Risk Classification of Shale Gas Gathering and Transportation Pipelines Running through High Consequence Areas
Abstract
:1. Introduction
2. Materials and Methodology
- (1)
- HCAs identification: determine the pipelines running through HCAs to be analyzed;
- (2)
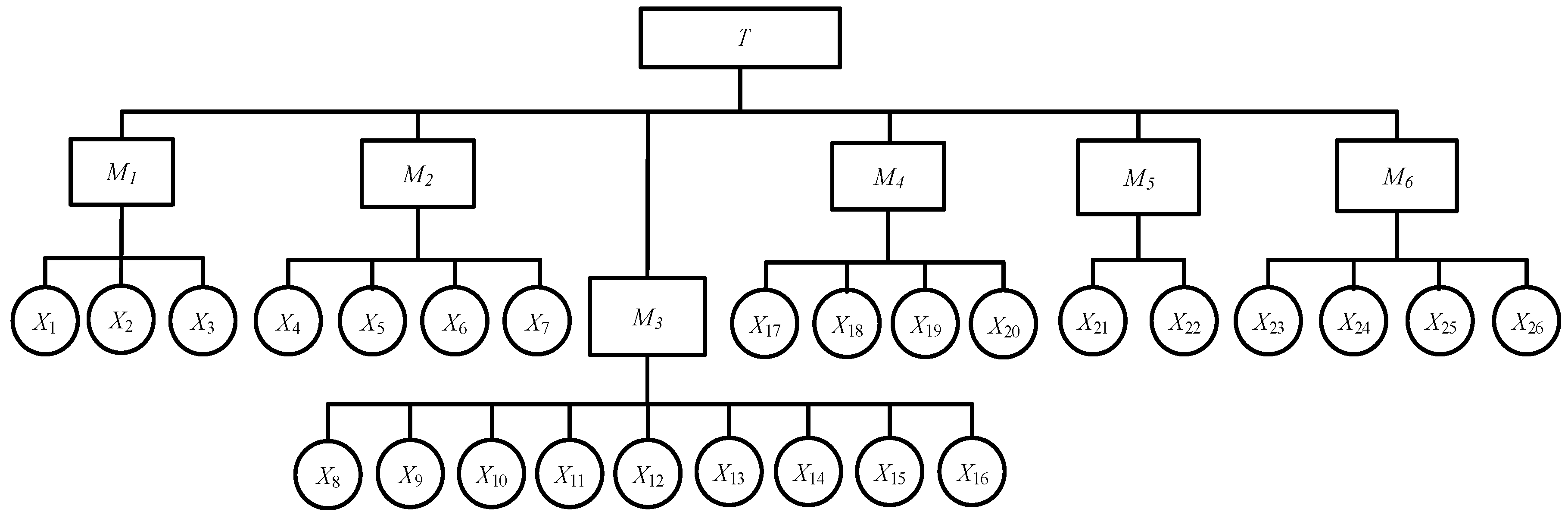
- Establish pipelines failure index system: identify different failure scenarios of shale gas gathering and transmission pipelines and record the hierarchical relationship between each failure factor;
- (3)
- Single factor analysis: according to the secondary index of shale gas pipeline failure factors in HCAs and the principle of failure probability scoring, determine the membership degree of each single factor;
- (4)
- Determine index objective weight: combine with expert scoring and transform the failure model of shale gas pipelines into Bayesian network. Minimize subjectivity and data uncertainty;
- (5)
- Fuzzy comprehensive evaluation of HCAs: according to the weight of each index obtained in the above steps to determine the comprehensive weight. It can be used for risk classification and the evaluation of HCAs.
