Histopathological Evaluation of Annona muricata in TAA-Induced Liver Injury in Rats
Abstract
1. Introduction
2. Materials and Methods
2.1. Morals Declaration
2.2. Thioacetamide
2.3. Silymarin
2.4. Plant Preparations and Extraction
2.5. Experimental Animals for Liver Cirrhosis
2.6. Hepatoprotective Activity
2.7. Experimental Animals for Acute Toxicity Study
2.8. Gross Appearance of Liver
2.9. Histopathology of Liver Tissue
2.10. Immunohistochemical Staining
2.11. Liver Tissue Homogenate for Endogenous Enzymes
2.12. Biochemical Parameters
2.13. Statistics
3. Results
3.1. Acute Toxicity Trial
3.2. Effect of A. muricata in Thioacetamide (TAA) Produced Liver Fibrosis
3.2.1. Body Weight, Liver Mass, and Liver Index
3.2.2. Gross Appearance of Liver
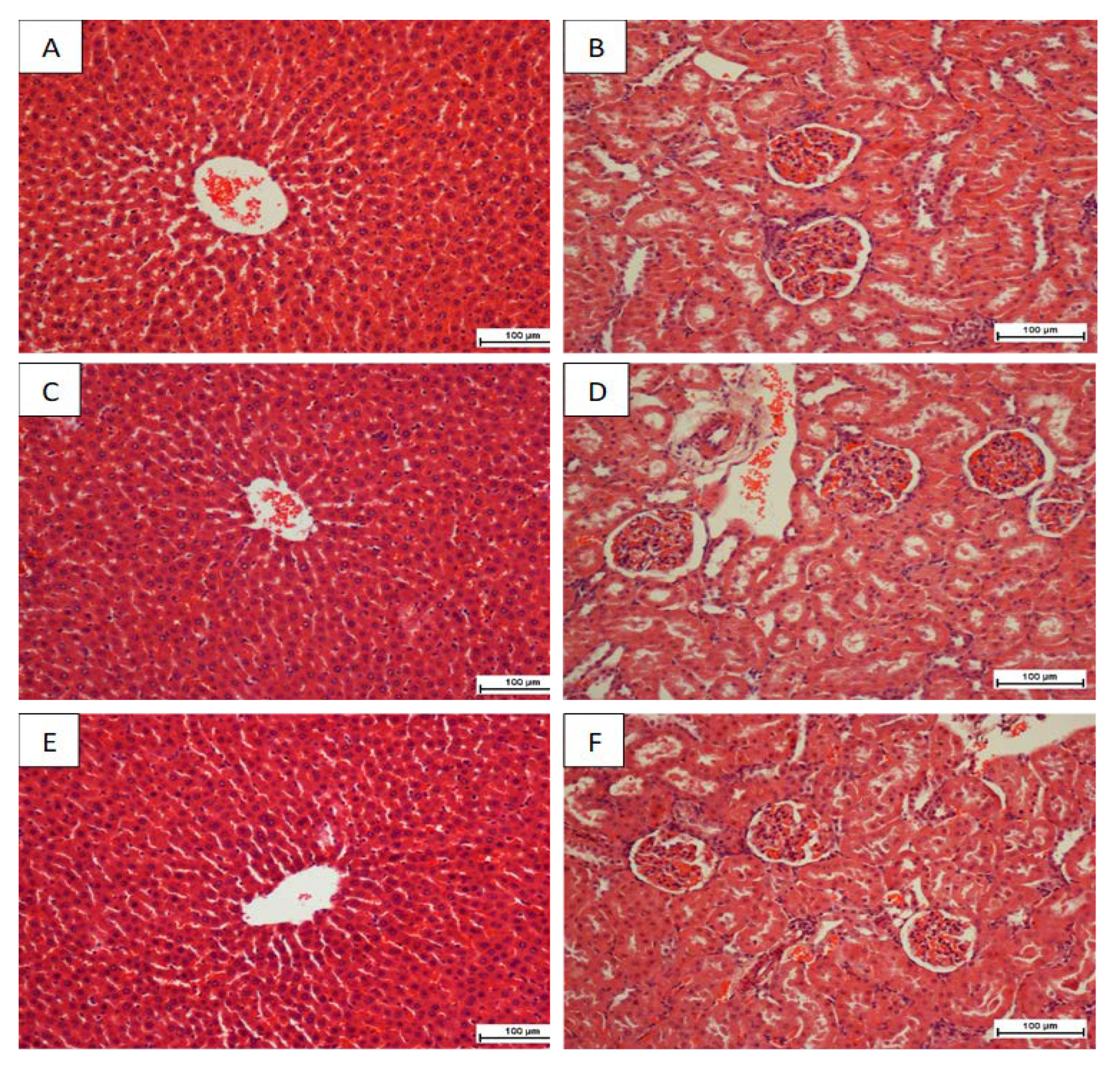
3.3. Histopathological Examination of Liver Sections
3.4. Immunohistochemistry Stain
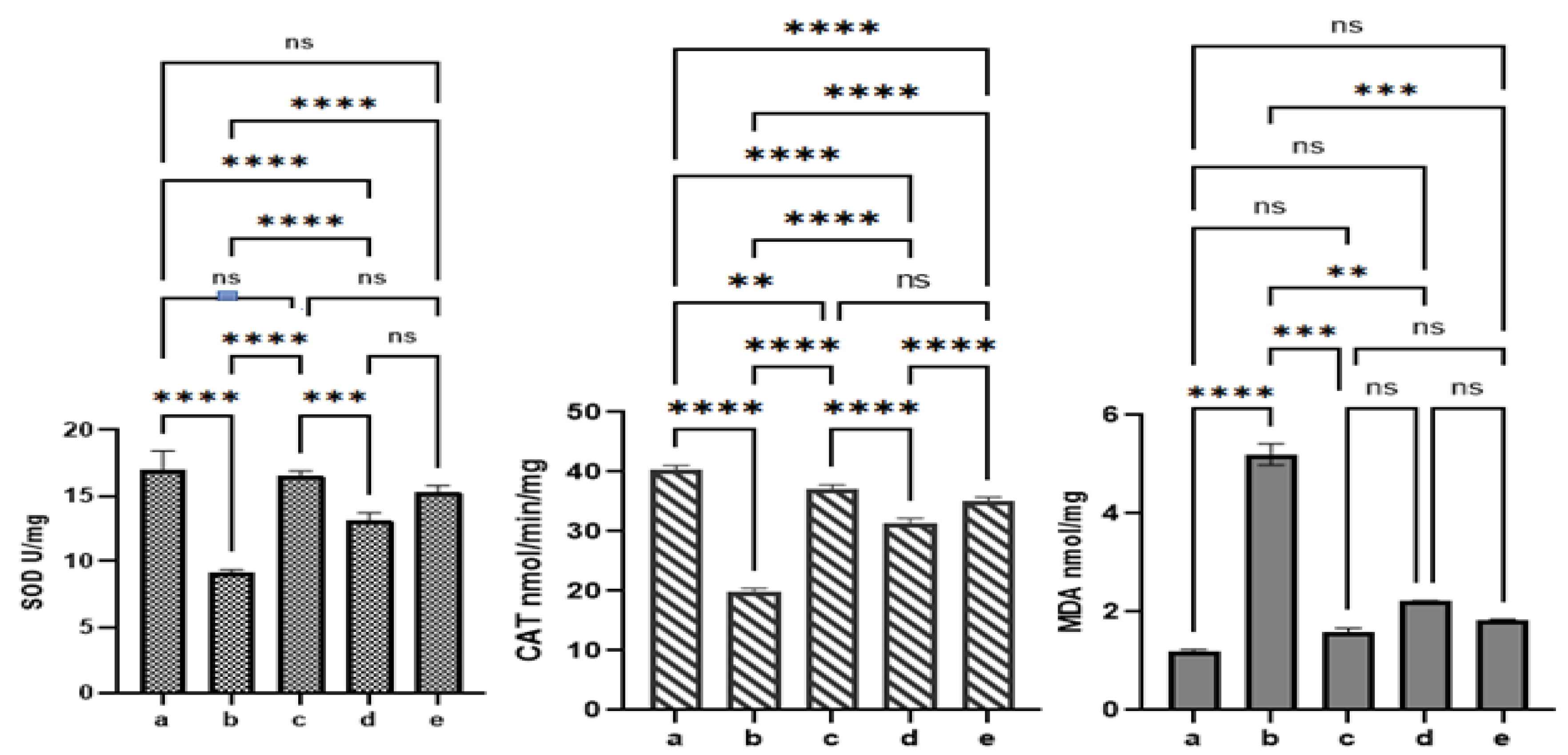
3.5. Effect of A. muricata on Liver Antioxidant Enzyme and Oxidative Stress (Malondialdehyde (MDA)) Levels
3.6. Effect of A. muricata on Biochemical Markers
4. Discussion
5. Conclusions
Author Contributions
Funding
Institutional Review Board Statement
Informed Consent Statement
Data Availability Statement
Acknowledgments
Conflicts of Interest
References
- Bardi, D.A.; Halabi, M.F.; Abdullah, N.A.; Rouhollahi, E.; Hajrezaie, M.; Abdulla, M.A. In Vivo Evaluation of Ethanolic Extract of Zingiber officinale Rhizomes for Its Protective Effect against Liver Cirrhosis. BioMed Res. Int. 2013, 2013, 918460. [Google Scholar] [CrossRef]
- Kadir, F.A.; Kassim, N.M.; Abdulla, M.A.; Kamalidehghan, B.; Ahmadipour, F.; Yehye, W.A. PASS-predicted hepatoprotective activity of Caesalpinia sappan in thioacetamide-induced liver fibrosis in rats. Sci. World J. 2014, 2014, 301879. [Google Scholar] [CrossRef] [PubMed]
- Alshawsh, M.A.; Abdulla, M.A.; Amin, Z.A. Gene Expression Profiling Reveals Underlying Molecular Mechanism of Hepatoprotective Effect of Orthosiphon stamineus and Morinda citrifolia on Thioacetamide-Induced Hepatotoxicity in Rats. In Public Health Genomics; Karger: Basel, Switzerland, 2015. [Google Scholar]
- Azab, A.E.; Albasha, M.O. Hepatoprotective effect of some medicinal plants and herbs against hepatic disorders induced by hepatotoxic agents. J. Biotechnol. Bioeng. 2018, 2, 8–23. [Google Scholar]
- Hamdy, S.M.; Shaaban, A.M.; El-Khayaht, Z.A.; Farrag, A.R.; El-Sayed, M. Therapeutic effect of Moringa oleifera pods extract and Raspberry ketone against Thioacetamide toxicity in male rats. Biochem. Lett. 2019, 14, 49–63. [Google Scholar] [CrossRef]
