Investigation on Spectral Characteristics of Gliding Arc Plasma Assisted Ammonia Lean Combustion
Abstract
:1. Introduction
2. Experimental Setup
2.1. Gliding Arc Plasma Equipment and Swirl Burner
2.2. Experimental System
2.2.1. Electrical Measurements
2.2.2. Emission Spectrometry
2.2.3. Imaging System
2.2.4. Gas Analyzer
3. Results and Discussion
3.1. Electrical Characteristics
3.2. Spectral Characteristics of Gliding Arc Plasma
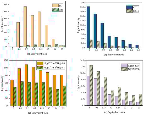
3.3. Spatial Distribution of Key Active Species
4. Conclusions
Author Contributions
Funding
Institutional Review Board Statement
Informed Consent Statement
Data Availability Statement
Conflicts of Interest
References
- Liu, Z.; Deng, Z.; Davis, S.J.; Giron, C.; Ciais, P. Monitoring global carbon emissions in 2021. Nat. Rev. Earth Environ. 2022, 3, 217–219. [Google Scholar] [CrossRef] [PubMed]
- Yousefi, A.; Guo, H.; Dev, S.; Liko, B.; Lafrance, S. Effects of ammonia energy fraction and diesel injection timing on combustion and emissions of an ammonia/diesel dual-fuel engine. Fuel 2022, 314, 122723. [Google Scholar] [CrossRef]
- Valera-Medina, A.; Xiao, H.; Owen-Jones, M.; David, W.; Bowen, P. Ammonia for power. Prog. Energy Combust. Sci. 2018, 69, 63–102. [Google Scholar] [CrossRef]
- Morlanés, N.; Katikaneni, S.P.; Paglieri, S.N.; Harale, A.; Solami, B.; Sarathy, S.M.; Gascon, J. A technological roadmap to the ammonia energy economy: Current state and missing technologies. Chem. Eng. J. 2021, 408, 127310. [Google Scholar] [CrossRef]
- Giddey, S.; Badwal, S.P.S.; Munnings, C.; Dolan, M. Ammonia as a renewable energy transportation media. ACS Sustain. Chem. Eng. 2017, 5, 10231–10239. [Google Scholar] [CrossRef]
- Chang, F.; Gao, W.; Guo, J.; Chen, P. Emerging Materials and Methods toward Ammonia-Based Energy Storage and Conversion. Adv. Mater. 2021, 33, 2005721. [Google Scholar] [CrossRef] [PubMed]
- Chai, W.S.; Bao, Y.; Jin, P.; Tang, G.; Zhou, L. A review on ammonia, ammonia-hydrogen and ammonia-methane fuels. Renew. Sustain. Energy Rev. 2021, 147, 111254. [Google Scholar] [CrossRef]
- Berwal, P.; Kumar, S.; Khandelwal, B. A comprehensive review on synthesis, chemical kinetics, and practical application of ammonia as future fuel for combustion. J. Energy Inst. 2021, 99, 273–298. [Google Scholar] [CrossRef]
- Lee, D.; Song, H.H. Development of combustion strategy for the internal combustion engine fueled by ammonia and its operating characteristics. J. Mech. Sci. Technol. 2018, 32, 1905–1925. [Google Scholar] [CrossRef]
- Tang, Y.; Xie, D.; Shi, B.; Wang, N.; Li, S. Flammability enhancement of swirling ammonia/air combustion using AC powered gliding arc discharges. Fuel 2022, 313, 122674. [Google Scholar] [CrossRef]
- Choe, J.; Sun, W.; Ombrello, T.; Carter, C. Plasma assisted ammonia combustion: Simultaneous NOx reduction and flame enhancement. Combust. Flame 2021, 228, 430–432. [Google Scholar] [CrossRef]
- Paulauskas, R.; Martuzevičius, D.; Patel, R.; Pelders, J.; Nijdam, S.; Dam, N.; Tichonovas, M.; Striūgas, N.; Zakarauskas, K. Biogas combustion with various oxidizers in a nanosecond DBD microplasma burner. Exp. Therm. Fluid Sci. 2020, 118, 110166. [Google Scholar] [CrossRef]
- Mao, X.; Chen, Q.; Rousso, A.C.; Chen, T.Y.; Ju, Y. Effects of controlled non-equilibrium excitation on H2/O2/He ignition using a hybrid repetitive nanosecond and DC discharge. Combust. Flame 2019, 206, 522–535. [Google Scholar] [CrossRef]
- Zhang, Y.; Zhang, Y.-M.; Luo, K.; Yi, H.-L.; Wu, J. Electroconvective instability near an ion-selective surface: A mesoscopic lattice Boltzmann study. Phys. Rev. E 2022, 105, 055108. [Google Scholar] [CrossRef] [PubMed]
