Comparison of Energy Performance of Shaft Tubular Pump Device at Two Guide Vane Inlet Angles
Abstract
:1. Introduction
2. Pump Device Parameters and Angle Adjustment Scheme of Guide Vane
2.1. Shaft Tubular Pump Device Parameters
2.2. Function of the Guide Vane in the Shaft Tubular Pump Device
2.3. Adjustment Method of Inlet Section Angle of Guide Vane
3. Methods
3.1. Numerical Simulation Method
3.1.1. Governing Equations
3.1.2. Mesh Generation
3.1.3. Boundary Condition
3.2. Model Test Method
3.2.1. Testing System and Model Pump Device
3.2.2. Testing Scheme
4. Results and Analysis
4.1. Numerical Simulation Results and Analysis
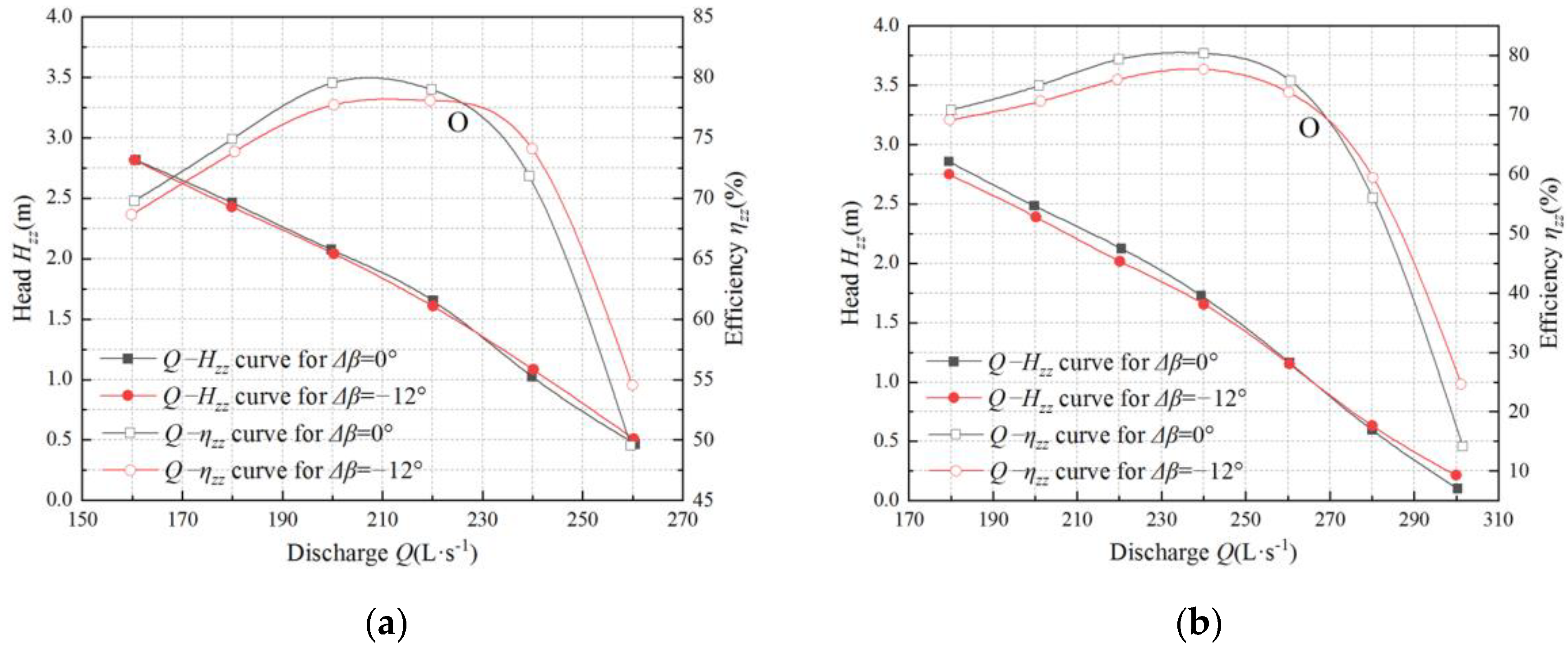
4.2. Experimental Results and Analyses
4.3. Comparison of Numerical Simulation and Experimental Results
5. Conclusions
- (1)
- The energy performance of the front-positioned shaft tubular pump device is affected obviously by the inlet section angle adjustment of the guide vane. When the inlet section angle of the guide vane is adjusted clockwise, the efficiency of the pump device at the optimum operating point is reduced, while the efficiency of the pump device on the condition of low head and large discharge, which deviates from the optimum operating point, will be improved. The farther the operating condition deviates from the optimal operating point, the greater the influence. When the inlet section of the guide vane is rotated from 0° to −12°, the efficiency of the pump device at the optimum operating point is reduced by about 2%, and the efficiency of the pump device in the condition of low head and large discharge is increased by more than 5%.