2.1. Establish Evaluation Index Set
2.2. Determine Each Index Weight
2.2.1. Determine Expert Scoring Weight
2.2.2. Determine Each Index Weight
2.2.3. Determine Comprehensive Weight
2.3. Fuzzy Comprehensive Evaluation of Pipeline Risk Grade in High Consequence Areas
2.3.1. Risk Identification of High Consequence Areas
2.3.2. Build Comment Set
2.3.3. Sub-Factor Evaluation
2.3.4. Multi Factor Fuzzy Comprehensive Evaluation
3. Application of the Proposed Methodology
3.1. Risk Assessment of Shale Gas Gathering and Transportation Pipeline
3.2. Establish the Factors to Monitor Pipeline Failures
3.3. Expert Weight Calculation
3.3.1. Objective Weight Calculation
3.3.2. Modification of FAHP by Bayesian Network
3.4. Fuzzy Comprehensive Evaluation of Risk in High Consequence Areas
3.4.1. High Consequence Areas Recognition
3.4.2. Sub-Factor Evaluation
3.4.3. Multi-Factor Fuzzy Comprehensive Evaluation
4. Discussion
5. Conclusions
Author Contributions
Funding
Institutional Review Board Statement
Informed Consent Statement
Data Availability Statement
Acknowledgments
Conflicts of Interest
Appendix A. Normalization process
References
- Chen, X.; Wu, Z.; Chen, W.; Kang, R.; He, X.; Miao, Y. Selection of key indicators for reputation loss in oil and gas pipeline failure event. Eng. Fail. Anal. 2019, 99, 69–84. [Google Scholar] [CrossRef]
- Li, M.; Zheng, H.; Xue, X.; Xue, L.; Ai, M.; Ma, W. Reliability evaluation and management of PetroChina’s large-scale system of natural gas pipeline networks. J. Nat. Gas Geosci. 2019, 4, 287–295. [Google Scholar] [CrossRef]
- Stephens, M.; Leewis, K.G.; Moore, D.K. A Model for Sizing High Consequence Areas Associated With Natural Gas Pipelines. In Proceedings of the 2002 4th International Pipeline Conference, Calgary, AB, Canada, 29 September–3 October 2002. [Google Scholar] [CrossRef] [Green Version]
- Onisawa, T. An approach to human reliability in man-machine systems using error possibility. Fuzzy Sets Syst. 1988, 27, 87–103. [Google Scholar] [CrossRef]
- Lam, C.; Zhou, W. Statistical analyses of incidents on onshore gas transmission pipelines based on PHMSA database. Int. J. Press. Vessel. Pip. 2016, 145, 29–40. [Google Scholar] [CrossRef]
- Zhang, P.; Peng, X.; Li, X. Oil and Gas Pipeline Limited Charge Optimum Maintenance Decision-Making Analysis Based on Fuzzy-Gray-Element Theory and Fuzzy Analytical Hierarchy Process. In Proceedings of the International Conference on Fuzzy Information and Engineering South West Petroleum University, Chengdu, China, 13–16 May 2007. [Google Scholar] [CrossRef]
- Wang, X.; Shuai, J.; Song, H.; Wang, Y. Identification and hierarchical management of high consequence area for oil pipeline. China Saf. Sci. J. 2015, 25, 149–154. [Google Scholar] [CrossRef]
