Numerical Investigation of Natural Convection in an Open-Ended Square Channel with Two Suspending Heat Sources
Abstract
:1. Introduction
2. Model Formulation
2.1. Governing Equations and Boundary Conditions
2.2. Calculation Conditions
2.3. Numerical Procedure and Validation
3. Results and Discussions
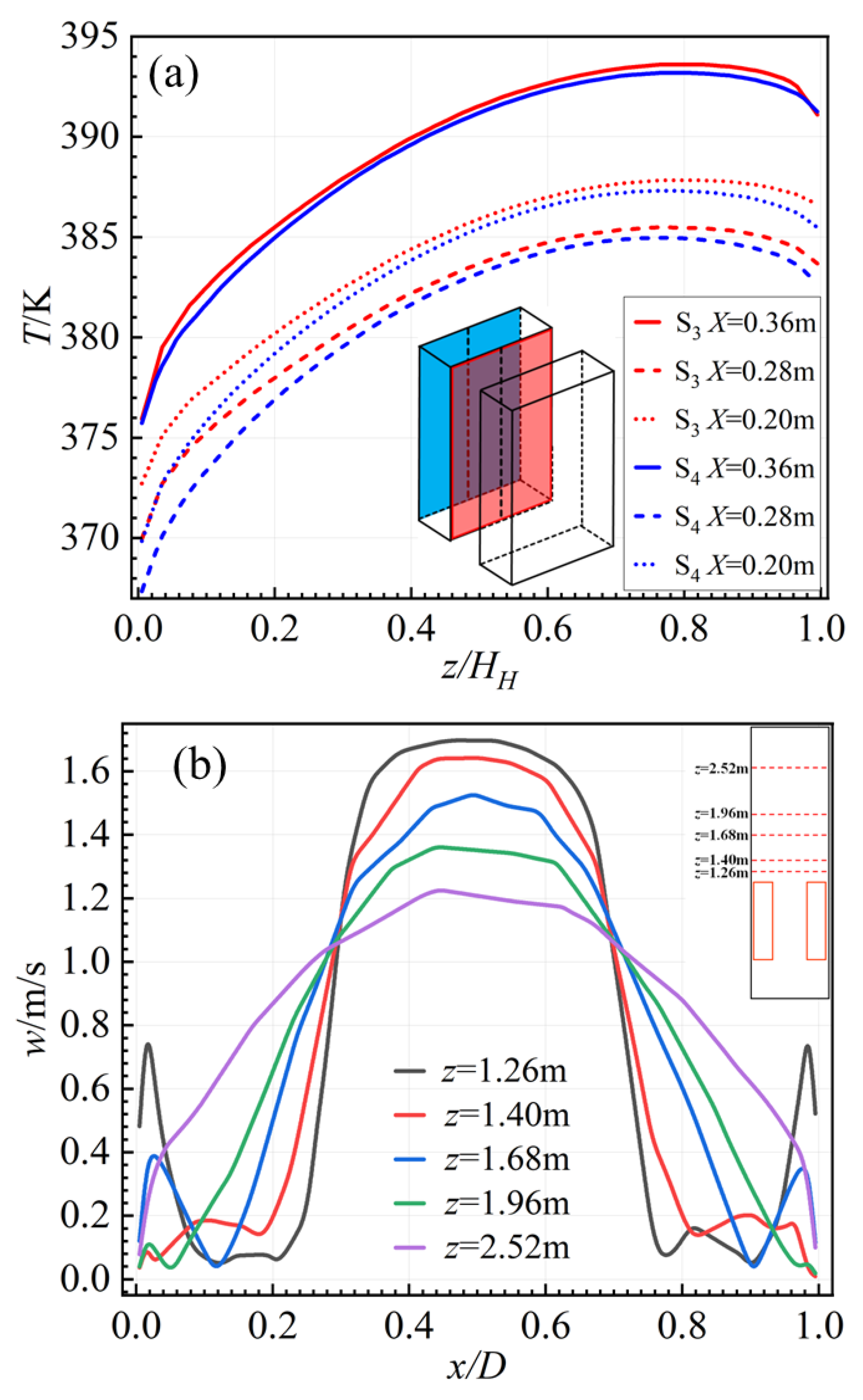
