Next Article in Journal
Unlocking Insights: A Cloud Tool for Data Visualisation in a Smart Meter Project
Previous Article in Journal
Multi-Objective Disassembly Sequence Planning in Uncertain Industrial Settings: An Enhanced Water Wave Optimization Algorithm
 
 
Font Type:
Arial Georgia Verdana
Font Size:
Aa Aa Aa
Line Spacing:
Column Width:
Background:
Article

Modeling the Effects of NO3, H+ and Potential HNE on Nitro TAP through Response Surface Methodology

by
Carlos Portillo
1,*,
Sandra Gallegos
2,
Iván Salazar
3,
Ingrid Jamett
4,
Jonathan Castillo
5,
Eduardo Cerecedo-Sáenz
6,
Eleazar Salinas-Rodríguez
6 and
Manuel Saldaña
2,7,*
1
Centro de Desarrollo Energético Antofagasta, Universidad de Antofagasta, Antofagasta 1271155, Chile
2
Faculty of Engineering and Architecture, Universidad Arturo Prat, Iquique 1110939, Chile
3
Departamento de Ingeniería Civil, Universidad Católica del Norte, Antofagasta 1270709, Chile
4
Centro de Economía Circular en Procesos Industriales (CECPI), Facultad de Ingeniería, Universidad de Antofagasta, Antofagasta 1270300, Chile
5
Departamento de Ingeniería en Metalurgia, Universidad de Atacama, Copiapo 1531772, Chile
6
Academic Area of Earth Sciences and Materials, Institute of Basic Sciences and Engineering, Autonomous University of the State of Hidalgo, Pachuca 42184, Mexico
7
Departamento de Ingeniería Química y Procesos de Minerales, Universidad de Antofagasta, Antofagasta 1270300, Chile
*
Authors to whom correspondence should be addressed.
Processes 2023, 11(11), 3058; https://doi.org/10.3390/pr11113058
Submission received: 8 September 2023 / Revised: 1 October 2023 / Accepted: 3 October 2023 / Published: 25 October 2023

Abstract

:
Nitration is a chemical process that introduces a nitro group into a molecule, which modifies properties of organic compounds, impacting their reactivity and physical attributes. In copper mining, elevated nitrate levels present operational difficulties, impacting recovery percentages and leading to the deterioration of organic extractants. Historically, various elements such as intense electrolyte acidity, sunlight exposure, Mn presence, high temperatures, and microbial activity have been linked to this degradation. Over time, numerous methods, including the introduction of additives and the implementation of recirculation approaches, have been developed to address the nitration issue. Mathematical modeling of nitration (like response surface methodology, RSM) based on explanatory variables, such as N O 3 , H + , and Potential HNE, has the potential to obtain a better understanding of nitration processes. This study highlights the effectiveness of the TAP Test in assessing the aggressiveness level of nitrates in aqueous solutions and, given the increase in complexity of the minerals in mining sites, it is plausible to anticipate a rise in usage of these tests within hydrometallurgical plants in near future. Using RSM and design of experiments proved robust in examining the nitration phenomenon. Maximum TAP nitration occurred at elevated levels of N O 3 , H + , and Potential HNE, with an experimental peak of 17.9%; this contrasts with the theoretical 16.25% from the fitted model ( R 2 90 % ).

1. Introduction

Nitration is a chemical reaction in which a nitro group ( N O 2 ) is introduced into a molecule. This process is commonly used to modify the properties of organic compounds, such as their reactivity or physical properties [1]. Nitration garnered significant interest in the copper mining industry in the late 1990s, thanks to the experience gained at the solvent extraction (SX) plant of Lomas Bayas, located in the north of Chile. High nitrate levels in the PLS plant caused downstream operational issues, due to the nitration of the oxime in the organic plant, resulting in decreased copper recovery and drops in the yields of the unitary separation operations and Cu:Fe selectivity [2]. Nitration is one of the types of degradation that affects organic extractants, leading to economic losses due to the replenishment of fresh extractant. Because of the economic impacts, the degradation phenomena of commercial oximes have been studied for decades [3,4,5]. Among the historical reports found in the literature some degradation factors have been described, such as high acidity of electrolytes, solar radiation (photo-degradation), presence of Mn, elevated temperatures, and microorganisms, in addition to nitration [6,7,8,9].
The initial measurements of nitrates in the copper-rich solution (PLS) revealed concentrations ranging between 30 and 40 gpl. The nitrate contents were considered high, with levels found to be above 10 g/L [10]. Subsequently, due to a lack of understanding of the nitration phenomenon, no follow-ups were carried out to evaluate the evolution of nitrate concentrations both in the PLS solution and in the electrolyte. The frequent effects observed from the presence of nitrates in PLS include a decrease in copper transfer, production non-compliance, loss in physical characteristics, such as increased entrainment, increased viscosity, lower cathodic quality, and high phase dispersion, which directly impacts the purity of the cathode, among others [11].
There are various techniques used to eliminate or reduce nitrate from the solution [12,13,14,15,16,17,18,19], the main method being the use of additives (such as sulfamic acid), or the recirculation of high Cu and N O 3 drains to the leaching heap, using the heap as a N O 3 filter [20]. The combination of nitrates with H 2 S O 4 represents efficient oxidizers for sulfide minerals [21], either in the context of recirculation to the leaching heaps or their use as catalysts for Cu extraction from sulfides, in acid-nitrate-chloride media [22]. It is also important to implement organic washing stages to remove the ions that act as nitration catalysts, such as chloride ions [23]. The organic washing stage has been proposed not only for operations containing chloride ions but also in nitrate operations. Washing the loaded organic extract could remove the nitrate ions from the system and prevent them from accumulating and concentrating in the electrolytes [24].
From a literature review, there have been three highly aggressive nitration phenomena in Chile in copper solvent extraction plants: Lomas Bayas [25]; Capacho Viejo, and Los Mantos. The oxime’s nitration has negative effects on the aggregate process by reducing the copper extraction rate; an example of this was at Lomas Bayas in 1998, one of the mining companies that faced issues with nitration phenomena. The oxime reagent suffered severe damages due to the nitration of the oxime (facilitated by a highly acidic working environment, p H = 1.5 ), reducing discharge percentages, and thus, the process productivity [25]. In northern Chile, nitrate can occasionally be responsible for bleeding or tap-off episodes. However, it is important to emphasize that this situation is mainly restricted to operations in that region. Some Latin American operational mining plants have also experienced relatively high levels of N O 3 in the PLS plant [26].
The objective of this work is to obtain a better understanding of the dynamics of nitration, especially in the context of copper mining and degradation of organic extractants. The research aims to explore the effectiveness of the TAP Test in assessing the aggressiveness level of nitrates in aqueous solutions, and to evaluate the utility of the response surface methodology and design of experiments in examining the phenomenon, especially when analyzing the effects of specific explanatory variables ( N O 3 , H + , and Potential HNE) on the response variable. This paper begins with a background section, where the dynamics of the nitration process are explained. Then, in Materials and Methods, the case study, the experimental design, and the sampled data are presented. The fitted model and hypothesis tests are presented in Results and Discussion. Finally, a summary of the main findings and future perspectives is presented in Section 5.

