Flow Characteristics Study of High-Parameter Multi-Stage Sleeve Control Valve
Abstract
:1. Introduction
2. Structure and Operation of Control Valves
3. Numerical Simulations
3.1. Basic Control Equations
3.2. Turbulence Model
3.3. Meshing of the Flow Channels
3.4. Setting the Boundary Conditions and Solver
4. Validation of the Numerical Model
4.1. Grid-Independence Verification
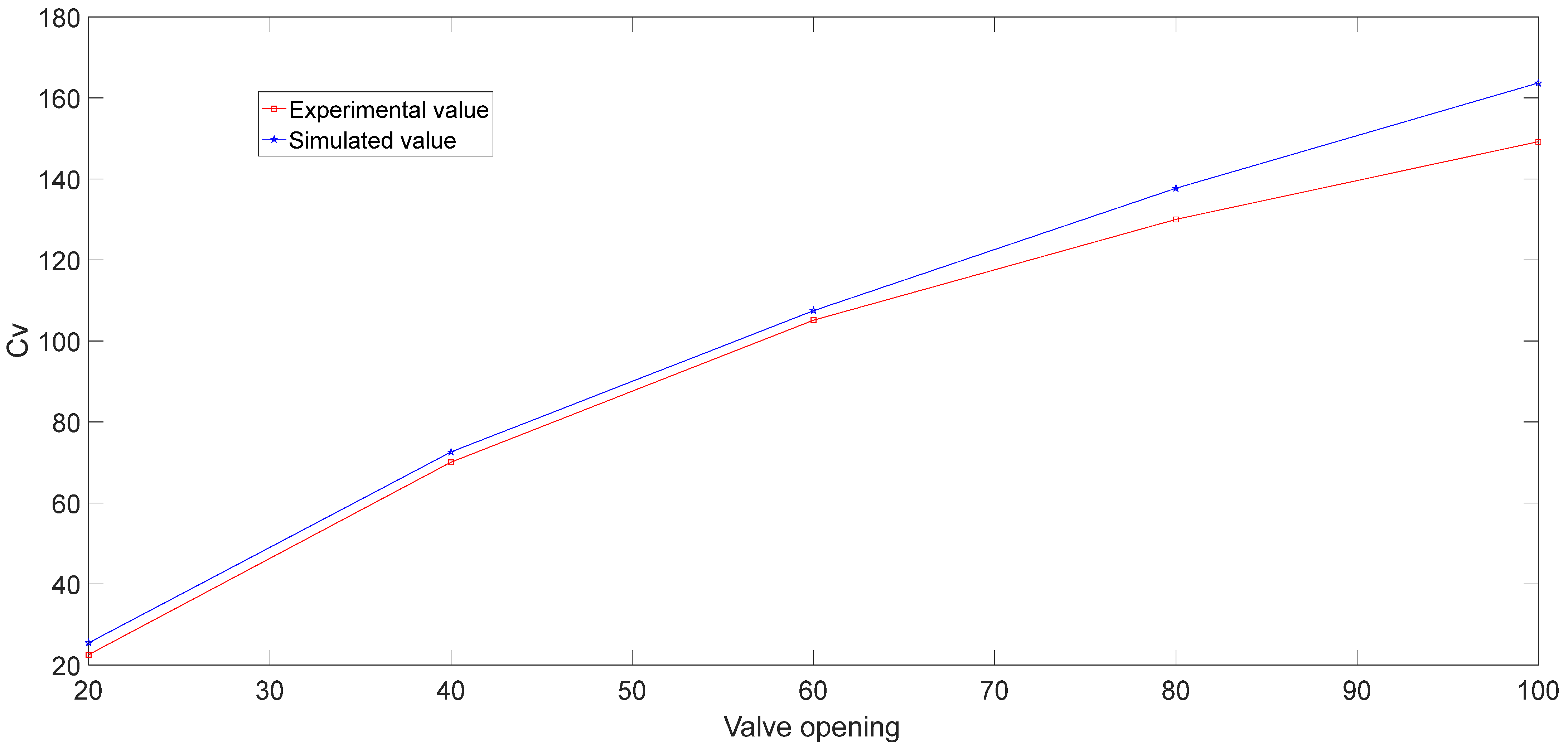
4.2. Calculation of the Flow Capacity of the Control Valve Numerical Model
4.3. Control Valve Flow Resistance Experiments
- Test the pipelines. The goal control valve is connected to the circuit; the pump is turned on; the pump inlet and outlet valves are opened; the inverter frequency is set and started; and the flow-metered front and rear valves and the test section front and rear valves are opened successively. The return valve is opened after opening the DN200 back-pressure valve at a specific angle. The presence of leaks in the pipeline is checked; if none exist, the test is complete.
- Set the differential pressure before and after the valve to the desired value. The backpressure valve is adjusted three times for each opening degree to manage the pressure difference before and after the test segment. The differential pressure of the test section is set at 80, 100, and 120 kPa, and Cv was measured three times to obtain the average result.