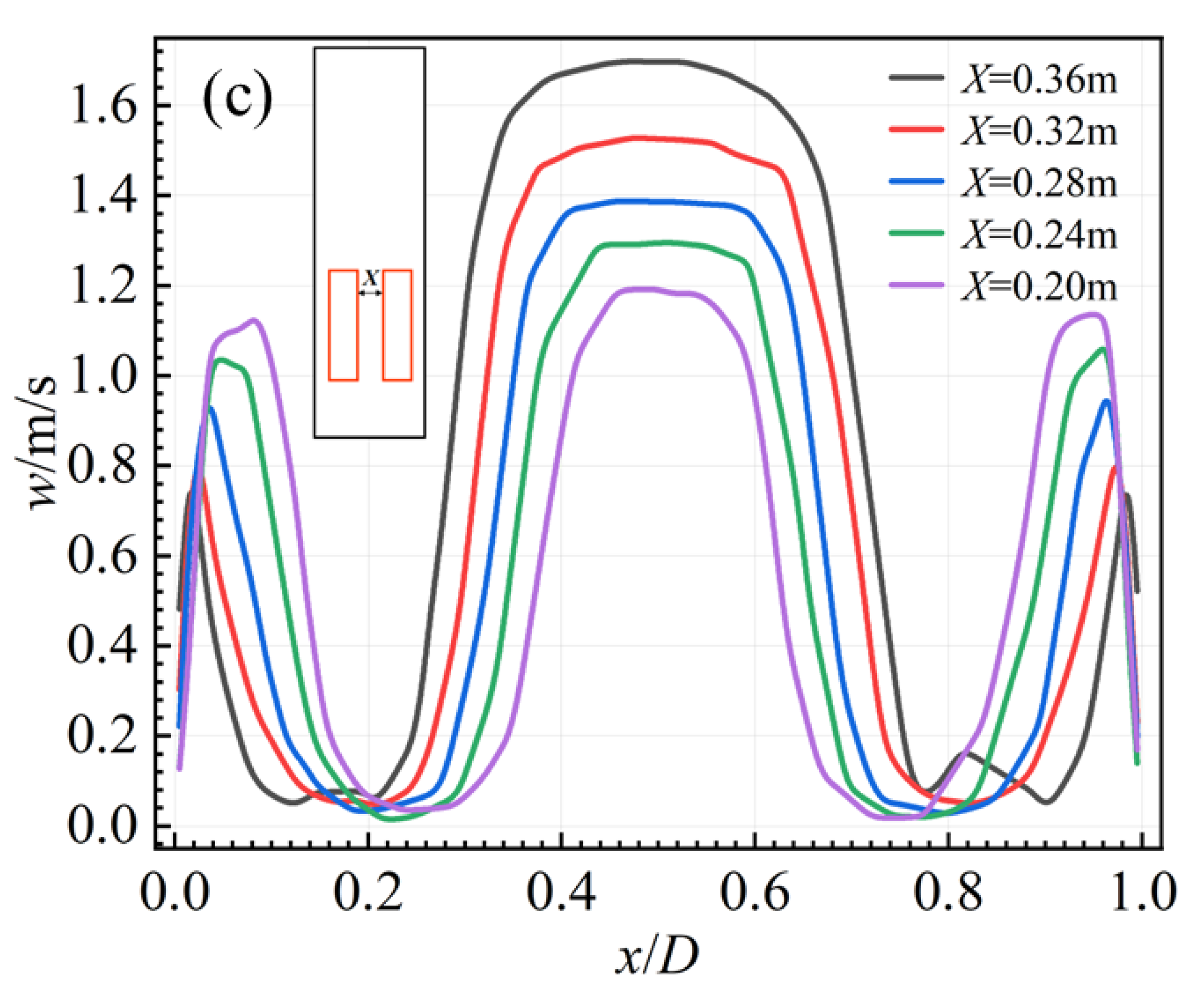
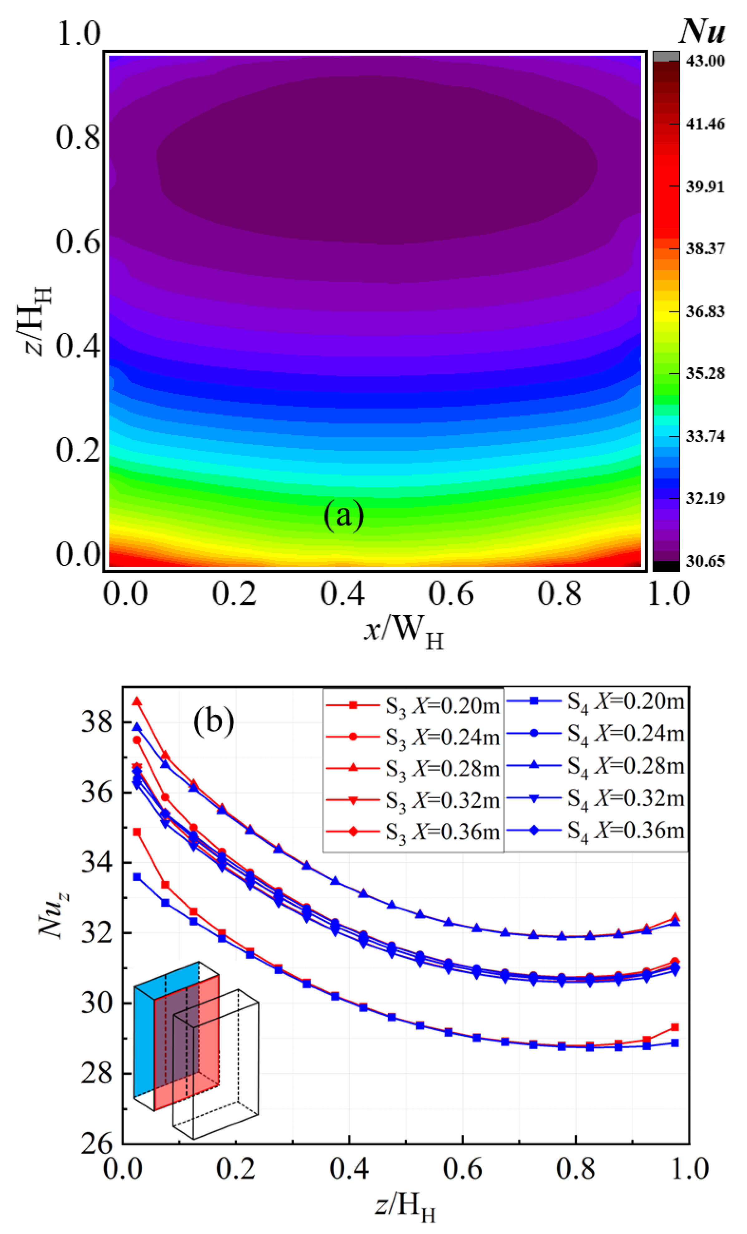
3.1. Effects of Horizontal Distance X
3.2. Effects of Vertical Altitude Difference L
4. Conclusions
- (1)
- The local temperature of the suspended heat sources increases first and then decreases with the increase of the vertical altitude difference. The average Nusselt number reaches its maximum value at the bottom surface and its minimum value at the top surface. These patterns of the local temperature and average surface Nusselt number are independent of the horizontal distance and vertical altitude difference of the suspending heat sources.
