Next Article in Journal
A New Experimental Method for Acid Pretreatment in Perforated Horizontal Wells: A Case Study of Mahu Conglomerate Reservoir
Previous Article in Journal
Layered Composite Decoupling Control Based on Regional Dynamic Sparrow Search Algorithm
 
 
Font Type:
Arial Georgia Verdana
Font Size:
Aa Aa Aa
Line Spacing:
Column Width:
Background:
Article

Optimal Design and Multi-Parameter Sensitivity Analysis of a Segmented Thermoelectric Generator

1
Shandong Academy of Agricultural Machinery Sciences, Jinan 250100, China
2
State Key Laboratory of Intelligent Agricultural Power Equipment, Luoyang 471039, China
*
Author to whom correspondence should be addressed.
Processes 2023, 11(12), 3352; https://doi.org/10.3390/pr11123352
Submission received: 16 October 2023 / Revised: 11 November 2023 / Accepted: 17 November 2023 / Published: 1 December 2023
(This article belongs to the Section Energy Systems)

Abstract

:
Thermoelectric generators are high-profile energy conversion devices that can convert heat energy into electricity. In this study, a novel 1D resistance model was established to evaluate the performance of a segmented thermoelectric generator (STEG) with variable properties, and the genetic algorithm was adopted to optimize the performance. Then, influence factor analysis, multi-parameter optimization, and sensitivity analysis for an STEG couple were conducted. The results showed the great influence of geometric sizes on performance. Moreover, the optimal length ratio between the length of the high-temperature segment and the total leg length increased when the temperature difference (ΔT) was raised, but it remained unchanged as the convective heat transfer coefficient (h) changed. Furthermore, the ratio of the leg length to its cross-sectional area is affected by thermal conditions and the length ratio, while the cross-sectional area ratio between P- and N-type thermoelectric legs was not affected by the convective heat transfer coefficient. Under the conditions of ΔT = 300 K and h = 2000 W/m2K, the maximum power increased by 11.02%. Finally, the global sensitivity analysis found that material properties, especially the Seebeck coefficient, dominate the influence on optimal power. These results could contribute to the optimal design of STEGs.

1. Introduction

Novel energy conversion technologies have received increasing attention because of the global energy crisis. Thermoelectric generators (TEGs), as solid green energy conversion devices, have been extensively studied in recent years due to their advantages of high reliability and compactness, and their lack of pollution and moving parts [1]. TEGs have been applied in solar energy utilization [2], waste heat recovery [3], wearable electronics [4], etc. However, the low conversion efficiency of TEGs is one of the main obstacles to their wide application. Improvements in thermoelectric material properties and optimization of the dimensions and structures of thermoelectric legs are the primary methods of improving the performance of TEGs [5].
Thermoelectric material is one kind of solid energy functional material and a determinant of thermoelectric conversion technology. The internal carriers (electrons and holes) can move under certain temperature differences, thus realizing the mutual conversion of heat energy and electric energy. The properties of thermoelectric materials can be characterized by the dimensionless figure of merit (ZT), which is closely related to the Seebeck coefficient, s; electrical conductivity, σ; thermal conductivity, k; and working temperature, T [6]. The value of ZT is calculated using the relation ZT = s2σT/k, which also indicates that high power factors s2σ and low thermal conductivity are required for a high ZT value. Typically, a high ZT value is obtained mainly by regulating electrical and thermal properties [7]. Kim et al. [8] prepared a Bi0.5Sb1.5Te3 thermoelectric material using the grain boundary and point-defect scattering methods, and they determined that the ZT value could reach 1.86 ± 0.15 at T = 320 K. Li et al. [9] reduced the lattice thermal conductivity by incorporating a certain percentage of Cu3SbSe4 nanoparticles into the BiSbTe to obtain a high ZT value that could maintain high performance under a broad range of conditions (ZT = 1.0 at 300 K and ZT = 1.5 at 500 K).
The impacts of thermoelectric materials on TEG performance are significant, but the ZT values of commercially available thermoelectric materials are still low. In practical applications, the design and optimization of TEGs are usually based on the utilization of existing materials. The geometric sizes of the thermoelectric legs are closely associated with the internal thermal resistance and electrical resistance, which in turn affect the performance of TEGs. Chen et al. [10] suggested decreasing the cross-sectional area of the thermoelectric element with the fixed total length. To optimize the geometric sizes, Barry et al. [11] developed a thermal resistance model considering temperature-dependent thermoelectric materials and contact resistance. The results demonstrated a 29% and 12% boost in volumetric power density and volumetric efficiency compared with the original geometric sizes, respectively. He [12] proposed a comprehensive one-dimensional impedance matching model for the rapid and accurate solution of thermoelectric fields that could capture all thermoelectric effects and material properties through the defined equivalent parameters for the material properties. In addition, the model provided analytical expressions for power and efficiency and derived the geometric optimization model. Based on this, Yin et al. [13] optimized the geometric sizes of thermoelectric legs, demonstrating a 21.9% improvement in performance compared to the original size under the same working conditions. Liu et al. [14] conducted a multi-objective and multi-parameter optimization of TEGs, which achieved a reasonable balance of power and efficiency.
To gain high performance under large temperature differences, multi-stage and segmented structure TEGs have been introduced and investigated. Liang et al. [15] found that with the variation in the ratio of pairs of thermocouples at the top and bottom stages, a two-stage TEG could achieve maximum output power when the ratio is between 0.8 and 0.9. Yin et al. [16] introduced a novel two-stage TEG for use in automobiles. Compared with the traditional single-stage configuration, the maximum power of the designed two-stage configuration increased by 13.5% under the same working conditions. Ma et al. [17] declared that thermoelectric legs made with high-temperature material in segmented thermoelectric generators (STEGs) should be large under a larger temperature gradient. Zhu et al. [18] utilized a genetic algorithm to optimize a segmented thermoelectric generator (STEG). The results showed a 25.4% increase in efficiency compared with traditional TEGs at a temperature difference of 350 K. The Taguchi method with an analysis of variance was used in [19] to optimize STEGs; this study found the difference between the Taguchi results and the full factorial optimization results was 11.8% for maximum power and 3.8% for maximum efficiency. Shen et al. [20] designed an annular STEG, and found that the optimal annular shape parameter value remains at around 1 with a rising temperature ratio. Fan et al. [21] found that segmented annular thermoelectric generators have higher reliability than traditional TEGs. Karana et al. [22] proposed a novel STEG with asymmetrical thermoelectric legs. It was found that the total efficiency of the STEG improved by 5% compared with traditional STEGs when the ratio of the temperatures between both sides was maintained in the range of 0.45–0.55.
In fact, material properties, geometric parameters, and working conditions inevitably experience small random fluctuations in practical applications, which could have a crucial impact on the performance [23]. Thus, sensitivity analysis is essential to the research of TEGs. Choday et al. [24] studied the sensitivity of the properties of thermoelectric materials and showed that a higher power factor plays a greater role in cooling performance than that of lower thermal conductivity. The finite element model was combined with the Monte Carlo technique in [25], and it was concluded that the electric conductivity and Seebeck coefficient are the most critical factors in improving the performance of materials. Zhang et al. [26] applied the Latin sampling method and Monte Carlo simulation method in conducting a moment-independent sensitivity analysis for a single thermoelectric cooler, which discovered the significant effect of the working current and resistivity on cooling power, while the coefficient was most significantly influenced by the heat transfer coefficients and the areas. The LHS method was adopted to simulate the random phenomenon of TEG parameters in [27], which found the enormous influence of the Seebeck coefficient, thermal conductivity, working current, heat transfer area, and heat transfer coefficient of the lower temperature side on the performance of TEGs. Wee [28] combined the polynomial chaos expansion with an analytic method to quantify the uncertainty and sensitivity in the performance indices, which estimates the uncertainty accurately. Zhang et al. [29] conducted a global sensitivity analysis for two-stage thermoelectric refrigeration using the Sobol method, which provided a sensitivity ranking of parameters that affect the performance.
A complex nonlinear coupling exists between the temperature field and the electric field in the thermoelectric conversion process, and most of the current thermoelectric field solutions are based on simplified energy conversion relations or complex 3D simulation models. The former is difficult for covering all of the relevant thermoelectric effects and characterizing the temperature-dependent properties of thermoelectric materials, while the latter is more complicated and time consuming. Furthermore, the research on optimizing the performance of thermoelectric devices is mostly limited to a single optimal working condition (maximum power or maximum efficiency) and ignores the nonlinear coupling effect brought by the uncertainty of design parameters. The design parameters and operating parameters of thermoelectric devices usually have a certain degree of randomness, and previous research is based on deterministic parameters to optimize the performance of the device, which produces large deviations in actual engineering applications. To optimize the performance of STEGs and evaluate the effects of parameters on their performance under optimal conditions, a 1D numerical model that considers variable materials properties and all of the thermoelectric effects was developed, which could assess the performance of STEGs accurately and integrate genetic algorithms and Sobol algorithms. Based on the 1D model, the influence of parameters on the performance is investigated in Section 3.2. Then, the genetic algorithm is introduced to obtain the optimal performance in Section 3.3. Finally, the global sensitivity to the optimal performance is analyzed via the Sobol method in Section 3.4.

