Computational Assessment of ZrO2-Al2O3/EG and ZrO2-Al2O3-Cu/EG Nanomaterial on Blasius-Rayleigh-Stokes Flow Influenced by an Aligned Magnetic Field
Abstract
:1. Introduction
2. Mathematical Formulation
3. Numerical Method
4. Results and Discussion
5. Final Remarks
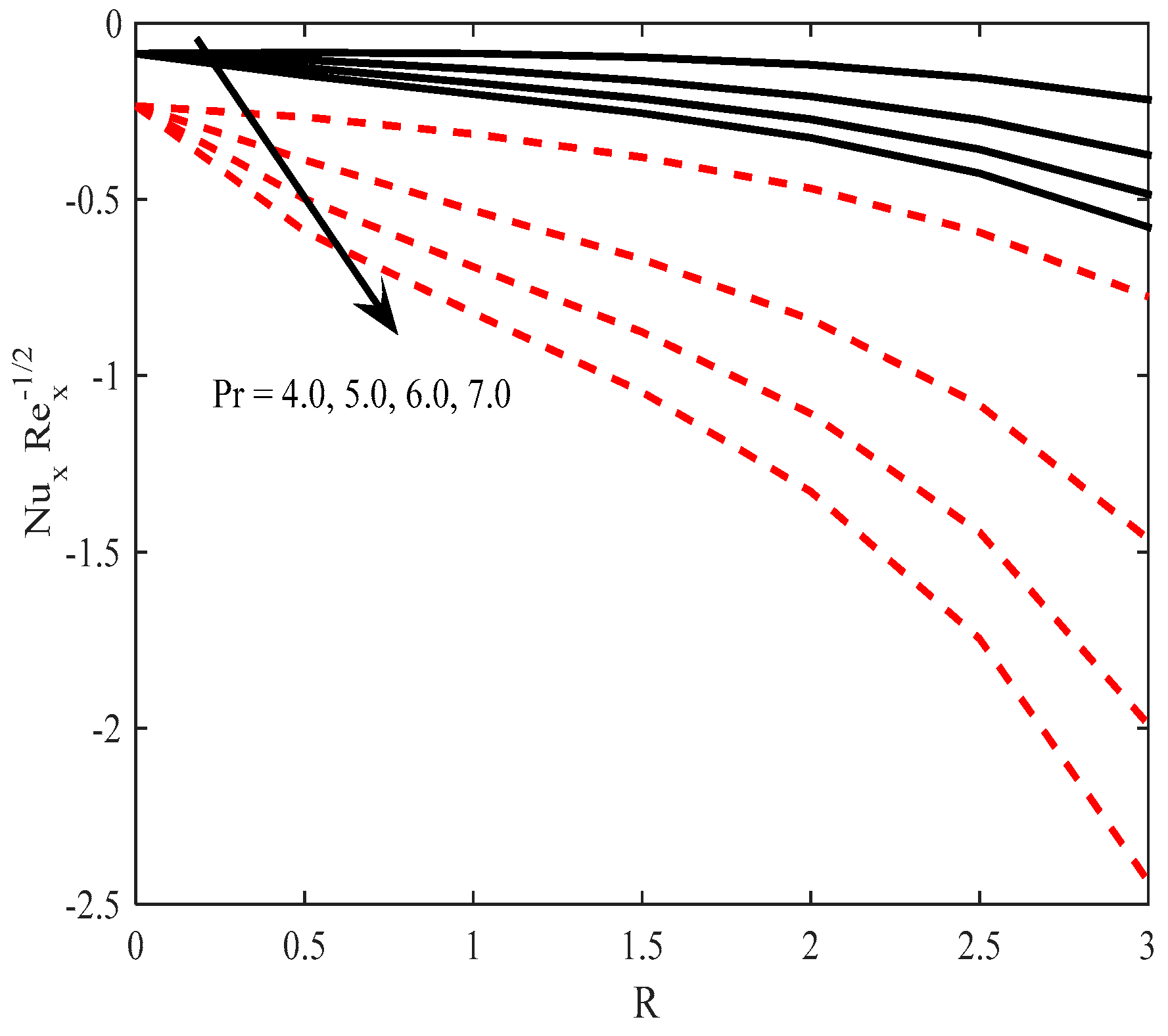
- The --/ nanomaterial enhances heat transmission at a higher rate than the --/ nanomaterial fluid.