- (2)
- When the inlet section of the guide vane is adjusted clockwise, the inlet section angle of the guide vane will match the pump impeller outlet flow direction under the operating condition of low head and large discharge, so that the stream will enter the guide vane smoothly without vortex. The improvement of the flow pattern in the guide vane will lead to a reduction in the hydraulic loss of the guide vane; thereby, the efficiency of the pump device is increased.
- (3)
- Comparing the numerical calculation and model test results of the efficiency of the pump device, the error is small in the small discharge area and large in the large discharge area, the maximum error of the efficiency of the pump device is less than 7%, and the maximum error of the pump device head is less than 0.15 m. It shows that the numerical calculation results are in good agreement with the model test results, and the numerical calculation results can provide a good guide for the hydraulic design of the shaft tubular pump device.
- (4)
- Due to the limitation of the pump model or motor product, the frequent operating condition of the extra-low head pumping station often deviates from the optimal operating condition. The frequent operating condition is located in the area of large discharge and low head, and the operating efficiency of the pump station is low. Applying these research results can improve its energy performance and reduce operating costs.
Author Contributions
Funding
Institutional Review Board Statement
Informed Consent Statement
Data Availability Statement
Conflicts of Interest
Nomenclature
| symbol | Explanation |
| Empirical constant | |
| Empirical constant | |
| Empirical constant | |
| Model pump impeller diameter | |
| Prototype pump impeller diameter | |
| Turbulent kinetic energy production term | |
| Pump device head | |
| l | Inlet section length of guide vane |
| Characteristic length of the inlet section | |
| L | Total length of guide vane |
| Model pump rotation speed | |
| Prototype pump rotation speed | |
| Average pressure | |
| Flow discharge | |
| Time | |
| Mean velocity component in i direction | |
| Mean velocity component in j direction | |
| Velocity at the inlet section | |
| Coordinate in i direction | |
| Coordinate in j direction | |
| Impeller vane angle | |
| Guide leaf inlet angle | |
| Inlet section angle adjustment of guide vane | |
| Turbulent kinetic energy dissipation rate | |
| Turbulent kinetic energy dissipation rate at the inlet section | |
| Pump device efficiency | |
| Turbulence kinetic energy | |
| Turbulence kinetic energy at the inlet section | |
| Coefficient of dynamic viscosity. | |
| Density of water | |
References
- Dai, Y.; Tang, K. Experimental study on hydraulic characteristics of ultra low dead vertical crosswise pump unit. Heilongjiang Hydraul. Sci. Technol. 2016, 49, 66–69. [Google Scholar]
- Yu, J.; Chen, Y.; Zhu, Y.; Lv, B.; Sun, P. Study on pump type selection for extra-low head pumping station with large difference between average and highest heads. Water Resour. Hydropower Eng. 2018, 49, 68–76. [Google Scholar]
- Wu, H.; Tian, Y.; Liao, W.; Liu, B.; Song, W. Pumping device performance analysis based on the Miyun Storage Project of Cascade Pumping Stations. China Rural. Water Hydropower 2016, 11, 178–182. [Google Scholar]
- Xia, B. Research on the Application of Vertical Pump Device in Extra-low Head Drainage Pumping Station. M.E. Thesis, Yangzhou University, Yangzhou, China, 2021. [Google Scholar]
- Tang, F.; Wang, G. Influence of outlet guide vanes upon performances of waterjet axial-Flow Pump. J. Ship Mech. 2006, 6, 19–26. [Google Scholar]
