Assessment of Natural Zeolite Clinoptilolite for Remediation of Mercury-Contaminated Environment
Abstract
:1. Introduction
2. Materials and Methods
2.1. Samples Preparation
2.2. Physicochemical Characterization of Contaminated Soil
2.3. Leaching and Sorption Experiments
2.3.1. Leaching of Mercury from the Contaminated Soil Followed by Sorption from the Obtained Leachates onto Natural Zeolite
2.3.2. Simultaneous Leaching of Mercury from the Contaminated Soil and Its Sorption onto Natural Zeolite
3. Results and Discussion
3.1. Physicochemical Characterization of the Mercury-Contaminated Soil
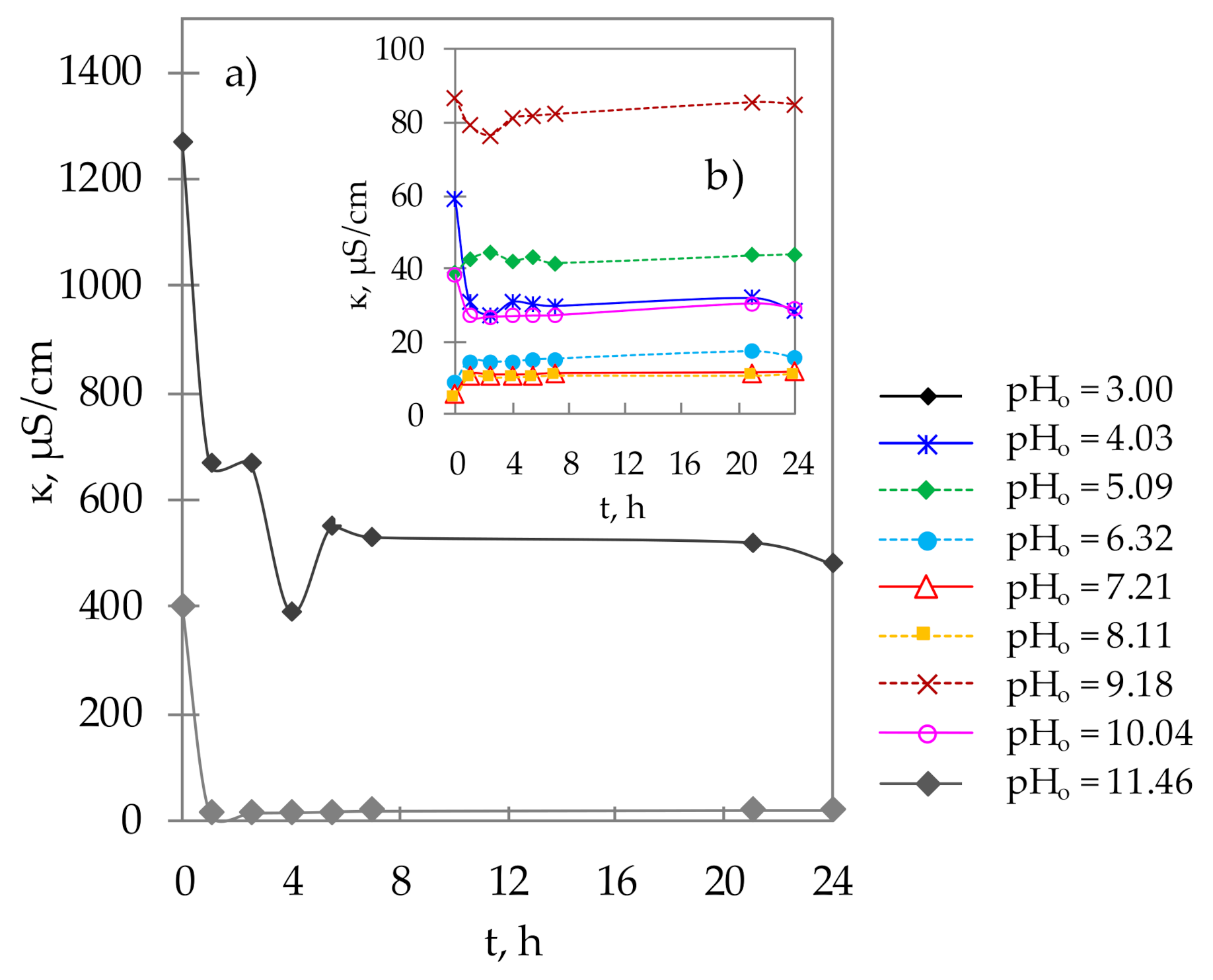
3.2. Chemical Behavior of the Mercury-Contaminated Soil
3.3. Mercury Leaching from Contaminated Soil and Its Subsequent Sorption from the Obtained Leachates onto Natural Zeolite
3.4. SEM-EDS Analysis of Zeolite Samples before and after Sorption of Total Mercury
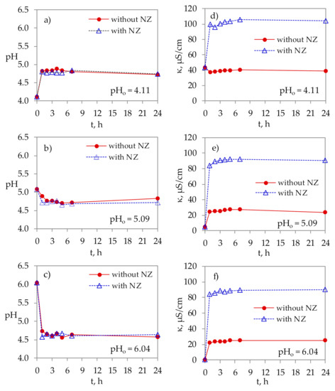
3.5. Simultaneous Leaching of Mercury from the Contaminated Soil and Its Sorption onto Natural Zeolite
3.5.1. Concentration of the Total Mercury Leached
3.5.2. pH and Electrical Conductivity
4. Conclusions
Author Contributions
Funding
Institutional Review Board Statement
Informed Consent Statement
Data Availability Statement
Acknowledgments
Conflicts of Interest
References
- WHO. Exposure to Mercury: A Major Public Health Concern, 2nd ed.; Preventing Disease through Healthy Environments; World Health Organization: Geneva, Switzerland, 2021; ISBN 9789240023567. Available online: https://www.who.int/publications/i/item/9789240023567 (accessed on 14 December 2021).