- An improvement in the velocity profile may be achieved by raising the , and
- When values are higher, the presence of a thermal layer cannot be supported;
- When the value of δ parameter was made larger, the fluid moved at a more leisurely pace;
- The higher the values of the parameter become as the temperature of the fluid gets higher;
- A higher allows for better heat dispersion, which in turn makes the influence of atmospheric conditions more apparent. In addition, when values are high, a greater amount of heat is transferred to the fluids in the system;
- The temperature profile goes up when , and parameters reach their maximum levels;
Author Contributions
Funding
Data Availability Statement
Conflicts of Interest
Nomenclature
| and | and | ||
| and | |||
| ( | |||
| ( | |||
| ( | |||
References
- Seth, G.S.; Nandkeolyar, R.; Ansari, M.S. Effects of thermal radiation and rotation on unsteady hydromagnetic free convection flow past an impulsively moving vertical plate with ramped temperature in a porous medium. J. Appl. Fluid Mech. 2013, 6, 27–38. [Google Scholar]
- Seth, G.S.; Mahato, G.K.; Sarkar, S. Effects of Hall current and rotation on MHD natural convection flow past an impulsively moving vertical plate with ramped temperature in the presence of thermal diffusion with heat absorption. Int. J. Energy Technol. 2013, 5, 489–503. [Google Scholar]
- Patel, H.R.; Singh, R. Thermophoresis, Brownian motion and non-linear thermal radiation effects on mixed convection MHD micropolar fluid flow due to nonlinear stretched sheet in porous medium with viscous dissipation, joule heating and convective boundary condition. Int. Commun. Heat Mass Transf. 2019, 107, 68–92. [Google Scholar] [CrossRef]
- Patel, H.R. Thermal radiation effects on MHD flow with heat and mass transfer of micropolar fluid between two vertical walls. Int. J. Ambient. Energy 2019, 42, 1281–1296. [Google Scholar] [CrossRef]
- Bhattacharyya, A.; Kumar, R.; Seth, G.S. Capturing the features of peristaltic transport of a chemically reacting couple stress fluid through an inclined asymmetric channel with Dufour and Soret effects in presence of inclined magnetic field. Indian J. Phys. 2021, 95, 2741–2758. [Google Scholar] [CrossRef]
- Ebiwareme, L.; Bunonyo, K.W.; Davies, O.A. Comparison of Adomian Decomposition Method with Differential Transformation Method for Unsteady MHD Flow and Heat Transfer Over a Stretching/Shrinking Permeable Sheet with Ohmic Heating. Afr. J. Math. Stat. Stud. 2023, 6, 70–85. [Google Scholar] [CrossRef]
- Rafique, K.; Mahmood, Z.; Alqahtani, H.; Eldin, S.M. Various nanoparticle shapes and quadratic velocity impacts on entropy generation and MHD flow over a stretching sheet with joule heating. Alex. Eng. J. 2023, 71, 147–159. [Google Scholar] [CrossRef]
- Waqas, H.; Farooq, U.; Alqarni, M.; Muhammad, T. Numerical investigation for 3D bioconvection flow of Carreau nanofluid with heat source/sink and motile microorganisms. Alex. Eng. J. 2022, 61, 2366–2375. [Google Scholar] [CrossRef]
