Next Article in Journal
Gel-Forming and Plugging Performance Evaluation of Emulsion Polymer Crosslinking System in Fractured Carbonate Rock
Next Article in Special Issue
Study of Gases and Thermal Behavior of Oxidized Coal during Spontaneous Combustion Process
Previous Article in Journal
Production of Extracellular Lipase by Bacillus halotolerans from Oil-Contaminated Soil in a Pilot-Scale Submerged Bioreactor
Previous Article in Special Issue
Feasibility Study of Fine Water Mist Applied to Cold Storage Fire Protection
 
 
Font Type:
Arial Georgia Verdana
Font Size:
Aa Aa Aa
Line Spacing:
Column Width:
Background:
Article

Influence of Water Mist Temperature Approach on Fire Extinguishing Effect of Different Pool Fires

1
School of Environmental and Safety Engineering, Changzhou University, Changzhou 213164, China
2
School of Materials Science and Engineering, Changzhou University, Changzhou 213164, China
*
Authors to whom correspondence should be addressed.
Processes 2022, 10(8), 1549; https://doi.org/10.3390/pr10081549
Submission received: 18 July 2022 / Revised: 31 July 2022 / Accepted: 4 August 2022 / Published: 7 August 2022

Abstract

:
The aim of this paper was to study the suppression influence of water mist on oil pool fires, taking diesel fires and n-heptane fires as experimental objects. The effects of spray pressure and temperature on water mist suppression were examined, and an experimental platform for the suppression of water mist in a small space was set up. Their fire prevention performance and fire extinguishing mechanisms were analyzed by comparing the flame temperature and extinguishing time of diesel and n-heptane pool fire. Three types of spray pressure were set. Water mist was designed at different temperatures and design experiments were carried out for this purpose. The change process of smoke concentration, thermocouple temperature, and flame combustion under different working conditions were analyzed, and the factors affecting the fire extinguishing effect of water mist on oil pool fire were discussed. The results show that 20 °C water mist is more effective at medium and high pressure than at low pressure. Moreover, 80 °C water mist at 9 MPa is more effective in extinguishing n-heptane fire. The flame extinction time is about 10 s, which is more than 40 s higher than that of cold water.

1. Introduction

Since the signing of the Montreal Convention in 1987, the international fire safety field has been looking for alternatives to halogenated alkyl fire extinguishing agents [1]. Water mist fire extinguishing technology has the advantages of no pollution, rapid fire extinguishing, less water consumption, and less damage to the protected objects. Water mist has gradually been considered and has been successfully recognized internationally. Against this background, the research on water mist fire extinguishing technology has entered a golden period of development in recent decades [2]. Similarly, great progress has been made in the research on its suppression efficiency [3].
Scholars from all countries pay close attention to water mist fire extinguishing technology because of its suppression efficiency [4]. To comprehensively study the fire-extinguishing conditions of water mist, Liu et al. [5] pointed out that the reason for flame expansion caused by water mist is the thick flammable vapor layer on the oil surface. Ankit dasgotra et al. [6] found that the effect is primarily affected by operating parameters, such as the ratio of the distance between two pools to the diameter of the pool, gap of platform, nozzle ejection rate, and water mist particle size. Zhou et al. [7] added a small amount of newly developed additive named MC to the water mist that can significantly improve the fire extinguishing performance of the water mist system. Liu et al. [8] carried out experiments and simulations to verify that under the smoke exhaust conditions, the water mist can effectively extinguish the fire, but the time required for extinguishing the fire is affected by the ventilation volume. Chelliah et al. [9] explored the quantitative information of the coupling between the optimal droplet size and the flow residence time in suppressing gas flames. Yao et al. [10] studied the interaction between water mist and the heat diffusion flame in a closed environment and found that the small water mist current can increase the flame intensity.
Nevertheless, scholars have researched the temperature factor affecting water mist suppression efficiency less. Most research focuses on the mechanism, additives and surfactants, ventilation conditions and obstacle position, fire heat release rate, and nozzle characteristics [11,12]. This paper measured the fire extinguishing time, flame temperature and smoke change parameters of water mist under low, medium and high pressure at different temperatures. The fire extinguishing effects of water mist at different temperatures on diesel and n-heptane fires were studied through experiments. The influence of temperature on the fire extinguishing effect of water mist can be understood more comprehensively. This paper provides experimental and data support for the engineering application of a high-temperature water mist fire extinguishing system [13], which may influence the developing fields of water mist fire extinguishing technology and fire protection [14].

