Synthesis of g-C3N4 Derived from Different Precursors for Photodegradation of Sulfamethazine under Visible Light
Abstract
:1. Introduction
2. Experimental
2.1. Materials
2.2. Synthesis of g-C3N4 Samples
2.3. Characterization of the Synthesized g-C3N4
2.4. Measurement of Photocatalyst Activity
3. Results and Discussion
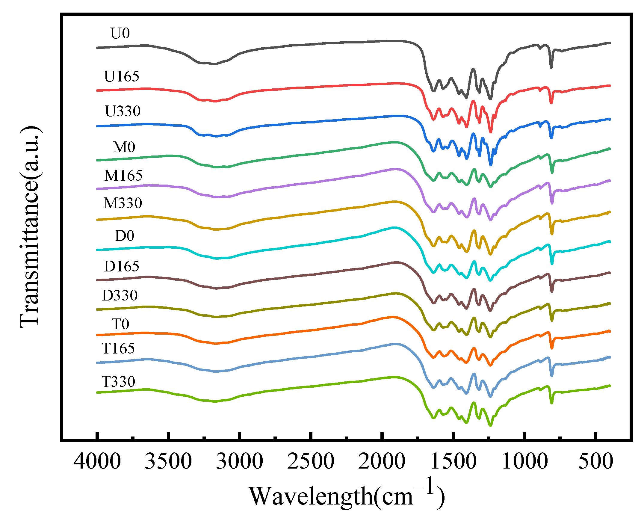
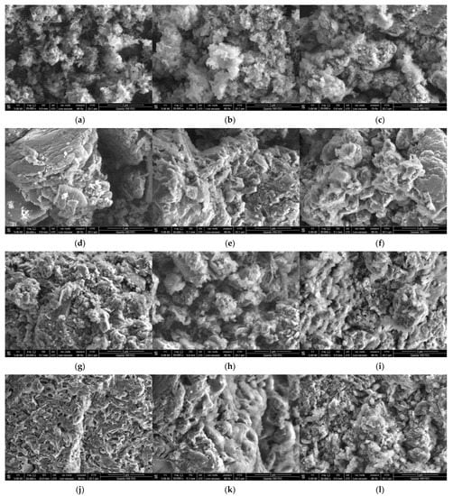
3.1. Characterization
3.2. Photocatalyst Performance Analysis
4. Conclusions
Author Contributions
Funding
Institutional Review Board Statement
Informed Consent Statement
Data Availability Statement
Acknowledgments
Conflicts of Interest
References
- Cook, M.A.; Wright, G.D. The past, present, and future of antibiotics. Sci. Transl. Med. 2022, 14, eabo7793. [Google Scholar] [CrossRef]
- Wertheimer, A. The urgent need for new antibiotics. J. Pharm. Health Serv. Res. 2022, 13, 167. [Google Scholar] [CrossRef]
- Ahmed, H.; Zolfo, M.; Williams, A.; Ashubwe-Jalemba, J.; Tweya, H.; Adeapena, W.; Labi, A.K.; Adomako, L.A.B.; Addico, G.N.D.; Banu, R.A.; et al. Antibiotic-Resistant Bacteria in Drinking Water from the Greater Accra Region, Ghana: A Cross-Sectional Study, December 2021–March 2022. Int. J. Environ. Res. Public Health 2022, 19, 12300. [Google Scholar] [CrossRef]
- Zhang, T.; Li, B. Occurrence, Transformation, and Fate of Antibiotics in Municipal Wastewater Treatment Plants. Crit. Rev. Environ. Sci. Technol. 2011, 41, 951–998. [Google Scholar] [CrossRef]
- Matamoros, V.; Casas, M.E.; Pastor, E.; Tadic, D.; Canameras, N.; Carazo, N.; Bayona, J.M. Effects of tetracycline, sulfonamide, fluoroquinolone, and lincosamide load in pig slurry on lettuce: Agricultural and human health implications. Environ. Res. 2022, 215, 114237. [Google Scholar] [CrossRef]
- Xia, W.K.; Liu, C.; Ye, S.; Wang, L.; Liu, R.Y. Synthesis of A Sulfonamide-Substituted Benzothiadiazole-Based Fluorescent Dye and Study of Its Application for Long-Term Cancer Cell Tracking. Chin. J. Org. Chem. 2022, 42, 2535–2541. [Google Scholar] [CrossRef]
- Yan, X.J.; Liu, W.W.; Wen, S.F.; Wang, L.J.; Zhu, L.S.; Wang, J.; Kim, Y.M.; Wang, J.H. Effect of sulfamethazine on the horizontal transfer of plasmid-mediated antibiotic resistance genes and its mechanism of action. J. Environ. Sci. 2023, 127, 399–409. [Google Scholar] [CrossRef]
- Li, Y.; Liu, H.L.; Xing, W.M.; Wang, J.; Fan, H.Y. Effects of irrigation water quality on the presence of pharmaceutical and personal care products in topsoil and vegetables in greenhouses. Environ. Sci. Pollut. Res. 2022, 30, 13726–13738. [Google Scholar] [CrossRef]
- Sun, Q.; Sun, Y.; Zhou, M.Y.; Cheng, H.M.; Chen, H.Y.; Dorus, B.; Lu, M.; Le, T. A 2D/3D g-C3N4/ZnO heterojunction enhanced visible-light driven photocatalytic activity for sulfonamides degradation. Ceram. Int. 2022, 48, 7283–7290. [Google Scholar] [CrossRef]