- Habib, D.; Salamat, N.; Abdal, S.; Siddique, I.; Ang, M.C.; Ahmadian, A. On the role of bioconvection and activation energy for time dependent nanofluid slip transpiration due to extending domain in the presence of electric and magnetic fields. Ain Shams Eng. J. 2022, 13, 101519. [Google Scholar] [CrossRef]
- Sk, M.T.; Das, K.; Kundu, P.K. Multiple slip effects on bioconvection of nanofluid flow containing gyrotactic microorganisms and nanoparticles. J. Mol. Liq. 2016, 220, 518–526. [Google Scholar] [CrossRef]
- Raju, C.; Hoque, M.M.; Sivasankar, T. Radiative flow of Casson fluid over a moving wedge filled with gyrotactic microorganisms. Adv. Powder Technol. 2017, 28, 575–583. [Google Scholar] [CrossRef]
- Majeed, A.; Zeeshan, A.; Amin, N.; Ijaz, N.; Saeed, T. Thermal analysis of radiative bioconvection magnetohydro-dynamic flow comprising gyrotactic microorganism with activation energy. J. Therm. Anal. Calorim. 2021, 143, 2545–2556. [Google Scholar] [CrossRef]
- Talebizadehsardari, P.; Shahsavar, A.; Toghraie, D.; Barnoon, P. An experimental investigation for study the rhe-ological behavior of water–carbon nanotube/magnetite nanofluid subjected to a magnetic field. Phys. A Stat. Mech. Appl. 2019, 534, 122129. [Google Scholar] [CrossRef]
- Mahanthesh, B.; Lorenzini, G.; Oudina, F.M.; Animasaun, I.L. Significance of exponential space-and ther-mal-dependent heat source effects on nanofluid flow due to radially elongated disk with Coriolis and Lorentz forces. J. Therm. Anal. Calorim. 2020, 141, 37–44. [Google Scholar] [CrossRef]
- Khan, K.A.; Çera, G.; Netek, V. Perception of the Selected Business Environment Aspects by Service Firms. J. Tour. Serv. 2019, 10, 111–127. [Google Scholar] [CrossRef]
- Mabood, F.; Khan, W.; Ismail, A. MHD boundary layer flow and heat transfer of nanofluids over a nonlinear stretching sheet: A numerical study. J. Magn. Magn. Mater. 2015, 374, 569–576. [Google Scholar] [CrossRef]
- Mukhopadhyay, S.; Layek, G. Effects of thermal radiation and variable fluid viscosity on free convective flow and heat transfer past a porous stretching surface. Int. J. Heat Mass Transf. 2008, 51, 2167–2178. [Google Scholar] [CrossRef]
- Vajravelu, K.; Prasad, K.V.; Ng, C.-O. The effect of variable viscosity on the flow and heat transfer of a viscous Ag-water and Cu-water nanofluids. J. Hydrodyn. 2013, 25, 1–9. [Google Scholar] [CrossRef]
- Nadeem, S.; Ahmed, Z.; Saleem, S. Carbon nanotubes effects in magneto nanofluid flow over a curved stretching surface with variable viscosity. Microsyst. Technol. 2019, 25, 2881–2888. [Google Scholar] [CrossRef]
- Khan, M.I.; Hayat, T.; Khan, M.I.; Waqas, M.; Alsaedi, A. Numerical simulation of hydromagnetic mixed convective radiative slip flow with variable fluid properties: A mathematical model for entropy generation. J. Phys. Chem. Solids 2019, 125, 153–164. [Google Scholar] [CrossRef]
- Khan, M.S.; Mei, S.; Ali Shah, N.; Chung, J.D.; Khan, A.; Shah, S.A. Steady Squeezing Flow of Magnetohydrodynamics Hybrid Nanomaterial Flow Comprising Carbon Nanotube-Ferrous Oxide/Water with Suction/Injection Effect. Nanomaterials 2022, 12, 660. [Google Scholar] [CrossRef] [PubMed]
