Accurate Estimation of Tensile Strength of 3D Printed Parts Using Machine Learning Algorithms
Abstract
:1. Introduction
2. Methodology
2.1. Linear Regression
2.2. Random Forest Regression
2.3. AdaBoost Regression
2.4. Gradient Boosting Regression
2.5. XGBoost Regression
3. Case Study 1
3.1. Problem Description
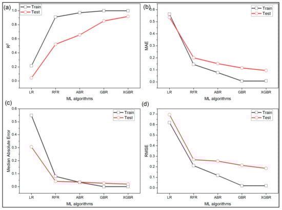
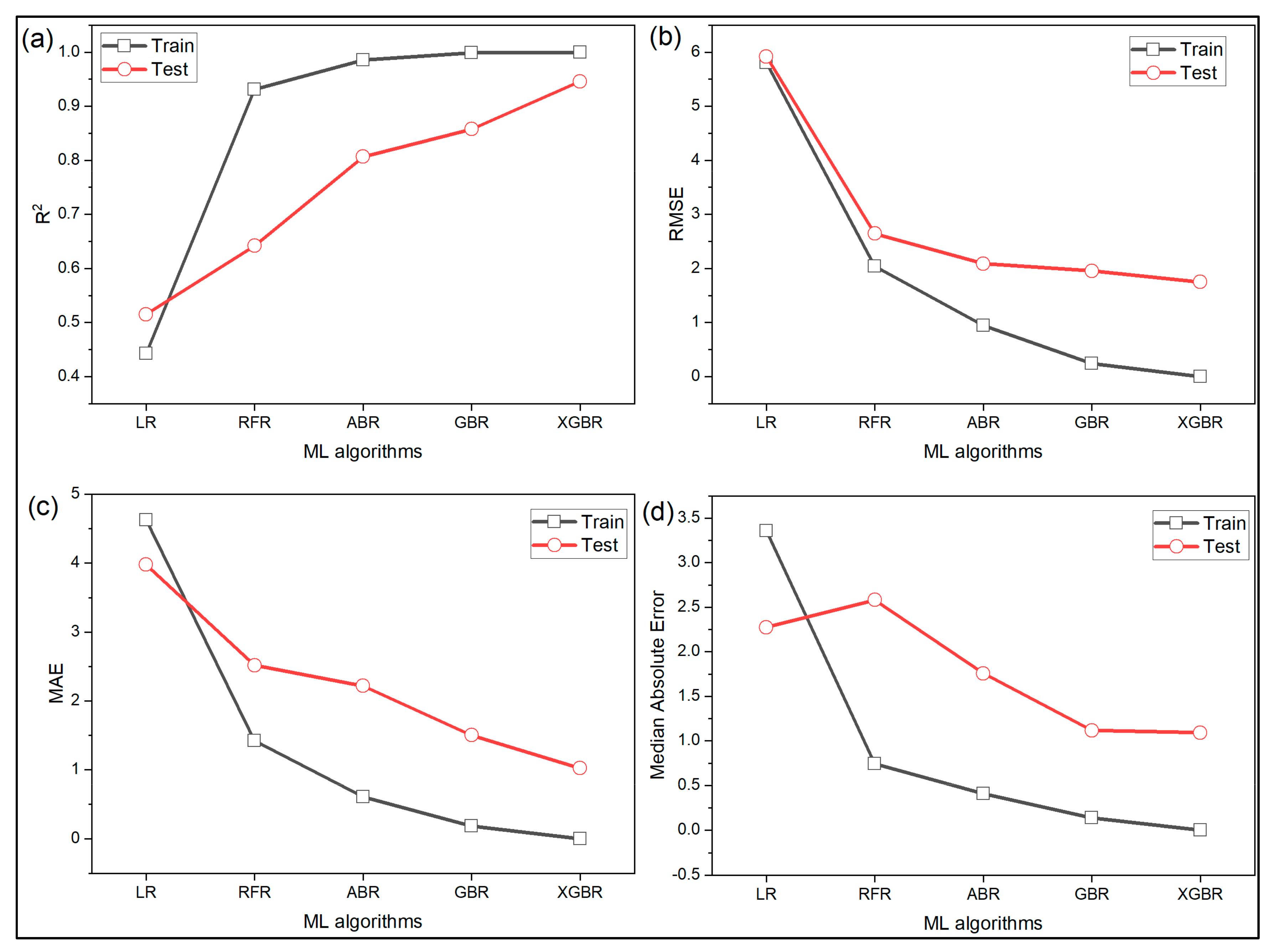
3.2. Results and Discussion
4. Case Study 2
4.1. Problem Description
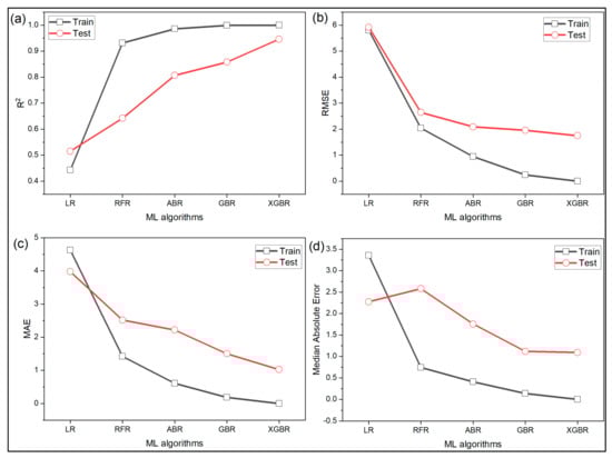
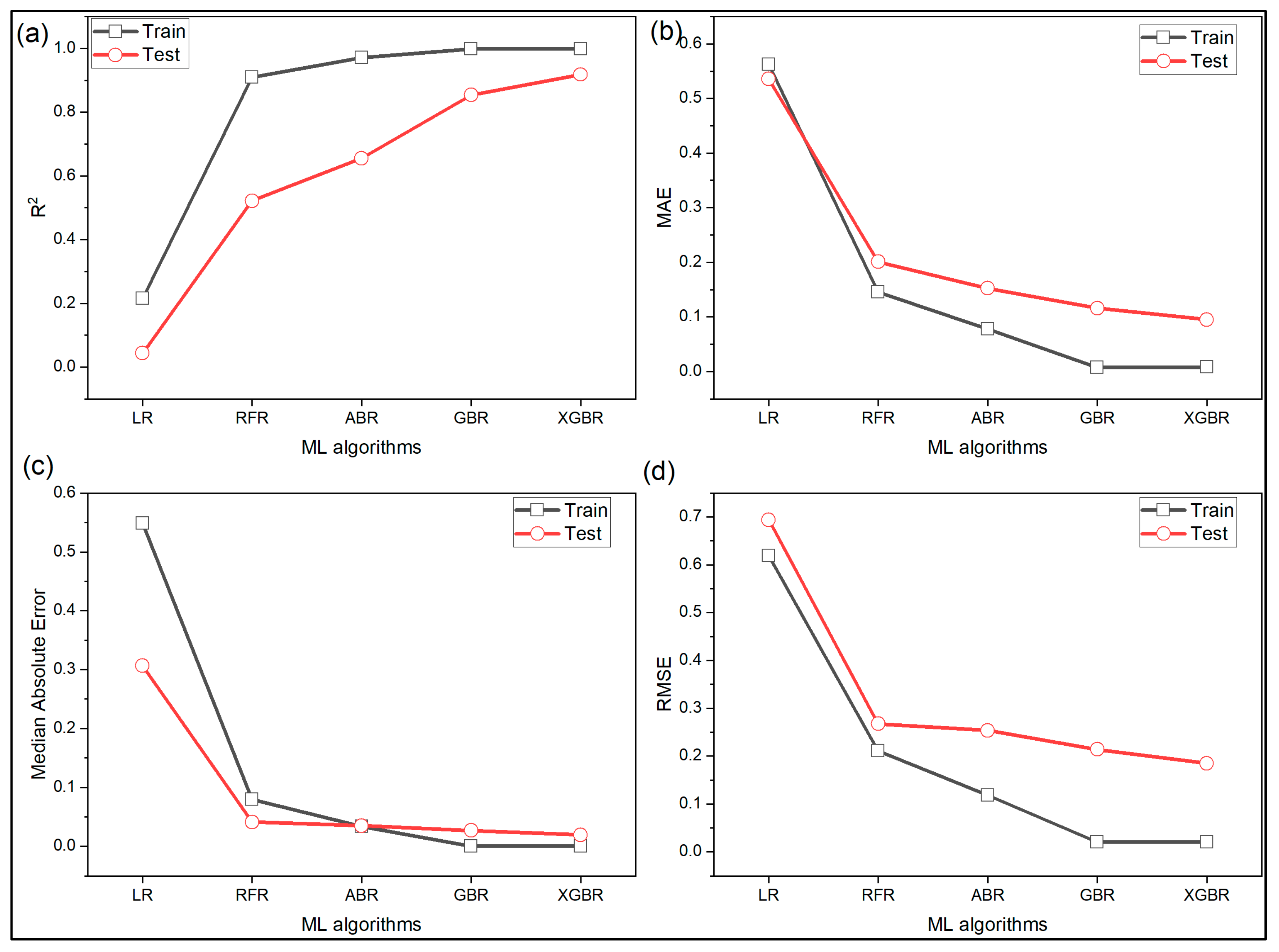
4.2. Results and Discussion
5. Conclusions
- The overall in case study 1 for both training and testing data are 48%, 79%, 90%, 93%, and 97% for linear regression, random forest, AdaBoost, gradient boost and XGBoost regression, respectively. For case study 2, the respective are 13%, 72%, 81%, 93%, and 96%.
- The testing data RMSE for case study 1 for the random forest, AdaBoost, gradient boost and XGBoost regression has 55%, 65%, 67%, and 70% improvement over the linear regression. Similarly, for case study 2, the respective improvement in testing data RMSE are 61%, 63%, 69% and 73%.
- The MAE for testing has 37%, 44%, 62%, and 74% improvement in case study 1 and 63%, 72%, 78%, and 82% improvement in case study 2 for the random forest, AdaBoost, gradient boost and XGBoost regression as compared to linear regression.
- The five tested ML algorithms can be ranked based on superiority as XGBoost > gradient boost > AdaBoost > random forest > linear regression.
Author Contributions
Funding
Institutional Review Board Statement
Informed Consent Statement
Data Availability Statement
Conflicts of Interest
Appendix A

| Dataset Type | Process Parameters | Tensile Strength (MPa) | |||||||
|---|---|---|---|---|---|---|---|---|---|
| Extrusion Temperature (°C) | Layer Height (mm) | Shell Thickness (mm) | Expt. [37] | LR | RFR | ABR | GBR | XGBR | |
| Train | 205 | 0.30 | 0.80 | 53.4510 | 47.4039 | 51.5042 | 53.4510 | 53.2953 | 53.4503 |
| Train | 205 | 0.40 | 0.40 | 49.3090 | 47.6049 | 49.6641 | 51.1500 | 49.7884 | 49.3099 |
| Train | 190 | 0.20 | 0.80 | 36.6240 | 40.5744 | 36.5884 | 36.6240 | 36.4268 | 36.6197 |
| Train | 190 | 0.30 | 0.80 | 47.2660 | 41.6123 | 44.9661 | 47.9770 | 47.6849 | 47.2696 |