- Li, Z.; Yang, M.; Wang, X. Experimental study of guide vane influence on performance of axial-flow pump. Drain. Irrig. Mach. 2009, 27, 15–18. [Google Scholar]
- Kaya, D. Experimental study on regaining the tangential velocity energy of axial fow pump. Energy Convers. Manag. 2003, 44, 1817–1829. [Google Scholar] [CrossRef]
- Hu, J.; Huang, S.; Wang, P. Research on hydrodynamic characteristics of axial waterjet pump with guide vane. J. Hydroelectr. Eng. 2008, 27, 32–36. [Google Scholar]
- Zhou, Y.; Xu, H. The influence of diffuser on the function of the axial-flow pump. Water Conserv. Electr. Power Mach. 2007, 29, 28–29. [Google Scholar]
- Qian, Z.; Wang, Y.; Zheng, B.; Liu, D. Numerical simulation and analysis of performance of axial flow pump with adjustable guide vanes. J. Hydroelectr. Eng. 2011, 30, 123–127. [Google Scholar]
- Qian, Z.; Wang, Y.; Huai, W.; Lee, Y. Numerical simulation of water flow in an axial flow pump with adjustable guide vanes. J. Mech. Sci. Technol. 2010, 24, 974–976. [Google Scholar] [CrossRef]
- Qian, Z.; Wang, F.; Wang, Z.; Zhou, W. Experimental study on hydraulic performance of saddle zone in axial-flow pump with adjustable guide vane. J. Drain. Irrig. Mach. Eng. 2013, 31, 461–465. [Google Scholar]
- Yan, T.; Liu, C.; Zha, Z.; Huang, J. Influence of installation angle of guide-vane inlet on axial flow pump performance. Water Resour. Hydropower Eng. 2018, 49, 72–77. [Google Scholar]
- Li, G.; Chen, E.; Yang, A.; Xie, Z.; Zhao, G. Effect of guide vanes on flow and vibroacoustic in an axial-flow pump. Math. Probl. Eng. 2018, 2018, 3095890. [Google Scholar] [CrossRef]
- Yang, F.; Zhao, H.; Liu, C. Improvement of the efficiency part loads due to installing outlet. Math. Probl. Eng. 2016, 2016, 6375314. [Google Scholar]
- Zhu, H.; Zhang, R. Numerical simulation of internal flow and performance prediction of tubular pump with adjustable guide vanes. Adv. Mech. Eng. 2014, 6, 171504. [Google Scholar] [CrossRef]
- Feng, J.; Zheng, Y.; Luo, X. Effects of exit guide vane on performance of axial-flow pump system. Water Resour. Power 2012, 30, 126–129. [Google Scholar]
- Liang, J.; Lu, L.; Xu, L.; Chen, W.; Wang, G. Influence of flow velocity circulation at guide vane outlet of axial-flow pump on hydraulic loss in outlet conduit. Trans. CSAE 2012, 28, 55–60. [Google Scholar]
- Xu, L.; Ji, D.; Shi, W.; Xu, B.; Lu, W.; Lu, L. Influence of inlet angle of guide vane on hydraulic performance of an axial flow pump based on CFD. Shock. Vib. 2020, 2020, 8880789. [Google Scholar] [CrossRef]
- Xu, L.; Zhang, H.; Wang, C.; Ji, D.; Shi, W.; Lu, W.; Lu, L. Hydraulic characteristics of axial flow pump device with different guide vane inlet angles. Front. Energy Res. 2022, 10, 836456. [Google Scholar] [CrossRef]
- Pei, J.; Meng, F.; Li, Y.; Yuan, S.; Chen, J. Effects of distance between impeller and guide vane on losses in a low head pump by entropy production analysis. Adv. Mech. Eng. 2016, 8. [Google Scholar] [CrossRef] [Green Version]
- Kang, L.; Bu, G.; Zhang, J. Type selection of Daxigang Drainage Pumping Station structure in Wuxi Taihu New City. China Water Wastewater 2013, 29, 14–17. [Google Scholar]
- Xu, L.; Lu, L.; Chen, W.; Wang, G. Flow pattern analysis on inlet and outlet conduit of shaft tubular pump system of Pizhou pumping station in South-to-North Water Diversion Project. Trans. Chin. Soc. Agric. Eng. 2012, 28, 50–56. [Google Scholar]
- Pranav, V.; Lokavarapu, B.R.; Nilesh, P. CFD analysis of double suction centrifugal pump with double volute. Period. Polytech. Mech. Eng. 2018, 62, 74–82. [Google Scholar]