2. Background

Nitration, in the processing of copper ores, is a chemical reaction by substitution that occurs between the oxime and the N O 2 + present in the PLS or electrolyte solutions [27]. The aforementioned reaction generates a pseudo-stabilization of the organo-metallic copper complex, which prevents the re-extraction reaction (elimination of the Cu ion) in the electrolytic solution. This results in a circulating charge that hinders the normal transfer of copper [28]. The formation of N O 2 + occurs from the reactions shown in Equations (1) and (2):
N O 3 + H 2 S O 4 H N O 3 + H S O 4
H N O 3 + H 2 S O 4 N O 2 + + H 2 + H S O 4
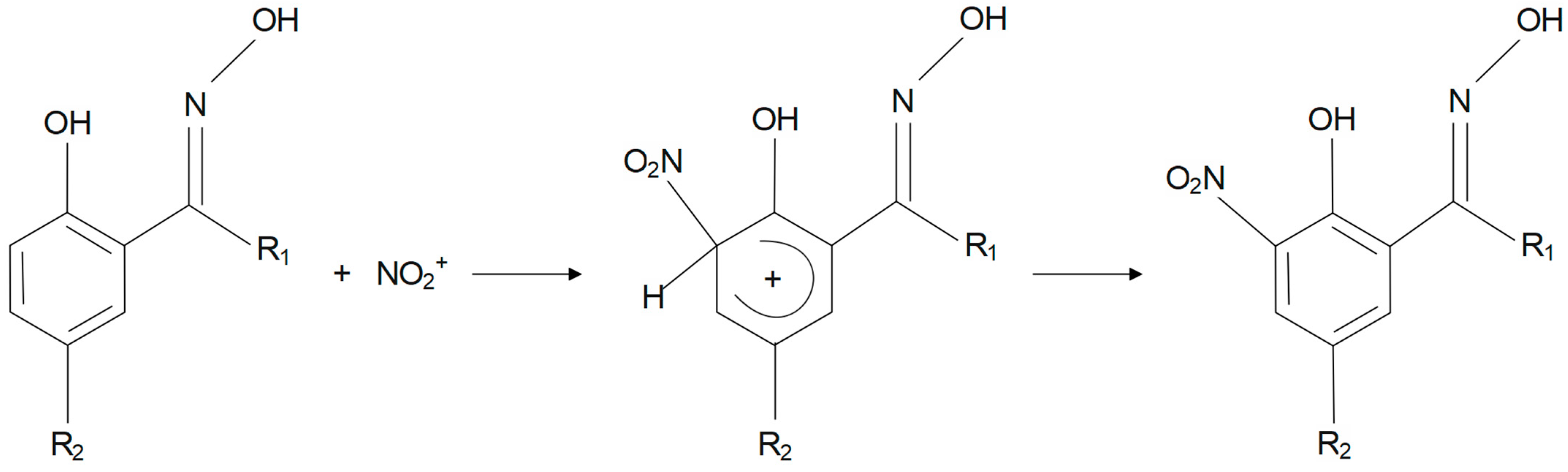
while the proposed mechanism for the nitrate oxime reaction is shown in Figure 1. The diagram illustrates the nitration process, which occurs due to the attraction of N O 2 + to the aromatic ring. This attraction causes a transformation of hydroxyoximes into nitro-hydroxyoximes, resulting in a change in the molecular structure of the new oxime. Consequently, this structural change leads to modifications in the properties of the oxime, including its extraction capacity and selectivity for copper, among others.
The nitration reaction depends directly on the nitrate concentration in aqueous solutions and the acidity level [28], but variables such as solution temperature, redox potential, and interfacial tension also affect it or contribute to the catalyzation process and the reactivity of the aqueous and organic phases [29,30,31]. Oxime nitration can generate various problems for the normal operation of solvent extraction plants [13], the most significant being the loss of copper transfer capacity, the increase in phase separation times, the decrease in interfacial tension, the increase in viscosity in the organic phase, the increase in carryover from one phase to another, the increase in extractant consumption, the increase in the speed of hydrolytic degradation, and the decrease in cathode quality, among others.
Studies on the reduction or prevention of extractant degradation due to nitration effects have attracted growing attention in recent years [3,28,32]; meanwhile, in order to control and mitigate the effects of organic phase nitration, measures have been initiated such as increasing the pH in the PLS, reducing the acidity in the electrolyte, controlling nitrate in the PLS with pre-leaching pile washings, reducing flow rates, adding washing stages, controlling redox potentials (ferrous sulfate), eliminating nitrous gases in the agglomerating drum, and proper selection of the extracting reagent, among others. Regarding the selection of the extractant reagent, the use of pure oximes has been recommended since a higher nitration has been demonstrated in oximes with modifiers [12,33]. Operations that have nitrate ions present under the conditions already mentioned should establish routine controls to prevent or reduce the chances of oxime nitration. The copper detected after discharge is known as residual copper and is directly proportional to the amount of nitrated oxime.
One of the most important operational adjustments in operations with high nitration levels has been to use LIX 84I as an extractant [34], a reagent based on cetoxime, a weak extraction oxime with low selectivity concerning Fe (see Figure 2). This implies a reduced Cu transfer or an increase in maximum load (costs) and a decrease in Cu/Fe selectivity (cost): reduced current efficiency or increased electrolyte purge. The utilization of oximes in the development process has been restricted to specific conditions, including the use of pure compounds, mixtures of aldoximes and ketoximes, or the inclusion of modifiers. However, a promising class of reagents that share similarities with oximes, known as amidoximes, has recently emerged [35,36,37].
The reagent LIX84I, based on cetoxime (an oxime derived from condensation with a ketone), contains a residual product from its manufacturing raw materials called NONYLPHENOL. This compound acts as a sacrificial molecule (by reducing nitrate [38]), preferentially undergoing nitration before the cetoxime. Based on the aforementioned mechanism, sacrificial organic products were developed that provide increased protection against nitration, while ensuring that with extractants based on aldoximes, there is no compromise in copper transfer and Cu/Fe selectivity, as is the case with cetoxime. Subsequently, a faster consumption rate of the protector results in greater protection due to the consumption of the nitronium ion. Oxime nitration (an extractant focused on Cu/Fe selectivity) will not occur in the presence of the protector. As this protector is consumed, the nitration of the oxime will begin.
Later methodologies have been developed that allow for evaluating the potential of aqueous solutions to cause nitration of the oxime. Among them is the compound Ter-Amyl Phenol (TAP) (see Figure 3), a compound that replaces real oximes [13]. This compound is notably more reactive with the nitronium ion than a real oxime since the benzene ring contains only half of the activating -OH, and its solubility in an aqueous solution is much higher due to its much shorter alkyl chain. Depending on the aggressiveness of the aqueous solution to be analyzed, the Ter-Amyl Phenol, dissolved in an appropriate solvent, is partially or fully nitrated (2-nitro-4-tertamyl phenol).
The nitration potential is expressed as the percentage of the area of 4-nitro-teramyl phenol in comparison to the total detected area (area of Ter-Amyl Phenol + area of 4-nitro-teramyl phenol).
Subsequently, considering the explanatory reaction for the formation of the nitronium ion, to eliminate or mitigate the risk associated with it before coming into contact with the organic phase, an application was developed based on adding sulfamic acid to the aqueous solution, consuming the nitronium ion through the reaction shown in Equation (3):
H 2 N S O 2 O H + N O 2 + + H + N 2 + H 2 S O 4 + H 2 O
whose products are fully compatible with the SX and EW process. In other words, the reaction of sulfamic acid with the nitronium ion significantly decreases the risks of nitration of the oxime in SX.