| Train | 190 | 0.30 | 1.20 | 50.1100 | 42.4492 | 46.4725 | 48.6880 | 49.9946 | 50.1075 |
| Train | 190 | 0.20 | 1.20 | 31.5910 | 41.4113 | 34.2525 | 32.5976 | 31.6920 | 31.5949 |
| Train | 205 | 0.40 | 0.80 | 51.3720 | 48.4418 | 50.7908 | 51.3720 | 50.8032 | 51.3701 |
| Train | 220 | 0.30 | 1.20 | 58.6040 | 54.0324 | 56.6093 | 56.1700 | 58.5133 | 58.6012 |
| Train | 190 | 0.30 | 0.40 | 48.2420 | 40.7754 | 46.6527 | 47.8348 | 47.9529 | 48.2422 |
| Train | 220 | 0.40 | 1.20 | 52.7540 | 55.0703 | 53.0392 | 52.7540 | 52.7619 | 52.7541 |
| Train | 220 | 0.40 | 0.40 | 50.0400 | 53.3965 | 50.1411 | 51.3720 | 50.0583 | 50.0410 |
| Train | 220 | 0.20 | 0.40 | 50.5010 | 51.3207 | 50.1393 | 49.5990 | 50.4251 | 50.4996 |
| Train | 220 | 0.40 | 1.20 | 52.7540 | 55.0703 | 53.0392 | 52.7540 | 52.7619 | 52.7541 |
| Train | 220 | 0.20 | 1.20 | 50.4910 | 52.9945 | 52.9521 | 50.4910 | 50.5557 | 50.4909 |
| Train | 190 | 0.40 | 0.80 | 28.1300 | 42.6502 | 33.9174 | 28.1300 | 28.4666 | 28.1331 |
| Train | 205 | 0.20 | 0.80 | 46.3540 | 46.3660 | 47.6776 | 46.3540 | 46.5454 | 46.3553 |
| Train | 205 | 0.30 | 1.20 | 56.1700 | 48.2408 | 55.6098 | 55.1687 | 56.3085 | 56.1707 |
| Train | 220 | 0.20 | 0.80 | 49.5990 | 52.1576 | 49.5674 | 50.0450 | 49.5552 | 49.6001 |
| Train | 190 | 0.40 | 0.40 | 40.0240 | 41.8133 | 39.2817 | 40.0240 | 39.7959 | 40.0217 |
| Test | 205 | 0.20 | 0.40 | 43.2540 | 45.5291 | 47.8368 | 46.3540 | 46.8259 | 46.7304 |
| Test | 220 | 0.40 | 0.80 | 57.3320 | 54.2334 | 50.9692 | 51.8327 | 50.7039 | 50.6326 |
| Test | 190 | 0.40 | 1.20 | 53.9810 | 43.4871 | 35.8518 | 28.1300 | 30.8207 | 32.7860 |
| Test | 220 | 0.30 | 0.40 | 52.2740 | 52.3586 | 51.8048 | 53.4510 | 56.0195 | 55.4502 |
| Test | 190 | 0.20 | 0.40 | 26.5880 | 39.7375 | 38.1897 | 36.6240 | 36.7842 | 37.1562 |
| Test | 205 | 0.30 | 0.40 | 47.5860 | 46.5670 | 50.8308 | 52.4115 | 52.7035 | 52.4950 |
| Test | 205 | 0.40 | 1.20 | 48.3070 | 49.2787 | 53.0190 | 52.0650 | 53.1198 | 53.0042 |
| Test | 220 | 0.30 | 0.80 | 52.2990 | 53.1955 | 52.1130 | 53.4510 | 55.9680 | 55.6377 |
| Test | 205 | 0.20 | 1.20 | 51.0320 | 47.2029 | 51.3811 | 50.4910 | 44.4346 | 45.9100 |
| Dataset Type | Process Parameters | Tensile Strength (MPa) | ||||||||
|---|---|---|---|---|---|---|---|---|---|---|
