Abstract
The performance of heavy oil visbreaking in supercritical cyclohexane (SCC6H12) was evaluated, followed by a comparison with its reaction in supercritical benzene (SCC6H6). The dealkylation-based viscosity reduction in the SCC6H12 was accelerated by improving the diffusivity, through which a product viscosity (80 °C) as low as 0.5 Pa.s was readily obtained by visbreaking at 380 °C for 5 min. A competition between dealkylation and condensation took place throughout the visbreaking process. As the reaction proceeded or the temperature increased, condensation played an increasingly dominant role in the visbreaking. Unlike the inert SCC6H6, the SCC6H12 participated in the visbreaking by saturating the alkyl carbon radicals essential for dealkylation and the aromatic carbon radicals essential for condensation. The viscosity reduction efficiency of the visbreaking in the SCC6H12 was initially suppressed by the H-donation of the solvent, but recovered rapidly due to the improved diffusion environment. Benefiting from the saturation of the aromatic carbon radicals, the asphaltene content of the product obtained in the SCC6H12 was lower than the corresponding value of the product obtained in the SCC6H6.
1. Introduction
According to the International Energy Agency, by 2030, oil demand will steadily increase from 11.6 million tons per day in 2010 to 14.5 million tons per day [1]. As the share of light crude oil in the remaining oil reserves declines, the utilization of unconventional heavy oil resources will become economically feasible. Heavy oils, including oil-sand bitumen, are dense materials with a viscosity of up to 10 Pa.s at ambient temperature. To meet the requirements for long-distance transportation, pretreatments involving viscosity reduction must be performed.
Visbreaking has been widely used in the petroleum processing industry. By maintaining a temperature of 400 to 500 °C in a coil or a soaker visbreaker for a certain residence time, the viscosity of visbreaking products is reduced [2,3]. However, the significant increase in asphaltene and olefin contents occurs simultaneously. Despite more than 100 years of application, the visbreaking technologies available are still characterized by low viscosity reduction efficiency and inferior product quality.
As with delayed coking, visbreaking also follows a free radical chain reaction mechanism [4]. The elementary reactions involved can be categorized into two reaction trends, namely dealkylation and condensation [5]. The former is responsible for the decomposition of heavy fractions and the viscosity reduction of visbreaking products, while the latter leads to the sequential condensation of oil fractions to coke. Based on the reported reaction kinetics data, Liu et al. found that dealkylation and condensation have a tandem structure at low temperatures and a parallel structure at high temperatures [6]. If dealkylation-based visbreaking is performed in a tandem structure, it is theoretically possible to suppress secondary condensation by terminating the visbreaking at an appropriate reaction time. Unfortunately, due to the diffusion limitation on the reaction kinetics in the viscous oil phase, the efficiency of free radical reactions at low temperatures is extremely poor [7].
To alleviate the diffusion limitation caused by high viscosity to reaction kinetics, supercritical fluids (SCFs) showing gas-like transport properties (diffusivity and viscosity) and liquid-like density were applied to heavy oil visbreaking. Under ambient conditions, water is a typical polar solvent with a dielectric constant of 78. Due to the partial destruction of hydrogen bonds between water molecules, supercritical water (SCH2O, Tc = 374 °C, Pc = 22.1 MPa) becomes a non-polar solvent with a dielectric constant around 2 [8]. It has been confirmed that at a water-to-oil ratio higher than 3 and a water density higher than 0.25 g/mL, the visbreaking of heavy oil in the solvent of SCH2O can be transferred into SCH2O with dynamic viscosity as low as 10−5 Pa.s [6]. Since the diffusion coefficient of a substance is inversely proportional to the viscosity of the system, the diffusion coefficient of oil molecules in SCH2O is about one to two orders of magnitude higher than that in the heavy oil. After alleviating the limitation of diffusion to reaction kinetics, an acceleration in viscosity reduction was observed at moderate temperatures of 390 to 420 °C. To verify the advantage of the tandem structure in visbreaking, supercritical benzene (SCC6H6, Tc = 289 °C, Pc = 4.9 MPa) was also tried [9]. Benzene remaining thermally stable up to 550 °C is completely miscible with heavy oil under ambient conditions, so the mixture of heavy oil and SCC6H6 should exist in the single-phase structure. Even at the temperature as low as 340 °C, the visbreaking in SCC6H6 could be accomplished efficiently. At the same time, the formation of asphaltenes and olefins is suppressed. The combination of the tandem structure with SCFs with improved diffusivity offers a good opportunity to overcome the drawbacks of traditional visbreaking technologies.