- Cui, J.; Fu, L.F.; Tang, B.; Bin, L.Y.; Li, P.; Huang, S.S.; Fu, F.L. Occurrence, ecotoxicological risks of sulfonamides and their acetylated metabolites in the typical wastewater treatment plants and receiving rivers at the Pearl River Delta. Sci. Total Environ. 2020, 709, 136192. [Google Scholar] [CrossRef]
- Garcia-Galan, M.J.; Blanco, S.G.; Roldan, R.L.; Diaz-Cruz, S.; Barcelo, D. Ecotoxicity evaluation and removal of sulfonamides and their acetylated metabolites during conventional wastewater treatment. Sci. Total Environ. 2012, 437, 403–412. [Google Scholar] [CrossRef]
- Sannino, F.; Pansini, M.; Marocco, A.; Cinquegrana, A.; Esposito, S.; Tammaro, O.; Barrera, G.; Tiberto, P.; Allia, P.; Pirozzi, D. Removal of sulfanilamide by tailor-made magnetic metal-ceramic nanocomposite adsorbents. J. Environ. Manag. 2022, 310, 114701. [Google Scholar] [CrossRef]
- Shehzad, H.; Farooqi, Z.H.; Ahmed, E.; Sharif, A.; Razzaq, S.; Mirza, F.N.; Irfan, A.; Begum, R. Synthesis of hybrid biosorbent based on 1,2-cyclohexylenedinitrilotetra-acetic acid modified crosslinked chitosan and organo-functionalized calcium alginate for adsorptive removal of Cu(II). Int. J. Biol. Macromol. 2022, 209, 132–143. [Google Scholar] [CrossRef]
- Baran, W.; Adamek, E.; Jajko, M.; Sobczak, A. Removal of veterinary antibiotics from wastewater by electrocoagulation. Chemosphere 2018, 194, 381–389. [Google Scholar] [CrossRef]
- Xie, T.T.; Chen, K.; Xie, H.X.; Miao, C.C.; Yu, M.; Li, F.Y.; Chen, Y.H.; Yang, X.J.; Li, P.; Niu, Q.S. Highly negatively charged nanofiltration membrane prepared with a novel diamino-sulfonamide aqueous monomer for efficient removal of anionic dyes. Appl. Surf. Sci. 2022, 599, 153914. [Google Scholar] [CrossRef]
- Aber, S.; Ghalamchi, L.; Hosseinzadeh, H.; Nofouzi, K.; Naseri, A. Biological treatment of ranitidine and cefixime trihydrate mixed solution by activated sludge in sequencing batch reactor. Desalination Water Treat. 2021, 225, 94–103. [Google Scholar] [CrossRef]
- Begum, R.; Farooqi, Z.H.; Xiao, J.L.; Ahmed, E.; Sharif, A.; Irfan, A. Crosslinked polymer encapsulated palladium nanoparticles for catalytic reduction and Suzuki reactions in aqueous medium. J. Mol. Liq. 2021, 338, 116780. [Google Scholar] [CrossRef]
- Naseem, K.; Begum, R.; Wu, W.; Irfan, A.; Nisar, J.; Azam, M.; Farooqi, Z.H. Core/shell composite microparticles for catalytic reduction of p-nitrophenol: Kinetic and thermodynamic study. Int. J. Environ. Sci. Technol. 2021, 18, 1809–1820. [Google Scholar] [CrossRef]
- Azhar, M.R.; Abid, H.R.; Sun, H.; Periasamy, V.; Tadé, M.O.; Wang, S. Excellent performance of copper based metal organic framework in adsorptive removal of toxic sulfonamide antibiotics from wastewater. J. Colloid Interface Sci. 2016, 478, 344–352. [Google Scholar] [CrossRef]
- Zhang, S.X.; Pang, X.F.; Yue, Z.; Zhou, Y.H.; Duan, H.T.; Shen, W.J.; Li, J.F.; Liu, Y.L.; Cheng, Q.P. Sulfonamides removed from simulated livestock and poultry breeding wastewater using an in -situ electro-Fenton process powered by photovoltaic energy. Chem. Eng. J. 2020, 397, 125466. [Google Scholar] [CrossRef]