3. Materials and Methods

The effect of the independent variables N O 3 , H + and Potential HNE (hydrogen normal electrode) on nitration was studied by Response Surface Methodology (RSM) [39]. The Central Composite Face (CCF) design and a quadratic model were applied in the experimental design for Cu extraction. The Nitro TAP Test procedure was carried out using as follows:
  • A solution of 0.2 mM in heptane;
  • It is stirred in a 1:1 v/v ratio with the aqueous phase under study;
  • Temperature 40 °C;
  • Stirring time 3 h;
  • The aqueous phase is separated and discarded;
  • The organic phase is analyzed by gas chromatography.
Finding reliable and efficient methods to predict laboratory data is of utmost importance in research. In this regard, Response Surface Methodology (RSM) has emerged as a highly effective tool for researchers. RSM offers a cost-effective solution with minimal time requirements, making it an optimal choice for predicting laboratory data. By utilizing RSM, researchers can achieve desired results efficiently, enabling them to make informed decisions confidently [40,41,42,43]. The Response Surface Methodology is a set of statistical techniques used to model and analyze problems in which a response variable is influenced by other explanatory or independent variables. The purpose of these techniques is to design an experiment that provides values of the response variable and to determine the mathematical model that best fits the data obtained [44]. The ultimate goal is to establish the values of the factors that optimize the optimal operating conditions of the system [45]. The difference between RSM and a current experimental design (DOE) is that an experimental design aims to identify the winning combination or sample among all those that have been tested. Instead, RSM aims to locate the optimal operating conditions of the process for the range of sampled parameters or domain of the independent variables [46].
The methodology consisted of nitration experiments considering three factors and four levels (see Table 1) and carrying out 64 experimental tests (see Table 2), to study the effects of N O 3 , H + and Potential HNE on nitration. For the modeling and experimental design, the Minitab 18 [47] software was used, allowing us to investigate the linear effects, the interactions, and the quadratic effects of the independent variables on response variable. The experimental data were adjusted by means of a multiple regression analysis to a quadratic model, considering only those factors that help to explain the variability of the model and that have high statistical significance.
The general form of the experimental model is given by Equation (4):
Y = b 0 + i = 1 n b i x i + i = 1 n j = 1 n b i j x i x j
where x i represents the independent variables, while the parameters b are the coefficients of the independent variables. The R2 statistics and p values indicate whether the model obtained is adequate to describe nitration under the set of sampled values. The R2 coefficient measures the proportion of total variability of the dependent variable with respect to its mean that is explained by the regression model, while the p-values represent statistical significance, indicating whether there is a statistically significant association between the response variable and the independent variable(s) [48].