- EEA Report No 11/2018, TH-AL-18-011-EN-N, Mercury in Europe’s Environment, A Priority for European and Global Action, European Environment Agency. Available online: https://www.eea.europa.eu/publications/mercury-in-europe-s-environment/download (accessed on 14 December 2021).
- Gray, J.E.; Pribil, M.J.; Higueras, P.L. Mercury isotope fractionation during ore retorting in the Almadén mining district, Spain. Chem. Geol. 2013, 357, 150–157. [Google Scholar] [CrossRef] [Green Version]
- Swartzendruber, P.; Jaffe, D. Sources and transport a global issue. In Mercury in the Environment: Pattern and Process, 1st ed.; Bank, M.S., Ed.; University of California Press: Berkeley, CA, USA; Los Angeles, CA, USA; London, UK, 2012; Chapter 1; pp. 3–18. [Google Scholar]
- Calao-Ramos, C.; Bravo, A.G.; Paternina-Uribe, R.; Marrugo-Negrete, J.; Díez, S. Occupational human exposure to mercury in artisanal small-scale gold mining communities of Colombia. Environ Int. 2021, 146, 106216. [Google Scholar] [CrossRef] [PubMed]
- Masur, L.C. A review of the use of mercury in historic and current ritualistic and spiritual practices. Altern. Med. Rev. 2011, 16, 314–320. [Google Scholar] [PubMed]
- WHO. Preventing Disease through Healthy Environments, Mercury in Skin Lightening Products, World Health Organization, WHO/CED/PHE/EPE/19.13. 2019. Available online: https://apps.who.int/iris/bitstream/handle/10665/330015/WHO-CED-PHE-EPE-19.13-eng.pdf (accessed on 16 December 2021).