- Shareef, S.H.; Ibrahim, I.A.A.; Alzahrani, A.R.; Al-Medhtiy, M.H.; Abdulla, M.A. Hepatoprotective effects of methanolic extract of green tea against Thioacetamide-Induced liver injury in Sprague Dawley rats. Saudi J. Biol. Sci. 2021, 29, 564–573. [Google Scholar] [CrossRef]
- Moghadamtousi, S.Z.; Rouhollahi, E.; Karimian, H.; Fadaeinasab, M.; Abdulla, M.A.; Kadir, H.A. Gastroprotective activity of Annona muricata leaves against ethanol-induced gastric injury in rats via Hsp70/Bax involvement. Drug Des. Dev. Ther. 2014, 8, 2099. [Google Scholar]
- Moghadamtousi, S.Z.; Rouhollahi, E.; Karimian, H.; Fadaeinasab, M.; Firoozinia, M.; Abdulla, M.A.; Kadir, H.A. The Chemopotential Effect of Annona muricata Leaves against Azoxymethane-Induced Colonic Aberrant Crypt Foci in Rats and the Apoptotic Effect of Acetogenin Annomuricin E in HT-29 Cells: A Bioassay-Guided Approach. PLoS ONE 2015, 10, e0122288. [Google Scholar] [CrossRef]
- Yajid, A.I.; Ab Rahman, H.S.; Wong, M.P.K.; Zain, W.Z.W. Potential Benefits of Annona muricata in Combating Cancer: A Review. Malays. J. Med. Sci. 2018, 25, 5–15. [Google Scholar] [CrossRef]
- Djarot, P.; Badar, M. Formulation and Production of Granule from Annona Muricata Fruit Juice as Antihypertensive Instant Drink. Int. J. Pharm. Pharm. Sci. 2017, 9, 18–22. [Google Scholar] [CrossRef][Green Version]
- Damayanti, D.S.; Utomo, D.H.; Kusuma, C. Revealing the potency of Annona muricata leaves extract as FOXO1 inhibitor for diabetes mellitus treatment through computational study. Silico Pharmacol. 2017, 5, 3. [Google Scholar] [CrossRef]
- Pai, B.M. Anti-microbial Efficacy of Soursop Leaf Extract ( Annona muricata ) on Oral Pathogens: An In-vitro Study. J. Clin. Diagn. Res. 2016, 10, ZC01–ZC04. [Google Scholar] [CrossRef] [PubMed]
- Rosdi, M.N.; Daud, N.N.; Zulkifli, R.M.; Yaakob, H. Annona muricata Linn leaves extract cytotoxicity effect on Capan-1cells. J. Appl. Pharm. Sci. 2015, 5, 45–48. [Google Scholar] [CrossRef]
- Sun, S.; Liu, J.; Sun, X.; Zhu, W.; Yang, F.; Felczak, L.; Dou, Q.P.; Zhou, K. Novel Annonaceous acetogenins from Graviola (Annona muricata) fruits with strong anti-proliferative activity. Tetrahedron Lett. 2017, 58, 1895–1899. [Google Scholar] [CrossRef] [PubMed]
- Moghadamtousi, S.Z.; Karimian, H.; Rouhollahi, E.; Paydar, M.; Fadaeinasab, M.; Kadir, H.A. Annona muricata leaves induce G1 cell cycle arrest and apoptosis through mitochondria-mediated pathway in human HCT-116 and HT-29 colon cancer cells. J. Ethnopharmacol. 2014, 156, 277–289. [Google Scholar] [CrossRef] [PubMed]
- Adewole, S.; Ojewole, J. Protective effects of Annona muricata linn. (Annonaceae) leaf aqueous extract on serum lipid profiles and oxidative stress in hepatocytes of streptozotocin-treated diabetic rats. Afr. J. Tradit. Complement. Altern. Med. 2010, 6, 30–41. [Google Scholar] [CrossRef]