| Layer Thickness (mm) | XY Plane | XZ Plane | YZ Plane | Expt. [7] | LR | RFR | ABR | GBR | XGBR | |
| Train | 0.10 | 45 | 45 | 45 | 3.0900 | 3.6122 | 3.1293 | 3.3033 | 3.1300 | 3.1305 |
| Train | 0.09 | 90 | 45 | 45 | 3.3300 | 3.9320 | 3.3143 | 3.3825 | 3.3300 | 3.3303 |
| Train | 0.10 | 45 | 90 | 0 | 4.4600 | 3.3743 | 4.2226 | 4.2440 | 4.4600 | 4.4583 |
| Train | 0.10 | 45 | 0 | 90 | 4.7100 | 3.8501 | 4.6465 | 4.7000 | 4.7100 | 4.7087 |
| Train | 0.10 | 90 | 45 | 45 | 3.1000 | 3.2992 | 3.0484 | 3.1000 | 3.1000 | 3.0985 |
| Train | 0.10 | 90 | 45 | 90 | 4.7000 | 4.0376 | 4.5910 | 4.6850 | 4.7000 | 4.7003 |
| Train | 0.10 | 0 | 90 | 45 | 3.6000 | 3.7879 | 3.6075 | 3.6000 | 3.6000 | 3.6000 |
| Train | 0.10 | 45 | 0 | 0 | 3.9100 | 3.0110 | 3.8223 | 3.9100 | 3.9100 | 3.9102 |
| Train | 0.10 | 45 | 45 | 45 | 3.2000 | 3.6122 | 3.1293 | 3.3033 | 3.1300 | 3.1305 |
| Train | 0.10 | 90 | 90 | 45 | 4.1000 | 3.7997 | 3.8552 | 4.1000 | 4.1000 | 4.1003 |
| Train | 0.09 | 45 | 45 | 90 | 3.9700 | 4.3456 | 4.2307 | 3.9700 | 3.9700 | 3.9700 |
| Train | 0.10 | 45 | 45 | 45 | 3.1000 | 3.6122 | 3.1293 | 3.3033 | 3.1300 | 3.1305 |
| Train | 0.10 | 0 | 0 | 45 | 3.2000 | 3.4247 | 3.2588 | 3.4000 | 3.2000 | 3.2001 |
| Train | 0.09 | 45 | 0 | 45 | 3.1100 | 3.7445 | 3.2050 | 3.3220 | 3.1100 | 3.1112 |
| Train | 0.10 | 45 | 90 | 45 | 2.5000 | 3.4749 | 3.0374 | 2.5000 | 2.5000 | 2.5004 |
| Train | 0.10 | 0 | 45 | 90 | 4.6000 | 4.0258 | 4.5284 | 4.6525 | 4.6000 | 4.6004 |
| Train | 0.10 | 45 | 45 | 90 | 3.3000 | 3.7128 | 3.8047 | 3.3000 | 3.3000 | 3.3006 |
| Train | 0.10 | 45 | 90 | 90 | 4.8900 | 4.2134 | 4.7532 | 4.7667 | 4.8900 | 4.8890 |
| Test | 0.10 | 45 | 0 | 45 | 2.5900 | 3.1116 | 3.0023 | 3.1000 | 2.8604 | 2.6710 |
| Test | 0.10 | 90 | 0 | 45 | 3.3700 | 3.1175 | 3.0832 | 3.1000 | 3.1074 | 3.0980 |
| Test | 0.09 | 45 | 90 | 45 | 3.7000 | 4.1077 | 3.7634 | 3.7250 | 3.5584 | 3.7084 |
| Test | 0.10 | 90 | 0 | 45 | 3.7100 | 3.4364 | 3.3201 | 3.4033 | 3.4747 | 3.3897 |
| Test | 0.10 | 0 | 45 | 45 | 1.6900 | 3.2874 | 2.9973 | 3.1000 | 2.8458 | 2.6984 |
| Test | 0.10 | 0 | 45 | 0 | 3.0000 | 3.1868 | 3.9028 | 3.6300 | 4.0749 | 3.9192 |
| Test | 0.09 | 45 | 45 | 0 | 3.2000 | 3.5066 | 3.8916 | 3.9100 | 4.0244 | 3.9188 |