4. Results and Discussion

Analyzing the main effects (see Figure 4) finds that all the factors considered in the experimental design have an impact on the response, revealing a directly proportional relationship between the independent variables and the response. Additionally, the contour plot (see Figure 5) indicates that the response increases at high levels of the variables N O 3 and H + , while for levels of H + 12 the response is not sensitive to variations in the independent variable N O 3 .
Additionally, by using the Tukey and Fisher hypothesis tests [49] for the comparison of the response means for each of the factors or independent variables considered in the experimental design, it can be concluded that there are differences in the Nitration TAP means at the level of significance of 0.05 based on the levels of N O 3 according to the Tukey test, for the differences in the tuples of levels 1–7 and 1–10 according to the Tukey and Fisher tests, and for the tuple 1–4 according to Fisher’s test (see Table 3). It is also observed that there are differences in the mean values of TAP nitration for the H + levels (see Table 4), in the comparative analysis of 4–18, 8–18, and 12–18 levels, while there are potential HNE differences in the response between the 650–950 and 750–950 levels, according to the Tukey and Fisher tests (see Table 5).
In general, in terms of controlling for type I errors (i.e., the probability of finding a significant difference when none actually exists), Tukey’s test is more conservative than Fisher’s LSD. Fisher’s LSD test compares all pairs of groups and is more likely to make a type I error (false positives) when multiple comparisons are made. On the other hand, the Tukey test controls the overall error rate for all pairwise comparisons, which makes it more conservative and reduces the probability of type I errors. The above explains why the Fisher test considers the difference between levels 1–4 for N O 3 , while the Tukey test does not (see Table 3).
The multiple regression model (quadratic model) adjusted from the experimental design is shown in Equation (5):
Nitro   TAP   % = 20.7 1.609 x 1 2.936 x 2 0.01864 x 3 + 0.06381 x 2 2 + 0.0865 x 1 x 2 + 0.0013 x 1 x 3 + 0.001965 x 2 x 3
An ANOVA analysis (see Table 6) indicates that the fitted model presented in Equation (5) adequately represents the TAP nitration process (%) under the set of sampled parameters. The regression model does not require additional adjustments and is validated by the p values (both at the variable level and the aggregate model), by the sum of squares, the mean squares, and by the R2 and S statistics (see Table 7). The p values (p ≤ 0.05) and the R2 (90.03%) indicate that the model is statistically significant (however, improvements in the fit of the model could be developed by expanding the sampling or by incorporating additional variables that have a potential impact in response). Additionally, the F test, where F regression ( 72.23 ) > F critical ( 2.18 ) , supports the statistical significance of the fitted model.
The distribution of the standardized residuals of the fitted model in Equation (5) (see Figure 6) indicates that these are not normally distributed (although they can resemble similar distributions, like the generalized extreme, Pearson type III, Gumbel, Log gamma and skewed normal distribution [50]) and the p-value of the test is less than the level of significance (α < 0.05), so the assumption that the residuals are normally distributed is rejected. This could be explained by factors not considered in the model or by significant variables not considered in the design of the experiment that impact on its dynamics, despite the fact that this one presents a coefficient of determination that indicate that the model adjusted in Equation (5) is appropriate to explain the dynamic of the system studied.
Figure 7, on the other hand, indicates that residuals are not correlated, indicating they are independent of one other. The absence of correlation between the residuals is a fundamental assumption in models such as this adjusted one, since it guarantees the validity, precision, and efficiency of the regression model. If the residuals were correlated, it could indicate that there is information not captured by the model and that it is necessary to review and possibly modify it. Finally, the surface plot that models the response indicates that Nitro TAP increases at higher levels of each of the independent variables (see Figure 8) and nitration is non-existent at low levels of H + ( < 8 ), however, it can also be observed that the increase in the response is greater when faced with variations in H + than in N O 3 or Potential HNE.

5. Conclusions

From the study presented in this manuscript it can be concluded:
  • The TAP Test is a useful tool that provides information on the level of aggressiveness of the presence of nitrates in aqueous solutions. Given the complexity of ores, it is reasonable to posit that the utilization of the test will increase in hydrometallurgical plants in the short term.
  • The response surface methodology and the design of experiments are robust tools when evaluating the impact of variables of interest in complex processes such as the nitration phenomenon. The experimental design chosen also allows obtaining a clear interaction of the variables under study, together with a smaller number of tests than the factorial experimental design.
  • The highest percentage of TAP nitration is reached at high levels of each of the studied variables, N O 3 , H + and potential HNE.
  • The maximum experimental TAP nitration percentage was 17.9%, while its theoretical correlate (obtained from the fitted model in Equation (5)) is 16.25%.
  • The application of sulfamic acid for cases of high aggressiveness is a tool that allows reducing the risks of nitration, opening opportunities for the development of leaching processes with Nitric Acid (sulfides and leaching of concentrates) and minerals with a high nitrate content that have not been treated.
Additionally, the use of machine learning for modeling, simulation and optimization in the nitration process in mining/metallurgy processes such as solvent extraction in copper metal mining has the potential to profoundly transform the industry: allowing more precise modeling of processes, optimizing parameters in real time, reducing costs, improving safety through early warnings, quickly adapting to changes, discovering new operating strategies, and facilitating the comprehensive automation of the nitration process and its effects on production processes. These capabilities not only increase efficiency, but also open the door to more sustainable and environmentally friendly mining operations.

Author Contributions

Conceptualization, M.S.; methodology, I.S. and I.J.; validation, I.S. and I.J.; formal analysis, C.P.; investigation, C.P., S.G., J.C. and M.S.; writing—original draft, C.P., J.C. and M.S.; writing—review and editing, S.G., E.C.-S. and E.S.-R.; visualization, M.S.; supervision, E.C.-S. and E.S.-R. All authors have read and agreed to the published version of the manuscript.

Funding

This research received no external funding.

Data Availability Statement

Not applicable.

Acknowledgments

Manuel Saldaña acknowledges the infrastructure and support from Doctorado en Ingeniería de Procesos de Minerales at the Universidad de Antofagasta.