- Dong, S.; Wang, D.; Fei, F.; An, Y.; Dong, Q.; Zhou, Y. Upgrading of pipeline regions and control of public security risks. Chin. J. Oil Gas Storage Transp. 2014, 11, 1164–1170. [Google Scholar] [CrossRef]
- Shan, K.; Shuai, J. Study on management of risk in natural gas pipelines after upgrading location class. China Saf. Sci. J. 2016, 26, 145–150. [Google Scholar] [CrossRef]
- Yao, A.L.; Zhou, L.G.; Wang, L.; Wang, X.T.; Li, Y.L. Management of and risk evaluation on long-distance gas pipelines related to regional level upgrading. Chin. J. Nat. Gas Ind. 2017, 37, 124–130. [Google Scholar] [CrossRef]
- Kim, J.; Lee, J.; Kim, B.C.; Kim, J. Raw material criticality assessment with weighted indicators: An application of fuzzy analytic hierarchy process. Resour. Policy 2019, 60, 225–233. [Google Scholar] [CrossRef]
- Guo, C.; Khan, F.; Imtiaz, S. Copula-based Bayesian network model for process system risk assessment. Process Saf. Environ. Prot. 2019, 123, 317–326. [Google Scholar] [CrossRef]
- Khakzad, N.; Khan, F.; Amyotte, P. Dynamic safety analysis of process systems by mapping bow-tie into Bayesian network. Process Saf. Environ. Prot. 2013, 91, 46–53. [Google Scholar] [CrossRef]
- Lee, Y.; Haberman, S.; Dorans, N. Use of Adjustment by Minimum Discriminant Information in Linking Constructed-Response Test Scores in the Absence of Common Items. J. Educ. Meas. 2019, 56, 452–472. [Google Scholar] [CrossRef]
- Haberman, S.; Yao, L. Repeater Analysis for Combining Information from Different Assessments. J. Educ. Meas. 2015, 52, 223–251. [Google Scholar] [CrossRef]
- GB 32167; Oil and Gas Pipeline Integrity Management Specification. China National Standardization Administration Committee: Beijing, China, 2015.
- Halim, S.; Yu, M.; Escobar, H.; Quddus, N. Towards a causal model from pipeline incident data analysis. Process Saf. Environ. Prot. 2020, 143, 348–360. [Google Scholar] [CrossRef]
- Yan, C.; Quddus, N.; Mashuga, C. Bayesian Network and Game Theory Risk Assessment Model for Third-Party Damage to Oil and Gas Pipelines. Process Saf. Environ. Prot. 2019, 134, 178–188. [Google Scholar] [CrossRef]
- Guo, Y.; Meng, X.; Wang, D.; Meng, T.; Liu, S.H.; He, R.Y. Comprehensive risk evaluation of long-distance oil and gas transportation pipelines using a fuzzy petri net model. J. Nat. Gas Sci. Eng. 2016, 33, 18–29. [Google Scholar] [CrossRef]
- Wang, X.; Duan, Q. Improved AHP–TOPSIS model for the comprehensive risk evaluation of oil and gas pipelines. Pet. Sci. 2019, 16, 245–258. [Google Scholar] [CrossRef] [Green Version]
- Li, X.; Chen, G.; Zhu, H. Quantitative risk analysis on leakage failure of submarine oil and gas pipelines using Bayesian network. Process Saf. Environ. Prot. 2016, 103, 163–173. [Google Scholar] [CrossRef]