- Luo, Y.; Gan, Y.; Jiang, Z. Study on the electrical response of small ethanol-air diffusion flame under the uniform electric field. Int. J. Energy Res. 2020, 44, 11872–11882. [Google Scholar] [CrossRef]
- Wu, B.; Hastings, M.; Sun, W.; Ombrello, T.; Carter, C. Dynamics of laminar ethylene lifted flame with ozone addition. Proc. Combust. Inst. 2021, 38, 6773–6780. [Google Scholar] [CrossRef]
- Gomez del Campo, F. Plasma-Assisted Control of Combustion Instabilities in Low-Emissions Combustors at Realistic Conditions. In Proceedings of the AIAA Propulsion and Energy 2019 Forum, Indianapolis, IN, USA, 19–22 August 2019; p. 3950. [Google Scholar]
- Zhao, B.-B.; Chen, G.-C.; He, L.-M.; Jin, T.; Jing, B. Experimental investigation of plasma jet ignition characteristics in kerosene–air mixtures. J. Aerosp. Eng. 2020, 33, 04019113. [Google Scholar] [CrossRef]
- Chen, W.; Jin, D.; Cui, W.; Huang, S. Characteristics of gliding arc plasma and its application in swirl flame static instability control. Processes 2020, 8, 684. [Google Scholar] [CrossRef]
- Deng, K.; Zhao, S.; Xue, C.; Hu, J.; Zhong, Y.; Zhong, Y. Combustion Instability of Swirl Premixed Flame with Dielectric Barrier Discharge Plasma. Processes 2021, 9, 1405. [Google Scholar] [CrossRef]
- Sorrentino, G.; Sabia, P.; de Joannon, M.; Bozza, P.; Ragucci, R. Influence of preheating and thermal power on cyclonic burner characteristics under mild combustion. Fuel 2018, 233, 207–214. [Google Scholar] [CrossRef]
- Sarofim, A.F. The John Zink Combustion Handbook; Chemical Engineering. 2001, Volume 108, p. 10. Available online: https://go.gale.com/ps/i.do?id=GALE%7CA76770443&sid=googleScholar&v=2.1&it=r&linkaccess=abs&issn=00092460&p=AONE&sw=w&userGroupName=anon%7E82a598f7 (accessed on 9 August 2022).
- Song, J.; Wang, Z.; Cheng, X.; Wang, X. State-of-Art review of NO reduction technologies by CO, CH4 and H2. Processes 2021, 9, 563. [Google Scholar] [CrossRef]
- Gordiets, B.; Ricard, A. Production of N, O and NO in N2-O2 flowing discharges. Plasma Sources Sci. Technol. 1993, 2, 158. [Google Scholar] [CrossRef]
- Bonhommeau, D.; Valero, R.; Truhlar, D.G.; Jasper, A.W. Coupled-surface investigation of the photodissociation of NH3 (Ã): Effect of exciting the symmetric and antisymmetric stretching modes. J. Chem. Phys. 2009, 130, 234303. [Google Scholar] [CrossRef]
- Zhu, X.-M.; Chen, W.-C.; Li, J.; Pu, Y.-K. Determining the electron temperature and the electron density by a simple collisional–radiative model of argon and xenon in low-pressure discharges. J. Phys. D Appl. Phys. 2008, 42, 025203. [Google Scholar] [CrossRef]
- Zhu, X.M.; Pu, Y.K. Using OES to determine electron temperature and density in low-pressure nitrogen and argon plasmas. Plasma Sources Sci. Technol. 2008, 17, 024002. [Google Scholar] [CrossRef]
- Zhu, X.-M.; Walsh, J.L.; Chen, W.-C.; Pu, Y.-K. Measurement of the temporal evolution of electron density in a nanosecond pulsed argon microplasma: Using both Stark broadening and an OES line-ratio method. J. Phys. D Appl. Phys. 2012, 45, 295201. [Google Scholar] [CrossRef]
- Wang, Q.; Koleva, I.; Donnelly, V.M.; Economou, D.J. Spatially resolved diagnostics of an atmospheric pressure direct current helium microplasma. J. Phys. D Appl. Phys. 2005, 38, 1690. [Google Scholar] [CrossRef]
- Balcon, N.; Aanesland, A.; Boswell, R. Pulsed RF discharges, glow and filamentary mode at atmospheric pressure in argon. Plasma Sources Sci. Technol. 2007, 16, 217. [Google Scholar] [CrossRef]