- Todd, L. A family of laminar boundary layers along a semi-infinite flat plate. Fluid Dyn. Res. 1990, 19, 235–249. [Google Scholar] [CrossRef]
- Alnahdi, A.S.; Gul, T. Hybrid nanofluid flow over a slippery surface for thermal exploration. Adv. Mech. Eng. 2023, 15, 16878132231190060. [Google Scholar] [CrossRef]
- Mahmood, Z.; Khan, U.; Saleem, S.; Rafique, K.; Eldin, S.M. Numerical analysis of ternary hybrid nanofluid flow over a stagnation region of stretching/shrinking curved surface with suction and Lorentz force. J. Magn. Magn. Mater. 2023, 573, 170654. [Google Scholar] [CrossRef]
- Vijay, N.; Sharma, K. Magnetohydrodynamic hybrid nanofluid flow over a decelerating rotating disk with Soret and Dufour effects. Multidiscip. Model. Mater. Struct. 2023, 19, 253–276. [Google Scholar] [CrossRef]
- Ramzan, M.; Kumam, P.; Lone, S.A.; Seangwattana, T.; Saeed, A.; Galal, A.M. A theoretical analysis of the ternary hybrid nanofluid flows over a non-isothermal and non-isosolutal multiple geometries. Heliyon 2023, 9, e14875. [Google Scholar] [CrossRef]
- Jadhav, N.; Mota, G.; Mishra, A.; Gupta, D.; Kadam, A. Relativistic theory to Compton effect for spectroscopic detector. Nucl. Instrum. Methods Phys. Res. Sect. A Accel. Spectrometers Detect. Assoc. Equip. 2022, 1032, 166656. [Google Scholar] [CrossRef]
- Gupta, G.; Rana, P. Comparative Study on Rosseland’s Heat Flux on Three-Dimensional MHD Stagnation-Point Multiple Slip Flow of Ternary Hybrid Nanofluid over a Stretchable Rotating Disk. Mathematics 2022, 10, 3342. [Google Scholar] [CrossRef]
- Sahoo, R.R. Thermo-hydraulic characteristics of radiator with various shape nanoparticle-based ternary hybrid nanofluid. Powder Technol. 2020, 370, 19–28. [Google Scholar] [CrossRef]
- Shahzad, F.; Jamshed, W.; El Din, S.M.; Shamshuddin, M.; Ibrahim, R.W.; Raizah, Z.; Adnan. Second-order convergence analysis for Hall effect and electromagnetic force on ternary nanofluid flowing via rotating disk. Sci. Rep. 2022, 12, 18769. [Google Scholar] [CrossRef]
- Alharbi, K.A.M.; Ahmed, A.E.-S.; Sidi, M.O.; Ahammad, N.A.; Mohamed, A.; El-Shorbagy, M.A.; Bilal, M.; Marzouki, R. Computational Valuation of Darcy Ternary-Hybrid Nanofluid Flow across an Extending Cylinder with Induction Effects. Micromachines 2022, 13, 588. [Google Scholar] [CrossRef] [PubMed]
- Larki, A.J.; Ghafouri, A.; Assareh, E.; Moravej, M. Investigation of the effects of the detachable vortex generators series on phase change material behavior in an energy storage system. J. Build. Eng. 2022, 52, 104384. [Google Scholar] [CrossRef]
- Sohail, M.; Nazir, U.; El-Zahar, E.R.; Alrabaiah, H.; Kumam, P.; Mousa, A.A.A.; Sitthithakerngkiet, K.; Park, C. A study of triple-mass diffusion species and energy transfer in Carreau–Yasuda material influenced by activation energy and heat source. Sci. Rep. 2022, 12, 10219. [Google Scholar] [CrossRef] [PubMed]
- Khan, U.; Adnan; Ullah, B.; Abdul Wahab, H.; Ullah, I.; Almuqrin, M.A.; Khan, I. Comparative thermal transport mechanism in Cu-H2O and Cu-Al2O3/H2O nanofluids: Numerical investigation. Waves Random Complex Media 2022. [Google Scholar] [CrossRef]