2. Numerical Model and Solution Method

The schematic illustration of an STEG couple is presented in Figure 1, including P- and N-type thermoelectric legs, a copper electrode and a ceramic layer. It should be noted that an STEG couple includes two P-type thermoelectric materials and two N-type thermoelectric materials. P1 and N1 represent the high-temperature segment, and P2 and N2 denote the low-temperature segment. Multiple pairs of STEG couples are assembled electrically in series and thermally in parallel to form an STEG module. Thus, the STEG couple is substituted for the STEG module to investigate the thermoelectric field.

2.1. The 1D Numerical Model

The nonlinear coupling thermoelectric field can be described as follows:
· J V = 0 · J T + V J V = 0
where V, JV, JT, and VJV are the electrical potential, current density, heat flux and Joule heat, respectively. Taking the element of conductive tensor k into account, the relation between JV and energy flux JE with the gradients of voltage and temperature can be represented as follows:
J V = k V V V + k V T T J E = k T V V + k T T T
where k is defined as the following:
k = σ s σ s σ T + V σ κ + s 2 σ T + s σ V
Figure 1b depicts the numerical model of an STEG. As for the position of xi+1/2 between the nodes xi and xi+1 of the thermoelectric legs, the relations of Ti+1/2 = (Ti + Ti+1)/2 and Vi+1/2 = (Vi + Vi+1)/2 are assumed to estimate si+1/2, σi+1/2, and ki+1/2. Then, the resistance tensor is given by the following:
k i + 1 / 2 1 = σ 1 + s 2 κ 1 T + s κ 1 V κ 1 s s κ 1 T κ 1 V κ 1 i + 1 / 2
Assuming k ¯ 1 = n 1 i = 0 n 1 k i + 1 / 2 1 , the following relation can be found:
V n V 0 T n T 0 = γ k ¯ 1 I Q
where γ = Lleg/Aleg denotes the ratio between the total length and cross-sectional area of the thermoelectric leg. According to Equation (4), The equivalent electrical conductivity σ ¯ , the equivalent thermal conductivity k ¯ , and the equivalent Seebeck coefficient s ¯ of thermoelectric materials can be expressed as the following:
σ ¯ 1 = k ¯ 11 1 k ¯ = k ¯ 22 k ¯ 11 1 k ¯ 12 k ¯ 21 s ¯ = k ¯ 11 1 k ¯ 12
Then, the equivalent resistance R ¯ , the equivalent thermal resistance K ¯ , the equivalent Seebeck coefficient S ¯ , the equivalent temperature, and the equivalent coefficient of merit Z T ¯ of a thermoelectric device can be expressed as the following:
R ¯ = γ P k ¯ P , 11 1 + γ N k ¯ N , 11 1 K ¯ = γ P 1 k ¯ P + γ N 1 k ¯ N S ¯ = s ¯ P s ¯ N T ¯ = S ¯ 1 k ¯ P , 21 k ¯ P , 11 1 k ¯ N , 21 k ¯ N , 11 1 Z T ¯ = S ¯ 2 T ¯ K ¯ 1 R ¯ 1
Assuming the existence of TP,0 = TN,0, TP,0 = TN,0, and VP,0 = VN,0 = 0, there exists an equivalence of IRload = VP,nVN,n for the external load Rload. From this, the internal current I, the heat fluxes of the P- and N-type thermoelectric legs can be expressed as follows [13]:
I = S ¯ Δ T l e g ( 1 + m ) R ¯ Q P = K ¯ P 1 Δ T l e g + k ¯ P , 11 1 k ¯ P , 21 I Q N = K ¯ N 1 Δ T l e g k ¯ N , 11 1 k ¯ N , 21 I
where Δ T l e g denotes the effective temperature difference of the thermoelectric legs, and K ¯ denotes the thermal resistance of the thermoelectric legs. According to the law of conservation of energy at the hot and cold ends, it is numerically related to the temperature at both ends as follows:
Q P + Q N = T h o t T 0 K ¯ h o t = T n T c o l d K ¯ c o l d + P
where Thot and Tcold represent the temperatures at the hot and cold ends, respectively; and Khot and Kcold are the equivalent thermal resistances at the hot and cold ends, respectively, which can be expressed as follows:
K ¯ h o t = A s 1 ( h h o t 1 + l c e k c e 1 + l c u k c u 1 ) K ¯ c o l d = A s 1 ( h c o l d 1 + l c e k c e 1 + l c u k c u 1 )
where AS is the cross-sectional area of the ceramic layer, hhot and hcold represent the convective heat transfer coefficients at the hot and cold ends, respectively; lce and kce represent the thickness and thermal conductivity of the ceramic layer, respectively; lcu and kcu represent the length and thermal conductivity of the copper electrode, respectively. Furthermore, under the fixed heat transfer condition, the external thermal resistance is expressed as follows:
K ¯ e x = A s 1 K h o t + 1 η K c o l d
where η denotes the conversion efficiency. Then, the internal resistance and the parameter ω = K ¯ e x K ¯ l e g 1 denote the ratio of the external to internal thermal resistance. The following formulas can be found:
Δ T l e g = 1 + m Δ T h c 1 + m + 1 + m + Z T ¯ ω I = S ¯ R ¯ l e g 1 Δ T h c 1 + m + 1 + m + Z T ¯ ω Q P + Q N = 1 + m + Z T ¯ K ¯ l e g Δ T h c 1 + m + 1 + m + Z T ¯ ω
where ΔTleg stands for the actual temperature difference of the thermoelectric leg and ΔThc represents the temperature difference between both sides. The formula QP + QN denotes the total energy flux of the STEG. The power P and efficiency η can be calculated via the following:
P = m K ¯ l e g Z T ¯ Δ T h c 2 1 + m + 1 + m + Z T ¯ ω 2 T ¯ η = m Z T ¯ Δ T h c 1 + m + Z T ¯ 1 + m + 1 + m + Z T ¯ ω T ¯
Furthermore, under the settled thermal conditions, the performance of an STEG can be obtained accurately. The maximum power Pmax and the corresponding m can be expressed as follows:
P m a x = K ¯ l e g Z T ¯ Δ T h c 2 4 1 + ω 1 + ω + ω Z T ¯ T ¯ m P max = 1 + ω 1 + ω Z T ¯
The maximum efficiency ηmax and the corresponding m can be calculated with the following:
m η max = 1 + ω 1 + ω Z T ¯ 1 + Z T ¯ η m a x = Z T ¯ Δ T h c 1 + ω + ω Z T ¯ + 1 + ω 1 + Z T ¯ 2 T ¯
Based on the above formulas, the performance can be predicted accurately with an iterative method, as depicted in Figure 1c. The solution of the thermoelectric coupled field can be realized via simple iterations. With the given input parameters, the thermoelectric coupled field is first initialized, and then the equivalent thermoelectric parameters are obtained. During the iterative process, the various parameters of the thermoelectric field become converged solutions after continuous updating.