2. Experimental Setup

2.1. Experimental Platform

The experimental platform is composed of a confined space, water mist system, fire source, temperature measurement system, gas analyzer, and video camera, as shown in Figure 1. The experimental platform space was designed to be 1.8 m × 1.8 m × 3 m. The frame of the confined space is a steel structure. Its bottom is ceramic tile, and the other five sides are tempered glass. This ensures a particular thermal insulation effect, tightness, and safety. In front of the confined space is a 0.8 m × 2 m glass door, which is convenient for entering and leaving the burning dish for experiments. The upper part of the confined space is a smoke exhaust pipe extending outdoors, and a gas analyzer is placed at the tail of the smoke exhaust pipe to record the smoke concentration. The water mist nozzle is placed 2.4 m above the fire source. The bottom thermocouple shall be placed 10 cm above the fire source, and other thermocouples shall be placed every 30 cm upward.
Additionally, the height of 2.4 m is closer to the actual height. The oil pan with a diameter of 60 cm was chosen in accordance with the experimental design of the oil fire. Thermocouples are positioned every 30 cm to ensure accurate measurement of the fire source temperature. Diesel oil and n-heptane were used as fuels in the experiment, which were poured into a container with a diameter of 60 cm and a depth of 3 cm. An external camera recorded and observed the flame image [15].

2.2. Nozzle Properties

2.2.1. Water Flow Rate

The size of droplets will affect the fire extinguishing effect of water mist. The pressure and flow coefficient of the sprinkler will determine the size of water mist particles. This paper studies the characteristics of water mist under different pressures and temperatures. The 0.7 flow coefficient nozzle is used for research in order to regulate the variable. The nozzle’s flow coefficient K value is 0.7. The experimental findings are consistent with the following formula. The nozzle flow is obtained by the following Equation (1):
q = K 10 P
where q (in L/min) is the water flow rate; K is the flow coefficient; P (in MPa) is the working pressure.

2.2.2. Particle Size Distribution

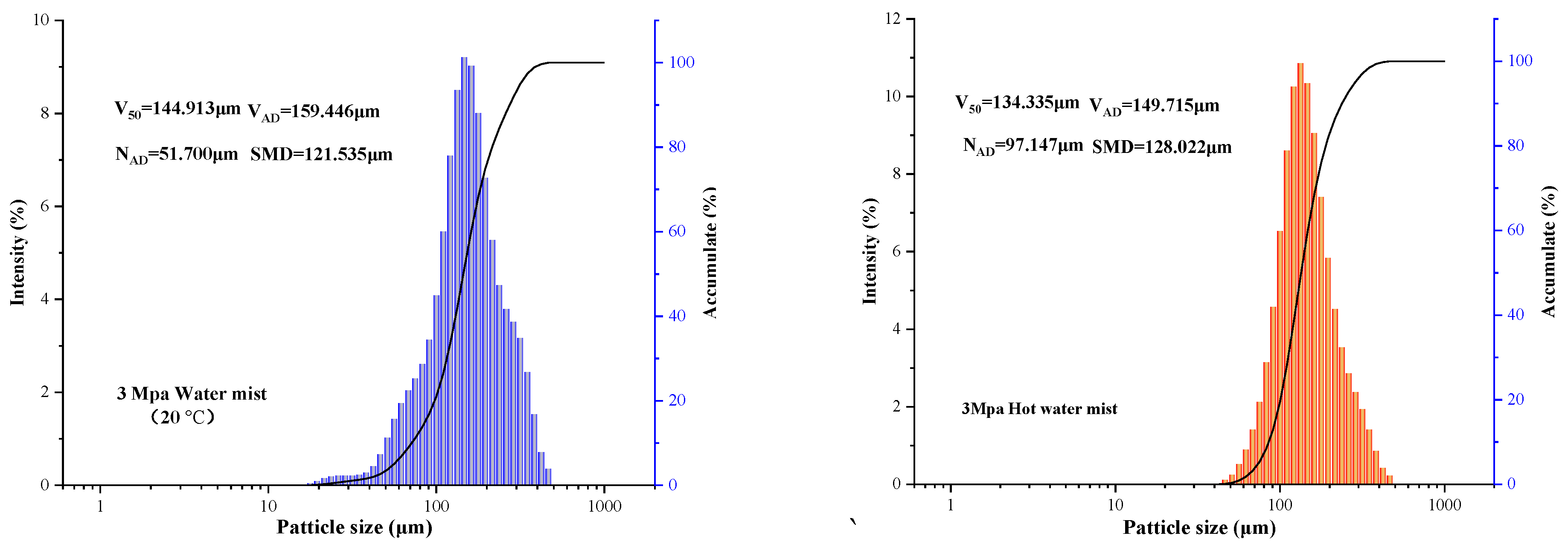
The American Fire Protection Association has defined three pressure zones for the fine water mist production technology: low pressure (0–1.21 MPa), medium pressure (1.21–3.5 MPa), and high pressure (>3.5 MPa). The particle size distribution was measured by using the LSP-800 laser particle size analyzer at 1 MPa, 3 MPa, and 9 MPa, respectively. The R-R distribution map measurements are shown in Figure 2, Figure 3, Figure 4 and Figure 5. Overall, the average volume diameter (VAD), the average mass diameter (NAD), and Sauter average diameter (SMD) of 80 °C water mist are smaller than 20 °C water mist [16]. The particle size distribution of 80 °C water mist is relatively concentrated, while that of 20 °C water mist is more dispersed. Table 1 shows that the particle size of water mist at the same temperature decreases with the increase of pressure. The maximum volume average diameter of water mist is 20 °C under 1 MPa, and the value is 173 μm. The minimum volume average diameter of water mist is 80 °C under 9 MPa, and the value is 105 μm [17].