- De Sousa, O.V.; Vieira, G.D.-V.; Pinho, J.D.J.R.G.D.; Yamamoto, C.H.; Alves, M.S. Antinociceptive and Anti-Inflammatory Activities of the Ethanol Extract of Annona muricata L. Leaves in Animal Models. Int. J. Mol. Sci. 2010, 11, 2067–2078. [Google Scholar] [CrossRef] [PubMed]
- George, V.C.; Kumar, D.R.N.; Suresh, P.K.; Kumar, R.A. Antioxidant, DNA protective efficacy and HPLC analysis of Annona muricata (soursop) extracts. J. Food Sci. Technol. 2014, 52, 2328–2335. [Google Scholar] [CrossRef] [PubMed]
- Foong, C.P.; Hamid, R.A. Hamid, Evaluation of anti-inflammatory activities of ethanolic extract of Annona muricata leaves. Rev. Bras. De Farmacogn. 2012, 22, 1301–1307. [Google Scholar] [CrossRef]
- Abenavoli, L.; Izzo, A.A.; Milić, N.; Cicala, C.; Santini, A.; Capasso, R. Milk thistle (Silybum marianum): A concise overview on its chemistry, pharmacological, and nutraceutical uses in liver diseases. Phytother. Res. 2018, 32, 2202–2213. [Google Scholar] [CrossRef] [PubMed]
- Wong, W.-L.; Abdulla, M.A.; Chua, K.H.; Kuppusamy, U.R.; Tan, Y.S.; Sabaratnam, V. Hepatoprotective effects of Panus giganteus (Berk.) corner against thioacetamide-(TAA-) induced liver injury in rats. Evid. Based Complementary Altern. Med. 2012, 2012, 170303. [Google Scholar] [CrossRef]
- Salama, S.M.; Abdulla, M.A.; AlRashdi, A.S.; Hadi, A.H.A. Mechanism of hepatoprotective effect of Boesenbergia rotunda in thioacetamide-induced liver damage in rats. Evid. Based Complementary Altern. Med. 2013, 2013, 157456. [Google Scholar] [CrossRef] [PubMed]
- Salama, S.M.; Abdulla, M.A.; AlRashdi, A.S.; Ismail, S.; Alkiyumi, S.S.; Golbabapour, S. Hepatoprotective effect of ethanolic extract of Curcuma longa on thioacetamide induced liver cirrhosis in rats. BMC Complement. Altern. Med. 2013, 13, 56. [Google Scholar] [CrossRef] [PubMed]
- Rouhollahi, E.; Moghadamtousi, S.Z.; Hajiaghaalipour, F.; Zahedifard, M.; Tayeby, F.; Awang, K.; Abdulla, M.A.; Mohamed, Z. Curcuma purpurascens BI. rhizome accelerates rat excisional wound healing: Involvement of Hsp70/Bax proteins, antioxidant defense, and angiogenesis activity. Drug Des. Dev. Ther. 2015, 9, 5805. [Google Scholar] [CrossRef] [PubMed]
- Bagherniya, M.; Nobili, V.; Blesso, C.N.; Sahebkar, A. Medicinal plants and bioactive natural compounds in the treatment of non-alcoholic fatty liver disease: A clinical review. Pharmacol. Res. 2018, 130, 213–240. [Google Scholar] [CrossRef]
- Kadir, F.A.; Kassim, N.M.; Abdulla, M.A.; Yehye, W.A. Corrigendum to “Hepatoprotective Role of Ethanolic Extract of Vitex negundo in Thioacetamide-Induced Liver Fibrosis in Male Rats”. Evid. Based Complement. Altern. Med. 2018, 2018, 8464628. [Google Scholar] [CrossRef] [PubMed]