| Test | 0.10 | 45 | 45 | 0 | 2.6000 | 2.8737 | 3.6656 | 3.3000 | 3.9540 | 3.6375 |
| Test | 0.10 | 90 | 45 | 0 | 4.2000 | 3.1985 | 3.9133 | 4.0475 | 4.1429 | 3.9192 |
References
- Goh, G.D.; Sing, S.L.; Yeong, W.Y. A review on machine learning in 3D printing: Applications, potential, and challenges. Artif. Intell. Rev. 2021, 54, 63–94. [Google Scholar] [CrossRef]
- Murr, L.E. Metallurgy principles applied to powder bed fusion 3D printing/additive manufacturing of personalized and optimized metal and alloy biomedical implants: An overview. J. Mater. Res. Technol. 2020, 9, 1087–1103. [Google Scholar] [CrossRef]
- Leal, R.; Barreiros, F.M.; Alves, L.; Romeiro, F.; Vasco, J.C.; Santos, M.; Marto, C. Additive manufacturing tooling for the automotive industry. Int. J. Adv. Manuf. Technol. 2017, 92, 1671–1676. [Google Scholar] [CrossRef]
- Kong, L.; Ambrosi, A.; Nasir, M.Z.M.; Guan, J.; Pumera, M. Self-Propelled 3D-Printed “Aircraft Carrier” of Light-Powered Smart Micromachines for Large-Volume Nitroaromatic Explosives Removal. Adv. Funct. Mater. 2019, 29, 1903872. [Google Scholar] [CrossRef]
- Nasiri, S.; Khosravani, M.R. Machine learning in predicting mechanical behavior of additively manufactured parts. J. Mater. Res. Technol. 2021, 14, 1137–1153. [Google Scholar] [CrossRef]
- Kalita, K.; Haldar, S.; Chakraborty, S. A Comprehensive Review on High-Fidelity and Metamodel-Based Optimization of Composite Laminates. Arch. Comput. Methods Eng. 2022, 1–36. [Google Scholar] [CrossRef]
- Rai, H.V.; Modi, Y.K.; Pare, A. Process parameter optimization for tensile strength of 3D printed parts using response surface methodology. IOP Conf. Ser. Mater. Sci. Eng. 2018, 377, 012027. [Google Scholar] [CrossRef] [Green Version]
- Srinivasan, R.; Pridhar, T.; Ramprasath, L.S.; Charan, N.S.; Ruban, W. Prediction of tensile strength in FDM printed ABS parts using response surface methodology (RSM). Mater. Today Proc. 2020, 27, 1827–1832. [Google Scholar] [CrossRef]
- Azli, A.A.; Muhammad, N.; Albakri, M.M.A.; Ghazali, M.F.; Rahim, S.Z.A.; Victor, S.A. Printing parameter optimization of biodegradable PLA stent strut thickness by using response surface methodology (RSM). IOP Conf. Ser. Mater. Sci. Eng. 2020, 864, 012154. [Google Scholar] [CrossRef]
