Numerical Modeling and Simulation of Blood Flow in a Rat Kidney: Coupling of the Myogenic Response and the Vascular Structure
Abstract
1. Introduction
2. Materials and Methods
2.1. Model of the Vascular Network
2.2. AA-GC (Glomerular Capillaries)-EA (Efferent Artery) Subsystem
2.3. Blood Flow Simulation with Network Analysis
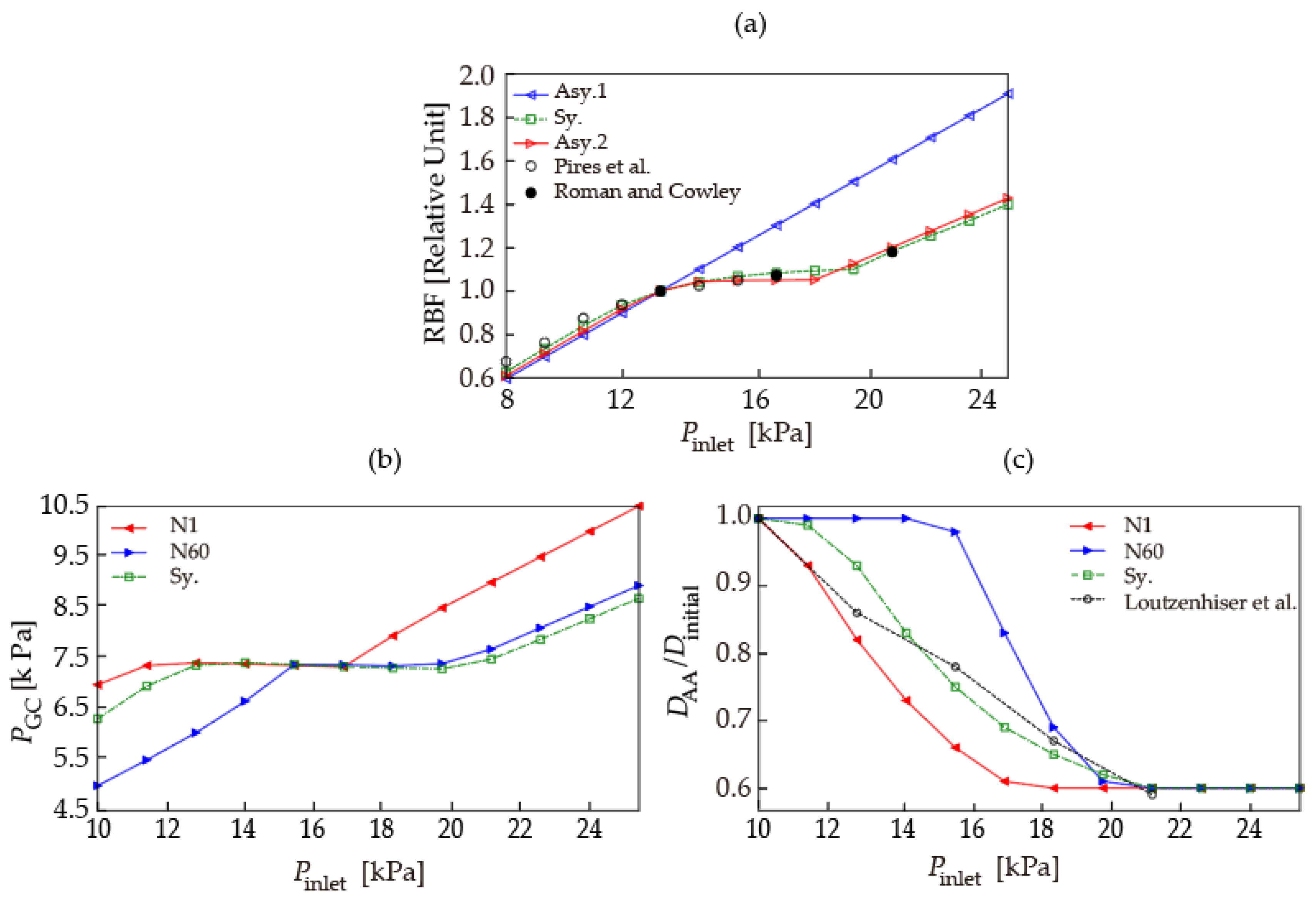
3. Results
3.1. The Myogenic Response in a Vascular Segment with 17 AA-GC-EA Subsystems
3.1.1. Flow Responses to a Steady Flow Condition
3.1.2. Flow Responses to a Step Condition
3.2. The Myogenic Response in the Entire Vascular Network
3.2.1. Normotensive State
3.2.2. Hypertensive State
3.3. Branching Number Sensitivity Analysis and Comparison
4. Discussion and Conclusions
Author Contributions
Funding
Institutional Review Board Statement
Informed Consent Statement
Data Availability Statement
Conflicts of Interest
Abbreviations
| Abbreviations | Definitions |
| RA | Renal artery |
| IA | Interlobar artery |
| ArA | Arcuate artery |
| ILA | Interlobular artery |
| AA | Afferent arteriole |
| GC | Glomerular capillary |
| Asy. model | Asymmetrical model |
| Sy. Model | Symmetrical model |
| G1 (2 or 3) | Group 1 (2 or 3) |
| TGF | Tubuloglomerular feedback |
| RSD | Relative standard deviation |
| EA | Efferent arteriole |
Appendix A
| Asy. model | BS | L2-L2-L2 | L2-L2-L2 | L2-L2-L2-S6 | S10 | ||||
| D [µm] | 628 | 314 | 157 | 43 | 20 | ||||
| 1 | 8 | 64 | 3072 | 30,720 | |||||
| St | 11 | 8–10 | 5–7 | 1–4 | 0–1 | ||||
| Sy. model | BS | L2-L2-L2 | L2-L2-L2 | L2-L2-L9 | L6 | ||||
| D [µm] | 628 | 314 | 157 | 38 | 20 | ||||
| 1 | 8 | 256 | 4608 | 27,648 | |||||
| St | 10 | 7–9 | 4–6 | 1–3 | 0–1 | ||||
| Measurement | [µm] | 432 | 278–382 | 106–172 | 20–88 | 20 | |||
| 9–10 | 8–9 | 6–7 | 2–6 | 0–1 | |||||
References
- Regan, M.C.; Young, L.S.; Geraghty, J.; Fitzpatrick, J.M. Regional Renal Blood Flow in Normal and Disease States. Urol. Res. 1995, 23, 1–10. [Google Scholar] [CrossRef] [PubMed]
- Young, L.S.; Regan, M.C.; Barry, M.K.; Geraghty, J.G.; Fitzpatrick, J.M. Methods of Renal Blood Flow Measurement. Urol. Res. 1996, 24, 149–160. [Google Scholar] [CrossRef] [PubMed]
- Kallskog, O.; Lindbom, L.O.; Ulfendahl, H.R.; Wolgast, M. The pressure-flow relationship of different nephron populations in the rat. Acta Physiol. Scand. 1975, 94, 289–300. [Google Scholar] [CrossRef] [PubMed]
- Yarger, W.E.; Boyd, M.A.; Schrader, N.W. Evaluation of Methods of Measuring Glomerular and Nutrient Blood Flow in Rat Kidneys. Am. J. Physiol.-Heart C 1978, 235, H592–H600. [Google Scholar] [CrossRef]
- Arendshorst, W.J.; Gottschalk, C.W. Glomerular ultrafiltration dynamics: Euvolemic and plasma volume-expanded rats. Am. J. Physiol.-Ren. Physiol. 1980, 239, 171–186. [Google Scholar] [CrossRef]