- Mousa, A.A.; El-Gansh, H.A.I.; Eldaim, M.A.A.; Mohamed, M.A.E.-G.; Morsi, A.H.; El Sabagh, H.S. Protective effect of Moringa oleifera leaves ethanolic extract against thioacetamide-induced hepatotoxicity in rats via modulation of cellular antioxidant, apoptotic and inflammatory markers. Environ. Sci. Pollut. Res. 2019, 26, 32488–32504. [Google Scholar] [CrossRef] [PubMed]
- Luster, M.I.; Simeonova, P.P.; Gallucci, R.M.; Matheson, J.M.; Yucesoy, B. Immunotoxicology: Role of inflammation in chemical-induced hepatotoxicity. Int. J. Immunopharmacol. 2000, 22, 1143–1147. [Google Scholar] [CrossRef]
- Uskokovic-Markovic, S.; Milenković, M.; Topić, A.; Kotur-Stevuljević, J.; Stefanović, A.; Stankovic, J.A. Protective effects of tungstophosphoric acid and sodium tungstate on chemically induced liver necrosis in wistar rats. J. Pharm. Pharm. Sci. 2007, 10, 340–349. [Google Scholar]
- Ramaiah, S.K.; Apte, U.; Mehendale, H.M. Cytochrome P4502E1 induction increases thioacetamide liver injury in diet-restricted rats. Drug Metab. Dispos. 2001, 29, 1088–1095. [Google Scholar]
- Kadir, F.A.; Othman, F.; Abdulla, M.A.; Hussan, F.; Hassandarvish, P. Effect of tinospora crispa on thioacetamide-induced liver cirrhosis in rats. Indian J. Pharmacol. 2011, 43, 64–68. [Google Scholar] [CrossRef]
- Bardi, D.A.; Halabi, M.F.; Hassandarvish, P.; Rouhollahi, E.; Paydar, M.; Moghadamtousi, S.Z.; Al-Wajeeh, N.S.; Ablat, A.; Abdullah, N.A.; Abdulla, M.A. Andrographis paniculata Leaf Extract Prevents Thioacetamide-Induced Liver Cirrhosis in Rats. PLoS ONE 2014, 9, e109424. [Google Scholar] [CrossRef] [PubMed]
- Yang, H.Y.; Kim, K.S.; Lee, Y.H.; Park, J.H.; Kim, J.-H.; Lee, S.-Y.; Kim, Y.-M.; Kim, I.S.; Kacew, S.; Lee, B.M.; et al. Dendropanax morbifera Ameliorates Thioacetamide-Induced Hepatic Fibrosis via TGF-β1/Smads Pathways. Int. J. Biol. Sci. 2019, 15, 800–811. [Google Scholar] [CrossRef] [PubMed]
- Abood, W.N.; Bradosty, S.W.; Shaikh, F.K.; Salehen, N.; Farghadani, R.; Agha, N.F.S.; Al-Medhtiy, M.H.; Kamil, T.D.A.; Agha, A.S.; Abdulla, M.A. Garcinia mangostana peel extracts exhibit hepatoprotective activity against thioacetamide-induced liver cirrhosis in rats. J. Funct. Foods 2020, 74, 104200. [Google Scholar] [CrossRef]
- Council, N.R. Guide for the Care and Use of Laboratory Animals; National Academies Press: Washington, DC, USA, 2011. [Google Scholar]
- Amin, Z.A.; Bilgen, M.; Alshawsh, M.A.; Ali, H.M.; Hadi, A.H.A.; Abdulla, M.A. Protective Role of Phyllanthus niruri Extract against Thioacetamide-Induced Liver Cirrhosis in Rat Model. Evidence-Based Complement. Altern. Med. 2012, 2012, 241583. [Google Scholar] [CrossRef]