- Puneeth, V.; Khan, M.I.; Narayan, S.S.; El-Zahar, E.R.; Guedri, K. The impact of the movement of the gyrotactic microorganisms on the heat and mass transfer characteristics of Casson nanofluid. Waves Random Complex Media 2022. [Google Scholar] [CrossRef]
- Adnan; Guedri, K.; Raizah, Z.; Tag-Eldin, E.; Ashraf, W.; Khan, U.; Galal, A.M. Thermal efficiency in hybrid (Al2O3-CuO/H2O) and tri-hybrid (Al2O3-CuO-Cu/H2O) nanofluids between converging/diverging channel with viscous dissipation function: Numerical analysis. Front. Chem. 2022, 10, 960369. [Google Scholar] [CrossRef]
- Ullah, M.Z. Radiative and Darcy-Forchheimer hybrid nanofluid flow over an inclined stretching surface due to non-linear convection and homogeneous heterogeneous reactions. Waves Random Complex Media 2022. [Google Scholar] [CrossRef]
- Hayat, T.; Hussain, Z.; Alsaedi, A.; Ahmad, B. Heterogeneous-homogeneous reactions and melting heat transfer effects in flow with carbon nanotubes. J. Mol. Liq. 2016, 220, 200–207. [Google Scholar] [CrossRef]
- Awais, M.; Hayat, T.; Alsaedi, A. Investigation of heat transfer in flow of Burgers’ fluid during a melting process. J. Egypt. Math. Soc. 2015, 23, 410–415. [Google Scholar] [CrossRef]
- Shit, G.C.; Roy, M. Pulsatile Flow and Heat Transfer of a Magneto-Micropolar Fluid Through a Stenosed Artery under the Influence of Body Acceleration. J. Mech. Med. Biol. 2011, 11, 643–661. [Google Scholar] [CrossRef]
- Alzahrani, E.O.; Shah, Z.; Alghamdi, W.; Ullah, M.Z. Darcy–Forchheimer Radiative Flow of Micropoler CNT Nanofluid in Rotating Frame with Convective Heat Generation/Consumption. Process. Fluid Flow Heat Transf. Nanofluids 2019, 7, 666. [Google Scholar] [CrossRef]
- Raju, A.B.M.M.; Raju, G.S.S.; Mallikarjuna, B.; Raju, C.S.K. Effects of nonlinear convection and variable properties on Darcy flow of non-Newtonian fluid over a rotating cone. Int. J. Res. Eng. Appl. Manag. 2018, 4, 586–594. [Google Scholar]
- Guedri, K.; Khan, A.; Sene, N.; Raizah, Z.; Saeed, A.; Galal, A.M. Thermal Flow for Radiative Ternary Hybrid Nanofluid over Nonlinear Stretching Sheet Subject to Darcy–Forchheimer Phenomenon. Math. Probl. Eng. 2022, 2022, 3429439. [Google Scholar] [CrossRef]
- Mahmood, Z.; Iqbal, Z.; Alyami, M.A.; Alqahtani, B.; Yassen, M.F.; Khan, U. Influence of suction and heat source on MHD stagnation point flow of ternary hybrid nanofluid over convectively heated stretching/shrinking cylinder. Adv. Mech. Eng. 2022, 14, 16878132221126278. [Google Scholar] [CrossRef]
- Alqawasmi, K.; Alharbi, K.A.M.; Farooq, U.; Noreen, S.; Imran, M.; Akgül, A.; Kanan, M.; Asad, J. Numerical approach toward ternary hybrid nanofluid flow with nonlinear heat source-sink and fourier heat flux model passing through a disk. Int. J. Thermofluids 2023, 18, 100367. [Google Scholar] [CrossRef]
- Hadid, H.B.; Dridi, W.; Botton, V.; Moudjed, B.; Henry, D. Instabilities in the Rayleigh-Bénard-Eckart Problem. Phys. Rev. E 2012, 86, 016312. [Google Scholar] [CrossRef]
- Bastian, E.R. Fluids, Micro and Nano Technologies; Elsevier: Amsterdam, The Netherlands, 2017; pp. 243–263. [Google Scholar]