2.2. Genetic Algorithm

The main features of the genetic algorithm are the population search strategy and the information exchange between individuals. Each iteration of the genetic algorithm corresponds to a generation of inheritance in biological evolution. Through selective reproduction, crossover, and variation, they evolve toward a better direction gradually and finally obtain the optimal solution of the problem. In the process of genetic algorithm optimization, the main parameters are classified into three groups.
The first group is composed of the following fixed parameters:
(1)
The temperature of the hot and cold sides, Th and Tc;
(2)
The heat transfer convective coefficient of the hot and cold sides, hh and hc;
(3)
The total cross-sectional area of the thermoelectric legs, Aleg.
The second group is made up of the following variable parameters:
(1)
The ratio between leg length and its cross-sectional area, γ;
(2)
The ratio of the cross-sectional area between the P- and N-type thermoelectric legs, α.
The third group includes the following objective parameters:
(1)
The output power, P;
(2)
The efficiency, η.
In addition, the performance can be optimized with the following constraints applied to θ, α, and γ:
(1)
0 < θ < 3;
(2)
0 < α < 10;
(3)
0 < γ < 10.

2.3. Sensitivity Analysis

The method of Sobol is a quantitative method to evaluate the global sensitivity of a system. Based on the variance, the influence of the interaction between a single input variable or multiple input variables on the output of the system is calculated. The objective function is decomposed into the sum of 2n increasing terms. By sampling the model parameters, each folk square difference and the total variance of the output response of the model are calculated in order to obtain the sensitivity of each order. For the objective function of f(x) and the parameter set of x, we can decompose the function into summands of increasing dimensionality:
f ( x ) = f 0 + i = 1 p f i x i + i , j = 1 , 2 , , n f i , j x i , x j + + f 1 , 2 , , n x 1 , x 2 , , x n
where f0 is constant, and the integral of each subterm with respect to any of its variables is 0. Additionally, all of the terms are orthogonal to each other and can be expressed as the integral of the function. Then, we find the following:
I n [ f ( x ) ] 2 d X f 0 2 = s = 1 p i 1 < i 2 < < i s p f i 1 , i 2 , , i s 2 d x i 1 d x i 2 d x i s
where In represents the n-dimensional unit hyperspace. The total unconditional variance can be expressed as the following:
D = [ f ( x ) ] 2 d X f 0 2
The partial variances should be defined as follows:
D i j = f i j 2 d x i d x j
Then, the contributions can be expressed as the ratio of the partial variance to the total variance and the following Sobol sensitivity indices:
S i = D i D S i j = D i j D S T i = S i + j i n S i j + + S 12 n
where Si(1 ≤ i ≤ k), Sij(1 ≤ i < j ≤ k), and STi represent the first-order sensitivity coefficient, the second-order sensitivity coefficient, and the total sensitivity coefficient. Si represents the primary influence of the input variables on the system output, and the larger Si is, the higher the influence of uncertainty of xi on the system output is. Sij represents the effect of the interaction between input variables xi and xj on the output of the system. Similar definitions also apply to the remaining high-order sensitivity coefficients, representing the universal influence of input variable xi and its interaction with other input variables on the system output, which are expressed by the sum of sensitivity coefficients of each order of xi. When the input variables are independent of each other, STi is always higher than Si. When the Si and STi of input variable xi differ significantly, it can be considered that the interaction between the variable xi and other input variables has a significant influence on the output of the system.

3. Results and Discussion

Table 1 depicts the properties of thermoelectric materials. For the high-temperature segment of the thermoelectric legs, the P-type Bi0.4Sb1.6Te3 [9] and N-type Mg3Sb0.3Bi1.4 [30] were adopted. The P-type Bi0.5Sb1.5Te3 [7] and N-type Bi1.8Sb0.2Te2.7Se0.3 [31] were used for the low-temperature segment. As for the geometric parameters of the STEG, the initial geometric sizes of the thermoelectric legs were given as 1 × 1 × 2 mm3, where the lengths of both the high-temperature part (LP1 and LN1) and the low-temperature part (LP2 and LN2) were 1 mm. The height of the ceramic layer and copper was set as 0.2 mm, and the total cross-sectional area was 2.4 mm2. In the following study, the geometric sizes of the legs were changed in a reasonable range to investigate their effects on performance.

3.1. Validations

3.1.1. Validation of 1D Numerical Model

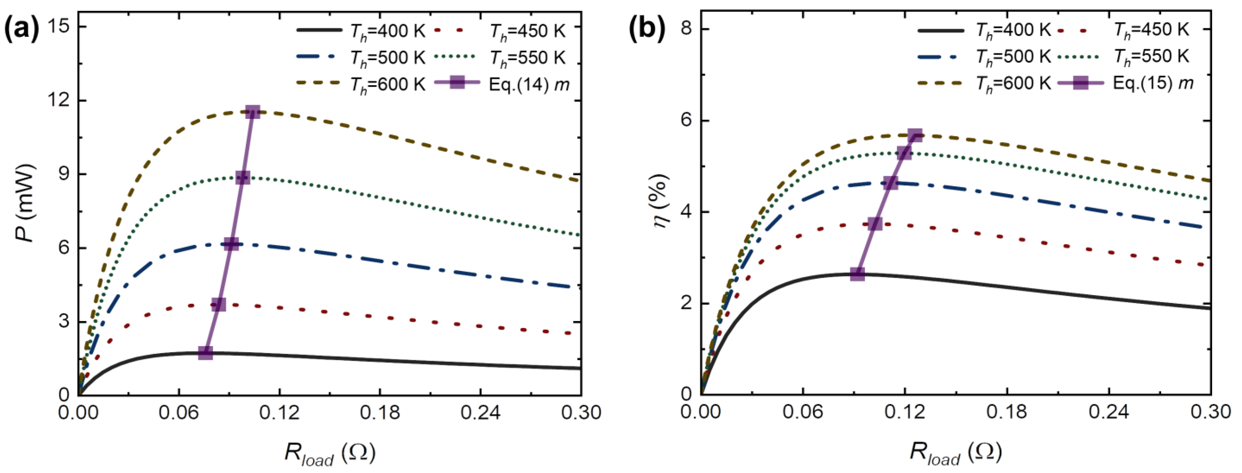
In this section, the 3D model of the STEG couple was established through ANSYS Workbench to validate the 1D model. The initial thermal conditions were Th = 500 K, Tc = 300 K, and hh = hc = 1000 W/m2K. Figure 2a describes the change in P and η with the increase in Rload for both the 1D and 3D numerical models of the STEG. The average deviations in P and η between the 1D and 3D simulations are 0.81% and 0.94%, respectively, which are perfectly acceptable. Figure 2b shows the comparisons between referenced data [31] and the 1D model with the increase in temperature, which are highly consistent. In addition, the matching parameter m for maximum power and maximum efficiency was also compared with the exhaustive method through the 1D model. The results under different working conditions are shown in Figure 3a,b, which indicate the accuracy of m for maximum power and maximum efficiency. These results illustrate the accuracy of the 1D model.

3.1.2. Validation of Genetic Algorithm

To address the problem that the numerical model cannot be optimized for multiple parameters, the genetic algorithm executed through MATLAB was introduced to solve and optimize the complex nonlinear problems. To obtain sufficient accuracy in the results, the overall size and number of generations were defined as 200 and 300, respectively, and the constraint tolerance was set to 10−6. The variation in P with the generations is plotted in Figure 4, which illustrates the results of the optimizing process of the genetic algorithm. The rectangles and triangles represent the best individuals of every generation and the average performance of individuals in each generation, respectively. It can also be observed that the change between iterations is smaller when P is closer to the optimal neighborhood, and the variation between iterations becomes smaller.

