Improvement of Low-Fertility Soils from a Coal Mining Subsidence Area by Immobilized Nitrogen-Fixing Bacteria
Abstract
:1. Introduction
2. Materials and Methods
2.1. Study Area
2.2. Materials
2.3. Immobilization of the Strain
2.3.1. Isolation and Identification of the Strain
2.3.2. Immobilization of the Strain
2.4. Soil Culture Experiments and Pot Experiments
2.4.1. Soil Culture Experiments
2.4.2. Pot Experiments
2.5. Data Analysis
3. Results and Discussion
3.1. Isolation and Identification of the Strain
3.2. Immobilization of the Strain
3.3. Effect of Immobilized Microorganism on Soil Improvement
3.3.1. Effects of pH and Electroconductibility
3.3.2. Effects of Ammonium Nitrogen and Nitrate Nitrogen
3.3.3. Effects of Organic Matter
3.3.4. Effects of Available Phosphorus
3.3.5. Effects of Urease Activity
3.4. Effect on Plant Growth
3.4.1. Effects of Germination Percentage
3.4.2. Effects of Height
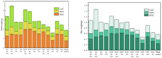
3.4.3. Effect of Weight
3.5. Mechanism Analysis of Plant Growth Promotion
4. Conclusions
Author Contributions
Funding
Acknowledgments
Conflicts of Interest
References
- Feng, Y.; Wang, J.; Bai, Z.; Reading, L. Effects of surface coal mining and land reclamation on soil properties: A review. Earth-Sci. Rev. 2019, 191, 12–25. [Google Scholar] [CrossRef]
- Hu, L.; Bai, L.; Kang, J.; Jia, J. Contamination level and potential health risk assessment of hexavalent chromium in soils from a coal chemical industrial area in Northwest China. Hum. Ecol. Risk Assessment Int. J. 2019, 26, 1300–1312. [Google Scholar] [CrossRef]
- Jing, Z.; Wang, J.; Zhu, Y.; Feng, Y. Effects of land subsidence resulted from coal mining on soil nutrient distributions in a loess area of China. J. Clean. Prod. 2017, 177, 350–361. [Google Scholar] [CrossRef]
- Wang, X.; Li, Y.; Wei, Y.; Meng, H.; Cao, Y.; Lead, J.; Hong, J. Effects of fertilization and reclamation time on soil bacterial communities in coal mining subsidence areas. Sci. Total Environ. 2020, 739, 139882. [Google Scholar] [CrossRef]
- Leghari, S.J.; Wahocho, N.A.; Laghari, G.M.; HafeezLaghari, A.; MustafaBhabhan, G.; HussainTalpur, K.; Bhutto, T.A.; Wahocho, S.A.; Lashari, A.A. Role of nitrogen for plant growth and development: A review. Adv. Environ. Biol. 2016, 10, 209–219. [Google Scholar]
- Hu, L.; Yu, J.; Luo, H.; Wang, H.; Xu, P.; Zhang, Y. Simultaneous recovery of ammonium, potassium and magnesium from produced water by struvite precipitation. Chem. Eng. J. 2020, 382, 123001. [Google Scholar] [CrossRef]
- Neina, D. The Role of Soil pH in Plant Nutrition and Soil Remediation. Appl. Environ. Soil Sci. 2019, 2019, 5794869. [Google Scholar] [CrossRef]
- Dhal, B.; Thatoi, H.; Das, N.; Pandey, B. Chemical and microbial remediation of hexavalent chromium from contaminated soil and mining/metallurgical solid waste: A review. J. Hazard. Mater. 2013, 250, 272–291. [Google Scholar] [CrossRef]