2.2.3. Water Flux Density Distribution

A bucket experiment was carried out to fully show the characteristics of water mist in the investigation and more intuitively see the adequate water acting on the fire source [18]. As shown in Figure 5, the nozzle is placed 2.4 m away from the ground. Below the nozzle are 64 cubic barrels with a side length of 0.2 m. The barrels are made of acrylic, with a depth of 0.2 m. The average water flux density in each barrel is calculated by the following Equation (2):
Q = V t · A 0
where Q (in L/min/m2) is the average bucket density in each bucket; V (in L) is the volume of water collected in the bucket; A0 (in m2) is the bucket collection area (A0 = 0.2 × 0.2 = 0.04 m2); t (in min) is the collection time.
Since water splashes into the enclosed space outside the barrel and on the glass, an error of 5–8% can be allowed [19]. As seen in Figure 5c,d, hot water is more effective than cold water in the oil pan. In addition, temperature changes the movement mode of water mist molecules, improving hot water fire extinguishing.

2.3. Experimental Procedure

In the fire extinguishing experiment, the primary fuels were diesel oil and n-heptane. Four kinds of water with temperatures of 20, 40, 60, and 80 °C were used and the water was subject to heat preservation treatment. We added 300 g diesel or 300 g n-heptane to the oil pan, then diesel fuel with a bit of methanol was ignited [20]. To stabilize the flame state, n-heptane fire and diesel oil were pre-ignited for 30 s and 60 s, respectively, then we adjusted the pressure to open the water mist switch. We applied water mist until the flame was extinguished and recorded the extinguishing time. Successful fire suppression is defined as within 60 s after the fire is out, if not recurrent, and there is oil in the plate. Then, the nozzle pressure, fuel, and water mist temperature were changed and the above steps were repeated [21].

2.4. Summary of Working Condition Setting

Based on the above experimental platform and program, 19 comprehensive tests were carried out. All working conditions are listed in Table 2. In addition, the fire extinguishing time of each fuel at various pressures and temperatures was established.

3. Results and Discussion

3.1. Analysis of the Experiment Results of Fire Extinguishing Time

According to the fire extinguishing time of the diesel pool fire and n-heptane pool fire under 20 °C water mist, the fire extinguishing effect of medium-pressure water mist is better than the high-pressure and low-pressure water mist. Therefore, the experimental results are consistent with a previous study that found that medium-pressure water mist is more appropriate for class B fires and low-pressure water mist is unsuitable for oil pool fires.
For the water mist at 80 °C, there is no obvious advantage to diesel pool fire; even the fire extinguishing effect is not as good as cold water mist. However, when putting out the fire in the n-heptane tank, the fire extinguishing effect of hot water mist is better than that of cold water mist. Under the pressure of 9 MPa, the fire extinguishing time is more than 40 s earlier, and the fire extinguishing efficiency is several times that of the cold water mist.
Due to the significant effect of the water mist temperature on the n-heptane fire, the middle 40 and 60 °C were also explored and then integrated. Figure 6 shows the extinguishing time of n-heptane fire at different temperatures. It can be seen that the water mist at 40 °C has the shortest extinguishing time under 1 MPa pressure. Under the pressure of 3 MPa, the extinguishing time of 60 °C water mist is the shortest, and the extinguishing time is 28 s. Under the pressure of 9 MPa, the extinguishing time of 80 °C water mist is the shortest, and the extinguishing time is 10 s. Considering the limitations of the low-pressure fire extinguishing system, the comprehensive analysis of the medium- and high-pressure results shows that the temperature with the short overall fire extinguishing time and the highest fire extinguishing efficiency is 80 °C.
The fire extinguishing mechanism of pure cold water mist mainly includes gas-phase cooling, attenuation of heat radiation, surface cooling, and oxygen isolation [22]. The fire extinguishing mechanism of hot water and fine water mist is different. When the cooling action is carried out, in other words, the heat absorbed by the water during gasification is much greater than when the water temperature rises. For example, the heat required for 1 kg of water to increase from 20 to 100 °C is 80 kcal, while the heat required for 1 kg to be gasified at 100 °C is 539 kcal. Therefore, the temperature gap leads hot water mist to vaporize faster in fire extinguishing experiments and requires a large amount of heat during gasification, resulting in a faster drop in the fire temperature. The cold water mist does not reach the saturation temperature, and no phase change is happening. When the asphyxiation is performed, the hot water reaching the boiling point is continuously vaporized and heated into a large amount of water vapor. Therefore, it reaches the steam extinguishing concentration locally in the fire area. When the concentration of the fire area drops to a specific limit, the flame will be extinguished [23]. Therefore, in this experiment, a large amount of water vapor formed by hot water mist gasification occupies a particular area, locally reducing the oxygen concentration and providing conditions for fire extinguishing.

