Analysis of Reservoir Stability during Natural Gas Hydrate Exploitation under Incline Seafloor
Abstract
:1. Introduction
2. Model Establishment
2.1. Numerical Model
2.1.1. Kinetic Equation for Decomposing NGHs
2.1.2. Physical Parameters of Reservoirs
2.2. Strength Reduction Method
3. Establishment of the Slope Model
4. Formation Responses in the Mining Process of NGHs
4.1. Dynamics during Decomposition of NGHs
4.2. Evolution of the Physical Parameters of the Formation
4.3. Deformation Responses of the Formation
4.4. Failure Process of the Slope
5. Influences of Burial Conditions on the Stability of the Submarine Slope
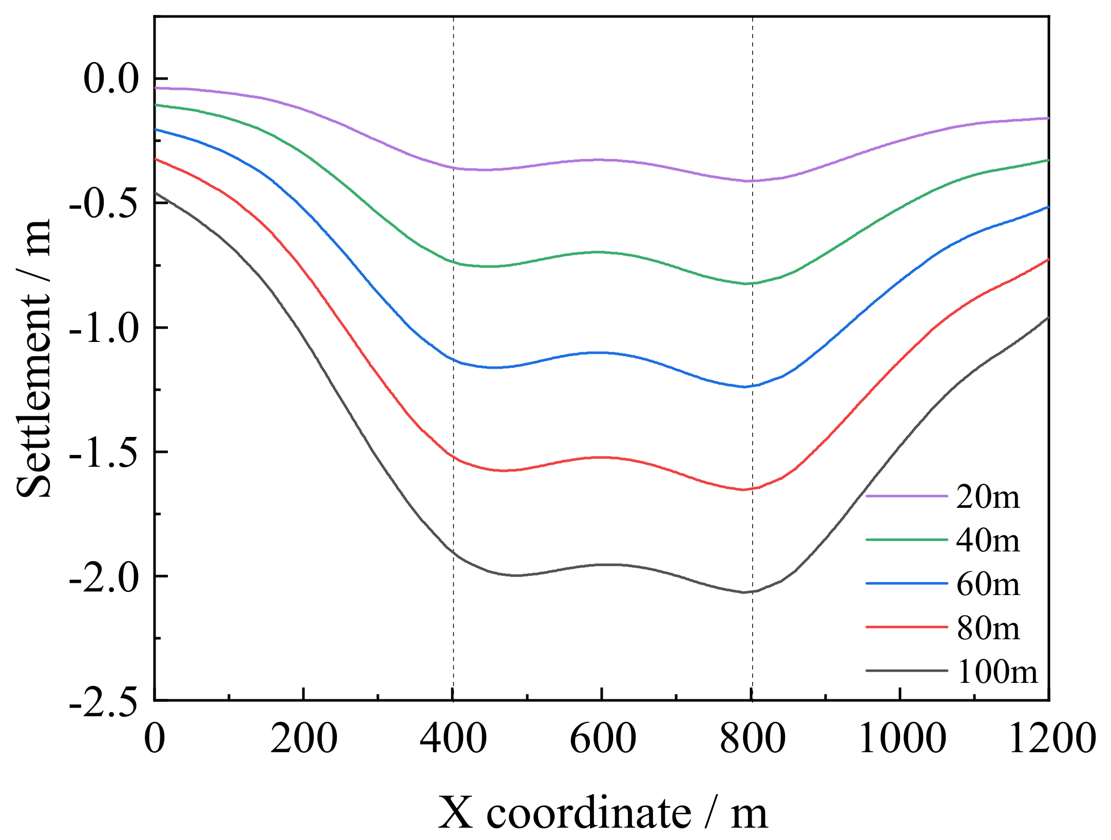