- Liang, C.Y.; Wei, D.; Zhang, S.Y.; Ren, Q.H.; Shi, J.P.; Liu, L. Removal of antibiotic resistance genes from swine wastewater by membrane filtration treatment. Ecotoxicol. Environ. Saf. 2021, 210, 111885. [Google Scholar] [CrossRef]
- Yu, Z.H.; Zhang, X.B.; Ngo, H.H.; Guo, W.S.; Wen, H.T.; Deng, L.J.; Li, Y.J.; Guo, J.B. Removal and degradation mechanisms of sulfonamide antibiotics in a new integrated aerobic submerged membrane bioreactor system. Bioresour. Technol. 2018, 268, 599–607. [Google Scholar] [CrossRef]
- Li, X.T.; Liang, K.M.; Yang, B.; Xiao, K.; Duan, H.B.; Song, G.Q.; Zhao, H.Z. Preparation and application of a targeted magnetically separated catalyst for sulfonamides degradation based on molecular dynamics selection and mechanism analysis. Chem. Eng. J. 2022, 432, 134365. [Google Scholar] [CrossRef]
- Gan, W.; Fu, X.C.; Guo, J.; Zhang, M.; Li, D.D.; Ding, C.S.; Lu, Y.Q.; Wang, P.; Sun, Z.Q. Ag nanoparticles decorated 2D/2D TiO2/g-C3N4 heterojunction for efficient removal of tetracycline hydrochloride: Synthesis, degradation pathways, and mechanism. Appl. Surf. Sci. 2022, 606, 154837. [Google Scholar] [CrossRef]
- Gong, Y.A.; Wang, Y.; Tang, M.M.; Zhang, H.; Wu, P.; Liu, C.J.; He, J.; Jiang, W. A two-step process coupling photocatalysis with adsorption to treat tetracycline—Copper(II) hybrid wastewaters. J. Water Process Eng. 2022, 47, 102710. [Google Scholar] [CrossRef]
- Hao, B.F.; Guo, J.P.; Zhang, L.; Ma, H.Z. Magnetron sputtered TiO2/CuO heterojunction thin films for efficient photocatalysis of Rhodamine B. J. Alloys Compd. 2022, 903, 163851. [Google Scholar] [CrossRef]
- Song, Y.L.; Qi, J.Y.; Tian, J.Y.; Gao, S.S.; Cui, F.Y. Construction of Ag/g-C3N4 photocatalysts with visible-light photocatalytic activity for sulfamethoxazole degradation. Chem. Eng. J. 2018, 341, 547–555. [Google Scholar] [CrossRef]
- Yang, Y.X.; Guo, Y.N.; Liu, F.Y.; Yuan, X.; Guo, Y.H.; Zhang, S.Q.; Guo, W.; Huo, M.X. Preparation and enhanced visible-light photocatalytic activity of silver deposited graphitic carbon nitride plasmonic photocatalyst. Appl. Catal. B-Environ. 2013, 142, 828–837. [Google Scholar] [CrossRef]
- Zhang, F.J.; Xie, F.Z.; Zhu, S.F.; Liu, J.; Zhang, J.; Mei, S.F.; Zhao, W. A novel photofunctional g-C3N4/Ag3PO4 bulk heterojunction for decolorization of Rh. B. Chem. Eng. J. 2013, 228, 435–441. [Google Scholar] [CrossRef]
- Liu, J.H.; Zhang, T.K.; Wang, Z.C.; Dawson, G.; Chen, W. Simple pyrolysis of urea into graphitic carbon nitride with recyclable adsorption and photocatalytic activity. J. Mater. Chem. 2011, 21, 14398–14401. [Google Scholar] [CrossRef]
- Dong, J.Q.; Zhang, Y.; Hussain, M.I.; Zhou, W.J.; Chen, Y.Z.; Wang, L.N. g-C3N4: Properties, Pore Modifications, and Photocatalytic Applications. Nanomaterials 2022, 12, 121. [Google Scholar] [CrossRef]