To increase the feasibility of SCF visbreaking technologies, environmentally friendly solvents and mild operating conditions are required. SCH2O is too harsh for industrial operations, while SCC6H6 is highly toxic. It should be noted that some light alkanes are produced during visbreaking. If supercritical light alkanes are used as the solvents for visbreaking, the reaction can proceed without external solvent intervention. Even if SCH2O or SCC6H6 is still used as the solvent, the recycling of the solvent must be considered during continuous industrial operations. Therefore, light alkanes are inevitably mixed into the solvent. Unlike inert benzene and water, light alkanes may participate in visbreaking. Based on these considerations, the understanding of visbreaking in the presence of supercritical alkanes is critical for the industrial application of supercritical visbreaking technology. However, this important issue has not been studied in academia.
Herein, the reaction behavior of heavy oil visbreaking in supercritical cyclohexane (SCC6H12, Tc = 280.4 °C, Pc = 4.1 MPa) was studied. The viscosity reduction performance under various SCC6H12 environments was measured first, followed by the characterization of the properties of the obtained products. By comparing this with the visbreaking in SCC6H6, the effect of H-donation on the unique visbreaking behavior in the SCC6H12 solvent is further discussed. Through this study, it is hoped that the effects of supercritical solvents with different physical and chemical properties on heavy oil visbreaking can be further understood from the perspective of the phase structure, diffusion, and reaction mechanism.
2. Experimental Procedure
2.1. Apparatus and Reaction Runs
In order to compare the visbreaking in different SCFs, a heavy oil used in previous work was also used here [6,9]. For simplicity, the raw heavy oil provided by Sinopec Changling Refining and Chemical Company is referred to as Changling VR in the following text. Table 1 lists some basic properties of the raw heavy oil, and the symbols used in the table are explained in Nomenclature section. Changling VR has a high viscosity, which can only be measured at a temperature of 120 °C or higher.
Table 1.
Properties of raw heavy oil.
The visbreaking of Changling VR in the solvent of SCC6H12 was applied in a Parr 4598-HPHT autoclave (Parr Instrument Company, USA), as shown in Figure 1. The autoclave, which had a capacity of 0.1 L, was made of SS 316 L steel and equipped with flat paddles. The temperature fluctuation during visbreaking could be controlled within ±3 °C.
Figure 1.
Schematic diagram of reaction device.
In a typical visbreaking operation under the SCC6H12 environment, a certain amount of heavy oil and cyclohexane were first added into the autoclave. After purging with N2 with a purity of 99.99%, the reactor was sealed and heated from room temperature to a preset temperature at a slope of 15 °C/min. The moment the temperature reached the preset value was determined to be the onset of visbreaking. To obtain a uniform temperature distribution in the reactor, the stirring rate was kept at 200 rpm during preheating and 800 rpm during visbreaking. Finally, the visbreaking for a given reaction time was quenched by immersing the reactor body in a water bath. Visbreaking was also performed under a specific SCC6H6 environment, that is, a temperature of 380 °C, a solvent-to-heavy-oil ratio of 3:1 (wt) and a solvent density of 0.25 g/mL. The operating procedure was the same as that under the SCC6H12 environment.
2.2. Analytical Procedures
After visbreaking in SCC6H12, the autoclave was thoroughly washed with dichloromethane to collect products. If any solid coke was present, it was first removed by filtration. Dichloromethane and cyclohexane were then separated from the liquid product by vacuum rotary evaporation at temperatures of 30 and 50 °C, respectively. The separation of the visbreaking product obtained under the SCC6H6 environment was similar to that under the SCC6H12 environment.
Petroleum fractions and products can be characterized by their group composition or boiling-point distribution. Through elution with different solvents, the raw heavy oil and visbreaking products were separated into saturates, aromatics, resins, and asphaltenes (SARA fractions) in a column packed with Al2O3. The SARA separation follows the standard of Chinese Oil and Gas SY/T 5119 − 2016. Simulated distillation is a gas chromatography (GC) method in which oil samples are separated in a non-polar chromatographic column in order of their boiling points. In this work, the simulated distillation of the oil samples was applied on an Agilent 7890 GC (Agilent Technologies, Inc., Santa Clara, CA, USA) based on the standard of ASTM D2887.
Valid visbreaking operations were defined as experiments with a coke yield of less than 0.1 wt%. At this point, gas production was negligible. The mass balance of the visbreaking products consisting of liquid SARA fractions was usually higher than 98%. The yields of SARA fractions (Yi) were evaluated by
where mi denotes the weight of the collected SARA fractions and mraw is the weight of the loaded raw heavy oil.