- Deshwal, S.; Kumar, A.; Chhabra, D. Exercising hybrid statistical tools GA-RSM, GA-ANN and GA-ANFIS to optimize FDM process parameters for tensile strength improvement. CIRP J. Manuf. Sci. Technol. 2020, 31, 189–199. [Google Scholar] [CrossRef]
- Saad, M.S.; Nor, A.M.; Baharudin, M.E.; Zakaria, M.Z.; Aiman, A.F. Optimization of surface roughness in FDM 3D printer using response surface methodology, particle swarm optimization, and symbiotic organism search algorithms. Int. J. Adv. Manuf. Technol. 2019, 105, 5121–5137. [Google Scholar] [CrossRef]
- Vates, U.K.; Kanu, N.J.; Gupta, E.; Singh, G.K.; Daniel, N.A.; Sharma, B.P. Optimization of FDM 3D printing process parameters on ABS based bone hammer using RSM technique. IOP Conf. Ser. Mater. Sci. Eng. 2021, 1206, 012001. [Google Scholar] [CrossRef]
- Yao, X.; Moon, S.K.; Bi, G. A hybrid machine learning approach for additive manufacturing design feature recommendation. Rapid Prototyp. J. 2017, 23, 983–997. [Google Scholar] [CrossRef]
- DeCost, B.L.; Jain, H.; Rollett, A.D.; Holm, E.A. Computer vision and machine learning for autonomous characterization of am powder feedstocks. JOM 2017, 69, 456–465. [Google Scholar] [CrossRef] [Green Version]
- Jiang, J.; Hu, G.; Li, X.; Xu, X.; Zheng, P.; Stringer, J. Analysis and prediction of printable bridge length in fused deposition modelling based on back propagation neural network. Virtual Phys. Prototyp. 2019, 14, 253–266. [Google Scholar] [CrossRef]
- Shen, X.; Yao, J.; Wang, Y.; Yang, J. Density prediction of selective laser sintering parts based on artificial neural network. In Proceedings of the International Symposium on Neural Networks, Dalian, China, 19–21 August 2004. [Google Scholar] [CrossRef]
- Ye, D.; Fuh, J.Y.H.; Zhang, Y.; Hong, G.S.; Zhu, K. In situ monitoring of selective laser melting using plume and spatter signatures by deep belief networks. ISA Trans. 2018, 81, 96–104. [Google Scholar] [CrossRef]
- Gu, G.X.; Chen, C.-T.; Richmond, D.J.; Buehler, M.J. Bioinspired hierarchical composite design using machine learning: Simulation, additive manufacturing, and experiment. Mater. Horiz. 2018, 5, 939–945. [Google Scholar] [CrossRef] [Green Version]
- Lu, Z.L.; Li, D.C.; Lu, B.H.; Zhang, A.F.; Zhu, G.X.; Pi, G. The prediction of the building precision in the Laser Engineered Net Shaping process using advanced networks. Opt. Lasers Eng. 2010, 48, 519–525. [Google Scholar] [CrossRef]