- (2)
- As the horizontal distance increases, the maximum surface temperature increases from 388 K to 397 K, the air temperature around the top surfaces of the heat sources also increases to the maximum value of 0.36 m. The local Nusselt number at the side walls of the heat sources increases and then decreases, with a maximum value of 0.28 m and a minimum value of 0.36 m. In addition, the average maximum value of 33.5 and the difference between the average maximum value and the average minimum value remain at 6. In addition, the maximum vertical airflow velocity in the center increases from 2.03 m/s to 2.54 m/s, while the vertical airflow velocity near the channel walls decreases and the size of low-speed vortices over the top surfaces of the heat sources expands. The change in airflow velocity directly affects the heat dissipation and thus determines the temperature distribution. The layout with the best heat dissipation effect has a horizontal distance of 0.28 m.
- (3)
- As the vertical altitude difference increases, the surface temperature of the left heat source decreases while that of the right heat source increases, resulting in an increasing temperature difference from 0 K to 54 K between the two heat sources. In addition, the maximum vertical velocity around the right heat source is reduced by half, and the maximum vertical velocity around the left heat source is increased by a factor of 7. The change in the airflow velocity results in the slight fluctuation of the Nusselt number of the left heat source, together with the decreasing of the Nusselt number of the right heat source, and the minimum value is only 20. The increase in vertical altitude difference enhances the heat dissipation ability of one heat source and weakens the heat dissipation ability of the other heat source. To ensure the best heat dissipation of both heat sources, the best layout of vertical altitude difference is 0. It should be pointed out that the optimal arrangement of more suspended heat sources in a limited space open-ended channel is the future challenge in passive heat dissipation cooling technologies.
Author Contributions
Funding
Institutional Review Board Statement
Informed Consent Statement
Data Availability Statement
Acknowledgments
Conflicts of Interest
Nomenclature
| A | vertical distance from the bottom of the right heat source to the inlet (m) |
| cp | specific heat capacity (J/kg K) |
| D | depth of the vertical open-ended square channel (m) |
| DH | depth of heat source (m) |
| g | acceleration due to gravity (m/s2) |
| hz | local convection heat transfer coefficient (W/m2 K) |
| H | height of the vertical open-ended square channel (m) |
| HH | height of heat source (m) |
| k | thermal conductivity (W/m K) |
| L | distance between two heat sources bottom surface (m) |
| Lz | length of heat source in z-direction (m) |
| Ls | feature length of selected surfaces (m) |
| Nu | Nusselt number |
| Nuz | local Nusselt number |
| p | pressure (Pa) |
| patm | atmospheric pressure (Pa) |
| P | thermal power (W) |
| P0 | thermal power of heat source (W) |
| Ps | thermal power of selected surfaces (W) |
| T | temperature (K) |
| Tw | average temperature of one surface (K) |
| T∞ | ambient temperature (K) |
| u | velocity along x-direction (m/s) |