- Grzegorz, P.; Piotr, W.; Andriy, Z. Experimental and numerical studies on the influence of blade number in a small water turbine. Energies 2021, 14, 2604. [Google Scholar]
- Liu, Y.; Zhou, J.; Guo, Q.; Shen, A.; Zhang, J. 3-D CFD simulation of transients in multiple pump system with some pumps being stopped. J. Hydrodyn. 2021, 33, 583–592. [Google Scholar] [CrossRef]
- Daniel, A.; Du, J.; Ransford, O.D.; Eric, O.A.; Muhammad, A.S.K. Numerical and experimental characterization of splitter blade impact on pump as turbine performance. Sci. Prog. 2021, 104. [Google Scholar] [CrossRef]
- Liu, N.; Wang, Y.S.; Zhang, G. Model Pump Test on the Same Test-Bed for the South-to-North Water Diversion; China Water Power Press: Beijing, China, 2006. [Google Scholar]
- Shi, L.; Yuan, Y.; Jiao, H.; Tang, F.; Cheng, L.; Yang, F.; Jin, Y.; Zhu, J. Numerical investigation and experiment on pressure pulsation characteristics in a full tubular pump. Renew. Energy 2021, 163, 987–1000. [Google Scholar] [CrossRef]
- Ramirez, R.; Avila, E.; Lopez, L.; Bula, A.; Duarte Forero, J. CFD characterization and optimization of the cavitation phenomenon in dredging centrifugal pumps. Alex. Eng. Jouranl 2020, 59, 291–309. [Google Scholar] [CrossRef]
- Liu, H.; Liu, M.; Bai, Y.; Du, H.; Dong, L. Convergence of centrifugal pump meshes based on GCI. J. Jiangsu Uinversity Nat. Sci. Ed. 2014, 35, 279–283. [Google Scholar]
- Wang, F. Computational Fluid Dynamics Analysis–Principle and Application of CFD Software; Tsinghua University Press: Beijing, China, 2004; pp. 83–91. [Google Scholar]
- Liang, J.; Lu, L.; Xu, L.; Chen, W. Selection of nD value of large low lift pump device. J. Drain. Irrig. Mech. Eng. 2011, 29, 236–240. [Google Scholar]














| Grid Number | 1,285,611 | 1,694,745 | 2,240,241 | 2,963,731 | 3,885,808 |
|---|---|---|---|---|---|
| Pump device head (m) | 1.61 | 1.67 | 1.72 | 1.74 | 1.75 |
| Computational Domain | Forebay | Inlet Conduit | Pump Impeller | Guide Vane | Outlet Conduit | Outlet Sump | Total |
|---|---|---|---|---|---|---|---|
| Grid numbers | 370,590 | 1020,569 | 541,245 | 685,722 | 295,355 | 50,250 | 2,963,731 |
| Optimal Working Condition of Pump Device | |||||||
|---|---|---|---|---|---|---|---|
| −2° | 0° | 212 | 1.69 | 80.7 | 227 | 1.35 | 78.6 |
| −12° | 214 | 1.64 | 79.1 | ||||
| 0° | 0° | 233 | 1.74 | 80.8 | 257 | 1.16 | 76.3 |
| −12° | 236 | 1.62 | 78.6 | ||||
Publisher’s Note: MDPI stays neutral with regard to jurisdictional claims in published maps and institutional affiliations. |
© 2022 by the authors. Licensee MDPI, Basel, Switzerland. This article is an open access article distributed under the terms and conditions of the Creative Commons Attribution (CC BY) license (https://creativecommons.org/licenses/by/4.0/).
Share and Cite
Xu, L.; Lv, F.; Li, F.; Ji, D.; Shi, W.; Lu, W.; Lu, L. Comparison of Energy Performance of Shaft Tubular Pump Device at Two Guide Vane Inlet Angles. Processes 2022, 10, 1054. https://doi.org/10.3390/pr10061054
Xu L, Lv F, Li F, Ji D, Shi W, Lu W, Lu L. Comparison of Energy Performance of Shaft Tubular Pump Device at Two Guide Vane Inlet Angles. Processes. 2022; 10(6):1054. https://doi.org/10.3390/pr10061054
Chicago/Turabian StyleXu, Lei, Fusheng Lv, Feifan Li, Dongtao Ji, Wei Shi, Weigang Lu, and Linguang Lu. 2022. "Comparison of Energy Performance of Shaft Tubular Pump Device at Two Guide Vane Inlet Angles" Processes 10, no. 6: 1054. https://doi.org/10.3390/pr10061054
APA StyleXu, L., Lv, F., Li, F., Ji, D., Shi, W., Lu, W., & Lu, L. (2022). Comparison of Energy Performance of Shaft Tubular Pump Device at Two Guide Vane Inlet Angles. Processes, 10(6), 1054. https://doi.org/10.3390/pr10061054