- Salama, S.M.; Bilgen, M.; Al Rashdi, A.S.; Abdulla, M.A. Efficacy ofBoesenbergia rotundaTreatment against Thioacetamide-Induced Liver Cirrhosis in a Rat Model. Evid. Based Complement. Altern. Med. 2012, 2012, 137083. [Google Scholar] [CrossRef] [PubMed]
- Alshawsh, M.A.; Abdulla, M.A.; Ismail, S.; Amin, Z.A. Hepatoprotective effects of Orthosiphon stamineus extract on thioacetamide-induced liver cirrhosis in rats. Evid. Based Complementary Altern. Med. 2011, 2011, 103039. [Google Scholar] [CrossRef] [PubMed]
- Farghadani, R.; Seifaddinipour, M.; Rajarajeswaran, J.; Abdulla, M.A.; Hashim, N.B.M.; Khaing, S.L.; Salehen, N.B. In vivo acute toxicity evaluation and in vitro molecular mechanism study of antiproliferative activity of a novel indole Schiff base β-diiminato manganeseIII complex in hormone-dependent and triple negative breast cancer cells. PeerJ 2019, 7, e7686. [Google Scholar] [CrossRef] [PubMed]
- Alsalahi, A.; Abdulla, M.A.; Al-Mamary, M.; Noordin, M.I.; Abdelwahab, S.I.; Alabsi, A.M.; Shwter, A.; Alshawsh, M.A. Toxicological Features of Catha edulis (Khat) on Livers and Kidneys of Male and Female Sprague-Dawley Rats: A Subchronic Study. Evid. Based Complement. Altern. Med. 2012, 2012, 829401. [Google Scholar] [CrossRef]
- Hajiaghaalipour, F.; Kanthimathi, M.S.; Abdulla, M.A.; Sanusi, J. The effect of Camellia sinensis on wound healing potential in an animal model. Evid. Based Complementary Altern. Med. 2013, 2013, 386734. [Google Scholar] [CrossRef]
- Wasman, S.Q.; Mahmood, A.A.; Chua, L.S.; Alshawsh, M.; Hamdan, S. Antioxidant and gastroprotective activities of Andrographis paniculata (Hempedu Bumi) in Sprague Dawley rats. Indian J. Exp. Biol. 2011, 49, 767–772. [Google Scholar]
- Alnajar, Z.A.A.; Abdulla, M.A.; Ali, H.M.; Alshawsh, M.A.; Hadi, A.H.A. Acute Toxicity Evaluation, Antibacterial, Antioxidant and Immunomodulatory Effects of Melastoma malabathricum. Molecules 2012, 17, 3547–3559. [Google Scholar] [CrossRef] [PubMed]
- Abdulla, M.; Al-Bayaty, F.H.; Younis, L.T.; Abu Hassan, M.I. Anti-ulcer activity of Centella asiatica leaf extract against ethanol-induced gastric mucosal injury in rats. J. Med. Plants Res. 2010, 4, 1253–1259. [Google Scholar]
- Almagrami, A.A.; Alshawsh, M.A.; Saif-Ali, R.; Shwter, A.; Salem, S.D.; Abdulla, M.A. Evaluation of Chemopreventive Effects of Acanthus ilicifolius against Azoxymethane-Induced Aberrant Crypt Foci in the Rat Colon. PLoS ONE 2014, 9, e96004. [Google Scholar] [CrossRef]