- Mahmood, A.; Irfan, A.; Wang, J.L. Molecular level understanding of the chalcogen atom effect on chalcogen-based polymers through electrostatic potential, non-covalent interactions, excited state behaviour, and radial distribution function. Polym. Chem. 2022, 13, 5993–6001. [Google Scholar] [CrossRef]
- Mahmood, A.; Abdullah, M.I.; Nazar, M.F. Quantum Chemical Designing of Novel Organic Non-Linear Optical Compounds. Bull. Korean Chem. Soc. 2014, 35, 1391–1396. [Google Scholar] [CrossRef]
- Mahmood, A.; Khan, S.U.D.; Rehman, F.U. Assessing the quantum mechanical level of theory for prediction of UV/Visible absorption spectra of some aminoazobenzene dyes. J. Saudi Chem. Soc. 2015, 19, 436–441. [Google Scholar] [CrossRef]
- Mou, Z.G.; Chen, T.; Tao, Y.; Gao, Y.; Sun, J.H.; Lei, W.I. Fabrication of g-C3N4/N,Fe co-doped CQDs composites: In situ decoration of g-C3N4 with N-CQDs and Fe and efficient visible-light photocatalytic degradation of tetracycline. J. Phys. D-Appl. Phys. 2022, 55, 444005. [Google Scholar] [CrossRef]
- Xia, X.; Xu, B.G.; Zhang, H.Y.; Ji, K.; Ji, X.S.; Wang, D.; Yang, P. NiCoP/g-C3N4 Schottky heterojunctions towards efficient photocatalytic NO oxidation. J. Alloys Compd. 2022, 928, 167207. [Google Scholar] [CrossRef]
- Zhou, Y.Y.; Zhang, J.X.; Wu, D.F. Enhanced photocatalytic degradation of ciprofloxacin over Bi2MoO6/g-C3N4/BiFeO3 heterojunction photocatalyst under visible light irradiation. Mater. Sci. Semicond. Process 2022, 151, 453–461. [Google Scholar] [CrossRef]
- Wang, L.; Wang, Z.L.; Wang, F.; Guan, Y.; Meng, D.; Li, X.; Zhou, H.Z.; Li, X.D.; Chen, Y.W.; Tan, Z.L. Response of performance, antibiotic resistance genes and bacterial community exposure to compound antibiotics stress: Full nitrification to shortcut nitrification and denitrification. Chem. Eng. J. 2023, 451, 107011. [Google Scholar] [CrossRef]
- Putri, L.K.; Ng, B.J.; Er, C.C.; Ong, W.J.; Chang, W.S.; Mohamed, A.R.; Chai, S.P. Insights on the impact of doping levels in oxygen-doped gC(3)N(4) and its effects on photocatalytic activity. Appl. Surf. Sci. 2020, 504, 144427. [Google Scholar] [CrossRef]
- Yan, W.; Yan, L.; Jing, C.Y. Impact of doped metals on urea-derived g-C3N4 for photocatalytic degradation of antibiotics: Structure, photoactivity and degradation mechanisms. Appl. Catal. B-Environ. 2019, 244, 475–485. [Google Scholar] [CrossRef]
- Li, H.P.; Liu, J.Y.; Hou, W.G.; Du, N.; Zhang, R.J.; Tao, X.T. Synthesis and characterization of g-C3N4/Bi2MoO6 heterojunctions with enhanced visible light photocatalytic activity. Appl. Catal. B-Environ. 2014, 160, 89–97. [Google Scholar] [CrossRef]
- Zhang, Y.W.; Liu, J.H.; Wu, G.; Chen, W. Porous graphitic carbon nitride synthesized via direct polymerization of urea for efficient sunlight-driven photocatalytic hydrogen production. Nanoscale 2012, 4, 5300–5303. [Google Scholar] [CrossRef] [PubMed]