3.2. Influence of Geometric Sizes

In this section, the effects of the total length and area of the P/N thermoelectric legs, the length ratio between the P1-type and P2-type thermoelectric legs, and the length between the N1-type and N2-type thermoelectric legs were investigated in the case of impedance matching.

3.2.1. Total Length and Area of Thermoelectric Legs

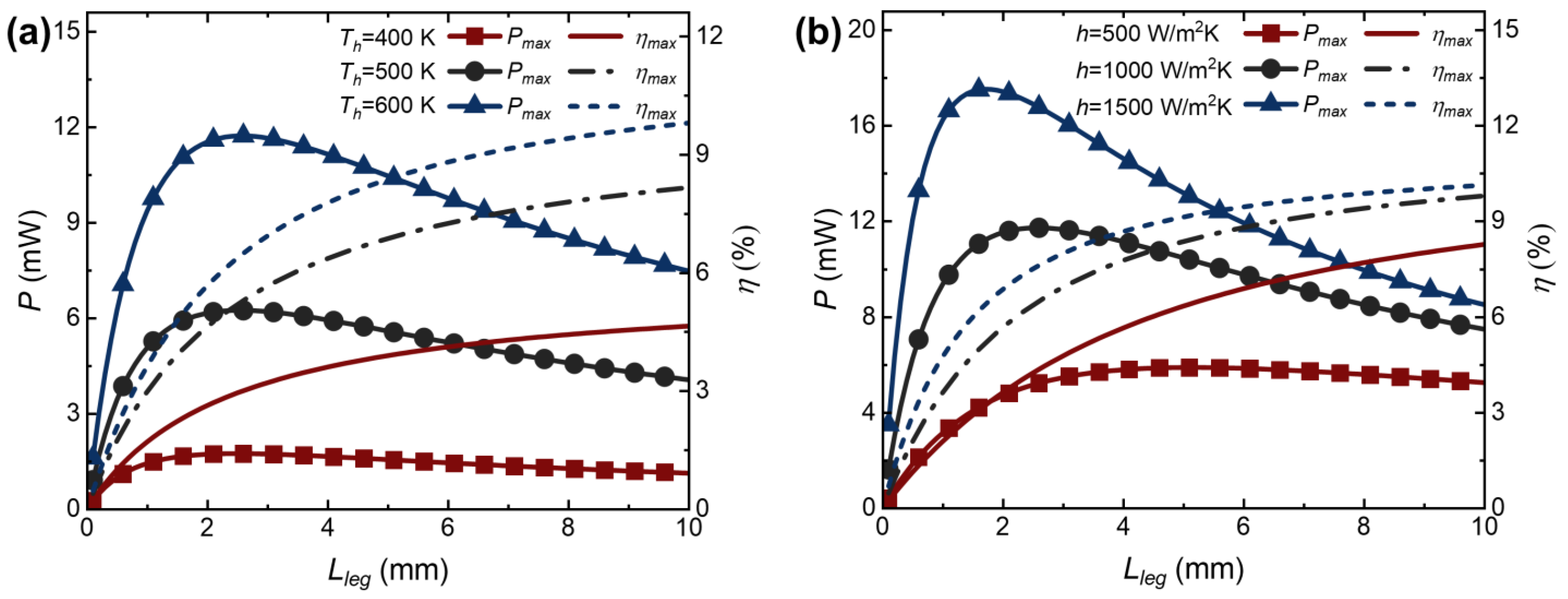
Figure 5a,b depict the effects of Lleg on STEG performance under various thermal conditions. In Figure 5a, the temperatures of the hot side were selected as Th = 400 K, 500 K, and 600 K with the fixed conditions of Tc = 300 K, hh = hc = 1000 W/m2K. It can be clearly seen that as Lleg increases, Pmax increases rapidly to its maximum value first and then decreases slowly. Moreover, the enhancement of Th improves Pmax but has less effect on the optimal length, which is basically maintained at around 2.5 mm. As for ηmax, it shows an increasing trend in the range of 0–10 mm for the length change. Furthermore, in Figure 5b, the temperatures of the hot and cold sides settled to Th = 600 K and Tc = 300 K, respectively, while the variable convective heat transfer coefficients were 500 W/m2K, 1000 W/m2K, and 1500 W/m2K. Pmax exhibits a similar trend in Figure 5b, but the effects of h on the optimal length are significant. The optimal length declines from 3.15 to 1.72 mm with the enhancement of h. Furthermore, the same as for Figure 5a, ηmax also rises with the increase in Lleg. The reason is that the change in length brings about variations in the internal thermal resistance, the electrical resistance, and the actual temperature difference, which together determine the performance.
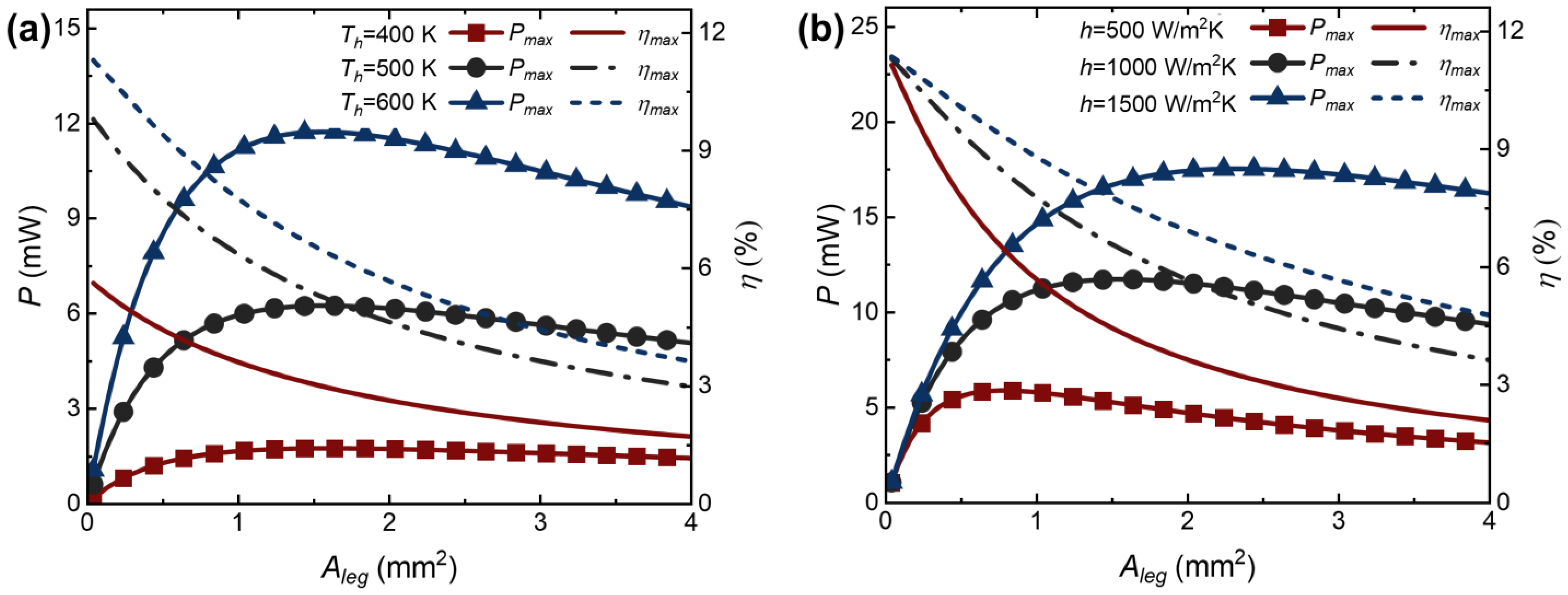
The area Aleg of thermoelectric legs is another important geometric size. It should be noted that the change in Aleg is from 0.1 to 2.0 mm2, keeping the total area of the STEG constant. The effects of Aleg are depicted in Figure 6a,b. According to the formulas for calculating the electrical resistance and the thermal resistance, the effect of the area of the thermoelectric legs are opposite to the total length. Similar results can also be found in Figure 6a,b.