- Badida, P.; Balasulbramaniam, Y.; Jayapraakash, J. Risk evaluation of oil and natural gas pipelines due to natural hazards using fuzzy fault tree analysis. J. Nat. Gas Sci. Eng. 2019, 66, 284–292. [Google Scholar] [CrossRef]
- Guo, X.; Zhang, L.; Liang, W.; Haugen, S. Risk identification of third-party damage on oil and gas pipelines through the bayesian network. J. Loss Prev. Process Ind. 2018, 54, 163–178. [Google Scholar] [CrossRef]
- Zarei, E.; Yazdi, M.; Abbassi, R.; Khan, F. A hybrid model for human factor analysis in process accidents: Fbn-hfacs. J. Loss Prev. Process Ind. 2019, 57, 142–155. [Google Scholar] [CrossRef]
- Sintef, N.T.N.U. Offshore and Onshore Reliability Data Handbook; OREDA Participants: Oslo, Norway, 2015. [Google Scholar]
- Wang, T.; Wang, X.; Zairong, L.; Xue, L.; Gao, Z.; Wang, Y. Comparison on failures of long- distance oil & gas pipelines at home and abroad. Oil Gas Storage Transp. 2017, 36, 1258–1264. [Google Scholar] [CrossRef]
- Shan, K.; Shuai, J.; Yang, G.; Meng, W.; Zhang, H. Evaluation method for basic failure probability of oil and gas pipeline based on accident statistics in the United States and enlightenments. Chin. J. Integr. Reliab. 2020, 39, 530–535. [Google Scholar] [CrossRef]
- Huang, P.; Xu, J.; Lai, Y.; Zhang, Y. Human factors analysis of leakage explosion of oil and gas pipeline based on HFACS and AHP. Saf. Environ. Eng. 2016, 23, 114–118. [Google Scholar] [CrossRef]
- Liu, J.; Zhu, Y.; Qin, H.; Liu, W.; Xiao, W. Risk analysis of subsea x-tree system leakage based on bayesian networks. Lubr. Eng. 2018, 43, 109–114. [Google Scholar] [CrossRef]
- Hao, Y.; Xing, Z.; Wang, K.; Shao, H.; Wei, J. Quantitative risk analysis of natural gas pipeline failure. Oil Gas Storage Transp. 2011, 30, 263–265. [Google Scholar]



| Scale | Definition |
|---|---|
| 1 | Very unimportant |
| 3 | Slightly unimportant |
| 5 | General important |
| 7 | Slightly important |
| 9 | Very important |
| 3, 4, 6, 8 | Between 1–2 or 3–5 or 5–7 or 7–9 |
| Number | Indicator | Expert Category | Score |
|---|---|---|---|
| 1 | Expert popularity | National famous scholar, provincial and ministerial scholar, other | 3, 2, 1 |
| 2 | Professional title | Associate senior and above, intermediate, other | 3, 2, 1 |
| 3 | Educational background | Doctor, master’s degree, undergraduate | 3, 2, 1 |
| 4 | Problem familiarity | Major, specialty-related, not related to the major | 3, 2, 1 |
| 5 | Evaluation confidence | Confident, less confident, general confident | 3, 2, 1 |
| Category | Pipe Diameter | Precondition | Subitems | Serial Number |
|---|---|---|---|---|
| HCAs | Greater than 762 mm, and the maximum allowable operating pressure is more than 6.9 MPa (198 m) | Radius of influence area | Particular area 1 | II |