Conflicts of Interest

The authors declare no conflict of interest.

References

  1. Yan, G.; Yang, M. Recent Advances in the Synthesis of Aromatic Nitro Compounds. Org. Biomol. Chem. 2013, 11, 2554–2566. [Google Scholar] [CrossRef]
  2. Cole, P.; Bednarski, T.; Thomas, L.; Muteba, D.; Banza, G.; Soderstrom, M. Understanding Aqueous-in-Organic Entrainment in Copper Solvent Extraction. J. S. Afr. Inst. Min. Met. 2016, 116, 525–531. [Google Scholar] [CrossRef]
  3. Whewell, R.J.; Foakes, H.J.; Hughes, M.A. Degradation in Hydroxyoxime Solvent Extraction Systems. Hydrometallurgy 1981, 7, 7–26. [Google Scholar] [CrossRef]
  4. Barnard, K.R. Isolation and Characterisation of the LIX®63 Degradation Products 5,8-Diethyl-6,7-Dodecanedione Monooxime (Keto-Oxime) and 5,8-Diethyl-6,7-Dodecanediol (Diol) and Regeneration of Oxime from Keto-Oxime. Hydrometallurgy 2008, 90, 147–153. [Google Scholar] [CrossRef]
  5. Hurtado-Guzman, C.; Menacho, J. Oxime Degradation Chemistry in Copper Solvent Extraction Plants. Copper 2003, 6, 719–734. [Google Scholar]
  6. Krzyzanowska, E.; Olszanowski, A. Photostability of Hydroxyoxime Extractants of Metals 2. Photo-Isomerization and Photo-Degradation of 2-Hydroxy-5-Methylbenzophenone (Z)-Oxime. Hydrometallurgy 1995, 37, 375–385. [Google Scholar] [CrossRef]
  7. Cheng, C.Y.; Hughes, C.A.; Barnard, K.R.; Larcombe, K. Manganese in Copper Solvent Extraction and Electrowinning. Hydrometallurgy 2000, 58, 135–150. [Google Scholar] [CrossRef]
  8. Barnard, K.R.; Turner, N.L. The Effect of Temperature on Hydroxyoxime Stability in the LIX 63—Versatic 10—Tributyl Phosphate Synergistic Solvent Extraction System under Synthetic Nickel Laterite Conditions. Hydrometallurgy 2011, 109, 245–251. [Google Scholar] [CrossRef]
  9. Manafi, Z.; Abdollahi, H.; Majd, M.Z.; Golbang, N.; Emtiazi, G.; Olson, G.J. Isolation and Identification of Microorganisms Causing Microbial Degradation of Organic Phase of the Solvent Extraction Unit in the Copper Industries. Int. J. Min. Process 2012, 112–113, 43–48. [Google Scholar] [CrossRef]
  10. Wieszczycka, K.; Kaczerewska, M.; Krupa, M.; Parus, A.; Olszanowski, A. Solvent Extraction of Copper(II) from Ammonium Chloride and Hydrochloric Acid Solutions with Hydrophobic Pyridineketoximes. Sep. Purif. Technol. 2012, 95, 157–164. [Google Scholar] [CrossRef]
  11. Werlinger Solís, F.K. Síntesis y Evaluación de Compuestos del Tipo Imino-Fenol Aplicados en el Proceso de Extracción por Solvente para la Recuperación de Metales Divalentes en Medios Ácidos; Pontificia Universidad Católica de Chile: Santiago, Chile, 2020. [Google Scholar]
  12. Bender, J. Methods of Reducing Nitration of Extractants in Solvent Extraction Systems. Patent WO2020190822A1, 24 September 2020. [Google Scholar]
  13. Campbell, J.; Owens, S.; Soderstrom, M.; Bednarski, T.; Marin, G. Metal Extractant Reagents Having Increased Resistance to Degradation. U.S. Patent 8,329,124, 11 December 2012. [Google Scholar]
  14. Stewart Tinkler, O.; Cramer, K.A.; Tetlow, P.E.; Campbell, J.; Maes, C.J. Modification of Copper/Iron Selectivity in Copper Solvent Extraction Systems. U.S. Patent 8,349,208, 28 January 2013. [Google Scholar]
  15. Somekh, G.S. Process for the Recovery of Amides. U.S. Patent 8,329,124, 22 March 1977. [Google Scholar]
  16. Cupertino, D.C. Use of Anti-Degradation Agents for Oxime Extractants in the Solvent Extraction of Metals. Patent WO2001014604A1, 1 March 2001. [Google Scholar]
  17. Sugarman, A.D.; Carlo Cupertino, D. Composition and Process for the Solvent Extraction of Metals Using Aldoxime or Ketoxime Extractants. Patent WO2001000889A1, 4 January 2001. [Google Scholar]
  18. Sugarman, A.D. Composition of Oxime and Hydroxy-Ester for the Solvent Extraction of Metals. U.S. Patent 6,726,887, 27 April 2004. [Google Scholar]
  19. Virnig, M.; Bender, J.; Emmerich, N.C. Compositions and Methods of Using a Ketoxime in a Metal Solvent Extraction Reagent. WO2012150984A2, 8 November 2012. [Google Scholar]
  20. AMSA. Desafíos Innovación Operacional; AMSA: Santiago, Chile, 2021. [Google Scholar]
  21. Hernández, P.C.; Taboada, M.E.; Herreros, O.O.; Graber, T.A.; Ghorbani, Y. Leaching of Chalcopyrite in Acidified Nitrate Using Seawater-Based Media. Minerals 2018, 8, 238. [Google Scholar] [CrossRef]
  22. Hernández, P.C.; Dupont, J.; Herreros, O.O.; Jimenez, Y.P.; Torres, C.M. Accelerating Copper Leaching from Sulfide Ores in Acid-Nitrate-Chloride Media Using Agglomeration and Curing as Pretreatment. Minerals 2019, 9, 250. [Google Scholar] [CrossRef]
  23. Shakibania, S.; Mahmoudi, A.; Mokmeli, M.; Rashchi, F. The Effect of the Chloride Ion on Chemical Degradation of LIX 984N Extractant. Miner. Eng. 2020, 159, 106628. [Google Scholar] [CrossRef]
  24. Kordosky, G.A. Copper Solvent Extraction: The State of the Art. JOM 1992, 44, 40–45. [Google Scholar] [CrossRef]
  25. Eyzaguirre, D. Efecto Del Nitrato En La Extracción Por Solventes de Compañía Minera Lomas Bayas. Minerales 2000, 555, 11–20. [Google Scholar]
  26. Zambra, R.; Quiladran, A.; Castro, O. The Phenomenon of Nitration in the Chilean Copper Hydrometallurgy. In Proceedings of the Copper 2013: Hydrometallurgy; Ugarte, G., Ed.; Chilean Institute of Mining Engineers: Santiago, Chile, 2013; p. 9. [Google Scholar]
  27. Bart, H.J.; Marr, R.; Bauer, A.; Schein, R.; Marageter, E. Copper Extraction in Nitrate Media. Hydrometallurgy 1990, 23, 281–295. [Google Scholar] [CrossRef]