- Shiwei, Z.; Dongmei, Z.; Yuan, X.; Ying, M.; Liu, S.; Huiying, L. Study on mercury methylation in phragmites australis soil and its influencing factors. Water Air Soil Pollut. 2020, 231, 426. [Google Scholar] [CrossRef]
- He, F.; Gao, J.; Pierce, E.; Strong, P.J.; Wang, H.; Liang, L. In situ remediation technologies for mercury-contaminated soil. Sci Pollut Res. 2015, 22, 8124–8147. [Google Scholar] [CrossRef]
- McCarthy, D.; Edwards, G.C.; Gustin, M.S.; Care, A.; Miller, M.B.; Sunna, A. An innovative approach to bioremediation of mercury contaminated soils from industrial mining operations. Chemosphere 2017, 184, 694–699. [Google Scholar] [CrossRef]
- Moharem, M.; Elkhatib, E.; Mesalem, M. Remediation of chromium and mercury polluted calcareous soils using nanoparticles: Sorption-desorption kinetics, speciation and fractionation. Environ. Res. 2019, 170, 366–373. [Google Scholar] [CrossRef]
- Eckley, C.S.; Gilmour, C.C.; Janssen, S.; Luxton, T.P.; Randall, P.M.; Whalin, L.; Austin, C. The assessment and remediation of mercury contaminated sites: A review of current approaches. Sci Total Environ. 2020, 707, 136031. [Google Scholar] [CrossRef]
- Spanu, D.; Bestetti, A.; Hildebrand, H.; Schmuki, P.; Altomare, M.; Recchia, S. Photocatalytic reduction and scavenging of Hg(ii) over templated-dewetted Au on TiO2 nanotubes. Photochem. Photobiol. Sci. 2019, 18, 1046–1055. [Google Scholar] [CrossRef]
- Wang, T.; He, S.; Zhang, Y.; Wang, J.; Pan, W.-P. Photocatalytic removal of elemental mercury on TiO2-BiOIO3 heterostructures: Mercury transformation, sulfur tolerance and SO2/SO3 conversion. Chem. Eng. J. 2020, 388, 124390. [Google Scholar] [CrossRef]
- Tunsu, C.; Wickman, B. Effective removal of mercury from aqueous streams via electrochemical alloy formation on platinum. Nat. Commun. 2018, 9, 4876. [Google Scholar] [CrossRef] [PubMed]
- Bengtsson, M.K.O.; Tunsu, C.; Wickman, B. Decontamination of mercury-containing aqueous streams by electrochemical alloy formation on copper. Ind. Eng. Chem. Res. 2019, 58, 9166–9172. [Google Scholar] [CrossRef]
- O’Connor, D.; Peng, T.; Li, G.; Wang, S.; Duan, L.; Mulder, J.; Cornelissen, G.; Cheng, Z.; Yang, S.; Hou, D. Sulfur-modified rice husk biochar: A green method for the remediation of mercury contaminated soil. Sci. Total Environ. 2018, 621, 819–826. [Google Scholar] [CrossRef] [PubMed]
- Al-Ghouti, M.A.; Da’ana, D.; Abu-Dieyeh, M.; Khraisheh, M. Adsorptive removal of mercury from water by adsorbents derived from date pits. Sci. Rep. 2019, 9, 1–15. [Google Scholar] [CrossRef] [Green Version]
- Abdillah, A.M.; Abidin, Z.; Widiatmaka, W.; Johan, E.; Matsue, N. Adsorptive Removal of Mercury by Zeolites and Montmorillonite. J. Pengelolaan Sumberd. Alam Lingk. 2019, 9, 797–801. [Google Scholar] [CrossRef]
- Fayazi, M. Removal of mercury(II) from wastewater using a new and effective composite: Sulfur-coated magnetic carbon nanotubes. Environ. Sci. Pollut. Res. Int. 2020, 27, 12270–12279. [Google Scholar]
- Favvas, E.; Tsanaktsidis, C.; Sapalidis, A.; Tzilantonis, G.; Papageorgiou, S.; Mitropoulos, A. Clinoptilolite, a natural zeolite material: Structural characterization and performance evaluation on its dehydration properties of hydrocarbon-based fuels. Microporous Mesoporous Mater. 2016, 225, 385–391. [Google Scholar] [CrossRef]
- Nuić, I.; Trgo, M.; Vukojević Medvidović, N. The application of the packed bed reactor theory to Pb and Zn uptake from the binary solution onto the fixed bed of natural zeolite. Chem. Eng. J. 2016, 295, 347–357. [Google Scholar] [CrossRef]