- Karimian, H.; Moghadamtousi, S.Z.; Fadaeinasab, M.; Golbabapour, S.; Razavi, M.; Hajrezaie, M.; Arya, A.; Abdulla, M.A.; Mohan, S.; Ali, H.M.; et al. Ferulago angulata activates intrinsic pathway of apoptosis in MCF-7 cells associated with G1 cell cycle arrest via involvement of p21/p. Drug Des. Dev. Ther. 2014, 8, 1481. [Google Scholar] [CrossRef] [PubMed]
- Hajrezaie, M.; Salehen, N.; Karimian, H.; Zahedifard, M.; Shams, K.; Al Batran, R.; Majid, N.A.; Khalifa, S.A.M.; Ali, H.M.; El-Seedi, H.; et al. Biochanin A Gastroprotective Effects in Ethanol-Induced Gastric Mucosal Ulceration in Rats. PLoS ONE 2015, 10, e0121529. [Google Scholar] [CrossRef] [PubMed]
- Saremi, K.; Rad, S.K.; Tayeby, F.; Abdulla, M.A.; Karimian, H.; Majid, N.A. Gastroprotective activity of a novel Schiff base derived dibromo substituted compound against ethanol-induced acute gastric lesions in rats. BMC Pharmacol. Toxicol. 2019, 20, 13. [Google Scholar] [CrossRef] [PubMed]
- Kadnur, S.V.; Goyal, R.K. Beneficial effects of Zingiber officinale Roscoe on fructose induced hyperlipidemia and hyperinsulinemia in rats. Indian J. Exp. Biol. 2005, 43, 1161–1164. [Google Scholar] [PubMed]
- Aoyama, T.; Inokuchi, S.; Brenner, D.A.; Seki, E. CX3CL1-CX3CR1 interaction prevents carbon tetrachloride-induced liver inflammation and fibrosis in mice. Hepatology 2010, 52, 1390–1400. [Google Scholar] [CrossRef]
- El-Baz, F.K.; Salama, A.; Salama, R.A.A. Therapeutic Effect of Dunaliella salina Microalgae on Thioacetamide- (TAA-) Induced Hepatic Liver Fibrosis in Rats: Role of TGF-β and MMP9. BioMed Res. Int. 2019, 2019, 7028314. [Google Scholar] [CrossRef]
- Moghadamtousi, S.Z.; Rouhollahi, E.; Hajrezaie, M.; Karimian, H.; Abdulla, M.A.; Kadir, H.A. Annona muricata leaves accelerate wound healing in rats via involvement of Hsp70 and antioxidant defence. Int. J. Surg. 2015, 18, 110–117. [Google Scholar] [CrossRef]
- Salama, S.M.; Ibrahim, I.A.A.; Shahzad, N.; Al-Ghamdi, S.; Ayoub, N.; AlRashdi, A.S.; Abdulla, M.A.; Salehen, N.; Bilgen, M. Hepatoprotectivity of Panduratin A against liver damage: In vivo demonstration with a rat model of cirrhosis induced by thioacetamide. APMIS 2018, 126, 710–721. [Google Scholar] [CrossRef] [PubMed]
- Ra, S.-H.; Shin, R.-H.; Ri, H.-C.; Ri, J.-H.; Ri, H.-C.; Ri, A.-J. Effect of lesimarin against thioacetamide-induced liver cirrhosis in rat. Braz. J. Pharm. Sci. 2019, 55, e17821. [Google Scholar] [CrossRef]
- Kaur, S.; Sharma, D.; Singh, A.P.; Kaur, S. Amelioration of hepatic function, oxidative stress, and histopathologic damages by Cassia fistula L. fraction in thioacetamide-induced liver toxicity. Environ. Sci. Pollut. Res. 2019, 26, 29930–29945. [Google Scholar] [CrossRef] [PubMed]
- Takasaki, Y. Anti-proliferating cell nuclear antigen (PCNA) antibody. Nihon rinsho. Jpn. J. Clin. Med. 2010, 68, 578–581. [Google Scholar]