3.2.2. Length Ratio

For STEGs, the greatest advantage is their utilization of materials with different properties to take full advantage of the longitudinal along-range temperature distribution of the thermoelectric legs. It is necessary to study the effect of the change in the ratio of the length of the corresponding part of the two materials on the performance of STEGs. In this section, the length ratios of the P- and N-type thermoelectric legs are treated as identical, varying from 0 to 1, which are denoted by θP and θN, respectively. θ = 0 and θ = 1 stand for thermoelectric legs applied with only material II or only material I, respectively. Figure 7 shows the change in performance with the variation of θ under the different working conditions. For Figure 7a, the STEG performance increases and then drops with the increasing ratio. Under the case of Th = 500 K, the maximum value of Pmax is 6.17 mW, and the improvements with respect to the cases of θ = 0 and θ = 1 are 6.95% and 8.92%, respectively. When Th switches to 600 K, the maximum Pmax is 12.15 mW, which increases by 1.63% and 31.47% with respect to the cases of θ = 0 and θ = 1, respectively. This indicates that an STEG can fully utilize both thermoelectric materials to boost performance at higher temperatures. Moreover, it can be found that the increase in temperature leads to an increase in the optimum ratio (0.58 for Th = 500 K and 0.84 for Th = 600 K), which is due to the fact that material I is more capable of exploiting its advantages when the temperature is raised. Furthermore, the change in ηmax in Figure 7a can also result in the same conclusions as Pmax. In addition, Figure 7b depicts the effects of θ on the performance when the convective heat transfer coefficient changes. The rise in h can enhance the heat transfer between an STEG and the external environment, which, in turn, improves the internal temperature distribution of the STEG. Thus, the same conclusions can be drawn by analogy regarding the effects of changes in Th.

3.3. Optimization of Geometric Parameters

The effects of three parameters including total length, cross-sectional area, and length ratio on STEG performance are investigated in Section 3.2. The above parameters actually affect each other. The literature [12] defined and optimized the dimensional parameters γP and α, where γP stands for the ratio between the length and the cross-sectional area of the P-type thermoelectric leg, and α denotes the ratio of the cross-sectional area between the P- and N-type thermoelectric legs. Moreover, the length ratios of θP and θN take different values for STEG optimization practice. Therefore, in this section, the above parameters are optimized simultaneously via a genetic algorithm to obtain optimal STEG performance. Although the maximum efficiency tends to a stable value due to the analysis of the influencing factors, as the total length of thermoelectric legs increases (an increase in the length ratio θ), it is still in a state of increasing numerically. Therefore, the optimizations are aimed only at the condition of maximum power.
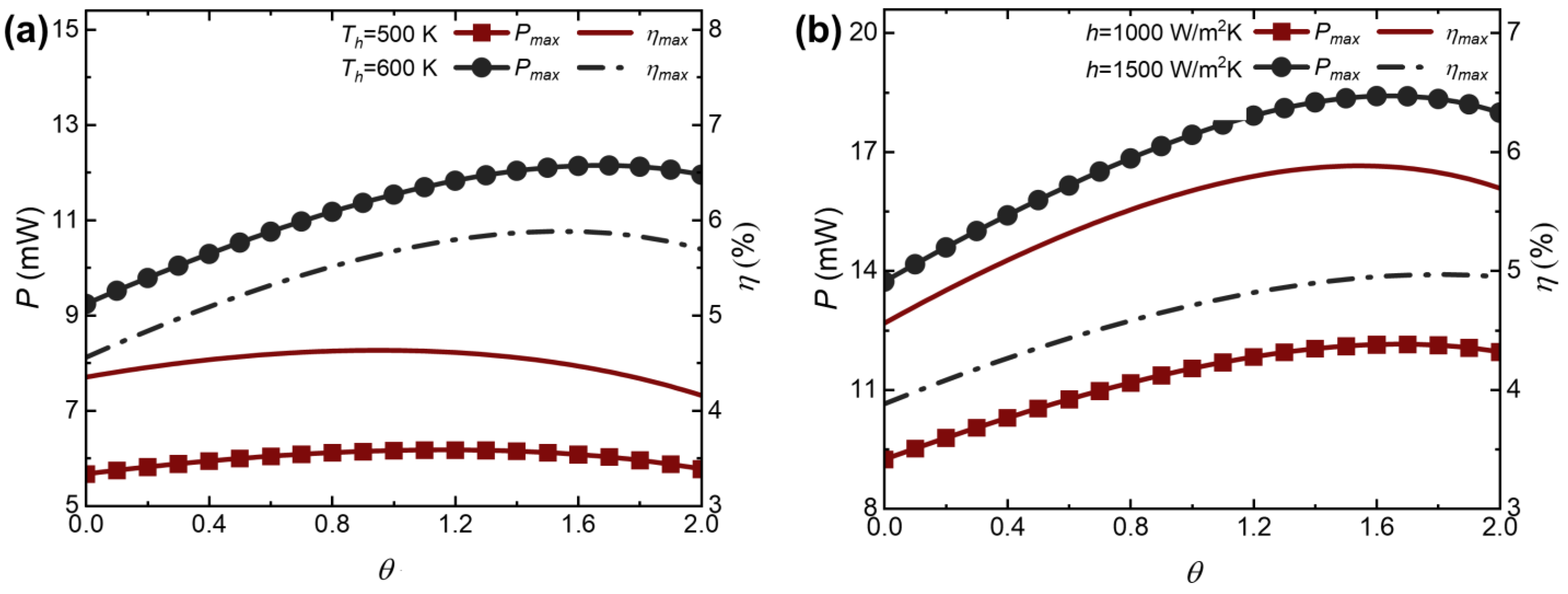
At the conditions of Tc = 300 K, hh = hc = 1000 W/m2K, Th varies between 400 and 700 K; thus, the temperature difference ΔThc between hot and cold sides of the STEG is in the range of 100 to 300 K. Figure 8a,b depict how γP,opt, αopt, and θopt change with different ΔThc values. In Figure 8a, for the condition of ΔThc > 120 K, αopt shows a significant reduction with the rise in ΔThc, from 1.70 to 0.89, while γP,opt increases from 1.69 to 2.81 mm−1 with increasing temperature difference. These results differ from study [12], which concludes that the two parameters do not change significantly when ΔThc changes. The reasons may be found in the applications of multiple thermoelectric materials, which bring out the other important parameters. The effects of ΔThc on θopt are shown in Figure 8b. θP,opt presents a distinct upward trend when ΔThc exceeds 120 K, while θN,opt increases with ΔThc only when the ΔThc surpasses 140 K. This increase in temperature is more beneficial to the performance of high-temperature thermoelectric materials. Particularly, when ΔThc is less than 120 K, θP,opt and θN,opt are maintained at about 0, which indicates that the STEG performance is better when low-temperature thermoelectric materials are employed only. In addition, by comparing Figure 8a,b, γP,opt and αopt have little change when θopt is 0. These results are consistent with those of study [13] and illustrate the effects of θ on γP,opt and αopt.
The effects of h on γP,opt, αopt and θopt are depicted in Figure 9a. The working conditions were selected as Th = 600 K and Tc = 300 K, with h varied in the range of 500 to 2000 W/m2K. With the change in h, γP,opt shows a downward trend and αopt shows no change. Moreover, due to the choice of external temperature, the internal STEG temperature is at a high level; thus, θopt maintains a range with little variation, where θP,opt and θN,opt are maintained at about 0.87 and 0.76, respectively. Then, the optimization for γP,opt and αopt can be considered as a traditional TEG, and the changes for them can be well explained. In addition, Figure 8b and Figure 9b also depict the comparisons of Pmax between the initial and optimal geometric sizes. Under the conditions of Th = 600 K, Tc = 300 K, and h = 2000 W/m2K, Pmax before and after the optimization are 22.18 mW and 24.63 mW, indicating an 11.02% enhancement.