  28. Lazarova, Z.; Lazarova, M. Solvent Extraction of Copper from Nitrate Media with Chelating LIX-Reagents: Comparative Equilibrium Study. Solvent Extr. Ion Exch. 2005, 23, 695–711. [Google Scholar] [CrossRef]
  29. Albright, L.F.; Carr, R.V.C.; Schmitt, R.J. Nitration: An Overview of Recent Developments and Processes. ACS Symp. Ser. 1996, 623, 1–9. [Google Scholar] [CrossRef]
  30. Lazarova, Z.; Lazarova, M. Kinetic Aspects of Copper-LIX® Extraction from Nitrate/Nitric Acid Aqueous Solutions. Solvent Extr. Ion Exch. 2007, 25, 619–638. [Google Scholar] [CrossRef]
  31. Alguacil, F.J.; Cobo, A.; Alonso, M. Copper Separation from Nitrate/Nitric Acid Media Using Acorga M5640 Extractant: Part I: Solvent Extraction Study. Chem. Eng. J. 2002, 85, 259–263. [Google Scholar] [CrossRef]
  32. Xu, Z.G.; Zhou, T.; Zou, Q.; Wang, Y.X.; Wang, C.H.; Zhang, D.M.; Wang, F. Degradation of Hydroxyoxime Extractants by Nitration and Remedies with Inhibitor Reagent. Hydrometallurgy 2019, 183, 142–150. [Google Scholar] [CrossRef]
  33. Crane, P.; Urbani, M.; Dudley, K.; Horner, A.; Virnig, M. Solvent Extraction (SX) Reagent Selection for High Temperature, Acid, Chloride and Cu PLS at Port Pirie and Its Impact on Electrowinning (EW). In Proceedings of the SAIMM Southern African Hydrometallurgy Conference 2009, Johannesburg, South Africa, 24–26 February 2009; pp. 283–294. [Google Scholar]
  34. Panigrahi, S.; Parhi, P.K.; Sarangi, K.; Nathsarma, K.C. A Study on Extraction of Copper Using LIX 84-I and LIX 622N. Sep. Purif. Technol. 2009, 70, 58–62. [Google Scholar] [CrossRef]
  35. Kulish, K.I.; Novikov, A.S.; Tolstoy, P.M.; Bolotin, D.S.; Bokach, N.A.; Zolotarev, A.A.; Kukushkin, V.Y. Solid State and Dynamic Solution Structures of O-Carbamidine Amidoximes Gives Further Insight into the Mechanism of Zinc(II)-Mediated Generation of 1,2,4-Oxadiazoles. J. Mol. Struct. 2016, 1111, 142–150. [Google Scholar] [CrossRef]
  36. Bolotin, D.S.; Demakova, M.Y.; Novikov, A.S.; Avdontceva, M.S.; Kuznetsov, M.L.; Bokach, N.A.; Kukushkin, V.Y. Bifunctional Reactivity of Amidoximes Observed upon Nucleophilic Addition to Metal-Activated Nitriles. Inorg. Chem. 2015, 54, 4039–4046. [Google Scholar] [CrossRef] [PubMed]
  37. Bolotin, D.S.; Il’in, M.V.; Novikov, A.S.; Bokach, N.A.; Suslonov, V.V.; Kukushkin, V.Y. Trinuclear (Aminonitrone)ZnII Complexes as Key Intermediates in Zinc(Ii)-Mediated Generation of 1,2,4-Oxadiazoles from Amidoximes and Nitriles. New J. Chem. 2017, 41, 1940–1952. [Google Scholar] [CrossRef]
  38. Luppi, L.I.; Hardmeier, I.; Babay, P.A.; Itria, R.F.; Erijman, L. Anaerobic Nonylphenol Ethoxylate Degradation Coupled to Nitrate Reduction in a Modified Biodegradability Batch Test. Chemosphere 2007, 68, 2136–2143. [Google Scholar] [CrossRef]
  39. Bezerra, M.A.; Santelli, R.E.; Oliveira, E.P.; Villar, L.S.; Escaleira, L.A. Response Surface Methodology (RSM) as a Tool for Optimization in Analytical Chemistry. Talanta 2008, 76, 965–977. [Google Scholar] [CrossRef]
  40. Hemmat Esfe, M.; Amoozadkhalili, F.; Toghraie, D. Comprehensive Study of MWCNT and CuO/SAE50 Hybrid Nanofluid with Experimental Method and Response Surface Methodology and Introducing This Nanofluid to the Industry. Mater. Sci. Eng. B 2023, 297, 116693. [Google Scholar] [CrossRef]
  41. Hemmat Esfe, M.; Hatami, H.; Kiannejad Amiri, M.; Alidoust, S.; Toghraie, D.; Esfandeh, S. Multi-Objective Optimization of Viscosity and Thermal Conductivity of TiO2/BioGlycol-Water Nanofluids with Sorting Non-Dominated Genetic Algorithm II Coupled with Response Surface Methodology. Mater. Today Commun. 2023, 36, 106718. [Google Scholar] [CrossRef]
  42. Hatami, H.; Tavallaee, R.; Karajabad, M.S.; Toghraie, D. Development of Knowledge Management in Investigating the Rheological Behavior of SiO2/SAE50 Nano-Lubricant by Response Surface Methodology (RSM). Tribol. Int. 2023, 187, 108667. [Google Scholar] [CrossRef]
  43. Hemmat Esfe, M.; Motallebi, S.M.; Alidoust, S.; Tamrabad, S.N.H.; Toghraie, D.; Hatami, H. Investigation of the Effects of Various Parameters and the Evaluation of the Optimal Rheological of MWCNTs Based Hybrid Nanolubricant and Providing an Optimal Model. Tribol. Int. 2023, 185, 108534. [Google Scholar] [CrossRef]
  44. David, H.A.; Edwards, A.W.F. Annotated Readings in the History of Statistics; Springer Series in Statistics; Springer: New York, NY, USA, 2009; ISBN 978-0-387-98134-5. [Google Scholar]
  45. Bettonvil, B.; del Castillo, E.; Kleijnen, J.P.C. Statistical Testing of Optimality Conditions in Multiresponse Simulation-Based Optimization. Eur. J. Oper. Res. 2009, 199, 448–458. [Google Scholar] [CrossRef]
  46. Cintas, P.G.; Almagro, L.M.; Llabres, X.T.-M. Industrial Statistics with Minitab; John Wiley & Sons: Hoboken, NJ, USA, 2012; ISBN 978-0470972755. [Google Scholar]
  47. Minitab. Getting Started with Minitab 18; Minitab: State College, PA, USA, 2017; p. 73. [Google Scholar]
  48. Devore, J. Probability & Statistics for Engineering and the Sciences, 8th ed.; Julet, M., Ed.; Cengage Learning: Boston, MA, USA, 2010; ISBN 0-538-73352-7. [Google Scholar]
  49. Montgomery, D.C.; Runger, G.C. Applied Statistics and Probalisty for Engineers, 6th ed.; John Wiley & Sons, Inc.: Hoboken, NJ, USA, 2014; ISBN 9781118539712. [Google Scholar]
  50. The SciPy Community SciPy.Org—SciPy.Org. Available online: https://docs.scipy.org/doc/scipy/reference/#developer-documentation/ (accessed on 20 April 2020).
Figure 1. Mechanism for the oxime reaction. R 1 H C H 3 (aldoxime or ketoxime); R 2 C 9 H 19 or C 12 H 25 (nonylaldoxime or dodecylaldoxime).