| v | velocity along y-direction (m/s) |
| V | volume of a single heat source (m3) |
| w | velocity along z-direction, vertical velocity (m/s) |
| W | width of the vertical open-ended square channel (m) |
| WH | width of heat source (m) |
| x | coordinates along the depth direction of the heat source |
| X | horizontal distance between the heat sources |
| y | coordinates along the width direction of the heat source |
| z | coordinates along the height direction of the heat source |
| ΔT | Temperature difference (K) |
| Greek symbols | |
| α | thermal diffusivity of air (m2/s) |
| αs | thermal diffusivity of hear sources (m2/s) |
| β | volumetric thermal expansion coefficient (1/K) |
| ρ | Density (kg/m3) |
References
- Yang, C.; Liang, P.; Fu, L.; Cui, G.; Huang, F.; Teng, F.; Bangash, Y.A. Using 5G in smart cities: A systematic mapping study. Intell. Syst. Appl. 2022, 14, 2667–3053. [Google Scholar]
- Chen, H.T.; Ma, W.X.; Lin, P.Y. Natural convection of plate finned tube heat exchangers with two horizontal tubes in a chimney: Experimental and numerical study. Int. J. Heat Mass Transf. 2020, 147, 118948. [Google Scholar]
- Afridi, M.I.; Ashraf, M.U.; Qasim, M.; Wakif, A. Numerical simulation of entropy transport in the oscillating fluid flow with transpiration and internal fluid heating by GGDQM. Waves Random Complex Media 2022. [Google Scholar] [CrossRef]
- Schwurack, R.; Bärschneider, J. Performance enhancement of a thermoelectric system with improved natural convection cooling by utilizing the chimney effect. Energy Convers. Manag. 2021, 237, 114118. [Google Scholar]
- Afridi, M.I.; Wakif, A.; Alanazi, A.K.; Chen, Z.M.; Ashraf, M.U.; Qasim, M. A comprehensive entropic scrutiny of dissipative flows over a thin needle featured by variable thermophysical properties. Waves Random Complex Media 2022. [Google Scholar] [CrossRef]
- Yilmaz, T.; Fraser, S.M. Turbulent natural convection in a vertical parallel-plate channel with asymmetric heating. Int. J. Heat Mass Transf. 2007, 50, 2612–2623. [Google Scholar]
- Sankar, M.; Do, Y.; Ryu, S.; Jang, B. Cooling of Heat Sources by Natural Convection Heat Transfer in a Vertical Annulus. Numer. Heat Transf. Part A Appl. 2015, 68, 847–869. [Google Scholar]
- Mohanty, A.; Dash, S.K.; Roy, S. Natural convection cooling of an infrared suppression (IRS) device with cylindrical funnels. Int. J. Therm. Sci. 2019, 141, 103–113. [Google Scholar]
- Dadvand, A.; Saraei, S.H. Lattice Boltzmann simulation of natural convection in a square enclosure with discrete heat-ing. Math. Comput. Simulation. 2021, 179, 265–278. [Google Scholar]
- Nayaki, V.P.M.S.; Saravanan, S. Natural Convection Cooling of an Array of Flush Mounted Discrete Heaters Inside a 3D Channel. Adv. Appl. Math. Mech. 2017, 9, 698–721. [Google Scholar]
- Spizzichino, A.; Zemach, E. Oscillatory instability of a 3D natural convection flow around a tandem of cold and hot vertically aligned cylinders placed inside a cold cubic enclosure. Int. J. Heat Mass Transf. 2019, 141, 327–345. [Google Scholar]
- Lee, D.; Jang, H.; Lee, B.J.; Choi, W.; Byon, C. Internal natural convection around a sphere in a rectangular chamber. Int. J. Heat Mass Transf. 2019, 136, 501–509. [Google Scholar]