3.4. Sensitivity Analysis

The traditional sensitivity of parameters to the performance is not suitable for the specific operating conditions, especially for the optimal performance with the corresponding parameters. In this section, P * is introduced as the optimization objective. P * is the relative variation in Pmax and is defined as P * = ( P m a x P s ) / P m a x , where PS represents P calculated by the samples. According to the multi-parameter optimization, all of the geometric sizes of thermoelectric legs can be obtained.
Based on the previous analysis, the Pmax values are influenced by the geometric sizes of the thermoelectric legs. According to the multi-parameter optimization, all of the geometric sizes of thermoelectric legs can be obtained. The thermal conditions are given as Th = 600 K, Tc = 300 K, and h = 1000 W/m2K; the selected parameter variables AP, AN, LP1, LP2, LN1, and LN2 under the given thermal conditions are assumed to be uniformly distributed; and the variations are within the range of 5% and 10% above and below the optimal value, respectively. The sample size is set as the number of parameters multiplied by 10000, and the Sobol indices AP, AN, LP1, LP2, LN1, and LN2 to P * are calculated with different parameter variable ranges. Figure 10a,b show Si and ST of each geometric parameter to P * in different variable ranges of 5% and 10%, respectively. According to the results of Si, AN has the most considerable influence on P * , which is followed by LN1, LP1, AP, LP2, and LN2. In addition, it is evident that the geometric parameters of the N-type thermoelectric legs have a greater effect on P * compared to the P-type thermoelectric legs. Moreover, the influences of thermoelectric legs with high-temperature materials are higher than those with low-temperature materials. The results of ST, AP, AN, LP1, and LN1 remain the more influential parameters with respect to LP2 and LN2. However, the ranking of the influencing factors changes to AP, AN, LP1, LN1, LN1, and LP1 under interactions of the various parameters.
The thermoelectric materials also have significant impacts on STEG performance. There are four sorts of thermoelectric materials used in STEGs; thus, the sensitivity analysis of thermoelectric materials is required for 12 parameters (each thermoelectric material has three parameters that need to be analyzed). Figure 11 shows the effects of material properties on P * . From the values of the Sobol indices, s is the most influential parameter of a thermoelectric material; then, the effects of σ and k make little difference. Compared with the materials of P2 and N2, the high-temperature materials of P1 and N1 exert a greater influence. Moreover, the values of Si and ST are almost universal, which can be considered since there exists little interaction between these parameters. In addition, the change in variable range can impact the values of Si and ST, but it does not affect the order. Furthermore, based on the sensitivity analysis of the geometric parameters and material properties, the sensitivity analysis of 18 parameters to optimal performance was conducted, and the results are shown in Figure 12. It can be concluded that the geometric sizes have a negligible influence on P * , while the material properties play the leading role.

4. Conclusions

In this study, an accurate 1D numerical model was utilized for predicting the performance and was combined with the genetic algorithm to optimize the design. Moreover, the Sobol method was adopted to investigate the global sensitivities of parameters to optimize performance. The results can provide significant guidance in the design and application of STEGs. The main conclusions are as follows:
(1). The geometric sizes had a great influence on STEG performance. With the increase in Lleg, Aleg and θ, Pmax showed an upward and then downward trend, while ηmax continued to increase as Lleg and Aleg increased.
(2). For STEG optimization, the rise in ΔThc improved θ and αopt t, while h had no effect on them. γP,opt increased as ΔThc increased, but it decreased with the enhancement of h due to the effects of θ. Moreover, the optimized Pmax increased by 11.02% compared with that for initial geometric sizes under the conditions of Th = 600 K, Tc = 300 K, and h = 2000 W/m2K.
(3). The cross-sectional area and the length of the high-temperature segment are the more influential parameter to P * without considering the materials. When the properties of thermoelectric materials were taken into account, the effects of the geometric parameters were negligible.
In addition, limited to the research conditions and time constraints, many aspects need to be further studied and improved. One aspect involves further attempts to derive the semi-analytical expressions of the optimal geometric parameters of STEGs in order to analyze and optimize STEG performance more conveniently; the other is to carry out related experiments and application research to better combine basic theory, analytical models, and practical application.

Author Contributions

Conceptualization, X.H.; methodology, T.Y.; software, D.R.; validation, X.M. and Y.W.; formal analysis, T.Y.; investigation, T.Y.; resources, X.H.; writing—original draft preparation, T.Y.; writing—review and editing, T.Y., D.R., X.M., Y.W., Q.G. and X.H.; visualization, T.Y.; supervision, T.Y.; project administration, T.Y.; funding acquisition, T.Y. All authors have read and agreed to the published version of the manuscript.

Funding

This research was funded by the Agricultural Science and Technology Innovation Project of Shandong Academy of Agricultural Sciences under grant CXGC2023F16 and the Open Project of the State Key Laboratory of Intelligent Agricultural Power Equipment under grant SKLIAPE2023008.

Data Availability Statement

Data are contained within the article.

Conflicts of Interest

The authors declare that they have no known competing financial interests or personal relationships that could have appeared to influence the research reported in this paper.

Nomenclature

A cross-sectional area, m2
i segment index
I current, A
J current density, A/m2
k thermal conductivity, W/mK
k ¯ effective thermal conductivity, W/mK
K thermal resistance, K/W
K ¯ equivalent thermal resistance, K/W
l length, m
L thermoelectric leg length, m
m matched parameter of electric loading
n number of thermoelectric segments
P output power, W
Q total energy, W
R ¯ equivalent electric resistance, Ω
s Seebeck coefficient, V/K
s ¯ equivalent Seebeck coefficient, V/K
S sensitivity coefficient
STEG segmented thermoelectric generator
T temperature, K
T ¯ equivalent temperature, K
TEG thermoelectric generator
Δ T temperature difference, K
V voltage, V
ZT dimensionless figure of merit
Greek symbols
α ratio of leg cross-section
γ ratio of length to area, m−1
η conversion efficiency
σ electrical conductivity, S/m
ω ratio between thermal resistance
θ ratio between leg length
κ resistance tensor
Subscripts
c o l d cold side
h c difference between hot and cold sides
h o t hot side
i first order
l e g thermoelectric legs
N N-type leg
o p t optimal parameter
P P-type leg
T total order