Figure 1. Mechanism for the oxime reaction. R 1 H C H 3 (aldoxime or ketoxime); R 2 C 9 H 19 or C 12 H 25 (nonylaldoxime or dodecylaldoxime).
Processes 11 03058 g001
Figure 2. Schematic of equilibrium loading as a function of pH for aldoximes and ketoximes.
Figure 2. Schematic of equilibrium loading as a function of pH for aldoximes and ketoximes.
Processes 11 03058 g002
Figure 3. Schema of tert—amyl phenol and 2—nitro—4—tert—amyl phenol.
Figure 3. Schema of tert—amyl phenol and 2—nitro—4—tert—amyl phenol.
Processes 11 03058 g003
Figure 4. Main effects plot of Nitro TAP (%) versus N O 3 (gpl), H + (gpl) and Potential HNE (mv).
Figure 4. Main effects plot of Nitro TAP (%) versus N O 3 (gpl), H + (gpl) and Potential HNE (mv).
Processes 11 03058 g004
Figure 5. Contour plot of Nitro TAP (%) versus: N O 3 and H + (a); N O 3 and Potential HNE (b); and, H + and Potential HNE (c).
Figure 5. Contour plot of Nitro TAP (%) versus: N O 3 and H + (a); N O 3 and Potential HNE (b); and, H + and Potential HNE (c).
Processes 11 03058 g005
Figure 6. Standardized residuals plot of the fitted regression model in Equation (5).
Figure 6. Standardized residuals plot of the fitted regression model in Equation (5).
Processes 11 03058 g006
Figure 7. Standardized residuals observations plot of the fitted regression model in Equation (5).
Figure 7. Standardized residuals observations plot of the fitted regression model in Equation (5).
Processes 11 03058 g007
Figure 8. Response surface plot for Nitro TAP (%) versus; N O 3 and H + (a); N O 3 and Potential HNE (b); and, H + and Potential HNE (c).
Figure 8. Response surface plot for Nitro TAP (%) versus; N O 3 and H + (a); N O 3 and Potential HNE (b); and, H + and Potential HNE (c).
Processes 11 03058 g008
Table 1. Levels of the explanatory variables of the design of experiments.
Table 1. Levels of the explanatory variables of the design of experiments.
Level/Variable [Notation] N O 3 (gpl) [ x 1 ] H + (gpl) [ x 2 ]Potential HNE (mv) [ x 3 ]
114650
248750
3712850
41018950
Table 2. Nitro TAP results of the experimental design.
Table 2. Nitro TAP results of the experimental design.
Test N O 3 (gpl) H + (gpl)Potential HNE (mv)Nitro TAP (%)Test N O 3 (gpl) H + (gpl)Potential HNE (mv)Nitro TAP (%)
1146500331126500
2446500344126500
3746500357126500
410465003610126500
5147500371127500
6447500384127500
7747500397127500
810475004010127500
9148500411128500
10448500424128500
11748500437128500
1210485004410128500
13149500451129500
14449500464129503.5
15749500477129505
1610495004810129505.7
17186500491186500
18486500504186504.2
19786500517186504.8
2010865005210186505.5
21187500531187500
22487500544187505.9
23787500557187507.5
24108750056101875011.1
25188500571188500
26488500584188508.6
277885005971885010.5
28108850060101885014.5
29189500611189503.7
304895006241895010
317895006371895014.4
32108950064101895017.9
Table 3. Individual tests of mean differences of N O 3 .
Table 3. Individual tests of mean differences of N O 3 .
N O 3 Tukey Test Fisher Test
Group1Group2 Δ x ¯ CI (95%)t-Valuep-Value Δ x ¯ CI (95%)t-Valuep-Value
141.7813(−0.566; 4.129)2.010.1961.781(0.006; 3.556)2.010.049
172.4062(0.059; 4.754)2.720.0422.406(0.631; 4.181)2.720.009
1103.1875(0.840; 5.535)3.600.0043.188(1.413; 4.962)3.600.001
470.6250(−1.722; 2.972)0.710.8940.625(−1.150; 2.400)0.710.483
4101.4062(−0.941; 3.754)1.590.3941.406(−0.369; 3.181)1.590.118
7100.7812(−1.566; 3.129)0.880.8140.781(−0.994; 2.556)0.880.381
Table 4. Individual tests for mean differences of H + .
Table 4. Individual tests for mean differences of H + .
H + Tukey Test Fisher Test
Group1Group2 Δ x ¯ CI (95%)t-Valuep-Value Δ x ¯ CI (95%)t-Valuep-Value
480.0000(−2.347; 2.347)0.001.0000.000(−1.775; 1.775)0.001.000
4120.8875(−1.460; 3.235)1.000.7490.887(−0.887; 2.662)1.000.321
4187.4125(5.065; 9.760)8.370.0007.413(5.638; 9.187)8.370.000
8120.8875(−1.460; 3.235)1.000.7490.887(−0.887; 2.662)1.000.321
8187.4125(5.065; 9.760)8.370.0007.412(5.638; 9.187)8.370.000
12186.5250(4.178; 8.872)7.370.0006.525(4.750; 8.300)7.370.000
Table 5. Individual tests for mean differences of Potential HNE.
Table 5. Individual tests for mean differences of Potential HNE.
Potential HNETukey Test Fisher Test
Group1Group2 Δ x ¯ CI (95%)t-Valuep-Value Δ x ¯ CI (95%)t-Valuep-Value
6507500.6250(−1.722; 2.972)0.710.8940.625(−1.150; 2.400)0.710.483
6508501.1938(−1.154; 3.541)1.350.5371.194(−0.581; 2.969)1.350.183
6509502.8562(0.509; 5.204)3.230.0112.856(1.081; 4.631)3.230.002
7508500.5688(−1.779; 2.916)0.640.9180.569(−1.206; 2.344)0.640.523
7509502.2312(−0.116; 4.579)2.520.0682.231(0.456; 4.006)2.520.015
8509501.6625(−0.685; 4.010)1.880.2501.663(−0.112; 3.437)1.880.066
Table 6. ANOVA of experimental design.
Table 6. ANOVA of experimental design.
SourceGLSC Adjust.MC Adjust.F-Valuep-Value
Regression71004.08143.44072.230.000
x 1 133.0933.09016.660.000
x 2 1180.12180.12290.700.000
x 3 135.6035.59617.920.000
x 2 2 1127.72127.71964.310.000
x 1 x 2 1144.17144.17072.590.000
x 1 x 3 115.2115.2107.660.008
x 2 x 3 182.6182.60741.590.000
Error56111.221.986
Total631115.30
Table 7. Model summary adjusted in Equation (5).
Table 7. Model summary adjusted in Equation (5).
SR2R2 (Adjust.)R2 (Predict.)
1.4092690.03%88.78%86.27%
Disclaimer/Publisher’s Note: The statements, opinions and data contained in all publications are solely those of the individual author(s) and contributor(s) and not of MDPI and/or the editor(s). MDPI and/or the editor(s) disclaim responsibility for any injury to people or property resulting from any ideas, methods, instructions or products referred to in the content.