The colloidal instability index (CII) of raw heavy oil and visbreaking products was calculated by [10]:
Based on nuclear magnetic resonance (NMR) analyses, the olefin content (mol%) of raw heavy oil and visbreaking products was calculated by [11]
where AS and Ai are the peak areas of the hydrogen atoms of dichloroethane added as internal standards and the specific type of hydrogen atoms contained in oil samples on the 1H-NMR spectra. WS and W are the weights of dichloroethane and oil samples. MS and M are the molecular weights of dichloroethane and oil samples. Ni is the number of the specific types of hydrogen atom contained in oil samples.
The dynamic viscosity of oil samples was measured on an Advanced Rheology Expand System (TA Instruments). Except for the raw heavy oil, the dynamic viscosity of the visbreaking products was measured at a temperature of 80 °C. The GC-mass spectrometer (GC-MS) analysis of oil samples was performed on an Agilent 7890A-5975C. The elemental analysis of oil samples was applied on a Vario EL III element analyzer. The number average molecular weight of oil samples was characterized on a KNAUER K7000 vapor pressure osmometer (VPO, Knauer, Germany) based on the China Petrochemical standard SH/T 0583–94. The H-NMR and C-NMR spectra of oil samples were obtained on a Bruker AVANCE 400 MHz NMR Spectrometer (Bruker Corporation, Switzerland).
3. Results and discussion
3.1. Dealkylation-Based Viscosity Reduction under SCC6H12 Environments
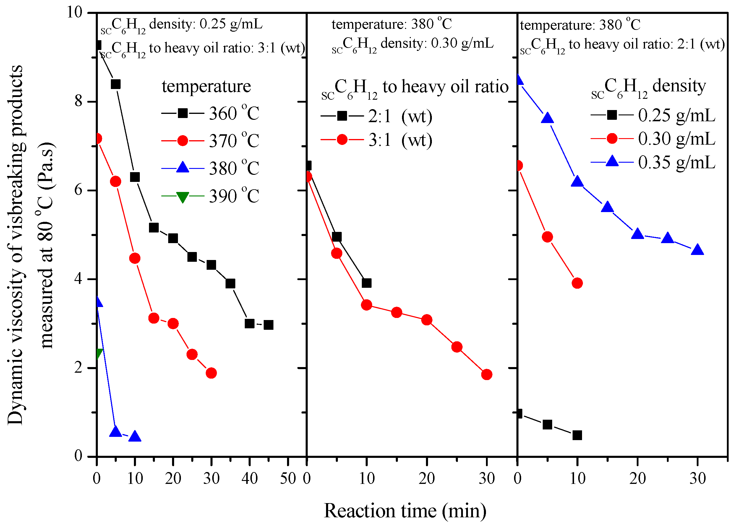
The viscosity reduction under various SCC6H12 environments was evaluated through three series of experiments, in which one of the operating variables of temperature, SCC6H12-to-heavy-oil ratio, and SCC6H12 density changed and the other two variables were fixed. The results are shown in Figure 2.
Figure 2.
Viscosity reduction in heavy oil under various SCC6H12 environments.
At the applied temperature ranging from 360 to 390 °C, the product viscosity decreased along with the extension of reaction time. As the temperature increased, the viscosity of the visbreaking product obtained at the same reaction time decreased monotonically. An acceptable product viscosity around 0.50 Pa.s could be obtained after 5 min of reaction at a temperature of 380 °C, an SCC6H12 density of 0.25 g/mL, and a SCC6H12-to-heavyoil ratio of 3:1 (wt). By contrast, visbreaking under N2 environments requires a temperature above 390 °C and a reaction time of more than 30 min to achieve similar viscosity reduction performance [6]. It is worth noting that the reaction time required for coke formation is reduced as the temperature increases. At a temperature of 390 °C, only at a reaction time of 0 min can a valid product be obtained. Obviously, an increase in reaction temperature accelerates both dealkylation and condensation. With a higher apparent reaction barrier, the latter dominates the visbreaking at high temperatures.
The visbreaking at varying SCC6H12-to-heavy-oil ratios or SCC6H12 densities partially reflected the effect of the diffusivity on the reaction kinetics. Increases in the SCC6H12-to-heavy-oil ratio improved the diffusivity of the heavy oil molecules but reduced the heavy oil concentration in the reaction system. When the SCC6H12-to-heavy-oil ratio increased from 2:1 to 3:1 (wt), the viscosity reduction was accelerated slightly. If the dealkylation rate was simply described by a power law model, the positive effect of the diffusion improvement on the apparent reaction-rate constant should have exceeded the adverse effect of the decreasing heavy oil concentration on the dealkylation kinetics. Due to the extended reaction time required to obtain valid visbreaking products, one may propose that condensation kinetics are more sensitive to the concentration of heavy oil than dealkylation kinetics.