- Kabaldin, Y.G.; Shatagin, D.A.; Anosov, M.S.; Kolchin, P.V.; Kiselev, A.V. Diagnostics of 3D Printing on a CNC Machine by Machine Learning. Russ. Eng. Res. 2021, 41, 320–324. [Google Scholar] [CrossRef]
- Mahmood, M.A.; Visan, A.I.; Ristoscu, C.; Mihailescu, I.N. Artificial neural network algorithms for 3D printing. Materials 2020, 14, 163. [Google Scholar] [CrossRef]
- Nguyen, P.D.; Nguyen, T.Q.; Tao, Q.B.; Vogel, F.; Nguyen-Xuan, H. A data-driven machine learning approach for the 3D printing process optimisation. Virtual Phys. Prototyp. 2022, 1–19. [Google Scholar] [CrossRef]
- Zhang, H.; Moon, S.K.; Ngo, T.H. Hybrid machine learning method to determine the optimal operating process window in aerosol jet 3D printing. ACS Appl. Mater. Interfaces 2019, 11, 17994–18003. [Google Scholar] [CrossRef]
- Menon, A.; Póczos, B.; Feinberg, A.W.; Washburn, N.R. Optimization of silicone 3D printing with hierarchical machine learning. 3D Print. Addit. Manuf. 2019, 6, 181–189. [Google Scholar] [CrossRef]
- Ağbulut, Ü.; Gürel, A.E.; Biçen, Y. Prediction of daily global solar radiation using different machine learning algorithms: Evaluation and comparison. Renew. Sustain. Energy Rev. 2021, 135, 110114. [Google Scholar] [CrossRef]
- Markovics, D.; Mayer, M.J. Comparison of machine learning methods for photovoltaic power forecasting based on numerical weather prediction. Renew. Sustain. Energy Rev. 2022, 161, 112364. [Google Scholar] [CrossRef]
- Nourani, M.; Alali, N.; Samadianfard, S.; Band, S.S.; Chau, K.-W.; Shu, C.-M. Comparison of machine learning techniques for predicting porosity of chalk. J. Pet. Sci. Eng. 2022, 209, 109853. [Google Scholar] [CrossRef]
- Harishkumar, K.S.; Yogesh, K.M.; Gad, I. Forecasting air pollution particulate matter (PM2.5) using machine learning regression models. Procedia Comput. Sci. 2020, 171, 2057–2066. [Google Scholar] [CrossRef]
- Bhattacharya, S.; Kalita, K.; Čep, R.; Chakraborty, S. A Comparative Analysis on Prediction Performance of Regression Models during Machining of Composite Materials. Materials 2021, 14, 6689. [Google Scholar] [CrossRef] [PubMed]
