T.; Eaton, N.F. Notch toughness of commercial submerged arc weld metal. Weld. Met. Fabr. 1969, 37, 327–339. [Google Scholar]
- Polar, A.; Indacochea, J.E.; Blander, M. Electrochemically generated oxygen contamination in submerged arc welding. Weld. J. 1990, 69, 68–74. [Google Scholar]
- Lau, T.; Weatherly, G.C.; Mc Lean, A. The sources of oxygen and nitrogen contamination in submerged arc welding using CaO-Al2O3 based fluxes. Weld. J. 1985, 64, 343–347. [Google Scholar]
- Mitra, U.; Eagar, T.W. Slag metal reactions during submerged arc welding of alloy steels. Metall. Trans. B 1984, 15, 217–227. [Google Scholar] [CrossRef]
- Gött, G.; Gericke, A.; Henkel, K.-M.; Uhrlandt, D. Optical and spectroscopic study of a submerged arc welding cavern. Weld. J. 2016, 95, 491–499. [Google Scholar]
- Sengupta, V.; Mendez, P.F. Effect of fluxes on metal transfer and arc length in SAW. Weld. J. 2017, 96, 334–353. [Google Scholar]
- Coetsee, T.; Mostert, R.J.; Pistorius, P.G.H.; Pistorius, P.C. The effect of flux chemistry on element transfer in Submerged Arc Welding: Application of thermochemical modelling. Mater. Res. Technol. 2021, 11, 2021–2036. [Google Scholar] [CrossRef]
- Coetsee, T.; De Bruin, F. A Review of the Thermochemical Behaviour of Fluxes in Submerged Arc Welding: Modelling of Gas Phase Reactions. Processes 2023, 11, 658. [Google Scholar] [CrossRef]
- Helis, L.; Toda, Y.; Hara, T.; Miyazaki, H.; Abe, F. Effect of cobalt on the microstructure of tempered martensitic 9Cr steel for ultra-supercritical power plants. Mater. Sci. Eng. A 2009, 510–511, 88–94. [Google Scholar] [CrossRef]
- Jing, H.; Luo, Z.; Xu, L.; Zhao, L.; Han, Y. Low cycle fatigue behavior and microstructure of a novel 9Cr-3W-3Co tempered martensitic steel at 650 °C. Mater. Sci. Eng. A 2018, 731, 394–402. [Google Scholar] [CrossRef]
- De, S.K.; Srikanth, S.; Saxena, A.K.; Jha, B.K. Copper bearing steels from SAIL and its application. Int. J. Metall. Eng. 2016, 5, 1–8. [Google Scholar]
- Patel, D.; Soman, S.N. Develop a flux cored wire for submerged arc welding of Ni-Mo low alloy steel. Sadhana 2020, 45, 127. [Google Scholar] [CrossRef]
- Raabe, D.; Tasan, C.C.; Springer, H.; Bausch, M. From high-entropy alloys to high-entropy steels. Steel Res. Int. 2015, 86, 1127–1138. [Google Scholar] [CrossRef]
- Moon, J.; Ha, H.-Y.; Kim, K.-W.; Park, S.-J.; Lee, T.-H.; Kim, S.-D.; Jang, J.H.; Jo, H.-H.; Hong, H.-U.; Lee, B.H.; et al. A new class of lightweight, stainless steels with ultra-high strength and large ductility. Sci. Rep. 2020, 10, 12140. [Google Scholar] [CrossRef]
- Coetsee, T. Phase chemistry of Submerged Arc Welding (SAW) fluoride based slags. Mater. Res. Technol. 2020, 9, 9766–9776. [Google Scholar] [CrossRef]
- Lau, T.; Weatherly, G.C.; Mc Lean, A. Gas/Metal/Slag reactions in Submerged Arc Welding using CaO-Al2O3 based fluxes. Weld. J. 1986, 65, 31–38. [Google Scholar]