According to the reported visbreaking in SCC6H6 and SCH2O at increasing solvent density, the unfavorable cage effect on dealkylation kinetics could be effectively compensated by improving diffusivity [6,9]. Similarly, it was expected that accelerated viscosity reduction would be observed with the increase in the SCC6H12 density. However, the experimental results showed a trend that was contrary to expectations. By increasing the density of the SCC6H12 from 0.25 to 0.35 g/mL, the viscosity reduction was significantly delayed. At the same time, the reaction time required to obtain valid visbreaking products was extended from 10 min at a solvent density of 0.25 g/mL to 30 min at a solvent density of 0.35 g/mL. That is to say, both the dealkylation and the condensation were suppressed at the increasing SCC6H12 density.
3.2. Competition between Dealkylation and Condensation during Visbreaking
The presence of condensation limits the depth of viscosity reduction. To understand the relationship between dealkylation and condensation under a SCC6H12 environment, that is, a temperature of 360 °C, a solvent density of 0.25 g/mL, and a solvent-to-heavy-oil ratio of 3:1 (wt), the visbreaking products obtained at the extended reaction time were characterized by simulated distillation GC, SARA distribution, and molecular weight analyses. The results are presented in Figure 3a and Table 2.
Figure 3.
Boiling-point distribution of visbreaking products. (a) Visbreaking in SCC6H12 at extended reaction time and (b) visbreaking in different SCF solvents.
Table 2.
Properties of visbreaking products obtained in SCC6H12. Temperature of 360 °C, SCC6H12-to-heavy-oil ratio of 3:1 (wt), and SCC6H12 density of 0.25 g/mL.
After the visbreaking in the SCC6H12, the initial boiling point (IBP) of the visbreaking products decreased sharply from 474 to about 76 °C. Because of the continuous dealkylation-based decomposition of the heavy fractions, the percentage of non-VR fractions with boiling points lower than 500 °C in the products increased steadily along with the extension of the reaction time.
However, the SARA distribution suggests the occurrence of condensation throughout the visbreaking process. Regardless of the decomposition of the resins and the decrease in the average molecular weight of the visbreaking products in the early reaction stage, the fraction of asphaltenes nearly doubled at the reaction time of 15 min. As the reaction proceeded, condensation played an increasingly important role in the visbreaking. At the reaction time of 45 min, the average molecular weight of the liquid product no longer decreased but instead increased. The simultaneous decrease in the fractions of the saturates and aromatics at that time shows that even light fractions participate in condensation in the middle and late visbreaking stages. Eventually, the fraction of asphaltenes in the visbreaking product can be as high as 13.8 wt%.
Because of the evolution of the SARA distribution, the CII value of the visbreaking product increased up to 0.45, indicating the decreasing stability of the colloidal structure of the asphaltenes. In the meantime, the olefin content increased from 0 to 25.4 mol%. From a reaction-engineering point of view, even if visbreaking is performed in the advantageous tandem structure, an extension of the reaction time definitely leads to the occurrence of secondary condensation and the excessive β-scission of alkyl substitutes of aromatics. To suppress asphaltene and olefin production, it is necessary to selectively accelerate dealkylation and shorten the reaction time for dealkylation.
3.3. Difference in Visbreaking Behavior in Various SCFs
The purpose of introducing SCFs in heavy oil visbreaking is to transfer the reaction to SCFs with excellent diffusivity. Combined with literature reports, the effectiveness of process enhancement in various SCFs can be demonstrated [6,9]. Unlike benzene and cyclohexane, water shows good mutual solubility with heavy oil only in the supercritical region. Unfortunately, the critical conditions of water are far harsher than those of benzene and cyclohexane. Therefore, visbreaking in SCH2O must be performed at pressures above 22 MPa, while the visbreaking pressure in SCH6H6 or SCH6H12 varies between 8 and 10 MPa. To ensure the mutual solubility of SCH2O and heavy oil, the temperature used for visbreaking in SCH2O is 20 to 30 °C higher than the reaction temperature in other SCF solvents. Nevertheless, the reported optimum temperature of 400 °C is well below that required for H2 production from heavy oil reforming in hydrothermal environment. Reforming typically operates at temperatures above 1000 °C [12].