- Younis, N.S.; Ghanim, A.M.; Elmorsy, M.A.; Metwaly, H.A. Taurine ameliorates thioacetamide induced liver fibrosis in rats via modulation of toll like receptor 4/nuclear factor kappa B signaling pathway. Sci. Rep. 2021, 11, 12296. [Google Scholar] [CrossRef]
- Alkreathy, H.M.; Esmat, A. Lycorine Ameliorates Thioacetamide-Induced Hepatic Fibrosis in Rats: Emphasis on Antioxidant, Anti-Inflammatory, and STAT3 Inhibition Effects. Pharmaceuticals 2022, 15, 369. [Google Scholar] [CrossRef] [PubMed]
- Georgieva, N.; Gadjeva, V.; Tolekova, A.; Georgieva, N.; Gadjeva, V. New isonicotinoylhydrazones with SSA protect against oxidative-hepatic injury of isoniazid. TJS 2004, 2, 37–43. [Google Scholar]
- Knight, T.R.; Fariss, M.W.; Farhood, A.; Jaeschke, H. Role of lipid peroxidation as a mechanism of liver injury after acetaminophen overdose in mice. Toxicol. Sci. 2003, 76, 229–236. [Google Scholar] [CrossRef] [PubMed]
- Tang, S.-P.; Mao, X.-L.; Chen, Y.-H.; Yan, L.-L.; Ye, L.-P.; Li, S.-W. Reactive Oxygen Species Induce Fatty Liver and Ischemia-Reperfusion Injury by Promoting Inflammation and Cell Death. Front. Immunol. 2022, 13, 2029. [Google Scholar] [CrossRef] [PubMed]





| (A) | ||||||
| Animal Groups | ALP (IU/L) | ALT (IU/L) | AST (IU/L) | T. Bilirubin (µmol/L) | T. Protein (g/L) | Albumin (g/L) |
| Normal control 10% Tween 20 | 73 ± 2.89 a | 38 ± 2.36 b | 58 ± 2.36 c | 1.12 ± 0.23 d | 70 ± 3.22 a | 25 ± 1.41 e |
| A. muricata 2 g/kg | 68.16 ± 2.83 a | 40.16 ± 2.85 b | 61.16 ± 2.31 c | 1.15 ± 0.04 d | 68.20 ± 3.71 a | 23.34 ± 2.22 e |
| A. muricata 5 g/kg | 74 ± 3.40 a | 37 ± 1.78 b | 57 ± 1.75 c | 1.11 ± 0.02 d | 73.16 ± 2.31 a | 22.16 ± 2.29 e |
| (B) | ||||||
| Animal Groups | Sodium mmol/L | Potassium mmol/L | Chloride mmol/L | Urea mmol/L | Creatinine µmol/L | |
| Normal control 10% Tween 20 | 140 ± 3.46 a | 4.9 ± 0.28 b | 105 ± 5.059 b | 4.16 ± 0.10 a | 40.83 ± 3.76 a | |
| A. muricate 2 g/kg | 144.16 ± 3.65 a | 5.01 ± 3.65 b | 135.5 ± 46.98 a | 5.02 ± 0.32 a | 38.36 ± 2.95 a | |
| A. muricate 5 g/kg | 139.16 ± 4.26 a | 5.12 ± 0.30 b | 98.16 ± 3.71 b | 4.93 ± 0.47 a | 40.63 ± 2.30 a | |
| Animal Groups | Body Weight (g) | Liver Weight (g) | Liver Index (%) LW/BW% |
|---|---|---|---|
| Normal control | 335.17 ± 7.35 a | 10.15 ± 0.04 a | 33 ± 0.65 a |
| TAA control (200 mg/kg) | 167.91 ± 3.11 d | 12.53 ± 0.05 b | 14 ± 0.82 d |
| Silymarin (50 mg/kg) + TAA | 317.37 ± 5.53 b | 10.26 ± 0.08 a | 31 ± 0.63 b |
| A. muricata (250 mg/kg) + TAA | 245.31 ± 3.83 c | 10.31 ± 0.05 a | 24 ± 0.41 c |
| A. muricata (500 mg/kg) + TAA | 268 ± 4.30 c | 10.55 ± 0.03 a | 26 ± 0.55 c |