- Niu, P.; Zhang, L.; Liu, G.; Cheng, H.M. Graphene-like carbon nitride nanosheets for improved photocatalytic activities. Adv. Funct. Mater. 2012, 22, 4763–4770. [Google Scholar] [CrossRef]
- Ren, J.; Liu, X.; Zhang, L.; Liu, Q.Q.; Gao, R.H.; Dai, W.L. Thermal oxidative etching method derived graphitic C3N4: Highly efficient metal-free catalyst in the selective epoxidation of styrene. Rsc Adv. 2017, 7, 5340–5348. [Google Scholar] [CrossRef]
- Su, Q.; Sun, J.; Wang, J.Q.; Yang, Z.F.; Cheng, W.G.; Zhang, S.J. Urea-derived graphitic carbon nitride as an efficient heterogeneous catalyst for CO2 conversion into cyclic carbonates. Catal. Sci. Technol. 2014, 4, 1556–1562. [Google Scholar] [CrossRef]
- Dong, H.; Guo, X.T.; Yang, C.; Ouyang, Z.Z. Synthesis of g-C3N4 by different precursors under burning explosion effect and its photocatalytic degradation for tylosin. Appl. Catal. B-Environ. 2018, 230, 65–76. [Google Scholar] [CrossRef]
- Hu, J.Y.; Tian, K.; Jiang, H. Improvement of phenol photodegradation efficiency by a combined g-C3N4/Fe(III)/persulfate system. Chemosphere 2016, 148, 34–40. [Google Scholar] [CrossRef] [PubMed]
- Yan, S.C.; Li, Z.S.; Zou, Z.G. Photodegradation of Rhodamine B and Methyl Orange over Boron-Doped g-C3N4 under Visible Light Irradiation. Langmuir 2010, 26, 3894–3901. [Google Scholar] [CrossRef]
- Meftahi, A.; Shabani-Nooshabadi, M.; Reisi-Vanani, A. AgI/g-C3N4 nanocomposite as electrode material for supercapacitors: Comparative study for its efficiency in three different aqueous electrolytes br. Electrochim. Acta 2022, 430, 141052. [Google Scholar] [CrossRef]
- Danish, M.; Athar, M.S.; Ahmad, I.; Warshagha, M.Z.A.; Rasool, Z.; Muneer, M. Highly efficient and stable Fe2O3/g-C3N4/GO nanocomposite with Z-scheme electron transfer pathway: Role of photocatalytic activity and adsorption isotherm of organic pollutants in wastewater. Appl. Surf. Sci. 2022, 604, 154604. [Google Scholar] [CrossRef]
- Asadi, A.; Daglioglu, N.; Hasani, T.; Farhadian, N. Construction of Mg-doped ZnO/g-C3N4@ZIF-8 multi-component catalyst with superior catalytic performance for the degradation of illicit drug under visible light. Colloids Surf. A-Physicochem. Eng. Asp. 2022, 650, 129536. [Google Scholar] [CrossRef]
- Wu, X.T.; Liu, C.G.; Li, X.F.; Zhang, X.G.; Wang, C.; Liu, Y.K. Effect of morphology on the photocatalytic activity of g-C3N4 photocatalysts under visible-light irradiation. Mater. Sci. Semicond. Process 2015, 32, 76–81. [Google Scholar] [CrossRef]
- Zhong, K.D.; Feng, J.W.; Gao, H.B.; Zhang, Y.M.; Lai, K.R. Fabrication of BiVO4@g-C3N4(100) heterojunction with enhanced photocatalytic visible-light-driven activity. J. Solid State Chem. 2019, 274, 142–151. [Google Scholar] [CrossRef]
- Zhang, H.; Zhao, L.X.; Geng, F.L.; Guo, L.H.; Wan, B.; Yang, Y. Carbon dots decorated graphitic carbon nitride as an efficient metal-free photocatalyst for phenol degradation. Appl. Catal. B-Environ. 2016, 180, 656–662. [Google Scholar] [CrossRef]