Since benzene and cyclohexane are very similar in terms of their physical properties, the visbreaking in the SCC6H6 and SCC6H12 was further compared in order to distinguish the specificity of the visbreaking behavior in the SCC6H12. Table 3 lists the dynamic viscosity and SARA distribution of the visbreaking products obtained at the temperature of 380 °C, solvent-to-heavy-oil ratio of 3:1 (wt), and solvent density of 0.25 g/mL.
Table 3.
Dynamic viscosity and SARA distribution of visbreaking products obtained in SCC6H6 and SCC6H12. Temperature of 380 °C, solvent-to-heavy-oil ratio of 3:1 (wt), and solvent density of 0.25 g/mL.
The efficiency of the viscosity reduction varied greatly under different solvent environments. In the solvent of the SCC6H6, the product viscosity rapidly decreased to 1.16 Pa.s at the reaction time of 0 min. As the reaction time was extended to 10 min, the product viscosity was further reduced to 0.40 Pa.s. The initial viscosity reduction efficiency in the SCC6H12 was significantly lower than that in the SCC6H6, but the same product viscosity was achieved at the reaction time of 5 or 10 min. Due to the occurrence of condensation, the fraction of the asphaltenes in either the SCC6H6 or the SCC6H12 increased steadily with the extension of the reaction time. The condensation to asphaltenes in the SCC6H12 was slower than in the SCC6H6, suggesting that the presence of SCC6H12 solvent can partially suppress both dealkylation and condensation.
The results of the simulated-distillation GC analysis shown in Figure 3b indicate that there was a subtle difference between the products obtained in the SCC6H12 and the SCC6H6. At first glance, satisfactory upgrading can be achieved by visbreaking in any applied solvent. The percentage of non-VR fractions in the visbreaking products obtained in SCC6H12 and SCC6H6 increased by 23 and 28 wt%, respectively. However, the IBP of the product obtained in the SCC6H12 was about 80 °C lower than that obtained in the SCC6H6. According to the GC-MS analysis, a small number of C6-C9 fractions, mainly cyclohexene, n-heptane, methyl cyclohexane, 2-methyl heptane, 2,3-dimethyl heptane, and 1,1-dimethyl-3-methyl cyclohexane, were detected in the product obtained in the SCC6H12. These light fractions, which had a boiling point of less than 150 °C, accounted for about 1.0 wt% of the visbreaking product. In the blank experiments on the stability of cyclohexane, only the isomerization products of cyclohexane, such as 2-methylpentane, 3-methylpentane, n-hexane, and methyl-cyclopentane could be detected after 30 min of thermal treatment at temperatures of 360 to 390 °C.
Combined with the reports on visbreaking in SCH2O, it was confirmed that the principle of SCF intervention in heavy oil visbreaking is similar [6]. With the tandem structure of dealkylation and condensation, the precedent dealkylation that determines viscosity reduction and light oil production can be accelerated by transferring the reaction from viscous heavy oil into SCFs with superior diffusivity. Furthermore, the undesired secondary condensation can be suppressed through the timely termination of visbreaking at an optimized reaction time. Nevertheless, in terms of the suppressed dealkylation at increasing SCC6H12 density, the restricted asphaltene formation, and the production of low-boiling-point light fractions, one may suggest that SCC6H12 is involved in heavy oil visbreaking through a specific mechanism.
3.4. Effect of H-Donation of SCC6H12 on Visbreaking
Benzene is essentially an inert reaction medium for heavy oil visbreaking because only methyl radicals are capable of abstracting H atoms from aromatic rings [13]. By contrast, the H-abstraction between cyclohexane and alkyl carbon radicals may occur with a moderate reaction barrier of 30 to 87 kJ/mol [14,15,16]. Furthermore, it was reported that the pyrolysis of heavy oil could be retarded by the presence of the solvent capable of donating Hβ atoms [17,18,19]. Based on the generally accepted free radical chain reaction mechanism of thermal processing, the effect of the H-donation of SCC6H12 on the propagation of the dealkylation network is schematically shown in Figure 4 [4,20].
Figure 4.
Schematic diagram of initiation and propagation of dealkylation network in SCC6H6 or SCC6H12.
During the visbreaking of heavy oil, the alkyl substitutes of aromatics decompose first at temperatures higher than 325 °C, at which point primary alkyl carbon radicals are formed. Depending on the location of the C-C cleavage, the corresponding reaction barrier could vary around 317 kJ/mol [21]. The following propagation of the dealkylation network was accomplished by the reactions as follows: H-abstraction between the primary alkyl carbon radicals and the alkyl substitutes of other heavy oil molecules, and the β-scission of the formed secondary alkyl carbon radicals [9]. The propagation of dealkylation involves a large number of bimolecular reactions; therefore, the apparent reaction kinetics of dealkylation are sensitive to the diffusivity of the surroundings [22]. Benefiting from the excellent diffusivity in SCFs, the propagation of dealkylation is accelerated and the viscosity reduction efficiency is improved accordingly.