| Particular area 2 | II | |||
| Particular area 3 | II | |||
| Less than 273 mm, and the maximum allowable operating pressure is less than 1.6 MPa(35 m) | Particular area 1 | I | ||
| Particular area 2 | I | |||
| Particular area 3 | I | |||
| Other pipe diameters | 200 m inside and outside the pipeline | Particular area 1 | I | |
| Particular area 2 | I | |||
| Particular area 3 | I | |||
| All the pipe diameters | Level 3 areas | II | ||
| Level 4 areas | III |
| Principle | Risk Description | Grade |
|---|---|---|
| The pipeline has experienced similar failures several times a year or is expected to fail within one year. | Highest | V |
| Similar failure of pipelines occurs every year or failure is expected to occur within 1–3 years. | High | IV |
| Similar failure of pipelines occurs every year, or failure is expected to occur within 3–5 years. | Medium | III |
| Similar failure has occurred in the enterprise or is expected to occur within 5–10 years. | Low | II |
| Similar failures have occurred in the enterprise or are expected to occur after more than 10 years. | Lowest | I |
| Serial Number | Feature Description | Length (km) | Grade of HCAs |
|---|---|---|---|
| HCAs1 | Primary school and residential area | 2.20 | III |
| HCAs2 | Township | 4.56 | III |
| HCAs3 | Crossing large and medium rivers | 0.43 | I |
| No. | Description | No. | Description |
|---|---|---|---|
| X1 | Third party construction | X14 | Protective layer performance failure |
| X2 | Serious pipeline pressure | X15 | cathodic protection measures failure |
| X3 | Artificially vandalism | X16 | Stray current interference |
| X4 | Effusion containing Cl−, HCO3− plasma | X17 | Unreasonable pipeline design |
| X5 | Sulfate-bearing reducing bacteria (SRB) | X18 | Manufacture defects |
| X6 | Contain erosion | X19 | Material defect |
| X7 | Inner protective layer failure | X20 | Construction defect |
| X8 | Sulphide in soil | X21 | Operational mis-operation |
| X8 | High salinity of soil | X22 | Maintenance mis-operation |
| X10 | Low PH of soil | X23 | Flood damage |
| X11 | Soil contains corrosive bacteria | X24 | Debris flow |
| X12 | High soil redox potential | X25 | Landslide |
| X13 | High soil moisture content | X26 | Earthquake disaster |
| Parent Factor of T | M1 | M2 | M3 | M4 | M5 | M6 |
|---|---|---|---|---|---|---|
| M1 | 1 | 1 | 1 | 1 | 1 | 1 |
| M2 | 0.66 | 1 | 1 | 1 | 1 | 1 |
| M3 | 0.60 | 0.99 | 1 | 1 | 1 | 1 |
| M4 | 0.35 | 0.35 | 0.72 | 1 | 1 | 0.98 |
| M5 | 0.28 | 0.62 | 0.64 | 0.90 | 1 | 0.89 |
| M6 | 0.36 | 0.72 | 0.73 | 1 | 1 | 1 |
| Sub-Factors of M1 | X1 | X2 | X3 |
|---|---|---|---|
| X1 | 1 | 1 | 1 |
| X2 | 0.75 | 1 | 0.92 |
| X3 | 0.81 | 1 | 1 |
| Sub-Factors of M2 | X4 | X5 | X6 | X7 |
|---|---|---|---|---|
| X4 | 1 | 1 | 0.97 | 0.94 |