Share and Cite

MDPI and ACS Style

Portillo, C.; Gallegos, S.; Salazar, I.; Jamett, I.; Castillo, J.; Cerecedo-Sáenz, E.; Salinas-Rodríguez, E.; Saldaña, M. Modeling the Effects of NO3, H+ and Potential HNE on Nitro TAP through Response Surface Methodology. Processes 2023, 11, 3058. https://doi.org/10.3390/pr11113058

AMA Style

Portillo C, Gallegos S, Salazar I, Jamett I, Castillo J, Cerecedo-Sáenz E, Salinas-Rodríguez E, Saldaña M. Modeling the Effects of NO3, H+ and Potential HNE on Nitro TAP through Response Surface Methodology. Processes. 2023; 11(11):3058. https://doi.org/10.3390/pr11113058

Chicago/Turabian Style

Portillo, Carlos, Sandra Gallegos, Iván Salazar, Ingrid Jamett, Jonathan Castillo, Eduardo Cerecedo-Sáenz, Eleazar Salinas-Rodríguez, and Manuel Saldaña. 2023. "Modeling the Effects of NO3, H+ and Potential HNE on Nitro TAP through Response Surface Methodology" Processes 11, no. 11: 3058. https://doi.org/10.3390/pr11113058

APA Style

Portillo, C., Gallegos, S., Salazar, I., Jamett, I., Castillo, J., Cerecedo-Sáenz, E., Salinas-Rodríguez, E., & Saldaña, M. (2023). Modeling the Effects of NO3, H+ and Potential HNE on Nitro TAP through Response Surface Methodology. Processes, 11(11), 3058. https://doi.org/10.3390/pr11113058

Note that from the first issue of 2016, this journal uses article numbers instead of page numbers. See further details here.

Article Metrics

Back to TopTop