- Horimek, A.; Nekag, E. Natural convection cooling of a heat source placed at the bottom of a square channel. Effect of source length, position, thermal condition and Prandtl number. Int. J. Heat Technol. 2020, 38, 722–737. [Google Scholar]
- Da Silva, A.K.; Lorenzini, G.; Bejan, A. Distribution of heat sources in vertical open channels with natural convection. Int. J. Heat Mass Transf. 2005, 48, 1462–1469. [Google Scholar]
- Cheng, J.-C.; Tsay, Y.-L. Heat transfer from block heat sources mounted on the wall of a 3D cabinet to an ambient natural convective air stream. Numer. Heat Transf. Part A Appl. 2016, 69, 283–294. [Google Scholar]
- Talukdar, D.; Li, C.-G. Investigation of compressible laminar natural-convection for a staggered and symmetric arrangement of discrete heat sources in an open-ended vertical channel. Numer. Heat Transf. Part A Appl. Tions 2019, 76, 115–138. [Google Scholar]
- Talukdar, D.; Li, C.-G.; Tsubokura, M. Numerical investigation of laminar compressible natural convection flow in asymmetrically and isothermally heated open-ended inclined channel. Int. J. Heat Mass Transf. 2019, 130, 83–97. [Google Scholar]
- Chae, M.-S.; Chung, B.-J. Heat transfer effects of chimney height, diameter, and Prandtl number. Int. Commun. Heat Mass Transf. 2015, 66, 196–202. [Google Scholar]
- Acharya, S.; Dash, S.K. Turbulent natural convection heat transfer from a vertical hollow cylinder suspended in air: A numerical approach. Therm. Sci. Eng. Prog. 2020, 15, 100449. [Google Scholar]
- Chandrakar, V.; Senapati, J.R.; Mohanty, A. Conjugate heat transfer due to conduction, natural convection, and radiation from a vertical hollow cylinder with finite thickness. Numer. Heat Transfer Part A Appl. 2021, 79, 463–487. [Google Scholar] [CrossRef]
- Dash, M.K.; Dash, S.K. Natural convection heat transfer and fluid flow around a thick hollow vertical cylinder sus-pended in air: A numerical approach. Int. J. Therm. Sci. 2020, 152, 106312. [Google Scholar]
- Day, J.C.; Zemler, M.K.; Traum, M.J.; Boetcher, S.K.S. Laminar Natural Convection from Isothermal Vertical Cylinders: Revisting a Classical Subject. J. Heat Transf. 2013, 135, 022505. [Google Scholar]
- Luo, F.; Lin, Q.; Xie, H. Computing the lower and upper bounds of Laplace eigenvalue problem: By combining conforming and nonconforming finite element methods. Sci. China Math. 2012, 55, 1069–1082. [Google Scholar] [CrossRef]
- Akbari, A.; Mohammadian, E.; Fazel, S.A.A.; Shanbedi, M.; Bahreini, M.; Heidari, M.; Dehkordi, P.B.; Hussein, S.N.C.M. Natural convection from the outside surface of an inclined cylinder in pure liquids at low flux. ACS Omega 2019, 4, 7038–7046. [Google Scholar] [CrossRef]
- Durgam, S.; Venkateshan, S.P.; Sundararajan, T. Effect of Thermal Conductivity on Cooling of Square Heat Source Array under Natural Convection in a Vertical Channel. Heat Transf. Eng. 2020, 41, 947–960. [Google Scholar]
- Mayeli, P.; Sheard, G.J. Buoyancy-driven flows beyond the Boussinesq approximation: A brief review. Int. Commun. Heat Mass Transf. 2021, 125, 105416. [Google Scholar]
- Qiu, Y.; Zhai, H.; Zheng, Y.; Lei, G.; Wang, T.; Wang, L.; Shu, S. Numerical Investigation into the Natural Convection of Cryogenic Supercritical Helium in a Spherical Enclosure. Energies 2021, 14, 2584. [Google Scholar]