- Jia, J.; Zong, S.; Hu, L.; Shi, S.; Zhai, X.; Wang, B.; Li, G.; Zhang, D. The dynamic change of microbial communities in crude oil-contaminated soils from oil fields in China. Soil Sediment Contam. Int. J. 2017, 26, 171–183. [Google Scholar] [CrossRef]
- Hu, L.; Wang, H.; Xu, P.; Zhang, Y. Biomineralization of hypersaline produced water using microbially induced calcite precipitation. Water Res. 2021, 190, 116753. [Google Scholar] [CrossRef]
- Wang, Z.-Y.; Xu, Y.; Wang, H.-Y.; Zhao, J.; Gao, D.-M.; Li, F.-M.; Xing, B. Biodegradation of crude oil in contaminated soils by free and immobilized microorganisms. Pedosphere 2012, 22, 717–725. [Google Scholar] [CrossRef]
- Wang, T.; Su, D.; Wang, X.; He, Z. Adsorption-Degradation of Polycyclic Aromatic Hydrocarbons in Soil by Immobilized Mixed Bacteria and Its Effect on Microbial Communities. J. Agric. Food Chem. 2020, 68, 14907–14916. [Google Scholar] [CrossRef]
- Wang, J.; Shi, L.; Zhai, L.; Zhang, H.; Wang, S.; Zou, J.; Shen, Z.; Lian, C.; Chen, Y. Analysis of the long-term effectiveness of biochar immobilization remediation on heavy metal contaminated soil and the potential environmental factors weakening the remediation effect: A review. Ecotoxicol. Environ. Saf. 2020, 207, 111261. [Google Scholar] [CrossRef]
- Cunningham, C.J.; Ivshina, I.B.; Lozinsky, V.I.; Kuyukina, M.S.; Philp, J.C. Bioremediation of diesel-contaminated soil by microorganisms immobilised in polyvinyl alcohol. Int. Biodeterior. Biodegradation 2004, 54, 167–174. [Google Scholar] [CrossRef]
- Bouabidi, Z.B.; El-Naas, M.H.; Zhang, Z. Immobilization of microbial cells for the biotreatment of wastewater: A review. Environ. Chem. Lett. 2018, 17, 241–257. [Google Scholar] [CrossRef]
- Jiang, Y.; Yang, F.; Dai, M.; Ali, I.; Shen, X.; Hou, X.; Alhewairini, S.S.; Peng, C.; Naz, I. Application of microbial immobilization technology for remediation of Cr(VI) contamination: A review. Chemosphere 2022, 286, 131721. [Google Scholar] [CrossRef]
- Tsuji, K.; Asakawa, M.; Anzai, Y.; Sumino, T.; Harada, K.-I. Degradation of microcystins using immobilized microorganism isolated in an eutrophic lake. Chemosphere 2006, 65, 117–124. [Google Scholar] [CrossRef]
- Shin, D.-C.; Kim, J.-S.; Park, C.-H. Study on physical and chemical characteristics of microorganism immobilized media for advanced wastewater treatment. J. Water Process Eng. 2019, 29, 100784. [Google Scholar] [CrossRef]
- Fernández, N.; Montalvo, S.; Fernández-Polanco, F.; Guerrero, L.; Cortés, I.; Borja, R.; Sánchez, E.; Travieso, L. Real evidence about zeolite as microorganisms immobilizer in anaerobic fluidized bed reactors. Process Biochem. 2007, 42, 721–728. [Google Scholar] [CrossRef]
- Montalvo, S.; Guerrero, L.; Borja, R.; Sánchez, E.; Milán, Z.; Cortés, I.; de la la Rubia, M.A. Application of natural zeolites in anaerobic digestion processes: A review. Appl. Clay Sci. 2012, 58, 125–133. [Google Scholar] [CrossRef] [Green Version]