- Bankir, L.; Tan, M.-M.T.T.; Grünfeld, J.-P. Measurement of Glomerular Blood Flow in Rabbits and Rats: Erroneous Findings with 15-μm Microspheres. Kidney Int. 1979, 15, 126–133. [Google Scholar] [CrossRef]
- Hayashi, K.; Epstein, M.; Loutzenhiser, R. Enhanced myogenic responsiveness of renal interlobular arteries in spontaneously hypertensive rats. Hypertension 1992, 19, 153–160. [Google Scholar] [CrossRef]
- Pallone, T.L.; Silldorff, E.P.; Turner, M.R. Intrarenal blood flow: Microvascular anatomy and the regulation of medullary perfusion. Clin. Exp. Pharmacol. Physiol. 1998, 25, 383–392. [Google Scholar] [CrossRef]
- Burke, M.; Pabbidi, M.R.; Farley, J.; Roman, R.J. Molecular Mechanisms of Renal Blood Flow Autoregulation. Curr. Vasc. Pharmacol. 2014, 12, 845–858. [Google Scholar] [CrossRef]
- Bidani, A.K.; Griffin, K.A.; Williamson, G.; Wang, X.; Loutzenhiser, R. Protective Importance of the Myogenic Response in the Renal Circulation. Hypertension 2009, 54, 393–398. [Google Scholar] [CrossRef]
- Iversen, B.M.; Amann, K.; Kvam, F.I.; Wang, X.; Ofstad, J. Increased Glomerular Capillary Pressure and Size Mediate Glomerulosclerosis in SHR Juxtamedullary Cortex. Am. J. Physiol.-Ren. 1998, 274, F365–F373. [Google Scholar] [CrossRef] [PubMed]
- Guyton, A.C.; Coleman, T.G.; Granger, H.J. Circulation: Overall regulation. Annu. Rev. Physiol. 1972, 34, 13–44. [Google Scholar] [CrossRef] [PubMed]
- Moore, K.H.; Clemmer, J.S. Questioning the Renoprotective Role of L-Type Calcium Channel Blockers in Chronic Kidney Disease Using Physiological Modeling. Am. J. Physiol.-Ren. 2021, 321, F548–F557. [Google Scholar] [CrossRef] [PubMed]
- Moss, R.; Layton, A.T. Dominant Factors That Govern Pressure Natriuresis in Diuresis and Antidiuresis: A Mathematical Model. Am. J. Physiol.-Ren. 2014, 306, F952–F969. [Google Scholar] [CrossRef][Green Version]
- Aukland, K.; Oien, A.H. Renal autoregulation: Models combining tubuloglomerular feedback and myogenic response. Am. J. Physiol.-Ren. Physiol. 1987, 252, 768–783. [Google Scholar] [CrossRef]
- Feldberg, R.; Colding-Jorgensen, M.; Holstein-Rathlou, N.H. Analysis of interaction between TGF and the myogenic response in renal blood flow autoregulation. Am. J. Physiol.-Ren. Physiol. 1995, 269, 581–593. [Google Scholar] [CrossRef]
- Layton, A.T.; Vallon, V.; Edwards, A. A Computational Model for Simulating Solute Transport and Oxygen Consumption along the Nephrons. Am. J. Physiol.-Ren. 2016, 311, F1378–F1390. [Google Scholar] [CrossRef]
- Marsh, D.J.; Wexler, A.S.; Brazhe, A.; Postnov, D.E.; Sosnovtseva, O.V.; Holstein-Rathlou, N.-H. Multinephron Dynamics on the Renal Vascular Network. Am. J. Physiol.-Ren. 2013, 304, F88–F102. [Google Scholar] [CrossRef]