- Bale, C.W.; Bélisle, E.; Chartrand, P.; Decterov, S.; Eriksson, G.; Gheribi, A.E.; Hack, K.; Jung, I.-H.; Kang, Y.-B.; Melançon, J.; et al. Reprint of: FactSage thermochemical software and databases, 2010–2016. Calphad 2016, 55, 1–19. [Google Scholar] [CrossRef]
- Coetsee, T.; De Bruin, F. In Situ Modification of CaF2-SiO2-Al2O3-MgO Flux Applied in the Aluminium-Assisted Transfer of Titanium in the Submerged Arc Welding of Carbon Steel: Process Mineralogy and Thermochemical Analysis. Minerals 2022, 12, 604. [Google Scholar] [CrossRef]
- Coetsee, T.; De Bruin, F. Insight into the Chemical Behaviour of Chromium in CaF2-SiO2-Al2O3-MgO Flux Applied in Aluminium-Assisted Alloying of Carbon Steel in Submerged Arc Welding. Minerals 2022, 12, 1397. [Google Scholar] [CrossRef]
- Kluken, A.O.; Grong, Ø. Mechanisms of inclusion formation in Al-Ti-Si-Mn deoxidized steel weld metals. Metall. Trans. B 1989, 20, 1335–1349. [Google Scholar] [CrossRef]
- Chai, C.S.; Eagar, T.W. Slag-metal equilibrium during submerged arc welding. Metall. Trans. B 1981, 12, 539–547. [Google Scholar] [CrossRef]
- Mitra, U.; Eagar, T.W. Slag-metal reactions during welding: Part I. Evaluation and reassessment of existing theories. Metall. Trans. B 1991, 22, 65–71. [Google Scholar] [CrossRef]
- Kohno, R.; Takamo, T.; Mori, N.; Nagano, K. New fluxes of improved weld metal toughness for HSLA steels. Weld. J. 1982, 61, 373–380. [Google Scholar]
- Zarl, M.A.; Farkas, M.A.; Schenk, J. A Study on the Stability Fields of Arc Plasma in the HPSR Process. Metals 2020, 10, 1394. [Google Scholar] [CrossRef]
- Kim, J.H.; Frost, R.H.; Olsen, D.J. Electrochemical oxygen transfer during direct current arc welding. Weld. J. 1998, 77, 488–494. [Google Scholar]
- Haynes, W.M.; Lide, D.R.; Bruno, T.J. CRC Handbook of Chemistry and Physics, 97th ed.; CRC Press Taylor & Francis Group: Boca Raton, FL, USA, 2016. [Google Scholar]
- Collur, M.M.; Paul, A.; Debroy, T. Mechanism of alloying element vaporization during laser welding. Metall. Trans. B 1987, 18, 733–740. [Google Scholar] [CrossRef]
- Mitra, U.; Eagar, T.W. Slag-metal reactions during welding: Part II. Theory. Metall. Trans. B 1991, 22, 73–81. [Google Scholar] [CrossRef]














| %C | %Si | %Mn | %O | %Al | %P | %S | %Ni | %Cr | %Cu | %Co | %Fe | |
|---|---|---|---|---|---|---|---|---|---|---|---|---|
| Base Case | 0.110 | 0.260 | 1.300 | 0.0499 | 0.032 | 0.022 | 0.011 | 0.005 | 0.110 | 0.110 | 0.003 | 98.03 |
| MP11 | 0.097 | 0.757 | 1.417 | 0.0176 | 4.463 | 0.023 | 0.006 | 0.043 | 5.500 | 5.260 | 5.307 | 77.05 |
| %Si | %Mn | %Al | %Cr | %Cu | %Co | %Fe | |
|---|---|---|---|---|---|---|---|
| a | 0.70 | 1.50 | 4.10 | 5.81 | 5.61 | 5.91 | 76.4 |
| b | 0.70 | 1.40 | 4.10 | 5.81 | 5.51 | 5.91 | 76.6 |
| c | 0.72 | 1.54 | 4.00 | 5.75 | 5.44 | 5.95 | 76.6 |
| Al (g) | Cr (g) | Co (g) | Cu (g) | Powder (g) | Wire (g) | Base Plate (g) | Weld Metal (g) | %DR(wire + MP) | %Al Yield | %Cr Yield | %Co Yield | %Cu Yield | |