With the introduction of SCC6H12, the primary alkyl carbon radicals essential for the propagation of the dealkylation network are likely to be saturated by abstracting the H atoms in cyclohexane. To examine whether the formed naphthenic carbon radicals can continue the propagation of dealkylation, their activity was evaluated in terms of the Fukui index. The higher the Fukui index, the more active the radicals [23]. Using a calculation based on the open-shell B3LYP density functional, the Fukui indices of the naphthenic carbon radicals and primary alkyl carbon radicals, shown in Figure 4, were found to be 0.326 and 0.381, respectively. Therefore, the propagation efficiency of dealkylation was reduced by the saturation of the primary alkyl carbon radicals and the formation of the less active naphthenic carbon radicals.
Although the viscosity reduction was delayed by the H-donation of the SCC6H12, the aromatic carbon radicals that are essential for condensation were saturated in the same way [13,24]. Through a comparison of the average molecular structure parameters of the visbreaking products obtained in the SCC6H12 and SCC6H6, the dealkylation responsible for the viscosity reduction in any of the SCFs and the suppressed condensation in the SCC6H12 was further verified. The visbreaking products shown in Table 2 were characterized using elemental analysis, VPO measurement, and NMR characterization. The average molecular structure of the visbreaking products was then calculated according to the modified Brown−Ladner formula, with the results listed in Table 4 [25,26,27].
Table 4.
Average molecular structure parameters of liquid visbreaking products obtained in SCC6H6 or SCC6H12. Temperature of 380 °C, solvent-to-heavy-oil ratio of 3:1 (wt), and solvent density of 0.25 g/mL.
The average molecular structure of the visbreaking products obtained in the SCC6H12 and SCC6H6 evolved with a similar trend. The naphthenic structure, reflected by the average number of naphthenic rings contained in the heavy oil molecules (RN), varied slightly throughout the visbreaking process. By contrast, the occurrence of dealkylation, indicated by the substantial variation in the product of the average number of alkyl substitutes (Nchains) and the average length of the alkyl substitutes (L), was clearly observed. Through dealkylation, the average number of aromatic rings (RA) in the visbreaking product decreased in the early visbreaking stage. On the basis of the continuously increasing fraction of aromatic carbon atoms in the product (CA), condensation was inevitable, even when the favorable tandem structure of dealkylation and condensation was applied. The value of CA of the visbreaking product obtained in the SCC6H12 was systematically lower than that obtained in the SCC6H6, confirming the partially suppressed condensation in the SCC6H12.
4. Conclusions
By removing the limitation of diffusion on the reaction kinetics, the visbreaking of heavy oil in SCC6H12 can be accomplished efficiently at a moderate temperature, of around 380 °C. The visbreaking performance is sensitive to the variation in the reaction temperature, solvent-to-heavy-oil ratio, and solvent density. Even with a favorable tandem structure, secondary condensation plays an increasingly dominant role in visbreaking as the temperature increases or the reaction proceeds. Regardless of which supercritical fluid is introduced, all fluids provide excellent diffusion environments for heavy oil visbreaking. Compared with SCC6H6 and SCH2O, the special characteristic of SCC6H12 is that the solvent is involved in the reaction through H-donation. As a H-donor, SCC6H12 participates in visbreaking by saturating the carbon radicals that are essential for dealkylation and condensation. Compared with the visbreaking in inert SCC6H6, the visbreaking in SCC6H12 is characterized by a delayed initial viscosity reduction efficiency and reduced asphaltene formation. Light alkanes are parts of heavy oil visbreaking products, and cyclohexane is one of the representative components of light alkanes. The application of supercritical alkanes as solvents for heavy oil visbreaking has significant advantages over SCH2O and SCC6H6 in terms of environmental friendliness, milder operating conditions, and improved product distribution.
Author Contributions
Writing—original draft preparation, L.D.; investigation, L.W.; methodology, J.Y.; supervision, P.Y.; writing—review and editing, Z.H. All authors have read and agreed to the published version of the manuscript.
Funding
This research was funded by National Natural Science Foundation of China (22178113). It was also funded by China Petrochemical Corporation (120011), China National Petroleum Corporation (PRIKY19022) and National Energy R&D Center of Petroleum Refining Technology (33600000–22-ZC0607–0017).