- Yao, W.; Li, L. A new regression model: Modal linear regression. Scand. J. Stat. 2014, 41, 656–671. [Google Scholar] [CrossRef] [Green Version]
- Gupta, K.K.; Kalita, K.; Ghadai, R.K.; Ramachandran, M.; Gao, X.-Z. Machine Learning-Based Predictive Modelling of Biodiesel Production—A Comparative Perspective. Energies 2021, 14, 1122. [Google Scholar] [CrossRef]
- Jain, P.; Choudhury, A.; Dutta, P.; Kalita, K.; Barsocchi, P. Random Forest Regression-Based Machine Learning Model for Accurate Estimation of Fluid Flow in Curved Pipes. Processes 2021, 9, 2095. [Google Scholar]
- Kalita, K.; Shinde, D.S.; Ghadai, R.K. Machine Learning-Based Predictive Modelling of Dry Electric Discharge Machining Process. In Data-Driven Optimization of Manufacturing Processes; IGI Global: Hershey, PA, USA, 2021; pp. 151–164. [Google Scholar] [CrossRef]
- Cao, Y.; Miao, Q.-G.; Liu, J.-C.; Gao, L. Advance and prospects of AdaBoost algorithm. Acta Autom. Sin. 2013, 39, 745–758. [Google Scholar] [CrossRef]
- Zhang, Y.; Haghani, A. A gradient boosting method to improve travel time prediction. Transp. Res. Part C Emerg. Technol. 2015, 58, 308–324. [Google Scholar] [CrossRef]
- Shanmugasundar, G.; Vanitha, M.; Čep, R.; Kumar, V.; Kalita, K.; Ramachandran, M. A Comparative Study of Linear, Random Forest and AdaBoost Regressions for Modeling Non-Traditional Machining. Processes 2021, 9, 2015. [Google Scholar] [CrossRef]
- Bialete, E.R.; Manuel, M.C.E.; Alcance, R.M.E.; Canlas, J.P.A.; Chico, T.J.B.; Sanqui, J.P.; Cruz, J.C.D.; Verdadero, M.S. Characterization of the Tensile Strength of FDM-Printed Parts Made from Polylactic Acid Filament using 33 Full-Factorial Design of Experiment. In Proceedings of the 2020 IEEE 12th International Conference on Humanoid, Nanotechnology, Information Technology, Communication and Control, Environment, and Management (HNICEM), Manila, Philippines, 3–7 December 2020. [Google Scholar] [CrossRef]
- Kalita, K.; Dey, P.; Haldar, S. Search for accurate RSM metamodels for structural engineering. J. Reinf. Plast. Compos. 2019, 38, 995–1013. [Google Scholar] [CrossRef]
- Chowdhury, M.A.K.; Ullah, A.M.M.; Teti, R. Optimizing 3D Printed Metallic Object’s Postprocessing: A Case of Gamma-TiAl Alloys. Materials 2021, 14, 1246. [Google Scholar] [CrossRef]