- Nuić, I.; Trgo, M.; Vukojević Medvidović, N.; Ugrina, M. A mass transfer analysis of competitive binding of Pb, Cd, and Zn from binary systems onto a fixed zeolite bed. Int. J. Environ. Res. Public Health 2019, 16, 426. [Google Scholar] [CrossRef] [Green Version]
- Cigale, M. Rudnik živega srebra Idrija od 1490 do 2006. In 2. Slovenski Geološki Kongres, Zbornik Povzetkov. Rudnik ŽIvega Srebra v Zapiranju d.o.o., Idrija; Režun, B., Eržen, U., Petrič, M., Gantar, I., Eds.; Rudnik Živega srebra v Zapiranju: Idrija, Slovenia, 2006; pp. 13–16. (In Slovenian) [Google Scholar]
- Kavčič, I. History of Smelting in Idrija; Založba Bogataj: Idrija, Slovenia, 2008; pp. 1–352. (In Slovenian) [Google Scholar]
- Teršič, T.; Gosar, M.; Biester, H. Distribution and speciation of mercury in soil in the area of an ancient mercury ore roasting site, Frbejžene trate (Idrija area, Slovenia). J. Geochem. Explor. 2011, 110, 136–145. [Google Scholar] [CrossRef]
- Teršič, T.; Gosar, M.; Biester, H. Environmental impact of ancient small-scale mercury ore processing at Pšenk on soil (Idrija area, Slovenia). Appl. Geochem. 2011, 26, 1867–1876. [Google Scholar] [CrossRef]
- Gosar, M.; Teršič, T. Environmental geochemistry studies in the area of Idrija mercury mine, Slovenia. Environ. Geochem. Health 2012, 34, 27–41. [Google Scholar] [CrossRef] [PubMed]
- Gosar, M.; Teršič, T. Contaminated sediment loads from ancient mercury ore roasting sites, Idrija area, Slovenia. J. Geochem. Explor. 2015, 149, 97–105. [Google Scholar] [CrossRef]
- Gosar, M.; Šajn, R.; Teršič, T. Distribution pattern of mercury in the Slovenian soil: Geochemical mapping based on multiple geochemical datasets. J. Geochem. Explor. 2016, 167, 38–48. [Google Scholar] [CrossRef] [Green Version]
- Vukojević Medvidović, N.; Nuić, I.; Ugrina, M.; Trgo, M. Evaluation of natural zeolite as a material for permeable reactive barrier for remediation of zinc contaminated groundwater based on column study. Water Air Soil Pollut. 2018, 229, 1–14. [Google Scholar] [CrossRef]
- Gosar, M.; Čar, J. Influence of mercury ore roasting sites from 16th and 17th century on the mercury dispersion in surroundings of Idrija. Geologija 2006, 49, 91–101. [Google Scholar] [CrossRef]
- DIN ISO 10390:2005; Soil Quality-Determination of pH. International Organization for Standardization. ISO: Geneva, Switzerland, 2005.
- Nelson, P.; Su, N. Soil pH buffering capacity: A descriptive function and its application to some acidic tropical soils. Aust. J. Soil Res. 2010, 48, 201–207. [Google Scholar] [CrossRef]
- Xu, R.-K.; Zhao, A.-Z.; Yuan, J.; Jiang, J. pH buffering capacity of acid soils from tropical and subtropical regions of China as influenced by incorporation of crop straw biochars. J. Soils Sediments 2012, 12, 494–502. [Google Scholar] [CrossRef]
- HRN EN ISO 11260:2012; Soil Quality-Determination of Effective Cation Exchange Capacity and Base Saturation Level Using Barium Chloride Solution, (ISO 11260:1994+Cor 1:1996; EN ISO 11260:2011). Croatian Standards Institute: Zagreb, Croatia, 2012; p. 14. Available online: https://repozitorij.hzn.hr/norm/HRN+EN+ISO+11260%3A2012 (accessed on 16 February 2022).
- Zhang, H.; Wang, J.J. Loss on ignition method. In Soil Test Methods from the Southeasten United States. Southern Extension and Research Activity Information Exchange Group 6; Sikora, F.J., Moore, K.P., Eds.; University of Georgia: Athens, Greek, 2014; pp. 155–157. Available online: https://aesl.ces.uga.edu/sera6/PUB/MethodsManualFinalSERA6.asp (accessed on 16 December 2021).