- Rani, Y.S.; Reddy, V.K. Variation of Eckert number on hydrodynamic convective fluid flow in the presence of thermal radiation. AIP Conf. Proc. 2021, 2358, 110012. [Google Scholar]















| Physical Properties | Base Fluid | Hybrid Nanoparticles | Ternary Hybrid Nanoparticles | |||
|---|---|---|---|---|---|---|
| Alumina | Zirconium Oxide | Copper | Alumina | Zirconium Oxide) | ||
| 989 | 3970 | 5680 | 8933 | 3970 | 5680 | |
| 4175 | 765 | 502 | 385 | 765 | 502 | |
| 0.6376 | 40 | 1.7 | 401 | 40 | 1.7 | |
| Ghadikolaei et al. [33] | Hosseinzadeh et al. [34] | Reddy et al. [3] | Present Results | |
|---|---|---|---|---|
| 0.7 | 0.4538 | 0.4541 | 0.4539 | 0.45415 |
| 2.0 | 0.9113 | 0.9114 | 0.9113 | 0.91133 |
| 7.0 | 1.8954 | 1.8954 | 1.8954 | 1.89545 |
| -- / | - / | ||||||
| 0.1 | 0.166076 | 0.147526 | |||||
| 0.3 | 0.176270 | 0.151266 | |||||
| 0.5 | 0.201610 | 0.162602 | |||||
| 0.1 | 0.262315 | 0.171266 | |||||
| 0.3 | 0.238968 | 0.166031 | |||||
| 0.5 | 0.218061 | 0.161655 | |||||
| 0.1 | 0.184255 | 0.179411 | |||||
| 0.2 | 0.187977 | 0.180097 | |||||
| 0.3 | 0.192973 | 0.183820 | |||||
| 0.1 | 2.452295 | 2.457524 | |||||
| 0.2 | 2.359885 | 2.349007 | |||||
| 0.3 | 2.258100 | 2.241073 | |||||
| 0.1 | 2.632480 | 2.527524 | |||||
| 0.2 | 2.429885 | 2.415200 | |||||
| 0.3 | 2.351073 | 2.338100 | |||||
| 0.1 | 2.691420 | 2.537524 | |||||
| 0.2 | 2.643150 | 2.197524 | |||||
| 0.3 | 2.452295 | 2.457524 | |||||
Disclaimer/Publisher’s Note: The statements, opinions and data contained in all publications are solely those of the individual author(s) and contributor(s) and not of MDPI and/or the editor(s). MDPI and/or the editor(s) disclaim responsibility for any injury to people or property resulting from any ideas, methods, instructions or products referred to in the content. |
© 2023 by the authors. Licensee MDPI, Basel, Switzerland. This article is an open access article distributed under the terms and conditions of the Creative Commons Attribution (CC BY) license (https://creativecommons.org/licenses/by/4.0/).
Share and Cite
Alfannakh, H.; Souayeh, B. Computational Assessment of ZrO2-Al2O3/EG and ZrO2-Al2O3-Cu/EG Nanomaterial on Blasius-Rayleigh-Stokes Flow Influenced by an Aligned Magnetic Field. Processes 2023, 11, 2860. https://doi.org/10.3390/pr11102860
Alfannakh H, Souayeh B. Computational Assessment of ZrO2-Al2O3/EG and ZrO2-Al2O3-Cu/EG Nanomaterial on Blasius-Rayleigh-Stokes Flow Influenced by an Aligned Magnetic Field. Processes. 2023; 11(10):2860. https://doi.org/10.3390/pr11102860
Chicago/Turabian StyleAlfannakh, Huda, and Basma Souayeh. 2023. "Computational Assessment of ZrO2-Al2O3/EG and ZrO2-Al2O3-Cu/EG Nanomaterial on Blasius-Rayleigh-Stokes Flow Influenced by an Aligned Magnetic Field" Processes 11, no. 10: 2860. https://doi.org/10.3390/pr11102860
APA StyleAlfannakh, H., & Souayeh, B. (2023). Computational Assessment of ZrO2-Al2O3/EG and ZrO2-Al2O3-Cu/EG Nanomaterial on Blasius-Rayleigh-Stokes Flow Influenced by an Aligned Magnetic Field. Processes, 11(10), 2860. https://doi.org/10.3390/pr11102860