References

  1. Xiao, D.; Sun, P.; Wu, J.; Zhang, Y.; Wu, J.; Liu, G.; Hu, H.; Hu, J.; Tan, X.; He, S.; et al. Thermoelectric Generator Design and Characterization for Industrial Pipe Waste Heat Recovery. Processes 2023, 11, 1714. [Google Scholar] [CrossRef]
  2. Ramos-Castañeda, C.F.; Olivares-Robles, M.A.; Méndez-Méndez, J.V. Analysis of the Performance of a Solar Thermoelectric Generator for Variable Leg Geometry with Nanofluid Cooling. Processes 2021, 9, 1352. [Google Scholar] [CrossRef]
  3. Zhang, W.; Li, W.; Li, S.; Xie, L.; Ge, M.; Zhao, Y. Optimization Design of an Intermediate Fluid Thermoelectric Generator for Exhaust Waste Heat Recovery. Processes 2023, 11, 1853. [Google Scholar] [CrossRef]
  4. Tanwar, A.; Lal, S.; Razeeb, K.M. Structural Design Optimization of Micro-Thermoelectric Generator for Wearable Biomedical Devices. Energies 2021, 14, 2339. [Google Scholar] [CrossRef]
  5. Shittu, S.; Li, G.; Zhao, X.; Ma, X. Review of Thermoelectric Geometry and Structure Optimization for Performance Enhancement. Appl. Energy 2020, 268, 115075. [Google Scholar] [CrossRef]
  6. Kang, Y.H.; Lee, U.-H.; Jung, I.H.; Yoon, S.C.; Cho, S.Y. Enhanced Thermoelectric Performance of Conjugated Polymer/CNT Nanocomposites by Modulating the Potential Barrier Difference between Conjugated Polymer and CNT. ACS Appl. Electron. Mater. 2019, 1, 1282–1289. [Google Scholar] [CrossRef]
  7. Yu, K.; Zhou, Y.; Liu, Y.; Liu, F.; Hu, L.; Ao, W.; Zhang, C.; Li, Y.; Li, J.; Xie, H. Near-Room-Temperature Thermoelectric Materials and Their Application Prospects in Geothermal Power Generation. Geomech. Geophys. Geo-Energy Geo-Resour. 2020, 6, 1–25. [Google Scholar] [CrossRef]
  8. Kim, S.I.; Lee, K.H.; Mun, H.A.; Kim, H.S.; Hwang, S.W.; Roh, J.W.; Yang, D.J.; Shin, W.H.; Li, X.S.; Lee, Y.H.; et al. Dense Dislocation Arrays Embedded in Grain Boundaries for High-Performance Bulk Thermoelectrics. Science 2015, 348, 109–114. [Google Scholar] [CrossRef]
  9. Li, Y.; Li, D.; Qin, X.; Yang, X.; Liu, Y.; Zhang, J.; Dou, Y.; Song, C.; Xin, H. Enhanced Thermoelectric Performance through Carrier Scattering at Heterojunction Potentials in BiSbTe Based Composites with Cu3SbSe4 Nanoinclusions. J. Mater. Chem. C 2015, 3, 7045–7052. [Google Scholar] [CrossRef]
  10. Chen, W.H.; Wang, C.C.; Hung, C.I.; Yang, C.C.; Juang, R.C. Modeling and Simulation for the Design of Thermal-Concentrated Solar Thermoelectric Generator. Energy 2014, 64, 287–297. [Google Scholar] [CrossRef]
  11. Barry, M.M.; Agbim, K.A.; Rao, P.; Clifford, C.E.; Reddy, B.V.K.; Chyu, M.K. Geometric Optimization of Thermoelectric Elements for Maximum Efficiency and Power Output. Energy 2016, 112, 388–407. [Google Scholar] [CrossRef]
  12. He, Z.Z. A Coupled Electrical-Thermal Impedance Matching Model for Design Optimization of Thermoelectric Generator. Appl. Energy 2020, 269, 115037. [Google Scholar] [CrossRef]
  13. Yin, T.; Li, Z.M.; Peng, P.; Liu, W.; Shao, Y.Y.; He, Z.Z. Performance Analysis and Design Optimization of a Compact Thermoelectric Generator with T-Shaped Configuration. Energy 2021, 229, 120652. [Google Scholar] [CrossRef]
  14. Liu, Z.; Zhu, S.; Ge, Y.; Shan, F.; Zeng, L.; Liu, W. Geometry Optimization of Two-Stage Thermoelectric Generators Using Simplified Conjugate-Gradient Method. Appl. Energy 2017, 190, 540–552. [Google Scholar] [CrossRef]
  15. Liang, X.; Sun, X.; Tian, H.; Shu, G.; Wang, Y.; Wang, X. Comparison and Parameter Optimization of a Two-Stage Thermoelectric Generator Using High Temperature Exhaust of Internal Combustion Engine. Appl. Energy 2014, 130, 190–199. [Google Scholar] [CrossRef]
  16. Yin, T.; Li, Z.; Peng, P.; Liu, W.; Shao, Y.; He, Z. Performance Analysis of a Novel Two-Stage Automobile Thermoelectric Generator with the Temperature-Dependent Materials. Appl. Therm. Eng. 2021, 195, 117249. [Google Scholar] [CrossRef]
  17. Ma, X.; Shu, G.; Tian, H.; Xu, W.; Chen, T. Performance Assessment of Engine Exhaust-Based Segmented Thermoelectric Generators by Length Ratio Optimization. Appl. Energy 2019, 248, 614–625. [Google Scholar] [CrossRef]
  18. Zhu, L.; Li, H.; Chen, S.; Tian, X.; Kang, X.; Jiang, X.; Qiu, S. Optimization Analysis of a Segmented Thermoelectric Generator Based on Genetic Algorithm. Renew. Energy 2020, 156, 710–718. [Google Scholar] [CrossRef]
  19. Kishore, R.A.; Sanghadasa, M.; Priya, S. Optimization of Segmented Thermoelectric Generator Using Taguchi and ANOVA Techniques. Sci. Rep. 2017, 7, 16746. [Google Scholar] [CrossRef]
  20. Shen, Z.G.; Liu, X.; Chen, S.; Wu, S.Y.; Xiao, L.; Chen, Z.X. Theoretical Analysis on a Segmented Annular Thermoelectric Generator. Energy 2018, 157, 297–313. [Google Scholar] [CrossRef]
  21. Fan, S.; Gao, Y. Numerical Analysis on the Segmented Annular Thermoelectric Generator for Waste Heat Recovery. Energy 2019, 183, 35–47. [Google Scholar] [CrossRef]
  22. Karana, D.R.; Sahoo, R.R. Influence of Geometric Parameter on the Performance of a New Asymmetrical and Segmented Thermoelectric Generator. Energy 2019, 179, 90–99. [Google Scholar] [CrossRef]
  23. Hwang, J.; Kim, H.; Wijethunge, D.; Nandihalli, N.; Eom, Y.; Park, H.; Kim, J.; Kim, W. More than Half Reduction in Price per Watt of Thermoelectric Device without Increasing the Thermoelectric Figure of Merit of Materials. Appl. Energy 2017, 205, 1459–1466. [Google Scholar] [CrossRef]
  24. Choday, S.H.; Roy, K. Sensitivity Analysis and Optimization of Thin-Film Thermoelectric Coolers. J. Appl. Phys. 2013, 113, 214906. [Google Scholar] [CrossRef]
  25. Pérez-Aparicio, J.L.; Palma, R.; Taylor, R.L. Finite Element Analysis and Material Sensitivity of Peltier Thermoelectric Cells Coolers. Int. J. Heat Mass Transf. 2012, 55, 1363–1374. [Google Scholar] [CrossRef]
  26. Zhang, F.; Xu, X.; Cheng, L.; Wang, L.; Liu, Z.; Zhang, L. Global Moment-Independent Sensitivity Analysis of Single-Stage Thermoelectric Refrigeration System. Int. J. Energy Res. 2019, 43, 9055–9064. [Google Scholar] [CrossRef]
  27. Zhang, F.; Cheng, L.; Wu, M.; Xu, X.; Wang, P.; Liu, Z. Performance Analysis of Two-Stage Thermoelectric Generator Model Based on Latin Hypercube Sampling. Energy Convers. Manag. 2020, 221, 113159. [Google Scholar] [CrossRef]
  28. Wee, D. Uncertainty and Sensitivity of the Maximum Power in Thermoelectric Generation with Temperature-Dependent Material Properties: An Analytic Polynomial Chaos Approach. Energy Convers. Manag. 2018, 157, 103–110. [Google Scholar] [CrossRef]
  29. Zhang, F.; Xu, X.; Wang, L.; Liu, Z.; Zhang, L. Global Sensitivity Analysis of Two-Stage Thermoelectric Refrigeration System Based on Response Variance. Int. J. Energy Res. 2020, 44, 6623–6630. [Google Scholar] [CrossRef]
  30. Imasato, K.; Kang, S.D.; Snyder, G.J. Exceptional Thermoelectric Performance in Mg3Sb0.6Bi1.4 for Low-Grade Waste Heat Recovery. Energy Environ. Sci. 2019, 12, 965–971. [Google Scholar] [CrossRef]
  31. Zhang, Q.; Liao, J.; Tang, Y.; Gu, M.; Ming, C.; Qiu, P.; Bai, S.; Shi, X.; Uher, C.; Chen, L. Realizing a Thermoelectric Conversion Efficiency of 12% in Bismuth Telluride/Skutterudite Segmented Modules through Full-Parameter Optimization and Energy-Loss Minimized Integration. Energy Environ. Sci. 2017, 10, 956–963. [Google Scholar] [CrossRef]
Figure 1. Schematic of (a) physical model; (b) numerical model of the STEG; and (c) calculation process of 1D model.
Figure 1. Schematic of (a) physical model; (b) numerical model of the STEG; and (c) calculation process of 1D model.
Processes 11 03352 g001
Figure 2. The results of the 1D model compared with the (a) 3D model and (b) referenced data.
Figure 2. The results of the 1D model compared with the (a) 3D model and (b) referenced data.
Processes 11 03352 g002
Figure 3. (a) Pmax predicted by Equation (9) and P versus Rload, (b) ηmax predicted by Equation (10) and η versus Rload under different working conditions.
Figure 3. (a) Pmax predicted by Equation (9) and P versus Rload, (b) ηmax predicted by Equation (10) and η versus Rload under different working conditions.
Processes 11 03352 g003
Figure 4. Convergence plot of P during the genetic search.
Figure 4. Convergence plot of P during the genetic search.
Processes 11 03352 g004
Figure 5. Pmax versus Lleg under different working conditions: (a) Tc = 300 K, hh = hc = 1000 W/m2K and (b) Th = 600 K, Tc = 300 K.
Figure 5. Pmax versus Lleg under different working conditions: (a) Tc = 300 K, hh = hc = 1000 W/m2K and (b) Th = 600 K, Tc = 300 K.
Processes 11 03352 g005
Figure 6. Pmax versus Aleg under different working conditions: (a) Tc = 300 K, hh = hc = 1000 W/m2K and (b) Th = 600 K, Tc = 300 K.
Figure 6. Pmax versus Aleg under different working conditions: (a) Tc = 300 K, hh = hc = 1000 W/m2K and (b) Th = 600 K, Tc = 300 K.
Processes 11 03352 g006
Figure 7. Pmax versus θ under different working conditions: (a) Tc = 300 K, hh = hc = 1000 W/m2K and (b) Th = 600 K, Tc = 300 K.
Figure 7. Pmax versus θ under different working conditions: (a) Tc = 300 K, hh = hc = 1000 W/m2K and (b) Th = 600 K, Tc = 300 K.
Processes 11 03352 g007
Figure 8. (a) γP,opt and αopt, and (b) θopt and Pmax versus ΔThc.
Figure 8. (a) γP,opt and αopt, and (b) θopt and Pmax versus ΔThc.
Processes 11 03352 g008
Figure 9. (a) γP,opt and αopt, and (b) θopt and Pmax versus h.
Figure 9. (a) γP,opt and αopt, and (b) θopt and Pmax versus h.
Processes 11 03352 g009
Figure 10. Si and ST of the P * with different variable ranges: (a) 5%, (b) 10%.
Figure 10. Si and ST of the P * with different variable ranges: (a) 5%, (b) 10%.
Processes 11 03352 g010
Figure 11. Si and ST of the P * with different variable ranges: (a) 5%, (b) 10%.
Figure 11. Si and ST of the P * with different variable ranges: (a) 5%, (b) 10%.
Processes 11 03352 g011
Figure 12. Si and ST of the P * with different variable ranges: (a) 5%, (b) 10%.
Figure 12. Si and ST of the P * with different variable ranges: (a) 5%, (b) 10%.
Processes 11 03352 g012
Table 1. Properties of thermoelectric materials.
Table 1. Properties of thermoelectric materials.
NamePropertyValue
P1σ (105 S/m)−1.39363 × 10−13T5 + 1.35653 × 10−10T4 − 1.73218 × 10−8T3 − 1.37099 × 10−5T2 − 1.21723 × 10−3T + 2.92491
κ (W/mK)−6.95775 × 10−13T5 + 1.34102 × 10−9T4 − 9.49459 × 10−7T3 + 3.02075 × 10−4T2 − 4.12972 × 10−2T + 2.85032
s (μV/K)2.09966 × 10−11T5 − 7.30376 × 10−8T4 + 8.41147 × 10−5T3 − 4.493757 × 10−2T2 + 11.76212T − 1.05601 × 103
N1σ (105 S/m)−5.78554 × 10−14T5 + 1.27566 × 10−10T4 − 1.04395 × 10−7T3 + 4.11754 × 10−5T2 − 1.028687 × 10−2T + 2.27032
κ (W/mK)1.69485 × 10−14T5 − 6.91254 × 10−11T4 + 9.69765 × 10−7T3 − 5.51018 × 10−5T2 + 1.246952 × 10−2T + 0.28306
s (μV/K)−6.91469 × 10−13T5 + 5.00735 × 10−9T4 − 7.34182 × 10−6T3 + 5.52535 × 10−3T2 − 2.35815 + 2.08815 × 102
P2σ (105 S/m)−2.31512 × 10−12T5 + 4.45173 × 10−9T4 − 3.41964 × 10−6T3 + 1.323335 × 10−3T2 − 0.26209T + 22.14865
κ (W/mK)−1.75029 × 10−12T5 + 3.56273 × 10−9T4 − 2.92239 × 10−6T3 + 1.22052 × 10−3T2 − 0.259307T + 22.92851
s (μV/K)4.13307 × 10−10T5 − 7.06671 × 10−9T4 + 4.74536 × 10−4T3 − 1.60098 × 10−1T2 + 27.94404T − 1.83293 × 103
N2σ (105 S/m)−6.21363 × 10−13T5 + 1.29614 × 10−9T4 − 1.0879 × 10−6T3 + 4.6994 × 10−4T2 − 0.1085129T + 11.8372
κ (W/mK)6.87393 × 10−13T5 − 1.61283 × 10−9T4 + 1.45776 × 10−6T3 − 6.20604 × 10−4T2 + 0.12375T − 8.10485
s (μV/K)−4.73434 × 10−11T5 + 8.00132 × 10−8T4 − 4.75014 × 10−5T3 + 1.201295 × 10−2T2 − 1.28059T − 1.33626 × 103
Disclaimer/Publisher’s Note: The statements, opinions and data contained in all publications are solely those of the individual author(s) and contributor(s) and not of MDPI and/or the editor(s). MDPI and/or the editor(s) disclaim responsibility for any injury to people or property resulting from any ideas, methods, instructions or products referred to in the content.