- Roper, W.; Robarge, W.; Osmond, D.; Heitman, J.L. Comparing four methods of measuring soil organic matter in North Carolina soils. Soil Sci. Soc. Am. J. 2019, 83, 466–474. [Google Scholar] [CrossRef]
- Vogel, S.; Bönecke, E.; Kling, C.; Kramer, E.; Lück, K.; Nagel, A.; Philipp, G.; Rühlmann, R.; Schröter, I.; Gebbers, R. Base neutralizing capacity of agricultural soils in a quaternary landscape of north-east Germany and its relationship to best management practices in lime requirement determination. Agronomy 2020, 10, 877. [Google Scholar] [CrossRef]
- DIN 38414 S4; German Standard Procedure for Water, Wastewater and Sediment Testing–Sludge and Sediment. Determination of Leachability. Institut für Normung: Berlin, Germany, 1984.
- The Environmental Management (Soil Quality Standards) Regulations. 2007. Available online: https://extwprlegs1.fao.org/docs/pdf/tan151538.pdf (accessed on 18 June 2021).
- Government Decree on the Assessment of Soil Contamination and Remediation Needs (214/2007), Ministry of the Environment, Finland. 2007. Available online: https://www.finlex.fi/en/laki/kaannokset/2007/en20070214.pdf (accessed on 16 February 2022).
- Vodyanitskii, Y.N. Standards for the contents of heavy metals in soils of some states. Ann. Agrar. Sci. 2016, 14, 257–263. [Google Scholar] [CrossRef] [Green Version]
- Krupenikov, I.A.; Boincean, B.P.; Dent, D. Soil mineralogy and elemental composition. In The Black Earth; International Year of Planet Earth; Springer: Dordrecht, The Netherlands, 2011; pp. 27–32. [Google Scholar] [CrossRef]
- D’Amour, H.; Denner, W.; Schulz, H. Structure determination of [alpha]-quartz up to 68 x 108 Pa. Acta Cryst. 1979, B35, 550–555. [Google Scholar] [CrossRef] [Green Version]
- ISO 14688-2:2004; Geotechnical Investigation and Testing-Identification and Classification of Soil-Part 2: Principles for a Classification. International Organization for Standardization, ISO: Geneva, Switzerland, 2004.
- Huang, P.-T.; Patel, M.; Santagata, M.C.; Bobet, A. FHWA/IN/JTRP-2008/2, Classification of Organic Soils; Final Report; Indiana Department of Transportation and Federal Highway Administration: Indianapolis, IN, USA, 2009; pp. 46–62. Available online: https://www.geostructures.com/library/technical-bulletins/pdf/Classification-of-Organic-Soils-FHWA-IN-JTRP-2008-2.pdf (accessed on 16 February 2022).
- Brümmer, G.; Herms, U. Influence of soil reaction and organic matter on the solubility of heavy metals in soils. In Effects of Accumulation of Air Pollutants in Forest Ecosystems; Urlich, B., Pankrath, J., Eds.; D. Reidel Publishing Company: Dordrecht, The Netherlands, 1983; pp. 233–243. [Google Scholar]
- Weil, R.R.; Brady, N.C. The Nature and Properties of Soils, 15th ed.; Pearson Education Limited, Edinburgh Gate: Harlow, UK, 2017; pp. 20–51, 345–391, 392–437. [Google Scholar]
- Schuster, E. The behaviour of mercury in the soil with special emphasis on complexation and adsorption processes-a review of the literature. Water Air Soil Pollut. 1991, 56, 667–680. [Google Scholar] [CrossRef]
- Xu, J.; Kleja, D.B.; Biester, H.; Lagerkvist, A.; Kumpiene, J. Influence of particle size distribution, organic carbon, pH and chlorides on washing of mercury contaminated soil. Chemosphere 2014, 109, 99–105. [Google Scholar] [CrossRef] [PubMed] [Green Version]