- Phillips, D.M. Determination of gas temperature from unresolved bands in the spectrum from a nitrogen discharge. J. Phys. D Appl. Phys. 1976, 9, 507. [Google Scholar] [CrossRef]
- Vervloessem, E.; Aghaei, M.; Jardali, F.; Hafezkhiabani, N.; Bogaerts, A. Plasma-Based N2 Fixation into NOx: Insights from Modeling toward Optimum Yields and Energy Costs in a Gliding Arc Plasmatron. ACS Sustain. Chem. Eng. 2020, 8, 9711–9720. [Google Scholar] [CrossRef]
- Yao, C.; Chen, S.; Wang, S.; Chang, Z.; Sun, A.; Mu, H.; Zhang, G.-J. Characteristics of atmospheric Ar/NH3 DBD and its comparison with He/N2 DBD. J. Phys. D Appl. Phys. 2018, 51, 225201. [Google Scholar] [CrossRef]
- Yi, M.; Scheiner, S. Proton transfer between phenol and ammonia in ground and excited electronic states. Chem. Phys. Lett. 1996, 262, 567–572. [Google Scholar] [CrossRef]
- Miller, J.A.; Smooke, M.D.; Green, R.M.; Kee, R.J. Kinetic modeling of the oxidation of ammonia in flames. Combust. Sci. Technol. 1983, 34, 149–176. [Google Scholar] [CrossRef]










| Symbol | Meaning |
|---|---|
| EQR | Equivalence ratio |
| OES | Optical emission spectroscopy |
| Hα | The spectral line of H with a wavelength of 656.28 nm |
| Instantaneous power | |
| Average power | |
| Refractive index of air | |
| Rovibrational transition parameters of N2 C3Πu | |
| Rovibrational transition parameters of N2 B3Πg | |
| D | Proportionality constant of a transition |
| H, c, K | Planck’s constant, speed of light, Boltzmann constant |
| B | Rotational dynamic constant |
| H | Hall-London factor |
| Δλ | Difference from the center wavelength of the rotational peak |
| W | The half-height width of the rotational peak (width broadens to ±Wa0.5). |
| Frank-Condon factor | |
| Vibration constant | |
| Tr, Tv | Rotational temperature, vibration temperature |
| Rotational energy at higher rotational energy levels | |
| Rotational dynamic constant |
| EQR | 0 | 0.1 | 0.2 | 0.3 | 0.4 | 0.5 |
|---|---|---|---|---|---|---|
| Power (W) | 4.31 | 3.71 | 4.20 | 3.65 | 3.32 | 5.13 |
| EQR | 0.1 | 0.15 | 0.2 | 0.25 | 0.3 |
|---|---|---|---|---|---|
| Width (nm) | 0.88 | 0.82 | 0.52 | 0.47 | 0.35 |
| EQR | 0 | 0.1 | 0.2 | 0.3 | 0.4 | 0.5 |
|---|---|---|---|---|---|---|
| TR (±100 K) | 1634 | 1678 | 1716 | 1624 | 1864 | 1956 |
Publisher’s Note: MDPI stays neutral with regard to jurisdictional claims in published maps and institutional affiliations. |
© 2022 by the authors. Licensee MDPI, Basel, Switzerland. This article is an open access article distributed under the terms and conditions of the Creative Commons Attribution (CC BY) license (https://creativecommons.org/licenses/by/4.0/).
Share and Cite
Zhu, X.; Zhao, Y.; Zhai, M.; Lv, P.; Zhou, W.; Huang, B. Investigation on Spectral Characteristics of Gliding Arc Plasma Assisted Ammonia Lean Combustion. Processes 2022, 10, 1750. https://doi.org/10.3390/pr10091750
Zhu X, Zhao Y, Zhai M, Lv P, Zhou W, Huang B. Investigation on Spectral Characteristics of Gliding Arc Plasma Assisted Ammonia Lean Combustion. Processes. 2022; 10(9):1750. https://doi.org/10.3390/pr10091750
Chicago/Turabian StyleZhu, Ximing, Yang Zhao, Ming Zhai, Pengyi Lv, Weixing Zhou, and Bangdou Huang. 2022. "Investigation on Spectral Characteristics of Gliding Arc Plasma Assisted Ammonia Lean Combustion" Processes 10, no. 9: 1750. https://doi.org/10.3390/pr10091750
APA StyleZhu, X., Zhao, Y., Zhai, M., Lv, P., Zhou, W., & Huang, B. (2022). Investigation on Spectral Characteristics of Gliding Arc Plasma Assisted Ammonia Lean Combustion. Processes, 10(9), 1750. https://doi.org/10.3390/pr10091750