3.2. Analysis of the Changes in the Flame Temperature

Each figure is divided into four stages: a, b, c, and d. Stage a is the ambient temperature before ignition; b is the temperature change of oil pool free combustion after ignition; c is the water mist fire extinguishing stage; d is the stage of free cooling to room temperature.
In Figure 7, this study selected the water mist temperature curve with a good fire extinguishing effect of 3 MPa, including diesel and n-heptane fires. For the diesel pool fire, the violent burning in the free combustion stage and the air roll suction effect are particularly obvious. After applying water mist, it quickly interacts with flame and fuel. However, in the early stage of applying water mist, the flame size and temperature have slightly improved. When fine water mist interacts with pool fires, both mechanisms that promote combustion and inhibit combustion work simultaneously. In some incomplete combustion of the pool fires, the influence of fine water mist can aggravate the combustion process [24]. With the incessant release of water mist, the flame size and temperature decreased significantly, and the flame is completely suppressed and goes out at 35 s. For the n-heptane fire, the initial flame combustion is stable and increased by the temperature. When water mist is applied, the flame temperature gradually decreases until the flame disappears and completely extinguishes at 42 s.
Figure 8 shows the flame temperature curve of the hot water mist to extinguish the n-heptane fire under high and medium pressure conditions. Under the pressure of 3 MPa and 9 MPa, the initial flame state is stable, and the temperature keeps rising. After the fine water mist is applied, the flame temperature decreases rapidly. When the flame is extinguished, the fine water mist is stopped, and then the temperature decreases to the end of the room temperature experiment. The fire extinguishing time is 30 s under the pressure of 3 MPa and 10 s under the pressure of 9 MPa. The fire extinguishing efficiency of high-pressure hot water mist is better than that of medium-pressure hot water mist and is far better than that of cold water mist.
With the increase of pressure, the initial combustion promoting stage of hot water mist will disappear. When the hot water mist acts on the flame and fuel, it absorbs more heat than the cold water mist. The cooling effect is noticeable, and the fire extinguishing efficiency is greatly improved. When the hot water mist acts on fire, it will be vaporized to form steam after reaching the boiling point, expelling oxygen and forming a local anoxic state. The asphyxiation effect is noticeable [25]. In addition, the droplet size of hot water mist is smaller than that of cold water, and the smaller the surface area of water mist droplets, the easier it is for them to interact with the flame, so the fire extinguishing performance of hot water mist is much better than that of cold water mist. The experimental results and temperature curves also reveal that the fire extinguishing effect of hot water mist at high pressure is more significant than that at medium pressure. The atomization effect of high-pressure water mist is more obvious, which can make the water mist fill the entire fire extinguishing space. This makes the impact of water mist on the fire source more effective and has a stronger ability to reduce heat radiation [26]. To sum up, the hot water mist has the best fire extinguishing effect and the fastest fire extinguishing time under the pressure of 9 MPa, which improves safety.