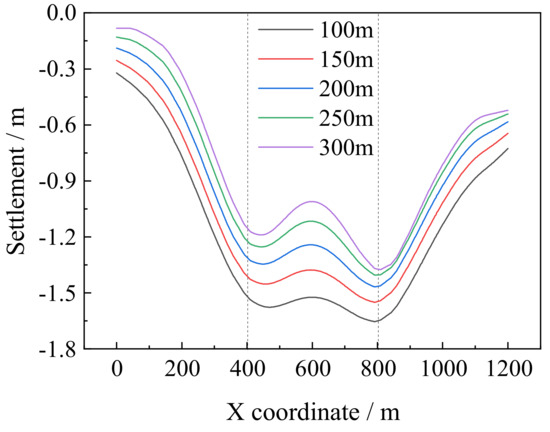
5.1. Burial Depth of the NGH Reservoir
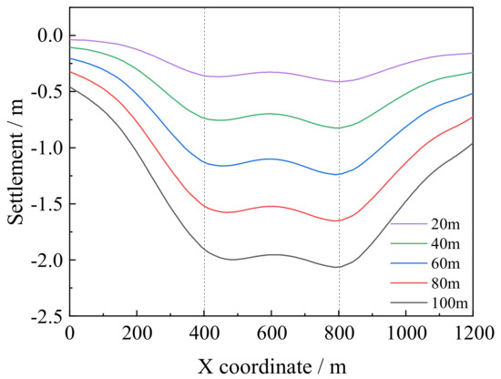
5.2. Thickness of the NGH Reservoir
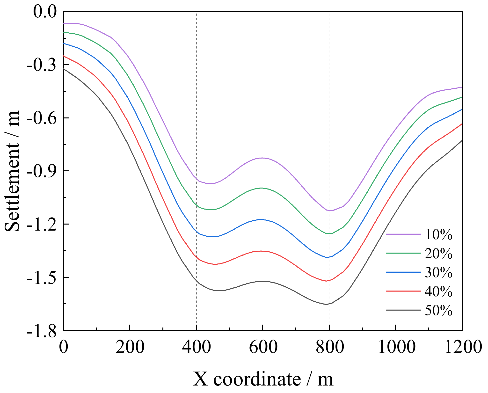
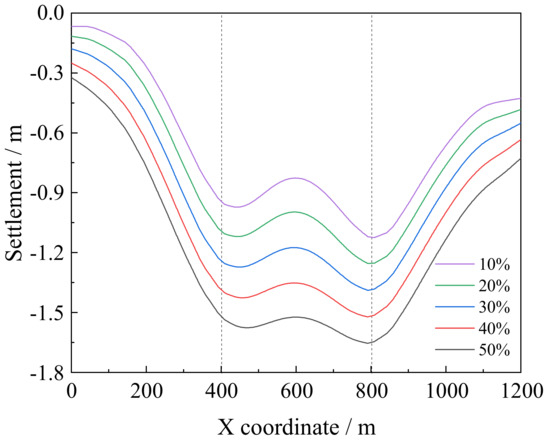
5.3. Initial Saturation of the NGH Reservoir
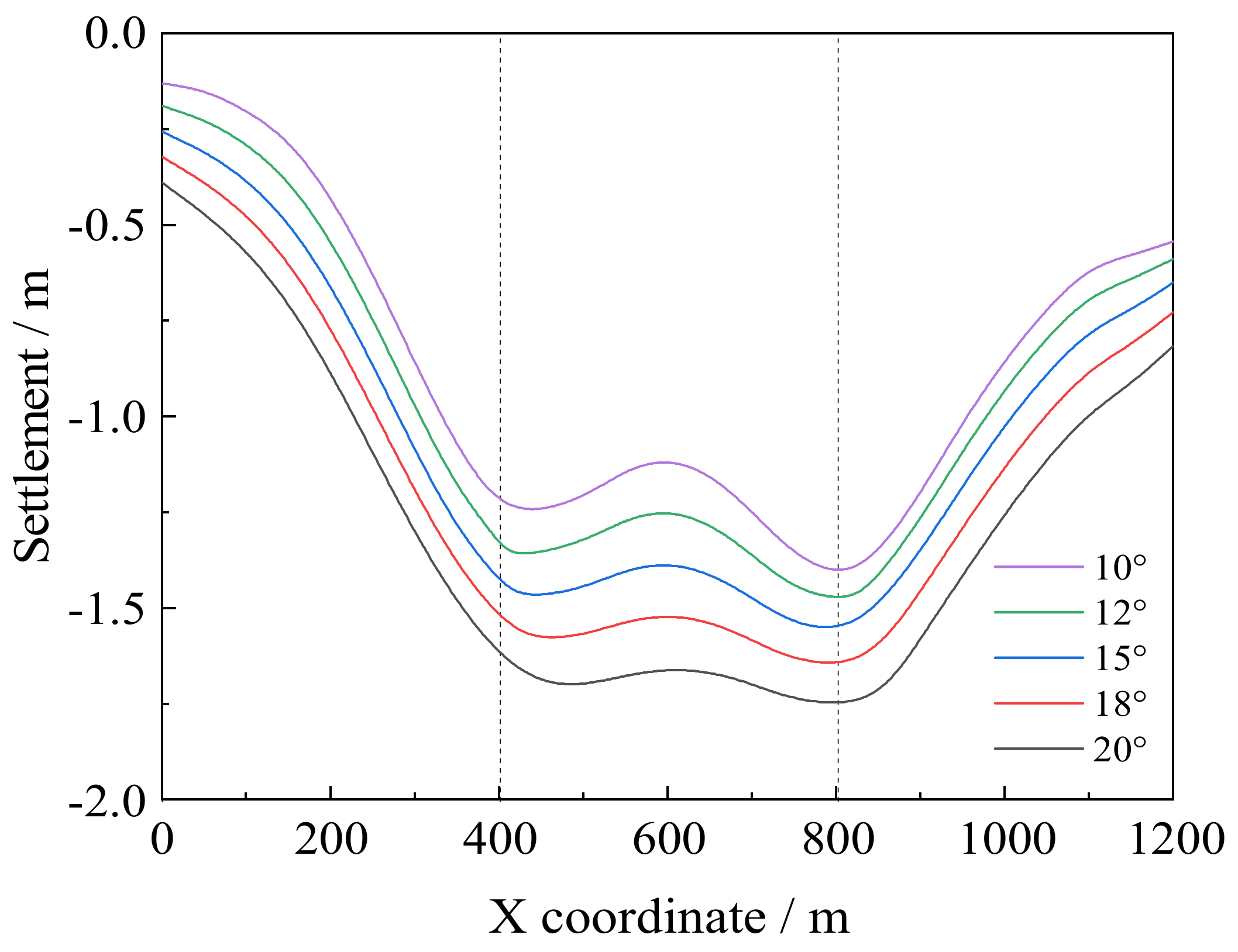
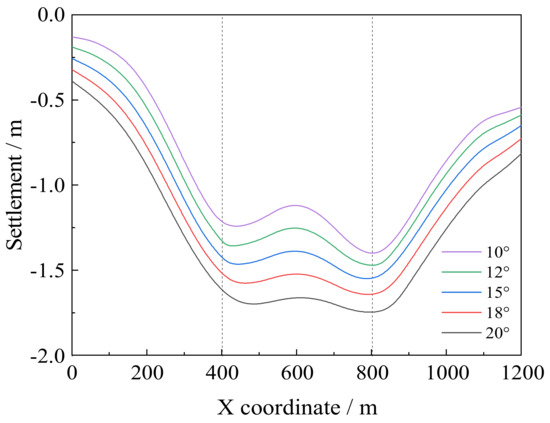
5.4. Angle of the Submarine Slope
6. Conclusions
- (1)
- The decomposition range of NGHs was nonuniformly distributed in space and was shaped as an irregular triangular prism. The pressure drop propagated from the wellbores to the surroundings and formed cylindrical high-pressure drop zones, taking wellbores as the cylinder axes.
- (2)
- Plastic zones first appeared in the decomposition range of NGHs in the failure process of the slope, gradually spread to the slope shoulder and toe, and ultimately coalesced throughout the NGH reservoir.
- (3)
- The stability of the submarine slope decreased with the increasing slope angle, the thickness of the NGH reservoir, and the initial saturation of the NGH reservoir, while it rose with the burial depth of the NGH reservoir.
- (4)
- The maximal settlement of the seabed grew with growing slope angle reservoir initial saturation and thickness, and was decreased with the expanding burial depth of the reservoir.