Data Availability Statement
Data can be provided by the request for author.
Acknowledgments
The authors acknowledge the financial support from NSFC (22178113), SINOPEC (120011), CNPC (PRIKY19022), and RIPP, SINOPEC (33600000–22-ZC0607–0017).
Conflicts of Interest
The authors declare no conflict of interest.
Abbreviations
| CA | fraction of aromatic carbon atoms in total carbon atoms contained in oil samples, % |
| CS | fraction of non-aromatic carbon atoms in total carbon atoms contained in oil samples, % |
| CII | colloidal instability index of asphaltenes in oil samples |
| mi | weight of collected SARA fractions in visbreaking product, g |
| mraw | weight of loaded raw heavy oil, g |
| Mn | number average molecular weight of oil samples, Da |
| L | average length per alkyl substituent |
| Yi | weigh fraction of SARA fractions collected |
| RA | average number of aromatic rings per average oil molecule |
| RN | average number of naphthenic rings per average oil molecule |
| Nchains | average number of alkyl substituents per average oil molecule |
| μ | dynamic viscosity of oil samples, Pa.s |
References
- Shah, A.; Fishwick, R.; Wood, J.; Leeke, G.; Rigby, S.; Greaves, M. A review of novel techniques for heavy oil and bitumen extraction and upgrading. Energy Environ. Sci. 2010, 3, 700–714. [Google Scholar] [CrossRef]
- Castillo, J.; De Klerk, A. Visbreaking of Deasphalted Oil from Bitumen at 280–400 °C. Energy Fuels 2019, 33, 159–175. [Google Scholar] [CrossRef]
- Cai, Y.; Wu, R.; Shi, Y.; Wang, X.; Yao, Z.; Rong, Q. Effects of Changes in Asphaltenes on Viscosity Reduction of Heavy Oil after Thermal Visbreaking. J. Jpn. Pet. Inst. 2019, 62, 74–79. [Google Scholar] [CrossRef] [Green Version]
- Joshi, J.B.; Pandit, A.B.; Kataria, K.L.; Kulkarni, R.P.; Sawarkar, A.N.; Tandon, D.; Ram, Y.; Kumar, M.M. Petroleum Residue Upgradation via Visbreaking: A Review. Ind. Eng. Chem. Res. 2018, 47, 8960–8988. [Google Scholar] [CrossRef]
- Kozhevnikov, I.; Nuzhdin, A.; Martyanov, O. Transformation of petroleum asphaltenes in supercritical water. J. Supercrit. Fluids 2010, 55, 217–222. [Google Scholar] [CrossRef]
- Liu, J.; Xing, Y.; Chen, Y.-X.; Yuan, P.-Q.; Cheng, Z.-M.; Yuan, W.-K. Visbreaking of Heavy Oil under Supercritical Water Environment. Ind. Eng. Chem. Res. 2018, 57, 867–875. [Google Scholar] [CrossRef]
- Liu, Q.-K.; Zhu, D.-Q.; Tan, X.-C.; Yuan, P.-Q.; Cheng, Z.-M.; Yuan, W.-K.; Yang, J.-Y. Lumped reaction kinetic models for pyrolysis of heavy oil in the presence of supercritical water. AIChE J. 2016, 62, 207–216. [Google Scholar] [CrossRef]
- De Blasio, C. Fundamentals of Biofuels Engineering and Technology; Springer Nature Switzerland AG: Cham, Switzerland, 2019. [Google Scholar] [CrossRef]
- Liu, X.-Q.; Qu, H.; Yang, J.-Y.; Yuan, P.-Q.; Yuan, W.-K. Visbreaking of Heavy Oil in Supercritical Benzene. Energy Fuels 2019, 33, 1074–1082. [Google Scholar] [CrossRef]
- Asomaning, S.; Watkinson, A.P. Petroleum Stability and Heteroatom Species Effects in Fouling of Heat Exchangers by Asphaltenes. Heat Transf. Eng. 2000, 21, 10–16. [Google Scholar] [CrossRef]
- Chu, Q.H. Measure of row material alkene and ether in etheralization gasoline by NMR. J. Fushun Petro Inst. 1997, 17, 11–13. (In Chinese) [Google Scholar]
- Bader, A.; Hartwich, M.; Richter, A.; Meyer, B. Numerical and experimental study of heavy oil gasification in an entrained-flow reactor and the impact of the burner concept. Fuel Process. Technol. 2018, 169, 58–70. [Google Scholar] [CrossRef]