- Teršič, T.; Biester, H.; Gosar, M. Leaching of mercury from soils at extremely contaminated historical roasting sites (Idrija area, Slovenia). Geoderma 2014, 226–227, 213–222. [Google Scholar] [CrossRef]
- Sharpley, A.N. Effect of soil pH on cation and anion solubility. Commun. Soil Sci. Plant Anal. 1991, 22, 827–841. [Google Scholar] [CrossRef]
- Jiang, J.; Wang, Y.-P.; Yu, M.; Cao, N.; Yan, J. Soil organic matter is important for acid buffering and reducing aluminum leaching from acidic forest soils. Chem. Geol. 2018, 501, 86–94. [Google Scholar] [CrossRef]
- Tan, K.H. Principles of Soil Chemistry, 4th ed.; CRC Press Taylor & Francis Group: Boca Raton, FL, USA, 2011; pp. 243–266. [Google Scholar]
- Matsusaka, Y.; Sherman, G.D. Titration Curves and Buffering Capacities of Hawaiian Soils; Technical Bulletin No 11; University of Hawaii, College of Agriculture, Agricultural Experiment Station: Honolulu, HA, USA, 1950; pp. 5–36. [Google Scholar]
- Jansen van Rensburg, H.G.; Claassens, A.S.; Beukes, D.J. Relationships between soil buffer capacity and selected soil properties in a resource-poor farming area in the Mpumalanga Province of South Africa. S. Afr. J. Plant Soil. 2009, 26, 237–243. [Google Scholar] [CrossRef] [Green Version]
- Bloom, P.R.; Skyllberg, U. Soil pH and pH buffering. In Handbook of Soil Sciences, Properties and Processes, 2nd ed.; Huang, P.M., Li, Y., Sumner, M.E., Eds.; CRC Press: Boca Raton, FL, USA, 2012; pp. 1–14. [Google Scholar]
- Pagani, A.; Sawyer, J.E.; Mallarino, A.P.; Moody, L.; Davis, J.; Phillips, S. Site-Specific Nutrient Management: For Nutrient Management Planning to Improve Crop Production, Environmental Quality, and Economic Return; Extension and Outreach Publications: Washington, DC, USA, 2013; Volume 116, pp. 103–113. Available online: https://lib.dr.iastate.edu/extension_pubs/116 (accessed on 17 December 2021).
- Curtin, D.; Trolove, S. Predicting pH buffering capacity of New Zealand soils from organic matter content and mineral characteristics. Soil Res. 2013, 51, 494–502. [Google Scholar] [CrossRef]
- Moore, G.; Dolling, P.; Porter, B.; Leonard, L. Chemical factors affecting plant growth. In Soil Guide: A Handbook for Understanding and Managing Agricultural Soils; No. 4343; Moore, G.A., Ed.; Department of Agriculture, Western Australia: Bulletin, Australia, 2001; pp. 127–140. [Google Scholar]
- Reganold, J.P.; Harsh, J.B. Expressing cation exchange capacity in milliequivalents per 100 grams and in SI units. J. Agric. Educ. 1985, 14, 84–90. [Google Scholar] [CrossRef]
- Johnson, C.E. Cation exchange properties of acid forest soils of the north eastern USA. Eur. J. Soil Sci. 2002, 53, 271–282. [Google Scholar] [CrossRef]
- Nešić, L.; Vasin, J.; Belic, M.; Ćirić, V.; Gligorijevic, J.; Milunovic, K.; Sekulić, P. The colloid fraction and cation-exchange capacity in the soils of Vojvodina, Serbia. Ratar. Povrt. 2015, 52, 18–23. [Google Scholar] [CrossRef] [Green Version]
- Gumbara, R.H.; Darmawan; Sumawinata, B. A comparison of cation exchange capacity of organic soils determined by ammonium acetate solutions buffered at some pHs ranging between around field pH and 7.0. IOP Conf Ser. Earth Environ Sci. 2019, 393, 012015. [Google Scholar] [CrossRef]
- Directive (EU) 2020/2184 of the European Parliament and of the Council of 16 December 2020 on the Quality of Water Intended for Human Consumption. ELI. Available online: http://data.europa.eu/eli/dir/2020/2184/oj (accessed on 17 December 2021).
