Numerical Investigation on Injected-Fluid Recovery and Production Performance following Hydraulic Fracturing in Shale Oil Wells
Abstract
:1. Introduction
2. Methodology
2.1. Model Description
2.1.1. Governing Equations of Fluid Flow
2.1.2. Complex Fracture Modelling and Gridding
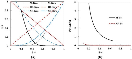
2.1.3. Pressure-Sensitivity Model Set Up
2.1.4. Integrated Workflow
2.2. Model Validation
3. Simulation Results and Analysis
3.1. Pumping Rate
3.2. Slick Water Ratio
3.3. Cluster Spacing
3.4. Stage Spacing
3.5. Flowback Rate
4. Conclusions
Author Contributions
Funding
Institutional Review Board Statement
Informed Consent Statement
Data Availability Statement
Acknowledgments
Conflicts of Interest
References
- Zhou, L.; Zhao, X.; Chai, G.; Jiang, W.; Pu, X.; Wang, X.; Han, W.; Guan, Q.; Feng, J.; Liu, X. Key exploration & development technologies and engineering practice of continental shale oil: A case study of Member 2 of Paleogene Kongdian Formation in Cangdong Sag, Bohai Bay Basin, East China. Pet. Explor. Dev. 2020, 47, 1059–1066. [Google Scholar]
- Pu, C.; Zheng, H.; Yang, Z.; Gao, Z. Research status and development trend of the formation mechanism of complex fractures by staged volume fracturing in horizontal wells. Acta Pet. Sin. 2020, 41, 1734–1743. [Google Scholar]
- Palisch, T.T.; Vincent, M.C.; Handren, P.J. Slickwater Fracturing: Food for Thought. SPE Prod. Oper. 2010, 25, 324–344. [Google Scholar] [CrossRef]
- Gao, Z.; Qu, X.; Huang, T.; Xue, T.; Cao, P. Stress sensitivity analysis and optimization of horizontal well flowback system for shale oil reservoir in Ordos Basin. Nat. Gas Geosci. 2021, 32, 1867–1873. [Google Scholar]
- Dutta, R.; Lee, C.H.; Odumabo, S.; Ye, P. Experimental Investigation of Fracturing-Fluid Migration Caused by Spontaneous Imbibition in Fractured Low-Permeability Sands. SPE Reserv. Eval. Eng. 2014, 17, 74–81. [Google Scholar] [CrossRef]
- Hun, L.; Shicheng, Z.; Fei, W.; Ziqing, P.; Jianye, M.; Tong, Z.; Zongxiao, R. Experimental Investigation on Imbibition-front Progression in Shale Based on Nuclear Magnetic Resonance. Energy Fuels 2016, 30, 9097–9105. [Google Scholar] [CrossRef]
- Xu, G.; Shi, Y.; Jiang, Y.; Jia, C.; Gao, Y.; Han, X.; Zeng, X. Characteristics and Influencing Factors for Forced Imbibition in Tight Sandstone Based on Low-Field Nuclear Magnetic Resonance Measurements. Energy Fuels 2018, 32, 8230–8240. [Google Scholar] [CrossRef]
- Xu, G.; Jiang, Y.; Shi, Y.; Han, Y.; Wang, M.; Zeng, X. Experimental Investigation of Fracturing Fluid Flowback and Retention under Forced Imbibition in Fossil Hydrogen Energy Development of Tight Oil Based on Nuclear Magnetic Resonance. Int. J. Hydrogen Energy 2020, 45, 13256–13271. [Google Scholar] [CrossRef]
- McClure, M. The potential effect of network complexity on recovery of injected fluid following hydraulic fracturing. In Proceedings of the SPE Unconventional Resources Conference, The Woodlands, TX, USA, 1–3 April 2014. [Google Scholar]
- Ezulike, D.O.; Dehghanpour, H.; Virues, C.J.; Hawkes, R.V.; Jones, R.S. Flowback Fracture Closure: A Key Factor for Estimating Effectuve Pore Volume. SPE Reserv. Eval. Eng. 2016, 19, 567–582. [Google Scholar] [CrossRef]
- Fu, Y.; Dehghanpour, H.; Ezulike, D.O.; Jones, R.S.J. Estimating effective fracture pore volume from flowback data and evaluating its relationship to design parameters of multistage-fracture completion. SPE Prod. Oper. 2017, 32, 423–439. [Google Scholar] [CrossRef]
- Alamdari, B.B.; Kiani, M.; Kazemi, H. Experimental and Numerical Simulation of Surfactant-Assisted Oil Recovery in Tight Fractured Carbonate Reservoir Cores; SPE Improved Oil Recovery Symposium: Tulsa, OK, USA, 2012. [Google Scholar]
- Jing, W.; Huiqing, L.; Genbao, Q.; Yongcan, P.; Yang, G. Investigations on spontaneous imbibition and the influencing factors in tight oil reservoirs. Fuel 2019, 236, 755–768. [Google Scholar] [CrossRef]