- Hemelsoet, K.; Moran, D.; Van Speybroeck, V.; Waroquier, M.; Radom, L. An Assessment of Theoretical Procedures for Predicting the Thermochemistry and Kinetics of Hydrogen Abstraction by Methyl Radical from Benzene. J. Phys. Chem. A 2006, 110, 8942–8951. [Google Scholar] [CrossRef] [PubMed]
- Pajak, J. Hydrogen transfer from decalin to coal macerals. Fuel Process. Technol. 1991, 27, 203–213. [Google Scholar] [CrossRef]
- Hunter, K.C.; East, A.L.L. Properties of C−C Bonds in n-Alkanes: Relevance to Cracking Mechanisms. J. Phys. Chem. A 2002, 106, 1346–1356. [Google Scholar] [CrossRef]
- Xiao, Y.; Longo, J.M.; Hieshima, G.B.; Hill, R.J. Understanding the Kinetics and Mechanisms of Hydrocarbon Thermal Cracking: An Ab Initio Approach. Ind. Eng. Chem. Res. 1997, 36, 4033–4040. [Google Scholar] [CrossRef]
- Tan, X.-C.; Zhu, C.-C.; Liu, Q.-K.; Ma, T.-Y.; Yuan, P.-Q.; Cheng, Z.-M.; Yuan, W.-K. Co-pyrolysis of heavy oil and low density polyethylene in the presence of supercritical water: The suppression of coke formation. Fuel Process. Technol. 2014, 118, 49–54. [Google Scholar] [CrossRef]
- Gray, M.R.; McCaffrey, W.C. Role of Chain Reactions and Olefin Formation in Cracking, Hydroconversion, and Coking of Petroleum and Bitumen Fractions. Energy Fuels 2002, 16, 756–766. [Google Scholar] [CrossRef]
- Liu, Q.-K.; Xu, Y.; Tan, X.-C.; Yuan, P.-Q.; Cheng, Z.-M.; Yuan, W.-K. Pyrolysis of Asphaltenes in Subcritical and Supercritical Water: Influence of H-Donation from Hydrocarbon Surroundings. Energy Fuels 2017, 31, 3620–3628. [Google Scholar] [CrossRef]
- Sawarkar, A.N.; Pandit, A.B.; Samant, S.D.; Joshi, J.B. Petroleum residue upgrading via delayed coking: A review. Can. J. Chem. Eng. 2007, 85, 1–24. [Google Scholar] [CrossRef]
- Savage, P. Mechanisms and kinetics models for hydrocarbon pyrolysis. J. Anal. Appl. Pyrolysis 2000, 54, 109–126. [Google Scholar] [CrossRef]
- Steinfeld, J.I.; Francisco, J.S.; Hase, W.L. Chemical Kinetics and Dynamics, 2nd ed.; Prentice-Hall Inc.: Hoboken, NJ, USA, 1998. [Google Scholar]
- Parr, R.G.; Wang, W. Density-Functional Theory of Atoms and Molecules; Oxford University Press: New York, NY, USA, 1989. [Google Scholar]
- Leininger, J.-P.; Minot, C.; Lorant, F.; Behar, F. Density Functional Theory Investigation of Competitive Free-Radical Processes during the Thermal Cracking of Methylated Polyaromatics: Estimation of Kinetic Parameters. J. Phys. Chem. A 2007, 111, 3082–3090. [Google Scholar] [CrossRef] [PubMed]
- Zhang, T.; Chen, X.; Shen, H.; Da, Z. Upgrading of Tsingtao Vacuum Residuum in Supercritical Water (I): A Preliminary Phase Structure Study by Molecular Dynamics Simulations. Energy Fuels 2019, 33, 3908–3915. [Google Scholar] [CrossRef]
- Wang, Q.; Jia, C.X.; Ge, J.X.; Guo, W.X. 1H NMR and 13C NMR Studies of Oil from Pyrolysis of Indonesian Oil Sands. Energy Fuels 2016, 30, 2478–2491. [Google Scholar] [CrossRef]
- Zhang, J.H.; Tian, Y.Y.; Qiao, Y.Y.; Yang, C.H.; Shan, H.H. Structure and reactivity of Iranian vacuum residue and its eight group-fractions. Energy Fuels 2017, 31, 8072–8086. [Google Scholar] [CrossRef]
Publisher’s Note: MDPI stays neutral with regard to jurisdictional claims in published maps and institutional affiliations. |
© 2022 by the authors. Licensee MDPI, Basel, Switzerland. This article is an open access article distributed under the terms and conditions of the Creative Commons Attribution (CC BY) license (https://creativecommons.org/licenses/by/4.0/).