- Rodriguez, A.Z.; Wang, H.; Hu, L.; Zhang, Y.; Xu, P. Treatment of Produced Water in the Permian Basin for Hydraulic Fracturing: Comparison of Different Coagulation Processes and Innovative Filter Media. Water 2020, 12, 770. [Google Scholar] [CrossRef] [Green Version]
- Yamada, M.; Fujiyama, H.; Endo, T.; Rikimaru, M.U.; Sasaki, Y.; Yamamoto, S.; Honna, T.; Yamamoto, T. Effect of K-type and Ca-type artificial zeolites applied to high sodic soil on the growth of plants different in salt tolerance. Soil Sci. Plant Nutr. 2007, 53, 471–479. [Google Scholar] [CrossRef]
- Ippolito, J.A.; Tarkalson, D.D.; Lehrsch, G.A. Zeolite Soil Application Method Affects Inorganic Nitrogen, Moisture, and Corn Growth. Soil Sci. 2011, 176, 136–142. [Google Scholar] [CrossRef]
- Ozbahce, A.; Tari, A.F.; Gönülal, E.; Simsekli, N.; Padem, H. The effect of zeolite applications on yield components and nutrient uptake of common bean under water stress. Arch. Agron. Soil Sci. 2014, 61, 615–626. [Google Scholar] [CrossRef]
- Song, H.; Xu, J.; Fang, J.; Cao, Z.; Yang, L.; Li, T. Potential for mine water disposal in coal seam goaf: Investigation of storage coefficients in the Shendong mining area. J. Clean. Prod. 2019, 244, 118646. [Google Scholar] [CrossRef]
- Iruene, I.T.; Wafula, E.N.; Kuja, J.; Mathara, J.M. Phenotypic and genotypic characterization of lactic acid bacteria isolated from spontaneously fermented vegetable amaranth. Afr. J. Food Sci. 2021, 15, 254–261. [Google Scholar]
- You, M.; Fang, S.; MacDonald, J.; Xu, J.; Yuan, Z.-C. Isolation and characterization of Burkholderia cenocepacia CR318, a phosphate solubilizing bacterium promoting corn growth. Microbiol. Res. 2020, 233, 126395. [Google Scholar] [CrossRef]
- Reeve, P.J.; Fallowfield, H. Natural and surfactant modified zeolites: A review of their applications for water remediation with a focus on surfactant desorption and toxicity towards microorganisms. J. Environ. Manag. 2018, 205, 253–261. [Google Scholar] [CrossRef]
- Li, Z.; Zhang, X.; Xiong, X.; Zhang, B.; Wang, L. Determination of the best conditions for modified biochar immobilized petroleum hydrocarbon degradation microorganism by orthogonal test. In Proceedings of the IOP Conference Series: Earth and Environmental Science, Sanya, China, 20–22 November 2017; IOP Publishing: Bristol, UK, 2017; p. 012191. [Google Scholar] [CrossRef]
- Mautusi, M.; Nguyen, K.M.-A.-K.; Wayland, B.T.; Gilpin, J.S.; Hamby, S.R.; Berry, T.L.; Harper, D.E. Isolation and characterization of a novel Sphingobium yanoikuyae strain variant that uses biohazardous saturated hydrocarbons and aromatic compounds as sole carbon sources. F1000Research 2020, 9, 767. [Google Scholar]
- Kourkoutas, I.; Bekatorou, A.; Banat, I.; Marchant, R.; Koutinas, A. Immobilization technologies and support materials suitable in alcohol beverages production: A review. Food Microbiol. 2004, 21, 377–397. [Google Scholar] [CrossRef]