| X5 | 0.86 | 1 | 0.84 | 0.80 |
| X6 | 1 | 1 | 1 | 0.97 |
| X7 | 1 | 1 | 1 | 1 |
| Sub-Factors of M3 | X8 | X9 | X10 | X11 | X12 | X13 | X14 | X15 | X16 |
|---|---|---|---|---|---|---|---|---|---|
| X8 | 1 | 1 | 1 | 1 | 1 | 0.46 | 0.88 | 0.73 | 0.99 |
| X9 | 0.95 | 1 | 1 | 1 | 1 | 0.45 | 0.84 | 0.70 | 0.94 |
| X10 | 0.78 | 0.82 | 1 | 0.93 | 0.91 | 0.26 | 0.68 | 0.52 | 0.77 |
| X11 | 0.86 | 0.90 | 1 | 1 | 0.98 | 0.34 | 0.75 | 0.60 | 0.85 |
| X12 | 0.88 | 0.92 | 1 | 1 | 1 | 0.36 | 0.77 | 0.62 | 0.86 |
| X13 | 1 | 1 | 1 | 1 | 1 | 1 | 1 | 1 | 1 |
| X14 | 1 | 1 | 1 | 1 | 1 | 0.63 | 1 | 0.87 | 1 |
| X15 | 1 | 1 | 1 | 1 | 1 | 0.77 | 1 | 1 | 1 |
| X16 | 1 | 1 | 1 | 1 | 1 | 0.52 | 0.90 | 0.76 | 1 |
| Sub-factors of M4 | X17 | X18 | X19 | X20 |
|---|---|---|---|---|
| X17 | 1 | 0.91 | 0.95 | 0.22 |
| X18 | 1 | 1 | 1 | 0.37 |
| X19 | 1 | 0.96 | 1 | 0.27 |
| X20 | 1 | 1 | 1 | 1 |
| Sub-Factors of M5 | X21 | X22 |
|---|---|---|
| X21 | 1 | 0.99 |
| X22 | 1 | 1 |
| Sub-Factors of M6 | X23 | X24 | X25 | X26 |
|---|---|---|---|---|
| X23 | 1 | 1 | 0.85 | 1 |
| X24 | 0.94 | 1 | 0.77 | 1 |
| X25 | 1 | 1 | 1 | 1 |
| X26 | 0.91 | 0.97 | 0.75 | 1 |
| Number | Prior Probability (km·a) | Posterior Probability | Objective Weight | Number | Prior Probability (km·a) | Posterior Probability | Objective Weight |
|---|---|---|---|---|---|---|---|
| X1 | 3.0 × 10−3 | 3.2 × 10−2 | 3.0 × 10−2 | X14 | 6.0 × 10−3 | 6.4 × 10−2 | 6.1 × 10−2 |
| X2 | 1.3 × 10−3 | 1.4 × 10−2 | 1.3 × 10−2 | X15 | 5.6 × 10−3 | 6.0 × 10−2 | 5.7 × 10−2 |
| X3 | 5.0 × 10−3 | 5.3 × 10−2 | 5.1 × 10−2 | X16 | 6.5 × 10−3 | 7.0 × 10−2 | 6.6 × 10−2 |
| X4 | 4.8 × 10−3 | 5.1 × 10−2 | 4.9 × 10−2 | X17 | 1.9 × 10−3 | 2.0 × 10−2 | 1.9 × 10−2 |
| X5 | 6.5 × 10−3 | 6.9 × 10−2 | 6.6 × 10−2 | X18 | 1.1 × 10−3 | 1.2 × 10−2 | 1.1 × 10−2 |
| X6 | 6.6 × 10−3 | 7.0 × 10−2 | 6.7 × 10−2 | X19 | 1.1 × 10−3 | 1.2 × 10−2 | 1.1 × 10−2 |
| X7 | 6.0 × 10−3 | 6.4 × 10−2 | 6.1 × 10−2 | X20 | 6.7 × 10−3 | 7.2 × 10−2 | 6.8 × 10−2 |
| X8 | 4.8 × 10−3 | 5.1 × 10−2 | 4.9 × 10−2 | X21 | 2.4 × 10−3 | 2.6 × 10−2 | 2.5 × 10−2 |
| X9 | 4.5 × 10−3 | 4.8 × 10−2 | 4.6 × 10−2 | X22 | 1.8 × 10−3 | 1.9 × 10−2 | 1.8 × 10−2 |
| X10 | 3.0 × 10−3 | 3.2 × 10−2 | 3.1 × 10−2 | X23 | 9.0 × 10−4 | 0.96 × 10−2 | 9.2 × 10−3 |
| X11 | 4.8 × 10−3 | 5.1 × 10−2 | 4.9 × 10−2 | X24 | 9.0 × 10−4 | 0.96 × 10−2 | 9.2 × 10−3 |
| X12 | 3.5 × 10−3 | 3.7 × 10−2 | 3.6 × 10−2 | X25 | 2.2 × 10−3 | 2.4 × 10−2 | 2.3 × 10−2 |
| X13 | 6.0 × 10−3 | 6.4 × 10−2 | 6.1 × 10−2 | X26 | 1.2 × 10−3 | 1.3 × 10−2 | 1.2 × 10−2 |
| Factor | Weight | Judge Level and Membership | |||||
|---|---|---|---|---|---|---|---|
| Serial Number | Numerical Value | Low (I) | Lower (II) | Medium (III) | Higher (IV) | High (V) | |
| X3 | 1 | 0.063 | 0.10 | 0.38 | 0.28 | 0.16 | 0.08 |