- Burman, E.; Fernandez, M.A. Galerkin Finite Element Methods with Symmetric Pressure Stabilization for the Transient Stokes Equations: Stability and Convergence Analysis. SIAM J. Numer. Anal. 2009, 47, 1. [Google Scholar]
- Babaharra, O.; Choukairy, K.; Khallaki, K.; Mounir, S.H. Numerical study of phase change material microencapsulated in a typical multilayer wall for a hot climatic zone. Heat Transf. 2022, 51, 1193–1212. [Google Scholar]













| Name | ρ | k | cp |
|---|---|---|---|
| Air | 1.2257 | 0.02634 | 1006.5 |
| Aluminum | 2710 | 236 | 902 |
| Surface | Location | Schematic Figure (Left Heat Source) | Surface | Location | Schematic Figure (Right Heat Source) |
|---|---|---|---|---|---|
| S1 | (D − 2DH − X)/2 ≤ x ≤ (D − X)/2, (W − WH)/2 ≤ y ≤ W − (W − WH)/2, z = A + L | ![]() | S7 | (D + X)/2 ≤ x ≤ (D + 2DH + X)/2, (W − WH)/2 ≤ y ≤ W − (W − WH)/2, z = A | ![]() |
| S2 | (D − 2DH − X)/2 ≤ x ≤ (D − X)/2, (W − WH)/2 ≤ y ≤ W − (W − WH)/2, z = A + L + HH | S8 | (D + X)/2 ≤ x ≤ (D + 2DH + X)/2, (W − WH)/2 ≤ y ≤ W − (W − WH)/2, z = A + HH | ||
| S3 | x = (D − X)/2, (W − WH)/2 ≤ y ≤ W − (W − WH)/2, A + L ≤ z ≤ A + L + HH | ![]() | S9 | x = (D + X)/2, (W − WH)/2 ≤ y ≤ W − (W − WH)/2, A ≤ z ≤ A + HH | ![]() |
| S4 | x = (D − 2DH − X)/2, (W − WH)/2 ≤ y ≤ W − (W − WH)/2, A + L ≤ z ≤ A + L + HH | S10 | x = (D + 2DH + X)/2, (W − WH)/2 ≤ y ≤ W − (W − WH)/2, A ≤ z ≤ A + HH | ||
| S5 | (D − 2DH − X)/2 ≤ x ≤ (D − X)/2, y = (W − WH)/2, A + L ≤ z ≤ A + L + HH | ![]() | S11 | (D + X)/2 ≤ x ≤ (D + 2DH + X)/2, y = (W − WH)/2, A ≤ z ≤ A + HH | ![]() |
| S6 | (D − 2DH − X)/2 ≤ x ≤ (D − X)/2, y = W − (W − WH)/2, A + L ≤ z ≤ A + L + HH | S12 | (D + X)/2 ≤ x ≤ (D + 2DH + X)/2, y = W − (W − WH)/2, A ≤ z ≤ A + HH |
| Total grid number | 2 × 104 | 5 × 104 | 1 × 105 | 1.2 × 105 | 1.5 × 105 |
| Average air temperature (K) | 307.96 | 306.21 | 305.23 | 305.11 | 305.11 |
| Relative Error (%) | 0.93 | 0.36 | 0.04 | - | 0.00 |
Publisher’s Note: MDPI stays neutral with regard to jurisdictional claims in published maps and institutional affiliations. |
© 2022 by the authors. Licensee MDPI, Basel, Switzerland. This article is an open access article distributed under the terms and conditions of the Creative Commons Attribution (CC BY) license (https://creativecommons.org/licenses/by/4.0/).
Share and Cite
Liu, Q.; Xu, X.; Liang, P.; Xia, J.; Li, W.-P.; Li, G.-Y.; Yu, J.-J. Numerical Investigation of Natural Convection in an Open-Ended Square Channel with Two Suspending Heat Sources. Processes 2022, 10, 1774. https://doi.org/10.3390/pr10091774
Liu Q, Xu X, Liang P, Xia J, Li W-P, Li G-Y, Yu J-J. Numerical Investigation of Natural Convection in an Open-Ended Square Channel with Two Suspending Heat Sources. Processes. 2022; 10(9):1774. https://doi.org/10.3390/pr10091774
Chicago/Turabian StyleLiu, Qi, Xingrong Xu, Peng Liang, Junjie Xia, Wen-Peng Li, Gu-Yuan Li, and Jia-Jia Yu. 2022. "Numerical Investigation of Natural Convection in an Open-Ended Square Channel with Two Suspending Heat Sources" Processes 10, no. 9: 1774. https://doi.org/10.3390/pr10091774
APA StyleLiu, Q., Xu, X., Liang, P., Xia, J., Li, W.-P., Li, G.-Y., & Yu, J.-J. (2022). Numerical Investigation of Natural Convection in an Open-Ended Square Channel with Two Suspending Heat Sources. Processes, 10(9), 1774. https://doi.org/10.3390/pr10091774