- End the experiment. The frequency converter frequency is adjusted to 0 Hz; the bypass control valve is opened a certain angle; and the back pressure control valve of the pipeline being tested is opened fully. The pump is stopped after power-off processing to stabilise the pipe, and the pipeline is tested under test pressure relief after closing all of the valves. Finally, the system and operating table are exited, and the system is powered off.
5. Internal Flow Characteristics of a High-Parameter Multi-Stage Sleeve Control Valve
5.1. Flow Characteristics of Fully Open Valves
5.1.1. Analysis of the Complete Opening Speed of a Valve
5.1.2. Analysis of Turbulent Kinetic Energy under Full Opening of the Valve
5.1.3. Analysis of the Full Opening Pressure of a Valve
5.2. Analysis of the Velocity Field with Varying Degrees of Opening
5.3. Analysis of the Pressure Field with Different Opening Degrees
5.4. Analysis of the Turbulent Kinetic Energy for Various Opening Degrees
6. Conclusions
- The velocity of each portion of the valve increases with the opening degree of the valve. The velocity at the sleeve throttle hole, on the other hand, is slightly different, with a higher opening in the middle and a lower opening on both sides.
- The pressure at each component of the valve increased as the opening degree increased, and the pressure drop effect in the first two layers of the sleeve intensifies.
- The extreme value of turbulence energy increases as the opening degree increases; the vortex range shrinks; and the extreme point of turbulence energy is located in the throttle hole at the top of the valve seat output direction.
Author Contributions
Funding
Institutional Review Board Statement
Informed Consent Statement
Data Availability Statement
Conflicts of Interest
References
- Ogawa, K. Effect of semicircular fins on noise reduction in butterfly valve cavitation under a biased velocity distribution condition. Proc. Int. Instrum. Symp. 2010, 482, 1–30. [Google Scholar]
- Youn, C.; Asano, S. Flow Characteristics of Pressure Reducing Valve with Radial Slit Structure for Low Noise. J. Vis. 2008, 11, 357–364. [Google Scholar] [CrossRef]
- Qian, J.Y.; Zhang, M. Mach number analysis on multi-stage perforated plates in high pressure reducing valve. Energy Convers. Manag. 2016, 119, 81–90. [Google Scholar] [CrossRef]
- Tu, S.; Wang, C. Study on flow-induced vibration of cage type control valve. Am. Inst. Phys. 2013, 1547, 131–135. [Google Scholar]
- Wang, Y.; Hu, J.H. Design and research of noise elimination and vibration reduction sleeve in control valve. Fluid Mach. 2013, 41, 19–22. [Google Scholar]
- Xu, X.G.; Wang, T.L. High temperature and high pressure drop multistage sleeve regulator noise suppression research. Autom. Instrum. 2016, 1, 4–6. [Google Scholar]
- Jin, Z.J.; Wei, L.; Chen, L.L.; Qian, J.Y.; Zhang, M. Numerical simulation and structure improvement of double throttling in a high parameter pressure reducing valve. J. Zhejiang Univ. Sci. A 2013, 14, 137–146. [Google Scholar] [CrossRef] [Green Version]
- Hou, C.W.; Qian, J.Y.; Chen, F.Q.; Jiang, W.K.; Jin, Z.J. Parametric analysis on throttling components of multi-stage high pressure reducing valve. Appl. Therm. Eng. 2018, 128, 1238–1248. [Google Scholar] [CrossRef]
- Jin, Z.J.; Chen, F.Q. Numerical analysis of flow and temperature characteristics in a high multi-stage pressure reducing valve for hydrogen refueling station. Int. J. Hydrogen Energy 2016, 41, 5559–5570. [Google Scholar] [CrossRef]
- Yu, J.M.; Gao, G.; Zhang, H. Analysis of the influence of sleeve structure on throttling characteristics of valves. Reneng. Dongli. Gongcheng. 2019, 34, 14–20. [Google Scholar]
- Rammohan, S.; Saseendran, S.; Kumaraswamy, S. Effect of multi jets on cavitation performance of globe valves. J. Fluid Sci. Technol. 2009, 4, 128–137. [Google Scholar] [CrossRef] [Green Version]
- Tang, Y.; Zheng, J.H. Analysis on flow characteristics of multi-stage control valve based on CFD. J. Chengdu Aeronaut. Vocat. Tech. Coll. 2016, 32, 56–58. [Google Scholar]
- Sreekala, S.K.; Thirumalini, S. Effect of cage configurations on flow characteristics of globe valves. World J. Eng. 2016, 13, 61–65. [Google Scholar]
- Kim, H.S. Analysis of Flow Characteristics and Effects of Turbulence Models for the Butterfly Valve. Appl. Sci. 2021, 11, 6319. [Google Scholar]