Author Contributions
Funding
Institutional Review Board Statement
Informed Consent Statement
Acknowledgments
Conflicts of Interest
References
- Sloan, E.D., Jr.; Koh, C.A. Clathrate Hydrates of Natural Gases; CRC Press: Boca Raton, FL, USA, 2007. [Google Scholar]
- Yan, C.; Ren, X.; Cheng, Y.; Song, B.; Li, Y.; Tian, W. Geomechanical issues in the exploitation of natural gas hydrate. Gondwana Res. 2020, 81, 403–422. [Google Scholar] [CrossRef]
- Yan, C.; Chen, Y.; Chen, T.; Cheng, Y.; Yan, X. Experimental Study of Hydraulic Fracturing for Unconsolidated Reservoirs. Rock Mech. Rock Eng. 2022, 55, 3399–3424. [Google Scholar] [CrossRef]
- Yan, C.; Chen, Y.; Tian, W.; Cheng, Y.; Li, Y. Effects of methane-carbon dioxide replacement on the mechanical properties of natural gas hydrate reservoirs. J. Clean. Prod. 2022, 354, 131703. [Google Scholar] [CrossRef]
- Yan, C.; Li, Y.; Cheng, Y.; Wei, J.; Tian, W.; Li, S.; Wang, Z. Multifield coupling mechanism in formations around a wellbore during the exploitation of methane hydrate with CO2 replacement. Energy 2022, 245, 123283. [Google Scholar] [CrossRef]
- Micallef, A.; Mountjoy, J.J.; Canals, M.; Lastras, G. Deep-Seated Bedrock Landslides and Submarine Canyon Evolution in An Active Tectonic Margin: Cook Strait, New Zealand; Springer: Dordrecht, The Netherlands, 2012. [Google Scholar]
- Hance, J.J. Submarine slope stability. Project Report for the Minerals Management Service Under the MMS/OTRC Coop. Research Agreement 1435-01-99-CA-31003, Task Order, 2003, 18217. Available online: https://www.bsee.gov/sites/bsee.gov/files/tap-technical-assessment-program//441ab.pdf (accessed on 21 June 2022).
- Li, X.; He, S. Progress in stability analysis of submarine slopes considering dissociation of gas hydrates. Environ. Earth Sci. 2012, 66, 741–747. [Google Scholar] [CrossRef]
- Kayen, R.E.; Lee, H.J. Pleistocene slope instability of gas hydrate-laden sediment on the Beaufort Sea margin. Mar. Georesources Geotechnol. 1991, 10, 125–141. [Google Scholar] [CrossRef]
- Sultan, N.; Cochonat, P.; Foucher, J.-P.; Mienert, J. Effect of gas hydrates melting on seafloor slope instability. Mar. Geol. 2004, 213, 379–401. [Google Scholar] [CrossRef]
- Wu, S.; Chen, S.; Wang, Z.; Li, Q. Submarine landslide and risk evaluation on its instability in the deepwater continental margin. Geology 2008, 22, 430. [Google Scholar]
- Paull, C.K.; Buelow, W.J.; Ussler, W., III; Borowski, W.S. Increased continental-margin slumping frequency during sea-level lowstands above gas hydrate-bearing sediments. Geology 1996, 24, 143–146. [Google Scholar] [CrossRef]
- Zhou, D. Study on the Influence of the Seabed Structures Stability Due to Natural Gas Hydrate Dissociation. Master’s Thesis, Dalian University of Technology, Dalian, China, June 2012. [Google Scholar]
- Liu, F.; Tun, S.; Sun, Y. A quantitative analysis for submarine slope instability of the northern South China Sea due to gas hydrate dissociation. Chin. J. Geophys. 2010, 53, 946–953. [Google Scholar]
- Lin, T.; Fang, L. Submarine slope stability during depressurization and thermal stimulation hydrate production with horizontal wells. Chin. J. Theor. Appl. Mech. 2020, 52, 567–577. [Google Scholar]