3.3. Comparison of the Volume Fraction Change of the Flue Gas Fraction

Figure 9 and Figure 10 respectively show the change of flue gas composition of diesel and n-heptane fires extinguished by hot and cold water mist measured by the flue gas analyzer under the pressure of 3 and 9 MPa. At the beginning of combustion, because n-heptane has a higher combustion calorific value than diesel, it needs to consume more O2, and complete combustion will produce more CO2 accordingly. Therefore, the volume fraction of each flue gas component of n-heptane fire changes more obviously and faster than that of diesel fire. We started spraying after 30 s of n-heptane and 60 s of diesel combustion. The space temperature of n-heptane pool fire is higher than that of diesel pool fire, so the rate of water mist entering and evaporating with the flame is faster, resulting in insufficient oxygen supply and easier flame extinction. However, the diesel pool fire is more complex and has a higher boiling point, which makes it easier to carry out incomplete combustion and produces more CO [27]. After the flame is extinguished, we closed the water mist generator, and the flue gas test was completed when each flue gas component drops to normal.
The longitudinal comparison (Figure 9) shows that the pressure acting on the n-heptane fire of 9 MPa consumes more oxygen than 3 MPa. As a result, less CO is produced, so the fire extinguishing effect is better under the pressure of 9 MPa. Although the CO produced by diesel fire under 3 MPa pressure is relatively small, the rate of oxygen reduction is not as apparent as 9 MPa, so the fire extinguishing effect of hot water mist under 3 MPa pressure on diesel fire is not obvious. Figure 10 shows that the change rate of O2 volume fraction of cold water mist on n-heptane and diesel fires at 3 MPa is faster than that at 9 MPa because the CO produced is also less. Therefore, the cold water mist under 3 MPa pressure can control the fire more, and the fire extinguishing time is also shorter [28].
Comparing all working conditions in Figure 9 and Figure 10, the n-heptane pool fire under hot water mist is easier to vaporize and form water vapor when it acts with the flame, consuming oxygen. In addition, the water vapor eliminates part of the oxygen to form local anoxia, resulting in a faster change rate of O2 than that of cold water. Therefore, the fire extinguishing efficiency of hot water mist is superior. On the other hand, when the cold water mist acts on the diesel pool fire, the production of CO decreases, and the change rate of O2 accelerates [29]. Furthermore, the boiling point of the diesel fire is also very high, so the cold water mist fire extinguishing efficiency is dominant. That is to say, cold water mist is more effective for diesel fire, and hot water mist is more effective for n-heptane fire.

3.4. Flame Status Analysis

Figure 11a,b show the flame diagram before water mist is applied; Figure 11c,d show the flame diagram when the cold and hot water mist extinguishes the fire for 3 s; and Figure 11e,f show the flame diagram when the cold and hot water mist extinguishes the fire for 8 s. When the water mist is applied, it has a combustion-supporting effect, and the flame keeps jumping and rolling [30]. The fire size and height of hot water mist fire extinguishing are relatively small at the beginning and near the end of the fire. The lower surface tension of hot water than that of cold water occurs since the temperature of cold water is low, the activity of water molecules is poor, and the ability to overcome intermolecular attraction is weak, while hot water molecules have good activity and strong ability to overcome intermolecular attraction. Surface tension is the intermolecular attraction and the weaker the ability to overcome the intermolecular attraction, the greater the surface tension, so the surface tension of hot water is small. When the water mist is applied, the hot water is more likely to form a wrapping system, which hinders the interaction between the oil pool and the oxygen, and the flame size and temperature are greatly reduced until it is extinguished [31].

4. Conclusions

Through the experimental study of inhibiting confined space n-heptane and diesel fires, the following conclusions are drawn:
(1) Medium- and high-pressure water mist is better than low-pressure water mist in extinguishing oil pool fires, but for hot water mist this is not the case.
(2) N-heptane pool fire has the best fire extinguishing effect under the pressure of hot water mist of 9 MPa, which is better than medium pressure hot water mist and much better than cold water mist, but the effect on diesel fire is not significant.
(3) When water mist acts on n-heptane flame, the fire extinguishing effect is susceptible to temperature. The higher the water mist temperature, the better the fire extinguishing effect.
(4) The particle size of high-temperature fine water mist is generally less than that of cold water fine water mist, and the fire extinguishing effect is the best when the particle size of 80 °C fine water mist under 9 MPa pressure is 105.4 μm.
(5) The hot water mist distributes water more effectively on the fire source than the cold water mist, and the water flux density distribution on the fire source is also higher. Therefore, the hot water mist saves more water and has higher fire extinguishing efficiency.
(6) The fire extinguishing mechanism of hot water is more optimized for cooling and suffocation than cold water. When cooling, the heat absorbed by hot water is much larger than when the water temperature rises, resulting in a faster reduction in the fire-fighting temperature; when suffocating, the hot water reaching the boiling point is continuously evaporated and heated into a large amount of water vapor. As a result, it eliminates the surrounding oxygen and forms local hypoxia. This causes the flame to have no combustion conditions and eventually go out.

Author Contributions

Conceptualization, T.L.; methodology, Y.T. and A.-C.H.; validation, Y.-C.L. and X.-Y.Y.; formal analysis, T.L.; resources, Y.-J.L.; writing—original draft preparation, T.L.; writing—review and editing, Y.T. and A.-C.H.; project administration, X.-L.D.; funding acquisition, X.-L.D. All authors have read and agreed to the published version of the manuscript.