- Marsh, D.J.; Postnov, D.D.; Rowland, D.J.; Wexler, A.S.; Sosnovtseva, O.V.; Holstein-Rathlou, N.-H. Architecture of the Rat Nephron-Arterial Network: Analysis with Micro-Computed Tomography. Am. J. Physiol.-Ren. 2017, 313, F351–F360. [Google Scholar] [CrossRef]
- Kleinstreuer, N.; David, T.; Plank, M.J.; Endre, Z. Dynamic Myogenic Autoregulation in the Rat Kidney: A Whole-Organ Model. Am. J. Physiol.-Ren. 2008, 294, F1453–F1464. [Google Scholar] [CrossRef] [PubMed]
- Lipowsky, H.H. Microvascular Rheology and Hemodynamics. Microcirculation 2005, 12, 5–15. [Google Scholar] [CrossRef] [PubMed]
- Pries, A.R.; Secomb, T.W.; Gessner, T.; Sperandio, M.B.; Gross, J.F.; Gaehtgens, P. Resistance to Blood Flow in Microvessels in Vivo. Circ. Res. 1994, 75, 904–915. [Google Scholar] [CrossRef] [PubMed]
- Nordsletten, D.A.; Blackett, S.; Bentley, M.D.; Ritman, E.L.; Smith, N.P. Structural Morphology of Renal Vasculature. Am. J. Physiol.-Heart C 2006, 291, H296–H309. [Google Scholar] [CrossRef]
- Postnov, D.D.; Marsh, D.J.; Postnov, D.E.; Braunstein, T.H.; Holstein-Rathlou, N.-H.; Martens, E.A.; Sosnovtseva, O. Modeling of Kidney Hemodynamics: Probability-Based Topology of an Arterial Network. PLoS Comput. Biol. 2016, 12, e1004922. [Google Scholar] [CrossRef] [PubMed]
- Casellas, D.; Bouriquet, N.; Moore, L.C. Branching Patterns and Autoregulatory Responses of Juxtamedullary Afferent Arterioles. Am. J. Physiol.-Ren. 1997, 272, F416–F421. [Google Scholar] [CrossRef]
- Casellas, D.; Dupont, M.; Bouriquet, N.; Moore, L.C.; Artuso, A.; Mimran, A. Anatomic Pairing of Afferent Arterioles and Renin Cell Distribution in Rat Kidneys. Am. J. Physiol.-Ren. 1994, 267, F931–F936. [Google Scholar] [CrossRef]
- Moss, R.; Thomas, S.R. Hormonal Regulation of Salt and Water Excretion: A Mathematical Model of Whole Kidney Function and Pressure Natriuresis. Am. J. Physiol.-Ren. 2014, 306, F224–F248. [Google Scholar] [CrossRef]
- Deng, W.; Tsubota, K.-I. Numerical simulation of the vascular structure dependence of blood flow in the kidney. Med. Eng. Phys. 2022, 104, 103809. [Google Scholar] [CrossRef]
- Murray, C.D. The physiological principle of minimum work. J. Gen. Physiol. 1931, 14, 445. [Google Scholar] [CrossRef]
- Sgouralis, I.; Layton, A.T. Theoretical assessment of renal autoregulatory mechanisms. Am. J. Physiol.-Ren. Physiol. 2014, 306, 1357–1371. [Google Scholar] [CrossRef]
- Ciocanel, M.-V.; Stepien, T.L.; Sgouralis, I.; Layton, A.T. A Multicellular Vascular Model of the Renal Myogenic Response. Process 2018, 6, 89. [Google Scholar] [CrossRef]
- Sgouralis, I.; Layton, A.T. Autoregulation and Conduction of Vasomotor Responses in a Mathematical Model of the Rat Afferent Arteriole. Am. J. Physiol.-Ren. 2012, 303, F229–F239. [Google Scholar] [CrossRef] [PubMed]
- Azar, S.; Johnson, M.A.; Hertel, B.; Tobian, L. Single-Nephron Pressures, Flows, and Resistances in Hypertensive Kidneys with Nephrosclerosis. Kidney Int. 1977, 12, 28–40. [Google Scholar] [CrossRef] [PubMed]