- Wang, C.; Cui, W.; Zhang, H.; Qiu, X.; Liu, Y. High efficient imbibition fracturing for tight oil reservoir. In Proceedings of the SPE Trinidad and Tobago Section Energy Resources Conference, Port of Spain, Trinidad and Tobago, 25–26 June 2018. [Google Scholar]
- Dehghanpour, H.; Lan, Q.; Saeed, Y.; Fei, H.; Qi, Z. Spontaneous Imbibition of Brine and Oil in Gas Shales: Effect of Water Adsorption and Resulting Microfractures. Energy Fuels 2013, 27, 3039–3049. [Google Scholar] [CrossRef]
- Bennion, D.B.; Thomas, F.B.; Bietz, R.F.; Bennion, D.W. Water and hydrocarbon phase trapping in porous media-diagnosis, prevention and treatment. J. Can. Pet. Technol. 1996, 35, 29–36. [Google Scholar] [CrossRef]
- Wang, M.; Leung, J.Y. Numerical investigation of fluid-loss mechanisms during hydraulic fracturing flow-back operations in tight reservoirs. J. Pet. Sci. Eng. 2015, 133, 85–102. [Google Scholar] [CrossRef]
- Khormali, A.; Petrakov, D.G.; Farmanzade, A.R. Prediction and Inhibition of Inorganic Salt Formation under Static and Dynamic Conditions–Effect of Pressure, Temperature, and Mixing Ratio. Int. J. Technol. 2016, 7, 943–951. [Google Scholar] [CrossRef]
- Khormali, A.; Bahlakeh, G.; Struchkov, I.; Kazemzadeh, Y. Increasing inhibition performance of simultaneous precipitation of calcium and strontium sulfate scales using a new inhibitor—Laboratory and field application. J. Pet. Sci. Eng. 2021, 202, 108589. [Google Scholar] [CrossRef]
- Zhang, T.; Li, X.; Yang, L. Effects of shut-in timing on flowback rate and productivity of shale gas wells. Nat. Gas Ind. 2017, 37, 48–60. [Google Scholar]
- Zhang, Z.; Clarkson, C.; Williams-Kovacs, J.D.; Yuan, B.; Ghanizadeh, A. Rigorous Estimation of the Initial Conditions of Flowback Using a Coupled Hydraulic-Fracture/Dynamic-Drainage-Area Leakoff Model Constrained by Laboratory Geomechanical Data. SPE J. 2020, 25, 3051–3078. [Google Scholar] [CrossRef]
- Zhang, T.; Li, X.; Li, J.; Feng, D.; Li, P.; Zhang, Z.; Chen, Y.; Wang, S. Numerical investigation of the well shut-in and fracture uncertainty on fluid-loss and production performance in gas-shale reservoirs. J. Nat. Gas Sci. Eng. 2017, 46, 421–435. [Google Scholar] [CrossRef]
- Liao, K.; Zhang, S.; Ma, X.; Zou, Y. Numerical Investigation of Fracture Compressibility and Uncertainty on Water-Loss and Production Performance in Tight Oil Reservoirs. Energies 2019, 12, 1189. [Google Scholar] [CrossRef]
- Li, L.; Jiang, H.; Li, J.; Wu, K.; Meng, F.; Chen, Z. Modeling tracer flowback in tight oil reservoirs with complex fracture networks. J. Pet. Sci. Eng. 2017, 157, 1007–1020. [Google Scholar] [CrossRef]
- Chen, X.; Liao, K.; Lv, Z.; Zhu, J.; Wang, J.; Li, Y.; Wang, F. Numerical Simulation Study on Optimal Shut-in Time in Jimsar Shale Oil Reservoir. Front. Energy Res. 2022, 10, 849064. [Google Scholar] [CrossRef]
- Weng, X.; Kresse, O.; Chuprakov, D.; Cohen, C.E.; Prioul, R.; Ganguly, U. Applying complex fracture model and integrated workflow in unconventional reservoirs. J. Pet. Sci. Eng. 2014, 124, 468–483. [Google Scholar] [CrossRef]
- Yan, X.; Mou, J.; Tang, C.; Xin, H.; Zhang, S.; Ma, X.; Duan, G. Numerical Investigation of Major Impact Factors Influencing Fracture-Driven Interactions in Tight Oil Reservoirs: A Case Study of Mahu Sug, Xinjiang, China. Energies 2021, 14, 4881. [Google Scholar] [CrossRef]
- Baocheng, W.U.; Jianmin, L.I.; Yuanyue, W.U.; Le, H.; Tingfeng, Z.; Yushi, Z. Development practices of geology-engineering integration on upper sweet spots of Lucaogou Formation shale oil in Jimsar sag, Junggar Basin. China Pet. Explor. 2019, 24, 679–690. [Google Scholar]
- Cipolla, C.L.; Fitzpatrick, T.; Williams, M.J.; Ganguly, U.K. Seismic-to-simulation for unconventional reservoir development. In Proceedings of the SPE Reservoir Characterisation and Simulation Conference and Exhibition, Abu Dhabi, United Arab Emirates, 9–11 October 2011. [Google Scholar]