Funding

This work was supported by the Science and Technology Plan Project of Fire Rescue Bureau of Emergency Management Department (grant number 2021XFCX18).

Institutional Review Board Statement

Not applicable.

Informed Consent Statement

Not applicable.

Conflicts of Interest

The authors declare no conflict of interest.

References

  1. Liu, Y.; Wang, X.; Liu, T.; Ma, J.; Li, G.; Zhao, Z. Preliminary study on extinguishing shielded fire with water mist. Process Saf. Environ. Prot. 2020, 141, 344–354. [Google Scholar] [CrossRef]
  2. Xie, X.; Xiong, Y.; Xie, W.; Li, J.Y.; Zhang, W. Quantitative Risk Analysis of Oil and Gas Fires and Explosions for FPSO Systems in China. Processes 2022, 10, 902. [Google Scholar] [CrossRef]
  3. Cui, Y.; Liu, J. Research progress of water mist fire extinguishing technology and its application in battery fires. Process Saf. Environ. Prot. 2021, 149, 559–574. [Google Scholar] [CrossRef]
  4. Baranovskiy, N.V.; Kirienko, V.A. Forest Fuel Drying, Pyrolysis and Ignition Processes during Forest Fire: A Review. Processes 2022, 10, 89. [Google Scholar] [CrossRef]
  5. Liu, Y.; Fu, Z.; Zheng, G.; Chen, P. Study on the effect of mist flux on water mist fire extinguishing. Fire Saf. J. 2022, 130, 103601. [Google Scholar] [CrossRef]
  6. Dasgotra, A.; Rangarajan, G.; Tauseef, S.M. CFD-based study and analysis on the effectiveness of water mist in interacting pool fire suppression. Process Saf. Environ. Prot. 2021, 152, 614–629. [Google Scholar] [CrossRef]
  7. Xiaomeng, Z.; Guangxuan, L.; Bo, C. Improvement of water mist’s fire-extinguishing efficiency with MC additive. Fire Saf. J. 2006, 41, 39–45. [Google Scholar] [CrossRef]
  8. Liu, W.-Y.; Chen, C.-H.; Shu, Y.L.; Chen, W.-T.; Shu, C.-M. Fire suppression performance of water mist under diverse desmoking and ventilation conditions. Process Saf. Environ. Prot. 2020, 133, 230–242. [Google Scholar] [CrossRef]
  9. Chelliah, H.K. Flame inhibition/suppression by water mist: Droplet size/surface area, flame structure, and flow residence time effects. Proc. Combust. Inst. 2007, 31, 2711–2719. [Google Scholar] [CrossRef]
  10. Yao, B.; Fan, W.; Liao, G. Interaction of water mists with a diffusion flame in a confined space. Fire Saf. J. 1999, 33, 129–139. [Google Scholar] [CrossRef]
  11. Chen, Q.; Jiang, J.; Wu, F.; Zou, M.-Y. Performance Evaluation of Water Mist with Mixed Surfactant Additives based on Absorption Property. Procedia Eng. 2018, 211, 85–93. [Google Scholar] [CrossRef]
  12. Yinshui, L.; Zhuo, J.; Dan, W.; Xiaohui, L. Experimental research on the water mist fire suppression performance in an enclosed space by changing the characteristics of nozzles. Exp. Therm. Fluid Sci. 2014, 52, 174–181. [Google Scholar] [CrossRef]
  13. Tiwari, S.S.; Bale, S.; Das, D.; Tripathi, A.; Tripathi, A.; Mishra, P.K.; Ekielski, A.; Suresh, S. Numerical Simulations of a Postulated Methanol Pool Fire Scenario in a Ventilated Enclosure Using a Coupled FVM-FEM Approach. Processes 2022, 10, 918. [Google Scholar] [CrossRef]
  14. Zhou, Y.; Bu, R.; Zhang, X.; Fan, C.; Gong, J. Performance evaluation of water mist fire suppression: A clean and sustainable fire-fighting technique in mechanically-ventilated place. J. Clean. Prod. 2019, 209, 1319–1331. [Google Scholar] [CrossRef]
  15. Yang, P.; Liu, T.; Qin, X. Experimental and numerical study on water mist suppression system on room fire. Build. Environ. 2010, 45, 2309–2316. [Google Scholar] [CrossRef]
  16. Shrigondekar, H.; Chowdhury, A.; Prabhu, S.V. Characterization of a simplex water mist nozzle and its performance in extinguishing liquid pool fire. Exp. Therm. Fluid Sci. 2018, 93, 441–455. [Google Scholar] [CrossRef]
  17. Chang, J.-C.; Lin, C.-M.; Huang, S.-L. Experimental study on the extinction of liquid pool fire by water droplet streams and sprays. Fire Saf. J. 2007, 42, 295–309. [Google Scholar] [CrossRef]
  18. Liu, J.-Y.; Zhu, D.-M.; Zhao, Z.; Liang, D. Experimental Study on Ultra-Fine Water Mist Extinguishing Heptane Cup Fire in Confined Space. Procedia Eng. 2013, 52, 225–229. [Google Scholar] [CrossRef] [Green Version]
  19. Liu, Y.; Beji, T.; Thielens, M.; Tang, Z.; Fang, Z.; Merci, B. Numerical analysis of a water mist spray: The importance of various numerical and physical parameters, including the drag force. Fire Saf. J. 2021, 127, 103515. [Google Scholar] [CrossRef]
  20. Gupta, M.; Pasi, A.; Ray, A.; Kale, S. An experimental study of the effects of water mist characteristics on pool fire suppression. Exp. Therm. Fluid Sci. 2013, 44, 768–778. [Google Scholar] [CrossRef]
  21. Kim, M.; Jang, Y.J.; Yoon, M.O. Extinction limit of a pool fire with a water mist. Fire Saf. J. 1997, 28, 295–306. [Google Scholar] [CrossRef]
  22. Liang, T.; Mengjie, L.; Liu, Z.-L.; Zhong, W.; Xiao, X.-K.; Lo, S. A study of the probability distribution of pool fire extinguishing times using water mist. Process Saf. Environ. Prot. 2015, 93, 240–248. [Google Scholar] [CrossRef]
  23. Stewart, J.R.; Phylaktou, H.N.; Andrews, G.E.; Burns, A.D. Evaluation of CFD simulations of transient pool fire burning rates. J. Loss Prev. Process Ind. 2021, 71, 104495. [Google Scholar] [CrossRef]