- Tucker, B.J.; Blantz, R.C. mechanism of altered glomerular hemodynamics during chronic sodium depletion. Am. J. Physiol.-Ren. Physiol. 1983, 244, 11–18. [Google Scholar] [CrossRef]
- Dilley, J.R.; Corradi, A.; Arendshorst, W.J. Glomerular ultrafiltration dynamics during increased renal venous pressure. Am. J. Physiol.-Ren. Physiol. 1983, 244, 650–658. [Google Scholar] [CrossRef]
- Pires, S.L.; Julien, C.; Chapuis, B.; Sassard, J.; Barrès, C. Spontaneous renal blood flow autoregulation curves in conscious sinoaortic baroreceptor-denervated rats. Am. J. Physiol.-Ren. Physiol. 2002, 282, 51–58. [Google Scholar] [CrossRef] [PubMed]
- Roman, R.J.; Cowley, A.W. Characterization of a New Model for the Study of Pressure-Natriuresis in the Rat. Am. J. Physiol.-Ren. 1985, 248, F190–F198. [Google Scholar] [CrossRef]
- Ofstad, J.; Iversen, B.M. Glomerular and Tubular Damage in Normotensive and Hypertensive Rats. Am. J. Physiol.-Ren. 2005, 288, F665–F672. [Google Scholar] [CrossRef]
- Loutzenhiser, R.; Bidani, A.; Chilton, L. Renal Myogenic Response. Circ. Res. 2002, 90, 1316–1324. [Google Scholar] [CrossRef]
- Iversen, B.M.; Sekse, I.; Ofstad, J. Resetting of Renal Blood Flow Autoregulation in Spontaneously Hypertensive Rats. Am. J. Physiol.-Ren. 1987, 252, F480–F486. [Google Scholar] [CrossRef]
- Kriz, W.; Bankir, L. A Standard Nomenclature for Structures of the Kidney. Kidney Int. 1988, 33, 1–7. [Google Scholar] [CrossRef] [PubMed]









Publisher′s Note: MDPI stays neutral with regard to jurisdictional claims in published maps and institutional affiliations. |
© 2022 by the authors. Licensee MDPI, Basel, Switzerland. This article is an open access article distributed under the terms and conditions of the Creative Commons Attribution (CC BY) license (https://creativecommons.org/licenses/by/4.0/).
Share and Cite
Deng, W.; Tsubota, K.-i. Numerical Modeling and Simulation of Blood Flow in a Rat Kidney: Coupling of the Myogenic Response and the Vascular Structure. Processes 2022, 10, 1005. https://doi.org/10.3390/pr10051005
Deng W, Tsubota K-i. Numerical Modeling and Simulation of Blood Flow in a Rat Kidney: Coupling of the Myogenic Response and the Vascular Structure. Processes. 2022; 10(5):1005. https://doi.org/10.3390/pr10051005
Chicago/Turabian StyleDeng, Wei, and Ken-ichi Tsubota. 2022. "Numerical Modeling and Simulation of Blood Flow in a Rat Kidney: Coupling of the Myogenic Response and the Vascular Structure" Processes 10, no. 5: 1005. https://doi.org/10.3390/pr10051005
APA StyleDeng, W., & Tsubota, K.-i. (2022). Numerical Modeling and Simulation of Blood Flow in a Rat Kidney: Coupling of the Myogenic Response and the Vascular Structure. Processes, 10(5), 1005. https://doi.org/10.3390/pr10051005