- Faisal, M.; Ismail, A.A.; Harraz, F.A.; Al-Sayari, S.A.; El-Toni, A.M.; Al-Assiri, M.S. Synthesis of highly dispersed silver doped g-C3N4 nanocomposites with enhanced visible-light photocatalytic activity. Mater. Des. 2016, 98, 223–230. [Google Scholar] [CrossRef]
- Lei, Y.; Huang, J.F.; Li, X.A.; Lv, C.Y.; Hou, C.P.; Liu, J.M. Direct Z-scheme photochemical hybrid systems: Loading porphyrin-based metal-organic cages on graphitic-C3N4 to dramatically enhance photocatalytic hydrogen evolution. Chin. J. Catal. 2022, 43, 2249–2258. [Google Scholar] [CrossRef]
- Bavani, T.; Madhavan, J.; Preeyanghaa, M.; Neppolian, B.; Murugesan, S. Construction of direct Z-scheme g-C3N4/BiYWO6 heterojunction photocatalyst with enhanced visible light activity towards the degradation of methylene blue. Environ. Sci. Pollut. Res. 2022, 30, 10179–10190. [Google Scholar] [CrossRef]
- Wang, H.; He, W.J.; Dong, X.A.; Wang, H.Q.; Dong, F. In situ FT-IR investigation on the reaction mechanism of visible light photocatalytic NO oxidation with defective g-C3N4. Sci. Bull. 2018, 63, 117–125. [Google Scholar] [CrossRef]
- Li, F.P.; Huang, Y.H.; Gao, C.Y.; Wu, X.Y. The enhanced photo-catalytic CO2 reduction performance of g-C3N4 with high selectivity by coupling CoNiSx. Mater. Res. Bull. 2021, 144, 111488. [Google Scholar] [CrossRef]
- Liu, Q.; Guo, Y.R.; Chen, Z.H.; Zhang, Z.G.; Fang, X.M. Constructing a novel ternary Fe(III)/graphene/g-C3N4 composite photocatalyst with enhanced visible-light driven photocatalytic activity via interfacial charge transfer effect. Appl. Catal. B-Environ. 2016, 183, 231–241. [Google Scholar] [CrossRef]
- Yang, X.L.; Qian, F.F.; Zou, G.J.; Li, M.L.; Lu, J.R.; Li, Y.M.; Bao, M.T. Facile fabrication of acidified g-C3N4/g-C3N4 hybrids with enhanced photocatalysis performance under visible light irradiation. Appl. Catal. B-Environ. 2016, 193, 22–35. [Google Scholar] [CrossRef]
- Lu, C.H.; Zhang, P.; Jiang, S.J.; Wu, X.; Song, S.Q.; Zhu, M.S.; Lou, Z.Z.; Li, Z.; Liu, F.; Liu, Y.H.; et al. Photocatalytic reduction elimination of UO22+ pollutant under visible light with metal-free sulfur doped g-C3N4 photocatalyst. Appl. Catal. B-Environ. 2017, 200, 378–385. [Google Scholar] [CrossRef]
- Xu, Q.L.; Cheng, B.; Yu, J.G.; Liu, G. Making co-condensed amorphous carbon/g-C3N4 composites with improved visible-light photocatalytic H-2-production performance using Pt as cocatalyst. Carbon 2017, 118, 241–249. [Google Scholar] [CrossRef]
- Meng, Z.; Xie, Y.; Cai, T.W.; Sun, Z.X.; Jiang, K.M.; Han, W.Q. Graphene-like g-C3N4 nanosheets/sulfur as cathode for lithium-sulfur battery. Electrochim. Acta 2016, 210, 829–836. [Google Scholar] [CrossRef]
- Ma, S.L.; Zhan, S.H.; Jia, Y.N.; Shi, Q.; Zhou, Q.X. Enhanced disinfection application of Ag-modified g-C3N4 composite under visible light. Appl. Catal. B-Environ. 2016, 186, 77–87. [Google Scholar] [CrossRef]