  24. Sun, R.-S.; Yang, X.; Wang, J.; Chen, P.; Wu, L. Experimental Study on Axial Temperature Profile of Jet Fire of Oil-Filled Equipment in Substation. Processes 2021, 9, 1460. [Google Scholar] [CrossRef]
  25. Chen, F.; Dong, X.; Tang, Y.; Huang, A.-C.; Zhang, M.; Kang, Q.; Shu, Z.-J.; Xing, Z. Thermal Characteristic Analysis of Sodium in Diluted Oxygen via Thermogravimetric Approach. Processes 2022, 10, 704. [Google Scholar] [CrossRef]
  26. Yao, Y.; Li, Y.Z.; Ingason, H.; Cheng, X.; Zhang, H. Theoretical and numerical study on influence of wind on mass loss rates of heptane pool fires at different scales. Fire Saf. J. 2020, 120, 103048. [Google Scholar] [CrossRef]
  27. Xu, Z.-s.; Guo, X.; Yan, L.; Kang, W. Fire-extinguishing performance and mechanism of aqueous film-forming foam in diesel pool fire. Case Stud. Therm. Eng. 2020, 17, 100578. [Google Scholar] [CrossRef]
  28. Yao, Y.; Li, Y.Z.; Ingason, H.; Cheng, X. Scale effect of mass loss rates for pool fires in an open environment and in tunnels with wind. Fire Saf. J. 2019, 150, 41–50. [Google Scholar] [CrossRef]
  29. Jenft, A.; Collin, A.; Boulet, P.; Pianet, G.; Breton, A.; Muller, A. Experimental and numerical study of pool fire suppression using water mist. Fire Saf. J. 2014, 67, 1–12. [Google Scholar] [CrossRef]
  30. Pei, B.; Zhu, Z.; Yang, S.; Wei, S.; Pan, R.-K.; Yu, M.; Chen, L. Evaluation of the suppression effect on the flame intensification of ethanol fire by N2 twin-fluid water mist containing KQ compound additive. Process Saf. Environ. Prot. 2021, 149, 289–298. [Google Scholar] [CrossRef]
  31. Jeong, C.S.; Lee, C.Y. Experimental investigation on spray characteristics of twin-fluid nozzle for water mist and its heptane pool fire extinguishing performance. Process Saf. Environ. Prot. 2021, 148, 724–736. [Google Scholar] [CrossRef]
Figure 1. Diagram of the experimental system.
Figure 1. Diagram of the experimental system.
Processes 10 01549 g001
Figure 2. Particle size distribution of 20 °C and 80 °C water mist at 1 MPa.
Figure 2. Particle size distribution of 20 °C and 80 °C water mist at 1 MPa.
Processes 10 01549 g002
Figure 3. Particle size distribution of 20 °C and 80 °C water mist at 3 MPa.
Figure 3. Particle size distribution of 20 °C and 80 °C water mist at 3 MPa.
Processes 10 01549 g003
Figure 4. Particle size distribution of 20 °C and 80 °C water mist at 9 MPa.
Figure 4. Particle size distribution of 20 °C and 80 °C water mist at 9 MPa.
Processes 10 01549 g004
Figure 5. The measured front view (a) and top view (b), and the measured water flux density distribution of hot (c) and cold water (d).
Figure 5. The measured front view (a) and top view (b), and the measured water flux density distribution of hot (c) and cold water (d).
Processes 10 01549 g005aProcesses 10 01549 g005b
Figure 6. Extinguishing time of n-heptane pool fire by water mist at various temperatures.
Figure 6. Extinguishing time of n-heptane pool fire by water mist at various temperatures.
Processes 10 01549 g006
Figure 7. Temperature curve of flame thermocouple under test conditions 2 and 8.
Figure 7. Temperature curve of flame thermocouple under test conditions 2 and 8.
Processes 10 01549 g007
Figure 8. Temperature curve of flame thermocouple under test conditions 17 and 18.
Figure 8. Temperature curve of flame thermocouple under test conditions 17 and 18.
Processes 10 01549 g008
Figure 9. Change diagram of flue gas composition of diesel and n-heptane under the action of hot water mist at 3 MPa and 9 MPa.
Figure 9. Change diagram of flue gas composition of diesel and n-heptane under the action of hot water mist at 3 MPa and 9 MPa.
Processes 10 01549 g009
Figure 10. Change diagram of flue gas composition of diesel and n-heptane under the action of cold water mist at 3 MPa and 9 MPa.
Figure 10. Change diagram of flue gas composition of diesel and n-heptane under the action of cold water mist at 3 MPa and 9 MPa.
Processes 10 01549 g010aProcesses 10 01549 g010b
Figure 11. Comparison of flames at different times under the action of hot and cold water mist.
Figure 11. Comparison of flames at different times under the action of hot and cold water mist.
Processes 10 01549 g011aProcesses 10 01549 g011b
Table 1. Particle size distribution of cold and hot water mist under various pressures.
Table 1. Particle size distribution of cold and hot water mist under various pressures.
Temperature/°CPressure/MPaVolume Average Diameter/μmMass Average Diameter/μmSauter Average Diameter/μm
20 °C1173.15460.363132.789
3159.44651.700121.535
9113.67127.30780.220
80 °C1163.722114.361141.592
3149.71597.147128.022
9105.40124.60471.494
Table 2. Extinguishing time of diesel and n-heptane fires with cold and hot water mist under different pressures.
Table 2. Extinguishing time of diesel and n-heptane fires with cold and hot water mist under different pressures.
Condition No.Fire Extinguishing SpeciesPressure/MPaWater Mist Temperature/°CPrecombustion Time/sFire Extinguishing Time/s
1diesel oil1206042
2335
3936
418090
53110
6970
7Heptane1203065
8342
9954
1014042
11331
12917
1316055
14328
15914
1618059
17330
18910
19Free burning90
Publisher’s Note: MDPI stays neutral with regard to jurisdictional claims in published maps and institutional affiliations.