| Animal Groups | Liver PCNA Stain | Liver Mitotic Index | Spleen PCNA Stain |
|---|---|---|---|
| Normal Control | 0.00 | 0.00 | 0.00 |
| TAA Control (200 mg/kg) | 31 ± 4.77 d | 78.16 ± 3.71 d | 82.16 ± 4.70 c |
| Silymarin (50 mg/kg) + TAA | 1 ± 0.63 a | 20.16 ± 2.31 a | 2.18 ± 0.95 a |
| A. muricata (250 mg/kg) + TAA | 2 ± 0.89 b | 33.16 ± 2.63 c | 18.5 ± 1.87 b |
| A. muricata (500 mg/kg) + TAA | 3.16 ± 1.47 c | 26.16 ± 1.47 b | 2.16 ± 0.98 a |
| Animal Groups | ALP IU/L | ALT IU/L | AST IU/L | T. Bilirubin (µmol/L) | Protein g/L | Albumin g/L |
|---|---|---|---|---|---|---|
| Normal Control (10% Tween 20) | 72.33 ± 2.10 a | 39.2 ± 2.38 a | 62.15 ± 2.5 a | 12.05 ± 0.19 a | 69.54 ± 1.84 a | 24.27 ± 1.24 a |
| TAA control (200 mg/kg) | 251.2 ± 2.73 d | 174 ± 3.01 d | 254.0 ± 2.4 d | 5.04 ± 0.03 d | 42.90 ± 3.31 c | 14.81 ± 2.07 e |
| Silymarin (50 mg/kg) + TAA | 78.45 ± 1.0 a | 45.5 ± 1.21 a | 68.87 ± 1.6 a | 1.38 ± 0.07 b | 62.65 ± 1.62 b | 21.53 ± 2.04 b |
| A. muricata (250 mg/kg) + TAA | 96.75 ± 1.44 c | 83.42 ± 1.3 c | 87.66 ± 1.5 c | 2.32 ± 0.07 c | 58.89 ± 1.01 b | 16.56 ± 1.17 d |
| A. muricata (500 mg/kg) + TAA | 80.57 ± 2.13 b | 51.77 ± 2.5 b | 73.75 ± 2.0 b | 1.28 ± 0.7 b | 61.52 ± 1.9 b | 19.47 ± 0.99 c |
Publisher’s Note: MDPI stays neutral with regard to jurisdictional claims in published maps and institutional affiliations. |
© 2022 by the authors. Licensee MDPI, Basel, Switzerland. This article is an open access article distributed under the terms and conditions of the Creative Commons Attribution (CC BY) license (https://creativecommons.org/licenses/by/4.0/).
Share and Cite
Al-Medhtiy, M.H.; Jabbar, A.A.; Shareef, S.H.; Ibrahim, I.A.A.; Alzahrani, A.R.; Abdulla, M.A. Histopathological Evaluation of Annona muricata in TAA-Induced Liver Injury in Rats. Processes 2022, 10, 1613. https://doi.org/10.3390/pr10081613
Al-Medhtiy MH, Jabbar AA, Shareef SH, Ibrahim IAA, Alzahrani AR, Abdulla MA. Histopathological Evaluation of Annona muricata in TAA-Induced Liver Injury in Rats. Processes. 2022; 10(8):1613. https://doi.org/10.3390/pr10081613
Chicago/Turabian StyleAl-Medhtiy, Morteta H., Ahmed Aj. Jabbar, Suhayla Hamad Shareef, Ibrahim Abdel Aziz Ibrahim, Abdullah R. Alzahrani, and Mahmood Ameen Abdulla. 2022. "Histopathological Evaluation of Annona muricata in TAA-Induced Liver Injury in Rats" Processes 10, no. 8: 1613. https://doi.org/10.3390/pr10081613
APA StyleAl-Medhtiy, M. H., Jabbar, A. A., Shareef, S. H., Ibrahim, I. A. A., Alzahrani, A. R., & Abdulla, M. A. (2022). Histopathological Evaluation of Annona muricata in TAA-Induced Liver Injury in Rats. Processes, 10(8), 1613. https://doi.org/10.3390/pr10081613