- Cappuyns, V.; Swennen, R. The Application of pHstat leaching tests to assess the pH-dependent release of trace metals from soils, sediments and waste materials. J. Hazard. Mater. 2008, 158, 185–195. [Google Scholar] [CrossRef]
- O’Connor, D.; Hou, D.; Ok, Y.S.; Mulder, J.; Duan, L.; Wu, Q.; Wang, S.; Tack, F.M.G.; Rinklebe, J. Mercury speciation, transformation, and transportation in soils, atmospheric flux, and implications for risk management: A critical review. Environ. Int. 2019, 126, 747–761. [Google Scholar] [CrossRef]
- Clifford, M.J.; Hilson, G.M.; Hodson, M.E. Characteristics and behaviour of individual elements, Tin and Mercury. In Trace Elements in Soils; Hooda, P.S., Ed.; John Wiley & Sons Ltd.: Chichester, UK, 2010; pp. 497–513. [Google Scholar]
- Miller, R.L.; Bradford, W.L.; Peters, N.E. Specific Conductance; Theoretical Considerations and Application to Analytical Quality Control; U.S. Geological survey Water Supply Paper 2311; United States Government Printing Office: Washington, DC, USA, 1988. [CrossRef]
- Zhang, D.; Crini, G.; Lichtfouse, E.; Rhimi, B.; Wang, C. Removal of mercury ions from aqueous solutions by crosslinked chitosan-based adsorbents: A mini review. Chem. Rec. 2020, 20, 1–16. [Google Scholar] [CrossRef]
- Sharma, A.; Sharma, A.; Arya, R.K. Removal of mercury(II) from aqueous solution: A review of recent work. Sep. Sci. Technol. 2015, 50, 1310–1320. [Google Scholar] [CrossRef]
- Liu, Z.; Sun, Y.; Xu, X.; Qu, J.; Qu, B. Adsorption of Hg(II) in an aqueous solution by activated carbon prepared from rice husk using KOH activation. ACS Omega 2020, 5, 29231–29242. [Google Scholar]
- Prasakti, L.; Utami, F.N.; Prasetya, A. Removal of mercury ion from wastewater using natural zeolite: Effect of humic acid to adsorption isotherm. IOP Conf. Ser. Earth Environ. Sci. 2021, 882, 012068. [Google Scholar]
- Chojnacki, A.; Chojnacka, K.; Hoffmann, J.; Gorecki, H. The application of natural zeolites for mercury removal: From laboratory tests to industrial scale. Miner. Eng. 2004, 17, 933–937. [Google Scholar] [CrossRef]
- Giraldo, S.; Robles, I.; Ramirez, A.; Flórez, E.; Acelas, N. Mercury removal from wastewater using agroindustrial waste adsorbents. SN Appl. Sci. 2020, 2, 1029. [Google Scholar] [CrossRef]
- Parham, H.; Zargar, B.; Shiralipour, R. Fast and efficient removal of mercury from water samples using magnetic iron oxide nanoparticles modified with 2-mercaptobenzothiazole. J. Hazard. Mater. 2012, 205–206, 94–100. [Google Scholar] [CrossRef]
- Wang, S.; Peng, Y. Natural zeolites as effective adsorbents in water and wastewater treatment. Chem. Eng. J. 2010, 156, 11–24. [Google Scholar] [CrossRef]
- Voinovitch, I.; Debrad-Guedon, J.; Louvrier, J. The Analysis of Silicates; Israel Program for Scientific Translations: Jerusalem, Israel, 1966; pp. 127–129. [Google Scholar]
- Vukojević Medvidović, N.; Perić, J.; Trgo, M. Column performance in lead removal from aqueous solutions by fixed bed of natural zeolite-clinoptilolite. Sep. Purif. Technol. 2006, 49, 237–244. [Google Scholar]