- Ma, Y.; Li, S.Z.; Liang, J.Q.; Suo, Y.H.; Dai, L.M.; Wang, X.F.; Zhang, B.K. Characteristics and mechanism of submarine landslides in the Qiongdongnan Basin, northern South China Sea. J. Jinlin Univ. (Earth Sci. Ed.) 2012, 42 (Suppl. 3), 196–205. [Google Scholar]
- An, C.; Zhang, J.; Zhou, M. Limit analysis on mechanism of low-angle submarine landslide based on upper bound energy method. Northwestern Seismol. J. 2011, 33, 105–109. [Google Scholar]
- Zhao, Y.; Kong, L.; Liu, L. Stability analysis of submarine slope of hydrate-bearing sediments based on the two-step reduction method. Nat. GasInd. 2021, 41, 141–153. [Google Scholar]
- Tang, C.; Xu, X.; Sun, B.; Jiang, R. Influence factors and risk assessment for seabed landslides induced by natural gas hydrate decomposition. Mar. Geol. Front. 2021, 37, 14–21. [Google Scholar]
- Xu, B.; Zou, D.; Zhou, D.; Kong, X. Analysis method on stability of the submarine slope due to methane hydrate dissociation. China Civ. Eng. J. 2011, 44 (Suppl. 2), 207–211. [Google Scholar]
- Lin, X. Fluid-Solid Coupling Model and Its Numerical Simulation for Submarine Energy Soil under Depressurizing Production. Master’s Thesis, Qingdao University of Technology, Qingdao, China, June 2020. [Google Scholar]
- Chen, Y.; Zhang, L.; Liao, C.; Jiang, M.; Peng, M. A two-stage probabilistic approach for the risk assessment of submarine landslides induced by gas hydrate exploitation. Appl. Ocean. Res. 2020, 99, 102158. [Google Scholar] [CrossRef]
- Song, B.; Cheng, Y.; Yan, C.; Han, Z.; Ding, J.; Li, Y.; Wei, J. Influences of hydrate decomposition on submarine landslide. Landslides 2019, 16, 2127–2150. [Google Scholar] [CrossRef]
- Song, B.; Cheng, Y.; Yan, C.; Lyu, Y.; Wei, J.; Ding, J.; Li, Y. Seafloor subsidence response and submarine slope stability evaluation in response to hydrate dissociation. J. Nat. Gas Sci. Eng. 2019, 65, 197–211. [Google Scholar] [CrossRef]
- Moridis, G.J. Numerical studies of gas production from methane hydrates. SPE J. 2003, 8, 359–370. [Google Scholar] [CrossRef]
- Kamath, A.R.R. A Methodology for Estimating Failure Rate of Equipment Subject to Unrevealed Failures. Saf. Reliab. 1998, 18, 20–24. [Google Scholar] [CrossRef]
- Kim, H.C.; Bishnoi, P.R.; Heidemann, R.A.; Rizvi, S.S.H. Kinetics of methane hydrate decomposition. Chem. Eng. Sci. 1987, 42, 1645–1653. [Google Scholar] [CrossRef]
- Rutqvist, J.; Moridis, G.J.; Grover, T.; Silpngarmlert, S.; Collett, T.S.; Holdich, S.A. Coupled multiphase fluid flow and wellbore stability analysis associated with gas production from oceanic hydrate-bearing sediments. J. Pet. Sci. Eng. 2012, 92, 65–81. [Google Scholar] [CrossRef]
- Li, Y.; Cheng, Y.F.; Yan, C.L.; Wang, Z.Y.; Song, L.F. Effects of creep characteristics of natural gas hydrate-bearing sediments on wellbore stability. Pet. Sci. 2022, 19, 220–233. [Google Scholar] [CrossRef]
- Wan, Y.; Wu, N.; Hu, G.; Xin, X.; Jin, G.; Liu, C.; Chen, Q. Reservoir stability in the process of natural gas hydrate production by depressurization in the Shenhu area of the South China Sea. Nat. Gas Ind. B 2018, 5, 631–643. [Google Scholar] [CrossRef]
- Zienkiewicz, O.C.; Humpheson, C.; Lewis, R.W. Associated and non-associated visco-plasticity and plasticity in soil mechanics. Geotechnique 1975, 25, 671–689. [Google Scholar] [CrossRef]