|---|---|---|---|---|---|---|---|---|---|---|---|---|---|
| MP11 | 4.7 | 5.7 | 5.5 | 5.5 | 21.4 | 51.1 | 31.9 | 104.4 | 69 | 66 | 82 | 78 | 78 |
| SiO2 (g) | MnO (g) | Al (g) | Reaction (2) (kJ) | Reaction (3) (kJ) | Reactions (2) & (3) (kJ) | Weld Metal ΔT (°C) | |
|---|---|---|---|---|---|---|---|
| MP11 | 1.36 | 0.34 | 0.90 | −2.49 | −0.79 | −3.28 | 68 |
| Figure | %F | %O | %Al | %Si | %Mg | %Ca | %Mn | %Fe | %Cu | %Na | %K | %Ti | %Cr | %Co |
|---|---|---|---|---|---|---|---|---|---|---|---|---|---|---|
| 4 | 21.8 | 25.8 | 9.4 | 9.6 | 6.9 | 5.7 | 8.0 | 5.7 | 0.6 | 3.5 | 0.3 | 1.5 | 0.4 | 0.5 |
| 5 | 19.4 | 12.0 | 5.0 | 10.8 | 4.0 | 3.2 | 30.5 | 5.2 | 0.4 | 2.4 | 0.2 | 3.6 | 0.9 | 2.2 |
| 6 | 17.6 | 10.7 | 4.4 | 10.0 | 4.2 | 3.6 | 20.3 | 17.2 | 1.8 | 2.8 | 0.4 | 3.8 | 1.2 | 1.5 |
| GramAl | Mass% Cr to Gas | Mass% Co to Gas | Mass% Cu to Gas | Mass% Al to Gas | Free Electron Volume Fraction in Gas Phase: e[−] | |
|---|---|---|---|---|---|---|
| zero | 13 | 10 | 42 | 0 | 1.4 × 10−6 | 2.8 × 10−5 |
| 3.00 | 27 | 14 | 68 | 57 | 3.1 × 10−7 | 4.0 × 10−5 |
| 6.10 | 41 | 18 | 80 | 50 | 8.5 × 10−8 | 5.4 × 10−5 |
Disclaimer/Publisher’s Note: The statements, opinions and data contained in all publications are solely those of the individual author(s) and contributor(s) and not of MDPI and/or the editor(s). MDPI and/or the editor(s) disclaim responsibility for any injury to people or property resulting from any ideas, methods, instructions or products referred to in the content. |
© 2023 by the authors. Licensee MDPI, Basel, Switzerland. This article is an open access article distributed under the terms and conditions of the Creative Commons Attribution (CC BY) license (https://creativecommons.org/licenses/by/4.0/).
Share and Cite
Coetsee, T.; De Bruin, F. Gas Formation of Cobalt and Copper in the Application of Unconstrained Co-Cr-Al-Cu Metal Powders in Submerged Arc Welding: Gas Phase Thermodynamics and 3D Slag SEM Evidence. Processes 2023, 11, 1116. https://doi.org/10.3390/pr11041116
Coetsee T, De Bruin F. Gas Formation of Cobalt and Copper in the Application of Unconstrained Co-Cr-Al-Cu Metal Powders in Submerged Arc Welding: Gas Phase Thermodynamics and 3D Slag SEM Evidence. Processes. 2023; 11(4):1116. https://doi.org/10.3390/pr11041116
Chicago/Turabian StyleCoetsee, Theresa, and Frederik De Bruin. 2023. "Gas Formation of Cobalt and Copper in the Application of Unconstrained Co-Cr-Al-Cu Metal Powders in Submerged Arc Welding: Gas Phase Thermodynamics and 3D Slag SEM Evidence" Processes 11, no. 4: 1116. https://doi.org/10.3390/pr11041116
APA StyleCoetsee, T., & De Bruin, F. (2023). Gas Formation of Cobalt and Copper in the Application of Unconstrained Co-Cr-Al-Cu Metal Powders in Submerged Arc Welding: Gas Phase Thermodynamics and 3D Slag SEM Evidence. Processes, 11(4), 1116. https://doi.org/10.3390/pr11041116