- Wei, M.Y.; Gao, L.; Li, J.; Fang, J.; Cai, W.X.; Li, X.X.; Xu, A.H. Activation of peroxymonosulfate by graphitic carbon nitride loaded on activated carbon for organic pollutants degradation. J. Hazard. Mater. 2016, 316, 60–68. [Google Scholar] [CrossRef]
- Ma, L.T.; Fan, H.Q.; Wang, J.; Zhao, Y.W.; Tian, H.L.; Dong, G.Z. Water-assisted ions in situ intercalation for porous polymeric graphitic carbon nitride nanosheets with superior photocatalytic hydrogen evolution performance. Appl. Catal. B-Environ. 2016, 190, 93–102. [Google Scholar] [CrossRef]
- Cao, L.; Dai, P.C.; Zhu, L.; Yan, L.T.; Chen, R.H.; Liu, D.D.; Gu, X.; Li, L.J.; Xue, Q.Z.; Zhao, X.B. Graphitic carbon nitride catalyzes selective oxidative dehydrogenation of propane. Appl. Catal. B-Environ. 2020, 262, 118277. [Google Scholar] [CrossRef]
- Pant, B.; Pant, H.R.; Barakat, N.A.M.; Park, M.; Han, T.H.; Lim, B.H.; Kim, H.Y. Incorporation of cadmium sulfide nanoparticles on the cadmium titanate nanofibers for enhanced organic dye degradation and hydrogen release. Ceram. Int. 2014, 40, 1553–1559. [Google Scholar] [CrossRef]
- Yamada, Y.; Yano, K.; Xu, Q.A.; Fukuzumi, S. Cu/Co3O4 Nanoparticles as Catalysts for Hydrogen Evolution from Ammonia Borane by Hydrolysis. J. Phys. Chem. C 2010, 114, 16456–16462. [Google Scholar] [CrossRef]
- Saud, P.S.; Pant, B.; Alam, A.M.; Ghouri, Z.K.; Park, M.; Kim, H.Y. Carbon quantum dots anchored TiO2 nanofibers: Effective photocatalyst for waste water treatment. Ceram. Int. 2015, 41, 11953–11959. [Google Scholar] [CrossRef]
- Pant, B.; Barakat, N.A.M.; Pant, H.R.; Park, M.; Saud, P.S.; Kim, J.W.; Kim, H.Y. Synthesis and photocatalytic activities of CdS/TiO2 nanoparticles supported on carbon nanofibers for high efficient adsorption and simultaneous decomposition of organic dyes. J. Colloid Interface Sci. 2014, 434, 159–166. [Google Scholar] [CrossRef] [PubMed]
- Shen, T.; Wang, Q.; Guo, Z.Y.; Kuang, J.L.; Cao, W.B. Hydrothermal synthesis of carbon quantum dots using different precursors and their combination with Ti0(2) for enhanced photocatalytic activity. Ceram. Int. 2018, 44, 11828–11834. [Google Scholar] [CrossRef]
- Liang, J.; Zheng, Y.; Chen, J.; Liu, J.; Hulicova-Jurcakova, D.; Jaroniec, M.; Qiao, S.Z. Facile Oxygen Reduction on a Three-Dimensionally Ordered Macroporous Graphitic C3N4/Carbon Composite Electrocatalyst. Angew. Chem. Int. Ed. 2012, 51, 3892–3896. [Google Scholar] [CrossRef] [PubMed]
- Sun, J.; Zhang, S.J.; Cheng, W.G.; Ren, J.Y. Hydroxyl-functionalized ionic liquid: A novel efficient catalyst for chemical fixation of CO2 to cyclic carbonate. Tetrahedron Lett. 2008, 49, 3588–3591. [Google Scholar] [CrossRef]







| Sample | Size (nm) |
|---|---|
| U0 | 3.1 |
| U165 | 2 |
| U330 | 3.9 |
| M0 | 5.6 |
| M165 | 5.1 |
| M330 | 4.5 |
| D0 | 5.8 |
| D165 | 5 |
| D330 | 7.5 |
| T0 | 6.5 |