Share and Cite

MDPI and ACS Style

Liu, T.; Yin, X.-Y.; Liu, Y.-C.; Tang, Y.; Huang, A.-C.; Dong, X.-L.; Liu, Y.-J. Influence of Water Mist Temperature Approach on Fire Extinguishing Effect of Different Pool Fires. Processes 2022, 10, 1549. https://doi.org/10.3390/pr10081549

AMA Style

Liu T, Yin X-Y, Liu Y-C, Tang Y, Huang A-C, Dong X-L, Liu Y-J. Influence of Water Mist Temperature Approach on Fire Extinguishing Effect of Different Pool Fires. Processes. 2022; 10(8):1549. https://doi.org/10.3390/pr10081549

Chicago/Turabian Style

Liu, Tao, Xiao-Yu Yin, Ye-Cheng Liu, Yan Tang, An-Chi Huang, Xi-Lin Dong, and Yuan-Jun Liu. 2022. "Influence of Water Mist Temperature Approach on Fire Extinguishing Effect of Different Pool Fires" Processes 10, no. 8: 1549. https://doi.org/10.3390/pr10081549

APA Style

Liu, T., Yin, X.-Y., Liu, Y.-C., Tang, Y., Huang, A.-C., Dong, X.-L., & Liu, Y.-J. (2022). Influence of Water Mist Temperature Approach on Fire Extinguishing Effect of Different Pool Fires. Processes, 10(8), 1549. https://doi.org/10.3390/pr10081549

Note that from the first issue of 2016, this journal uses article numbers instead of page numbers. See further details here.

Article Metrics

Back to TopTop