- Kalita, K.; Chakraborty, S.; Madhu, S.; Ramachandran, M.; Gao, X.-Z. Performance analysis of radial basis function metamodels for predictive modelling of laminated composites. Materials 2021, 14, 3306. [Google Scholar] [CrossRef]








| Algorithm | Hyperparameters |
|---|---|
| Linear regression | No hyperparameters |
| Random forest regression | Number of estimators = 300 Maximum depth of the tree = 6 Minimum samples required to split an internal node = 2 Minimum samples required to be at a leaf node = 1 Loss function = MSE |
| AdaBoost regression | Number of estimators = 100 Base estimator = decision tree Maximum depth of the tree = 6 Learning rate = 1.0 Loss function = linear |
| Gradient boosting regression | Number of estimators = 1200 Criterion = Friedman MSE Learning rate = 1.0 Loss function = squared error |
| XGBoost regression | Number of estimators = 300 Booster = gbtree Learning rate = 0.3 Maximum depth of the tree = 6 Loss function = linear |
Publisher’s Note: MDPI stays neutral with regard to jurisdictional claims in published maps and institutional affiliations. |
© 2022 by the authors. Licensee MDPI, Basel, Switzerland. This article is an open access article distributed under the terms and conditions of the Creative Commons Attribution (CC BY) license (https://creativecommons.org/licenses/by/4.0/).
Share and Cite
Jayasudha, M.; Elangovan, M.; Mahdal, M.; Priyadarshini, J. Accurate Estimation of Tensile Strength of 3D Printed Parts Using Machine Learning Algorithms. Processes 2022, 10, 1158. https://doi.org/10.3390/pr10061158
Jayasudha M, Elangovan M, Mahdal M, Priyadarshini J. Accurate Estimation of Tensile Strength of 3D Printed Parts Using Machine Learning Algorithms. Processes. 2022; 10(6):1158. https://doi.org/10.3390/pr10061158
Chicago/Turabian StyleJayasudha, Murugan, Muniyandy Elangovan, Miroslav Mahdal, and Jayaraju Priyadarshini. 2022. "Accurate Estimation of Tensile Strength of 3D Printed Parts Using Machine Learning Algorithms" Processes 10, no. 6: 1158. https://doi.org/10.3390/pr10061158
APA StyleJayasudha, M., Elangovan, M., Mahdal, M., & Priyadarshini, J. (2022). Accurate Estimation of Tensile Strength of 3D Printed Parts Using Machine Learning Algorithms. Processes, 10(6), 1158. https://doi.org/10.3390/pr10061158