| T165 | 3.9 |
| T330 | 3.4 |
| Samples | Specific Surface Area (m2/g) | Average Pore Size (nm) | Pore Volume (cm3/g) |
|---|---|---|---|
| U0 | 63.464 | 3.845 | 0.333 |
| U165 | 112.596 | 3.866 | 0.385 |
| U330 | 160.735 | 3.822 | 0.794 |
| M0 | 10.585 | 3.850 | 0.067 |
| M165 | 46.179 | 3.853 | 0.191 |
| M330 | 75.610 | 3.854 | 0.300 |
| D0 | 6.050 | 3.775 | 0.028 |
| D165 | 37.116 | 3.821 | 0.145 |
| D330 | 96.931 | 3.857 | 0.395 |
| T0 | 13.381 | 3.769 | 0.066 |
| T165 | 33.366 | 3.789 | 0.179 |
| T330 | 79.759 | 3.773 | 0.379 |
| Sample | C (wt.%) | N (wt.%) | C/N Molar Ratio |
|---|---|---|---|
| U0 | 37.076 | 61.634 | 0.602 |
| U165 | 37.266 | 61.153 | 0.609 |
| U330 | 37.557 | 61.547 | 0.610 |
| M0 | 36.896 | 63.443 | 0.582 |
| M165 | 36.684 | 62.081 | 0.591 |
| M330 | 36.242 | 61.708 | 0.587 |
| D0 | 37.258 | 63.082 | 0.591 |
| D165 | 36.109 | 61.482 | 0.587 |
| D330 | 36.073 | 60.711 | 0.594 |
| T0 | 36.462 | 61.766 | 0.590 |
| T165 | 36.685 | 60.603 | 0.605 |
| T330 | 36.256 | 61.366 | 0.591 |
| Samples | K (min−1) |
|---|---|
| U0 | 0.01296 |
| U165 | 0.01592 |
| U330 | 0.02039 |
| M0 | 0.00465 |
| M165 | 0.00665 |
| M330 | 0.00953 |
| D0 | 0.00414 |
| D165 | 0.00951 |
| D330 | 0.0139 |
| T0 | 0.00394 |
| T165 | 0.01355 |
| T330 | 0.01455 |
Disclaimer/Publisher’s Note: The statements, opinions and data contained in all publications are solely those of the individual author(s) and contributor(s) and not of MDPI and/or the editor(s). MDPI and/or the editor(s) disclaim responsibility for any injury to people or property resulting from any ideas, methods, instructions or products referred to in the content. |
© 2023 by the authors. Licensee MDPI, Basel, Switzerland. This article is an open access article distributed under the terms and conditions of the Creative Commons Attribution (CC BY) license (https://creativecommons.org/licenses/by/4.0/).
Share and Cite
Li, K.; Chen, M.; Chen, L.; Zhao, S.; Xue, W.; Han, Z.; Han, Y. Synthesis of g-C3N4 Derived from Different Precursors for Photodegradation of Sulfamethazine under Visible Light. Processes 2023, 11, 528. https://doi.org/10.3390/pr11020528
Li K, Chen M, Chen L, Zhao S, Xue W, Han Z, Han Y. Synthesis of g-C3N4 Derived from Different Precursors for Photodegradation of Sulfamethazine under Visible Light. Processes. 2023; 11(2):528. https://doi.org/10.3390/pr11020528
Chicago/Turabian StyleLi, Ke, Miaomiao Chen, Lei Chen, Songying Zhao, Wencong Xue, Zixuan Han, and Yanchao Han. 2023. "Synthesis of g-C3N4 Derived from Different Precursors for Photodegradation of Sulfamethazine under Visible Light" Processes 11, no. 2: 528. https://doi.org/10.3390/pr11020528
APA StyleLi, K., Chen, M., Chen, L., Zhao, S., Xue, W., Han, Z., & Han, Y. (2023). Synthesis of g-C3N4 Derived from Different Precursors for Photodegradation of Sulfamethazine under Visible Light. Processes, 11(2), 528. https://doi.org/10.3390/pr11020528