| X6 | 2 | 0.062 | 0.38 | 0.28 | 0.22 | 0.08 | 0.04 |
| X7 | 3 | 0.060 | 0.34 | 0.16 | 0.42 | 0.08 | 0.00 |
| X20 | 4 | 0.059 | 0.36 | 0.24 | 0.20 | 0.12 | 0.08 |
| X5 | 5 | 0.058 | 0.44 | 0.20 | 0.36 | 0.00 | 0.00 |
| X4 | 6 | 0.053 | 0.14 | 0.28 | 0.56 | 0.02 | 0.00 |
| X1 | 7 | 0.051 | 0.48 | 0.16 | 0.26 | 0.08 | 0.02 |
| X21 | 8 | 0.045 | 0.30 | 0.38 | 0.10 | 0.14 | 0.08 |
| X13 | 9 | 0.041 | 0.28 | 0.42 | 0.14 | 0.10 | 0.06 |
| X16 | 10 | 0.041 | 0.20 | 0.26 | 0.36 | 0.12 | 0.06 |
| X14 | 11 | 0.040 | 0.40 | 0.30 | 0.14 | 0.12 | 0.04 |
| X15 | 12 | 0.039 | 0.30 | 0.24 | 0.32 | 0.10 | 0.04 |
| X22 | 13 | 0.039 | 0.14 | 0.36 | 0.38 | 0.08 | 0.04 |
| X8 | 14 | 0.035 | 0.20 | 0.38 | 0.36 | 0.06 | 0.00 |
| X9 | 15 | 0.033 | 0.18 | 0.30 | 0.38 | 0.10 | 0.04 |
| X25 | 16 | 0.033 | 0.36 | 0.28 | 0.32 | 0.04 | 0.00 |
| X11 | 17 | 0.033 | 0.10 | 0.42 | 0.36 | 0.08 | 0.04 |
| X2 | 18 | 0.031 | 0.30 | 0.24 | 0.36 | 0.10 | 0.00 |
| X12 | 19 | 0.028 | 0.32 | 0.22 | 0.36 | 0.06 | 0.04 |
| X17 | 20 | 0.027 | 0.10 | 0.30 | 0.50 | 0.06 | 0.04 |
| X10 | 21 | 0.025 | 0.18 | 0.32 | 0.42 | 0.06 | 0.02 |
| X26 | 22 | 0.023 | 0.30 | 0.24 | 0.28 | 0.12 | 0.06 |
| X18 | 23 | 0.021 | 0.24 | 0.40 | 0.36 | 0.00 | 0.00 |
| X19 | 24 | 0.021 | 0.30 | 0.36 | 0.24 | 0.06 | 0.04 |
| X23 | 25 | 0.021 | 0.18 | 0.22 | 0.46 | 0.08 | 0.06 |
| X24 | 26 | 0.020 | 0.18 | 0.56 | 0.26 | 0.00 | 0.00 |
Publisher’s Note: MDPI stays neutral with regard to jurisdictional claims in published maps and institutional affiliations. |
© 2022 by the authors. Licensee MDPI, Basel, Switzerland. This article is an open access article distributed under the terms and conditions of the Creative Commons Attribution (CC BY) license (https://creativecommons.org/licenses/by/4.0/).
Share and Cite
Chen, K.; Shi, N.; Lei, Z.; Chen, X.; Qin, W.; Wei, X.; Liu, S. Risk Classification of Shale Gas Gathering and Transportation Pipelines Running through High Consequence Areas. Processes 2022, 10, 923. https://doi.org/10.3390/pr10050923
Chen K, Shi N, Lei Z, Chen X, Qin W, Wei X, Liu S. Risk Classification of Shale Gas Gathering and Transportation Pipelines Running through High Consequence Areas. Processes. 2022; 10(5):923. https://doi.org/10.3390/pr10050923
Chicago/Turabian StyleChen, Kun, Nan Shi, Zhenjie Lei, Xu Chen, Wei Qin, Xin Wei, and Shanghao Liu. 2022. "Risk Classification of Shale Gas Gathering and Transportation Pipelines Running through High Consequence Areas" Processes 10, no. 5: 923. https://doi.org/10.3390/pr10050923
APA StyleChen, K., Shi, N., Lei, Z., Chen, X., Qin, W., Wei, X., & Liu, S. (2022). Risk Classification of Shale Gas Gathering and Transportation Pipelines Running through High Consequence Areas. Processes, 10(5), 923. https://doi.org/10.3390/pr10050923