- Qiu, C.; Jiang, C.H.; Zhang, H. Pressure Drop and Cavitation Analysis on Sleeve Control Valve. Processes 2019, 7, 829. [Google Scholar] [CrossRef] [Green Version]
- Chern, M.J.; Hsu, P.H.; Cheng, Y.J. Numerical study on cavitation occurrence in globe valve. J. Energy Eng. 2013, 139, 25–34. [Google Scholar] [CrossRef]
- Yaghoubi, H.; Madani, S.A.H.; Alizadeh, M. Numerical study on cavitation in a globe control valve with different numbers of anti-cavitation trims. J. Cent. South Univ. 2018, 25, 2677–2687. [Google Scholar] [CrossRef]
- Huovinen, M.; Kolehmainen, J.; Koponen, P. Experimental and numerical study of a choke valve in a turbulent flow. Flow Meas. Instrum. 2015, 45, 151–161. [Google Scholar] [CrossRef]
- Beune, A.; Kuerten, J.G.M.; Schmidt, J. Numerical calculation and experimental validation of safety valve flows at pressures up to 600 bar. AIChE J. 2011, 57, 3285–3298. [Google Scholar] [CrossRef]
- Chattopadhyay, H.; Kundu, A.; Saha, B.K. Analysis of flow structure inside a spool type pressure control valve. Energy Convers. Manag. 2012, 53, 196–204. [Google Scholar] [CrossRef]
- Zhe, L.; Ma, C.; Xu, H. Numerical and experimental studies on hydrodynamic characteristics of sleeve control valves. Flow Meas. Instrum. 2017, 53, 279–285. [Google Scholar]
- Asim, T.; Mishra, R.; Oliveira, A. Effects of the geometrical features of flow paths on the flow capacity of a control valve trim. J. Pet. Sci. Eng. 2018, 172, 124–138. [Google Scholar] [CrossRef] [Green Version]
- Chern, M.J.; Wang, C.H.; Lu, G.T. Design of cages in globe valve. Proc. Inst. Mech. Eng. Part C 2015, 229, 476–484. [Google Scholar] [CrossRef]
- Pan, X.; Wang, G.; Lu, Z. Flow field simulation and a flow model of servo-valve spool valve orifice. Energy Convers. Manag. 2011, 52, 3249–3256. [Google Scholar] [CrossRef]
- Rafaqat, R.; Khan, A.A. MHD compressible fluid with variable thermal conductivity through a ciliated channel. Adv. Mech. Eng. 2021, 13, 16878140211010003. [Google Scholar] [CrossRef]
- Khan, A.A.; Rafaqat, R. Effects of radiation and MHD on compressible Jeffrey fluid with peristalsis. J. Therm. Anal. Calorim. 2021, 143, 2775–2787. [Google Scholar] [CrossRef]
- Launder, B.E.; Spalding, D.B. Lectures in Mathematical Models of Turbulence; Academic Press: New York, NY, USA, 1972; pp. 152–162. [Google Scholar]
- Hongwei, W. Fluid Mechanics as l Understand It, 2nd ed.; National Defense Industry Press: Beijing, China, 2019; pp. 88–99. [Google Scholar]
- Jiong, W.; Minghua, L. GB/T 17213.2–2017. Industrial Process Control Valves Part 2–1: Flow Capacity Formula for Calculating Fluid Flow under Installation Conditions; Shanghai Industrial Automation Instrumentation Research Institute: Shanghai, China, 2017. [Google Scholar]


















| Symbols | Description | Numerical Value |
|---|---|---|
| Inlet pressure | 9.8 MPa | |
| Outlet pressure | 3 MPa | |
| Numerical constants | 2.73 | |
| Specific heat ratio | 1.315 | |
| Specific heat ratio coefficient | 0.939 | |
| Differential pressure ratio coefficient | 0.68 | |
| Differential Pressure Ratio | 0.639 | |
| Blocking Differential Pressure Ratio | 0.639 | |
| The ratio of actual differential pressure to absolute pressure | 0.694 | |
| Y | Expansion Coefficient | 0.677 |
| Density | 28.1 | |
| Pipe geometry coefficient | 1 | |
| Mass flow rate | 35.17 |
Publisher’s Note: MDPI stays neutral with regard to jurisdictional claims in published maps and institutional affiliations. |
© 2022 by the authors. Licensee MDPI, Basel, Switzerland. This article is an open access article distributed under the terms and conditions of the Creative Commons Attribution (CC BY) license (https://creativecommons.org/licenses/by/4.0/).
Share and Cite
Sun, Y.; Wu, J.; Xu, J.; Bai, X. Flow Characteristics Study of High-Parameter Multi-Stage Sleeve Control Valve. Processes 2022, 10, 1504. https://doi.org/10.3390/pr10081504
Sun Y, Wu J, Xu J, Bai X. Flow Characteristics Study of High-Parameter Multi-Stage Sleeve Control Valve. Processes. 2022; 10(8):1504. https://doi.org/10.3390/pr10081504
Chicago/Turabian StyleSun, Yongguo, Jinghang Wu, Jiao Xu, and Xingyu Bai. 2022. "Flow Characteristics Study of High-Parameter Multi-Stage Sleeve Control Valve" Processes 10, no. 8: 1504. https://doi.org/10.3390/pr10081504
APA StyleSun, Y., Wu, J., Xu, J., & Bai, X. (2022). Flow Characteristics Study of High-Parameter Multi-Stage Sleeve Control Valve. Processes, 10(8), 1504. https://doi.org/10.3390/pr10081504