- Jurus, W.J.; Whitson, C.H.; Golan, M. Modeling water flow in hydraulically-fractured shale wells. In Proceedings of the SPE Annual Technical Conference and Exhibition, New Orleans, LA, USA, 30 September–2 October 2013. [Google Scholar]
- Ehlig-Economides, C.A.; Ahmed, I.; Apiwathanasorn, S.; Lightner, J.; Song, B.; Vera, F.; Xue, H.; Zhang, Y. Stimulated shale volume characterization: Multiwell case Study from the Horn River shale: II. Flow perspective. In Proceedings of the SPE Annual Technical Conference and Exhibition, San Antonio, TX, USA, 8–10 October 2012. [Google Scholar]
- Zhu, W.; Ma, D.; Zhu, H.; An, L.; Li, B. Stress sensitivity of shale gas reservoir and influence on productivity. Nat. Gas Geosci. 2016, 27, 892–897. [Google Scholar]
- Wang, M.; Leung, J.Y. Numerical investigation of coupling multiphase flow and geomechanical effects on water loss during hydraulic-fracturing flowback operation. SPE Reserv. Eval. Eng. 2016, 19, 520–537. [Google Scholar] [CrossRef]
- Fu, Y.; Dehghanpour, H.; Motealleh, S.; Lopez, C.M.; Hawkes, R. Evaluating fracture volume loss during flowback and its relationship to choke size: Fastback vs. slowback. SPE Prod. Oper. 2019, 34, 615–624. [Google Scholar] [CrossRef]










| Parameters | Upper Barrier | Oil Layer | Lower Barrier |
|---|---|---|---|
| Initial reservoir pressure, MPa | 37 | 37 | 37 |
| Reservoir thickness, m | 20 | 20 | 20 |
| Matrix porosity | 0.03 | 0.11 | 0.03 |
| Matrix permeability, mD | 0.001 | 0.01 | 0.001 |
| Matrix initial water saturation | 0.7 | 0.2 | 0.7 |
| Minimum horizontal stress, MPa | 54 | 52 | 56 |
| Maximum horizontal stress, MPa | 60 | 58 | 62 |
| Young’s modulus, GPa | 40 | 27 | 40 |
| Poisson’s ratio | 0.35 | 0.25 | 0.35 |
| Tensile Strength, MPa | 3.45 | 3.45 | 3.45 |
| Parameters | Fracture Length, m | Fracture Orientation, ° | Fracture Interval, m |
|---|---|---|---|
| Mean | 20 | 50 | 6.7 |
| Standard deviation | 0 | 10 | 0 |
| Parameters | Cluster Interval, m | Slickwater Viscosity, mPa·s | Gel Water Viscosity, mPa·s | Pumping Rate, m3/min | Total Pumping Volume, m3 | Slickwater Ratio, % | Well Shut-In Time, d | Flowback Rate, m3/d (Per Stage) |
|---|---|---|---|---|---|---|---|---|
| Value | 10 | 5 | 200 | 14 | 1300 | 40 | 56 | 7.0 |
| Parameters | Fracture Half-Length, m | Fracture Bandwidth, m | Fracture Height, m |
|---|---|---|---|
| Micro-seismic interpretation of each stage | 60~189 | 50~140 | 33~68 |
| Average micro-seismic values of each stage | 116.4 | 93.6 | 50.7 |
| Calculated results | 125.3 | 89.7 | 44.6 |
Publisher’s Note: MDPI stays neutral with regard to jurisdictional claims in published maps and institutional affiliations. |
© 2022 by the authors. Licensee MDPI, Basel, Switzerland. This article is an open access article distributed under the terms and conditions of the Creative Commons Attribution (CC BY) license (https://creativecommons.org/licenses/by/4.0/).
Share and Cite
Liao, K.; Zhu, J.; Sun, X.; Zhang, S.; Ren, G. Numerical Investigation on Injected-Fluid Recovery and Production Performance following Hydraulic Fracturing in Shale Oil Wells. Processes 2022, 10, 1749. https://doi.org/10.3390/pr10091749
Liao K, Zhu J, Sun X, Zhang S, Ren G. Numerical Investigation on Injected-Fluid Recovery and Production Performance following Hydraulic Fracturing in Shale Oil Wells. Processes. 2022; 10(9):1749. https://doi.org/10.3390/pr10091749
Chicago/Turabian StyleLiao, Kai, Jian Zhu, Xun Sun, Shicheng Zhang, and Guangcong Ren. 2022. "Numerical Investigation on Injected-Fluid Recovery and Production Performance following Hydraulic Fracturing in Shale Oil Wells" Processes 10, no. 9: 1749. https://doi.org/10.3390/pr10091749
APA StyleLiao, K., Zhu, J., Sun, X., Zhang, S., & Ren, G. (2022). Numerical Investigation on Injected-Fluid Recovery and Production Performance following Hydraulic Fracturing in Shale Oil Wells. Processes, 10(9), 1749. https://doi.org/10.3390/pr10091749