- Litaor, M.I.; Katz, L.; Shenker, M. The influence of compost and zeolite co-addition on the nutrients status and plant growth in intensively cultivated Mediterranean Soils. Soil Use Manag. 2017, 33, 72–80. [Google Scholar] [CrossRef] [Green Version]
- Tallai, M.; Olah Zsuposne, A.; Sandor, Z.; Katai, J. The effect of using zeolite on some characteristics of sandy soil and on the amount of the test plant biomass. Ann. Ser. Agric. Silvic Vet. 2017, 6, 115–120. [Google Scholar]

















| Element | Element Content, mg/kg | ||
|---|---|---|---|
| Min. | Max. | Average | |
| Ag | 0.06 | 0.12 | 0.08 |
| Al | 21,500.00 | 22,700.00 | 22,200.00 |
| As | 22.20 | 24.90 | 23.60 |
| B | 1.00 | 3.00 | 2.00 |
| Ba | 59.70 | 61.00 | 60.47 |
| Be | 3.10 | 6.10 | 4.60 |
| Bi | LDL | 0.15 | 0.15 |
| Ca | 700.00 | 700.00 | 700.00 |
| Cd | 0.43 | 0.89 | 0.60 |
| Ce | 72.80 | 77.60 | 75.10 |
| Co | 11.20 | 12.10 | 11.73 |
| Cr | 23.80 | 25.00 | 24.53 |
| Cs | 2.34 | 2.66 | 2.53 |
| Cu | 18.37 | 19.01 | 18.69 |
| Fe | 24,800.00 | 25,300.00 | 25,100.00 |
| Ga | 4.10 | 7.50 | 5.40 |
| Ge | LDL | 0.40 | 0.40 |
| Hf | 0.11 | 0.45 | 0.28 |
| Hg | 1290.00 | 1410.00 | 1347.00 |
| K | 2100.00 | 2400.00 | 2300.00 |
| La | 29.40 | 31.20 | 30.37 |
| Li | 58.80 | 69.70 | 63.37 |
| Mg | 4900.00 | 5900.00 | 5500.00 |
| Mn | 1062.00 | 1087.00 | 1074.67 |
| Mo | 4.07 | 6.22 | 5.23 |
| Na | LDL | 100.00 | 100.00 |
| Nb | 0.18 | 0.18 | 0.18 |
| Ni | 21.30 | 22.10 | 21.77 |
| P | 300.00 | 300.00 | 300.00 |
| Pb | 35.04 | 43.43 | 39.87 |
| Rb | 25.80 | 29.50 | 27.37 |
| S | 400.00 | 400.00 | 400.00 |
| Sb | 0.65 | 3.05 | 1.85 |
| Sc | 3.70 | 7.30 | 4.97 |
| Se | 7.00 | 8.90 | 7.70 |
| Sn | 0.20 | 1.00 | 0.60 |
| Sr | 6.50 | 6.80 | 6.63 |
| Te | LDL | 1.44 | 1.44 |
| Th | 5.00 | 6.10 | 5.67 |
| Ti | LDL | 20.00 | 20.00 |
| Tl | 0.37 | 0.65 | 0.51 |
| U | 2.50 | 2.80 | 2.67 |
| V | 47.00 | 48.00 | 47.67 |
| Y | 18.02 | 19.92 | 18.87 |
| Zn | 63.70 | 66.30 | 65.27 |
| Zr | 5.00 | 5.60 | 5.20 |
| W | 0.30 | 0.30 | 0.30 |
Publisher’s Note: MDPI stays neutral with regard to jurisdictional claims in published maps and institutional affiliations. |
© 2022 by the authors. Licensee MDPI, Basel, Switzerland. This article is an open access article distributed under the terms and conditions of the Creative Commons Attribution (CC BY) license (https://creativecommons.org/licenses/by/4.0/).
Share and Cite
Nuić, I.; Gosar, M.; Ugrina, M.; Trgo, M. Assessment of Natural Zeolite Clinoptilolite for Remediation of Mercury-Contaminated Environment. Processes 2022, 10, 639. https://doi.org/10.3390/pr10040639
Nuić I, Gosar M, Ugrina M, Trgo M. Assessment of Natural Zeolite Clinoptilolite for Remediation of Mercury-Contaminated Environment. Processes. 2022; 10(4):639. https://doi.org/10.3390/pr10040639
Chicago/Turabian StyleNuić, Ivona, Mateja Gosar, Marin Ugrina, and Marina Trgo. 2022. "Assessment of Natural Zeolite Clinoptilolite for Remediation of Mercury-Contaminated Environment" Processes 10, no. 4: 639. https://doi.org/10.3390/pr10040639
APA StyleNuić, I., Gosar, M., Ugrina, M., & Trgo, M. (2022). Assessment of Natural Zeolite Clinoptilolite for Remediation of Mercury-Contaminated Environment. Processes, 10(4), 639. https://doi.org/10.3390/pr10040639