- Wang, Y.; Liu, H.; Peng, Y.; Tong, L.; Feng, L.; Ma, K. Characterization of the diethyl phthalate-degrading bacterium Sphingobium yanoikuyae SHJ. Data Brief 2018, 20, 1758–1763. [Google Scholar] [CrossRef] [PubMed]
- Zhang, W.; Ren, X.; He, J.; Zhang, Q.; Qiu, C.; Fan, B. Application of natural mixed bacteria immobilized carriers to different kinds of organic wastewater treatment and microbial community comparison. J. Hazard. Mater. 2019, 377, 113–123. [Google Scholar] [CrossRef] [PubMed]
- Schulman, E.; Wu, W.; Liu, D. Two-Dimensional Zeolite Materials: Structural and Acidity Properties. Materials 2020, 13, 1822. [Google Scholar] [CrossRef]
- Ganjegunte, G.K.; Sheng, Z.; Braun, R.J. Salinity Management Using an Anionic Polymer in a Pecan Field with Calcareous-Sodic Soil. J. Environ. Qual. 2011, 40, 1314–1321. [Google Scholar] [CrossRef] [PubMed]
- Kapkiyai, J.J.; Karanja, N.K.; Qureshi, J.N.; Smithson, P.C.; Woomer, P.L. Soil organic matter and nutrient dynamics in a Kenyan nitisol under long-term fertilizer and organic input management. Soil Biol. Biochem. 1999, 31, 1773–1782. [Google Scholar] [CrossRef]
- Riley, H.; Pommeresche, R.; Eltun, R.; Hansen, S.; Korsaeth, A. Soil structure, organic matter and earthworm activity in a comparison of cropping systems with contrasting tillage, rotations, fertilizer levels and manure use. Agric. Ecosyst. Environ. 2008, 124, 275–284. [Google Scholar] [CrossRef] [Green Version]











| pH | EC (μs/cm) | Available Phosphorus (mg/kg) | Alkali-Hydro Nitrogen (mg/kg) | Organic Matter (g/kg) |
|---|---|---|---|---|
| 8.32 | 76.1 | 4.07 | 7.84 | 2.75 |
| Type | Si/Al | Specific Surface Area (m2/g) | Pore Volume (mL/g) | Aperture (nm) | Average Particle Size (μm) |
|---|---|---|---|---|---|
| 4A | 2 | 542 | 0.41 | 0.40 | 8.45 |
| NaY | 5.3 | 774 | 0.30 | 0.58 | 1.02 |
| USY | 17.2 | 660 | 0.42 | 3.12 | 3.22 |
| Treatments | Carrier | Application Ratio | Additive Type |
|---|---|---|---|
| 1 | 4A zeolite | 1% | Immobilized microorganism |
| 2 | NaY zeolite | 3% | Free microorganism |
| 3 | USY zeolite | Sterilized carrier |
| Characteristics | Result |
|---|---|
| Glucose utilization | + |
| Sucrose utilization | + |
| Mannitol utilization | + |
| Glucose fermentation | + |
| Mannitol fermentation | - |
| Catalase | - |
| Starch hydrolysis | - |
| Methyl red test | - |
| V-P test | - |
| Salinity tolerance | 2% |
| p | ||||||
|---|---|---|---|---|---|---|
| EC | NO3−-N | NH4+-N | Organic Matter | Available Phosphorus | Urease Activity | |
| Carrier | 0.197 | 0.896 | 0.898 | 0.032 * | 0.280 | 0.500 |
| Application Ratio | 0.053 | 0.64 | 0.09 | 0.091 | 0.277 | 0.297 |
| Additive Type | 0.279 | 0.002 ** | 0.001 ** | 0.002 ** | 0.327 | 0.103 |
| Carrier | Additive | Proportion | NO3−-N | NH4+-N | Organic Matter | Urease Activity | ||||
|---|---|---|---|---|---|---|---|---|---|---|
| Soil Culture | Pot | Soil Culture | Pot | Soil Culture | Pot | Soil Culture | Pot | |||