- Ye, J.; Qin, X.; Xie, W.; Lu, H.; Ma, B.; Qiu, H.; Liang, J.; Lu, J.; Kuang, Z.; Lu, C.; et al. Main progress of the second gas hydrate trial production in the South China Sea. Geol. China 2020, 47, 557–568. [Google Scholar]
- Zhang, Z. Sensitivity Analysis of Influencing Factors on Stability of Submarine Energy Soil Slope. Master’s Thesis, Qingdao University of Technology, Qingdao, China, June 2016. [Google Scholar]
















| Influencing Factor | Value | ||||
|---|---|---|---|---|---|
| Slope Angle/° | 10 | 12 | 15 | 18 | 20 |
| Burial depth of the reservoir/m | 100 | 150 | 200 | 250 | 300 |
| Reservoir thickness/m | 20 | 40 | 60 | 80 | 100 |
| Initial hydrate saturation of the reservoir/% | 10 | 20 | 30 | 40 | 50 |
| Parameter | Value | Unit | Parameter | Value | Unit |
|---|---|---|---|---|---|
| Specific heat capacity of formation skeleton | 1.0 | kJ·kg−1·K−1 | Specific heat capacity of NGHs | 2.1 | kJ·kg−1·K−1 |
| Heat conductivity of formation skeleton | 1.0 | W·m−1·K−1 | Heat conductivity of NGHs | 0.5 | W·m−1·K−1 |
| Density of formation skeleton | 2200 | kg·m−3 | Density of NGHs | 920 | kg·m−3 |
| Cohesion of formation under | 0.1 | MPa | Cohesion of formation under | 2.0 | MPa |
| Bulk modulus of formation under | 2.0 | MPa | Bulk modulus of formation under | 32 | MPa |
| Shear modulus of formation under | 1.5 | MPa | Shear modulus of formation under | 29 | MPa |
| Intrinsic permeability of the layer without NGHs | 0.6 | mD | Intrinsic permeability of NGH reservoir | 0.2 | mD |
| Specific heat capacity of sea water | 4.2 | kJ·kg−1·K−1 | Internal friction angle | 5 | ° |
| Heat conductivity of sea water | 3.0 | W·m−1·K−1 | Geothermal gradient | 0.03 | K·m−1 |
| Density of sea water | 1040 | kg·m−3 | Porosity | 0.4 | - |
Publisher’s Note: MDPI stays neutral with regard to jurisdictional claims in published maps and institutional affiliations. |
© 2022 by the authors. Licensee MDPI, Basel, Switzerland. This article is an open access article distributed under the terms and conditions of the Creative Commons Attribution (CC BY) license (https://creativecommons.org/licenses/by/4.0/).
Share and Cite
Zhao, X.; Wang, Z.; Zhao, Y.; Zuo, J.; Chen, G.; Li, P.; Liang, W.; Jia, W.; Wang, B.; Chen, X. Analysis of Reservoir Stability during Natural Gas Hydrate Exploitation under Incline Seafloor. Processes 2022, 10, 1614. https://doi.org/10.3390/pr10081614
Zhao X, Wang Z, Zhao Y, Zuo J, Chen G, Li P, Liang W, Jia W, Wang B, Chen X. Analysis of Reservoir Stability during Natural Gas Hydrate Exploitation under Incline Seafloor. Processes. 2022; 10(8):1614. https://doi.org/10.3390/pr10081614
Chicago/Turabian StyleZhao, Xiaolong, Zenglin Wang, Yizhong Zhao, Jiaqiang Zuo, Gang Chen, Peng Li, Wei Liang, Weixia Jia, Bing Wang, and Xue Chen. 2022. "Analysis of Reservoir Stability during Natural Gas Hydrate Exploitation under Incline Seafloor" Processes 10, no. 8: 1614. https://doi.org/10.3390/pr10081614
APA StyleZhao, X., Wang, Z., Zhao, Y., Zuo, J., Chen, G., Li, P., Liang, W., Jia, W., Wang, B., & Chen, X. (2022). Analysis of Reservoir Stability during Natural Gas Hydrate Exploitation under Incline Seafloor. Processes, 10(8), 1614. https://doi.org/10.3390/pr10081614