Share and Cite

MDPI and ACS Style

Yin, T.; Ren, D.; Ma, X.; Wei, Y.; Gao, Q.; Han, X. Optimal Design and Multi-Parameter Sensitivity Analysis of a Segmented Thermoelectric Generator. Processes 2023, 11, 3352. https://doi.org/10.3390/pr11123352

AMA Style

Yin T, Ren D, Ma X, Wei Y, Gao Q, Han X. Optimal Design and Multi-Parameter Sensitivity Analysis of a Segmented Thermoelectric Generator. Processes. 2023; 11(12):3352. https://doi.org/10.3390/pr11123352

Chicago/Turabian Style

Yin, Tao, Deliang Ren, Xiao Ma, Yuanzhen Wei, Qiang Gao, and Xingchang Han. 2023. "Optimal Design and Multi-Parameter Sensitivity Analysis of a Segmented Thermoelectric Generator" Processes 11, no. 12: 3352. https://doi.org/10.3390/pr11123352

APA Style

Yin, T., Ren, D., Ma, X., Wei, Y., Gao, Q., & Han, X. (2023). Optimal Design and Multi-Parameter Sensitivity Analysis of a Segmented Thermoelectric Generator. Processes, 11(12), 3352. https://doi.org/10.3390/pr11123352

Note that from the first issue of 2016, this journal uses article numbers instead of page numbers. See further details here.

Article Metrics

Back to TopTop