| 4A | With S1 | 3% | 26.56 | 51.53 | 127.86 | 16.64 | 14.53 | 21.88 | 0.87 | 0.85 |
| 1% | 24.84 | 31.00 | 33.57 | 15.21 | 12.74 | 16.51 | 0.82 | 0.82 | ||
| Without S1 | 3% | 20.71 | 7.71 | 8.26 | 5.18 | 10.09 | 14.93 | 0.84 | 0.80 | |
| 1% | 18.10 | 3.01 | 1.16 | 4.52 | 8.07 | 15.82 | 0.81 | 0.82 | ||
| NaY | With S1 | 3% | 26.43 | 56.20 | 102.86 | 14.61 | 10.57 | 16.11 | 0.86 | 0.92 |
| 1% | 29.29 | 55.62 | 94.29 | 11.32 | 9.42 | 15.13 | 0.81 | 0.86 | ||
| Without S1 | 3% | 11.43 | 1.63 | 1.65 | 2.86 | 7.07 | 15.01 | 0.78 | 0.86 | |
| 1% | 18.81 | 2.86 | 1.12 | 4.70 | 8.07 | 17.20 | 0.81 | 0.87 | ||
| USY | With S1 | 3% | 32.96 | 54.58 | 100.40 | 16.24 | 12.44 | 28.35 | 0.82 | 0.89 |
| 1% | 25.71 | 45.64 | 52.86 | 13.43 | 9.42 | 15.37 | 0.85 | 0.88 | ||
| Without S1 | 3% | 18.52 | 4.58 | 12.86 | 4.63 | 8.74 | 15.82 | 0.83 | 0.83 | |
| 1% | 13.36 | 4.43 | 8.91 | 3.34 | 8.42 | 9.63 | 0.81 | 0.85 | ||
| Free S1 | 28.84 | 4.67 | 1.65 | 7.21 | 10.41 | 22.01 | 0.82 | 0.85 | ||
| Blank control | 21.67 | 2.70 | 2.50 | 5.42 | 8.42 | 15.82 | 0.79 | 0.90 | ||
| Max | 32.96 | 56.20 | 127.86 | 16.64 | 14.53 | 28.35 | 0.87 | 0.92 | ||
| Min | 11.43 | 1.63 | 1.12 | 2.86 | 7.07 | 9.63 | 0.78 | 0.80 | ||
| Average | 22.66 | 23.30 | 39.28 | 8.95 | 9.89 | 17.11 | 0.82 | 0.86 | ||
| Range | 21.53 | 54.57 | 126.74 | 13.78 | 7.46 | 18.72 | 0.09 | 0.12 | ||
| NO3−-N | NH4+-N | Organic Matter | Urease Activity | |
|---|---|---|---|---|
| Height | 0.574 * | 0.626 * | 0.142 | 0.062 |
| Fresh weight | 0.581 * | 0.521 * | 0.108 | 0.082 |
| Dry weight | 0.610 ** | 0.641 ** | 0.211 | 0.107 |
Publisher’s Note: MDPI stays neutral with regard to jurisdictional claims in published maps and institutional affiliations. |
© 2022 by the authors. Licensee MDPI, Basel, Switzerland. This article is an open access article distributed under the terms and conditions of the Creative Commons Attribution (CC BY) license (https://creativecommons.org/licenses/by/4.0/).
Share and Cite
Bai, L.; Yang, Y.; Shi, Z.; Zou, Y.; Zhou, H.; Jia, J. Improvement of Low-Fertility Soils from a Coal Mining Subsidence Area by Immobilized Nitrogen-Fixing Bacteria. Processes 2022, 10, 1185. https://doi.org/10.3390/pr10061185
Bai L, Yang Y, Shi Z, Zou Y, Zhou H, Jia J. Improvement of Low-Fertility Soils from a Coal Mining Subsidence Area by Immobilized Nitrogen-Fixing Bacteria. Processes. 2022; 10(6):1185. https://doi.org/10.3390/pr10061185
Chicago/Turabian StyleBai, Lu, Yingming Yang, Ziyue Shi, Yiping Zou, Huixin Zhou, and Jianli Jia. 2022. "Improvement of Low-Fertility Soils from a Coal Mining Subsidence Area by Immobilized Nitrogen-Fixing Bacteria" Processes 10, no. 6: 1185. https://doi.org/10.3390/pr10061185
APA StyleBai, L., Yang, Y., Shi, Z., Zou, Y., Zhou, H., & Jia, J. (2022). Improvement of Low-Fertility Soils from a Coal Mining Subsidence Area by Immobilized Nitrogen-Fixing Bacteria. Processes, 10(6), 1185. https://doi.org/10.3390/pr10061185

