Effects of Reynolds Number on the Overall Characteristics of Flow and Heat Transfer in the Long Micro-Tube with Dimples
Abstract
1. Introduction
2. Geometric Model and Numerical Descriptions
2.1. Geometric Model
2.2. Governing Equations
2.3. Numerical Approach
2.4. Grid Independence Verification
3. Experimental Set-Up and Validation
3.1. Experiment Set-Up
3.2. Experimental Verification
4. Results and Discussions
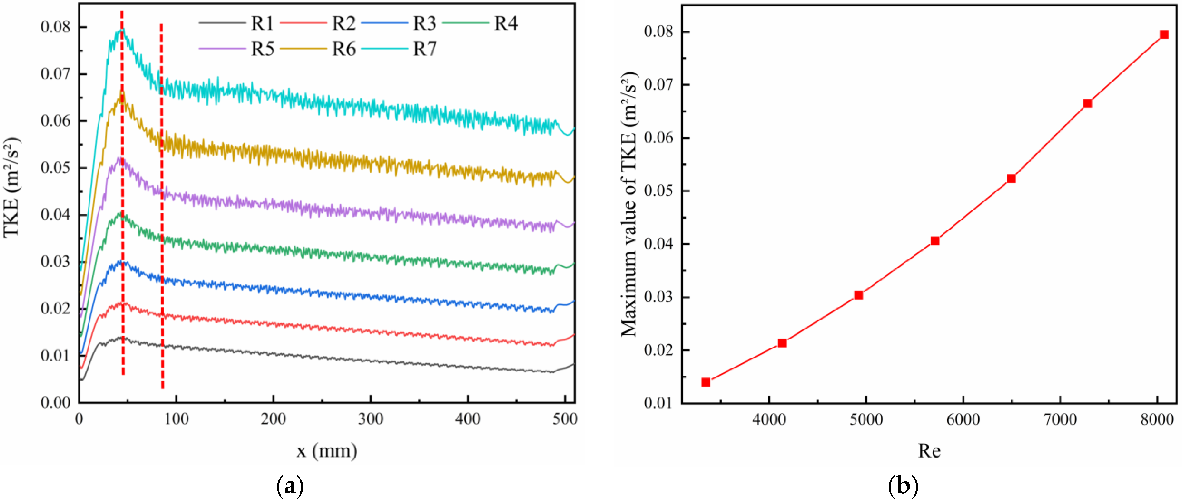
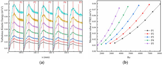
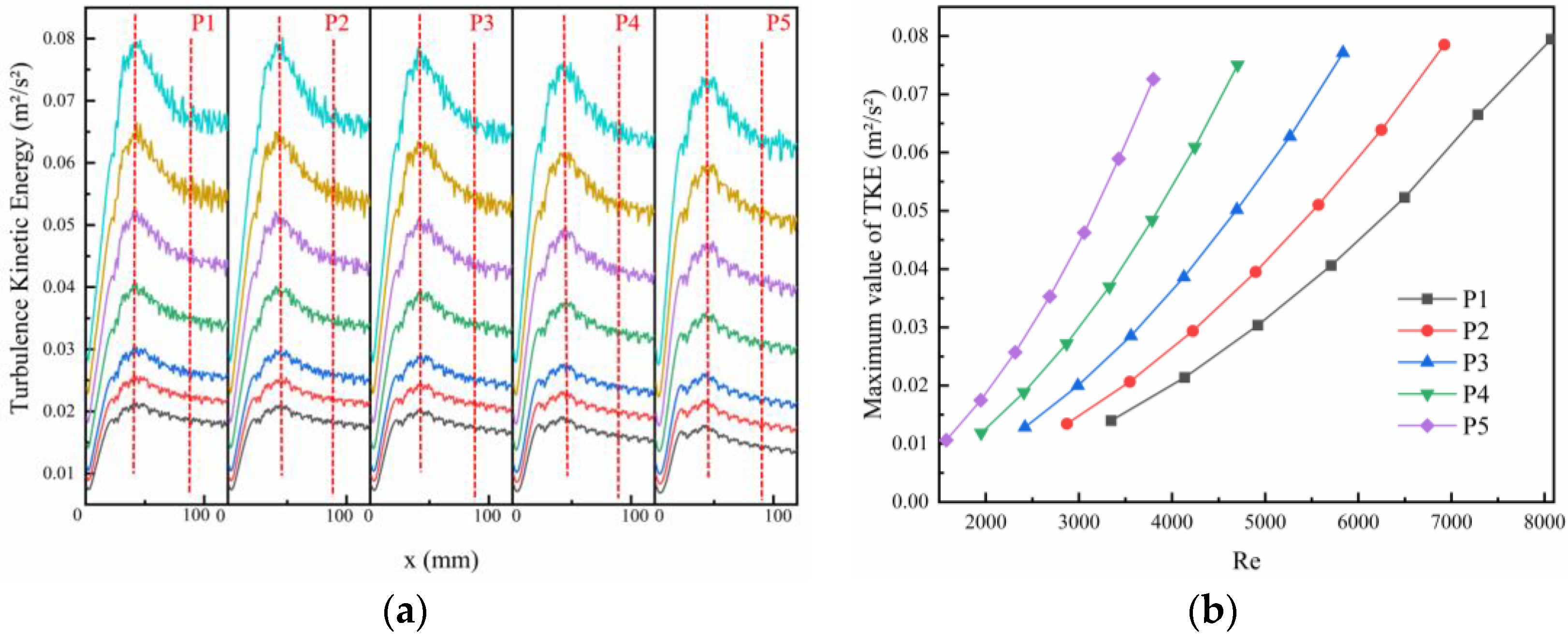
4.1. Turbulent Kinetic Energy
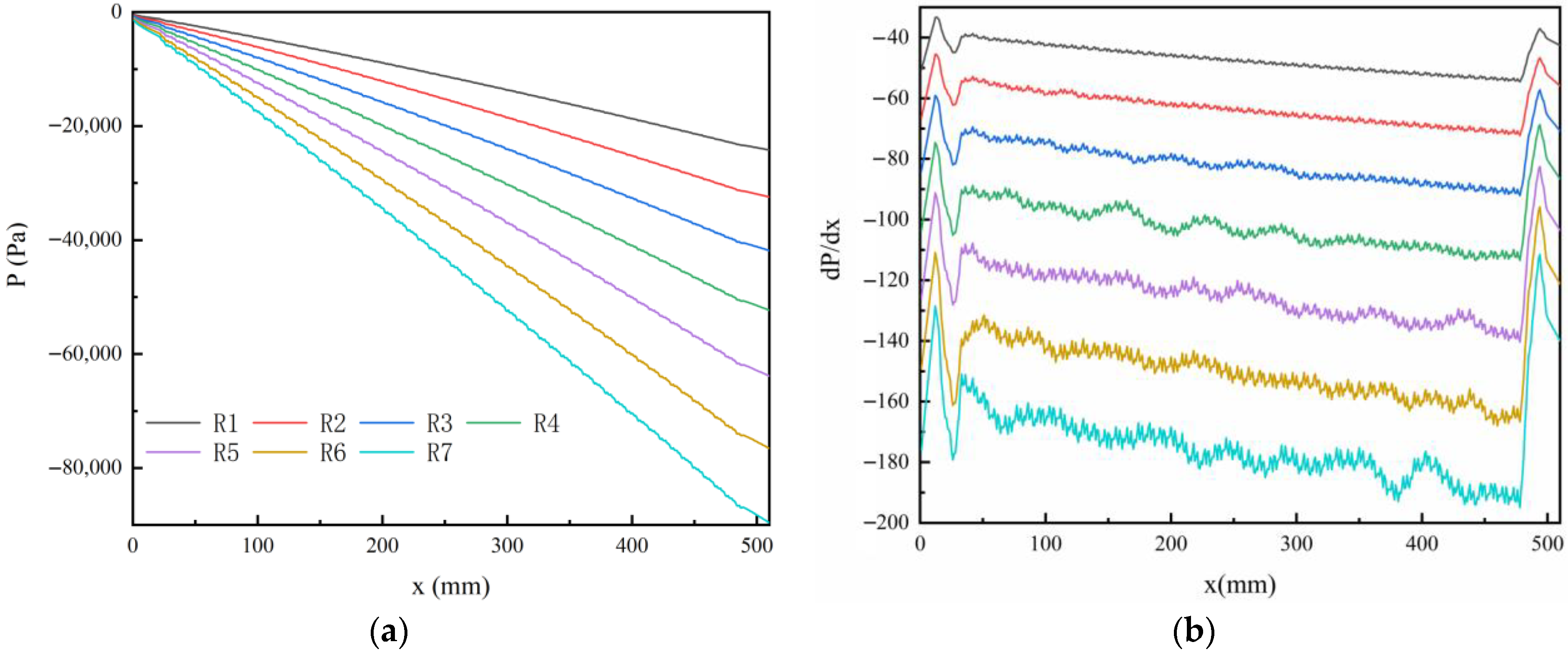
4.2. Static Pressure
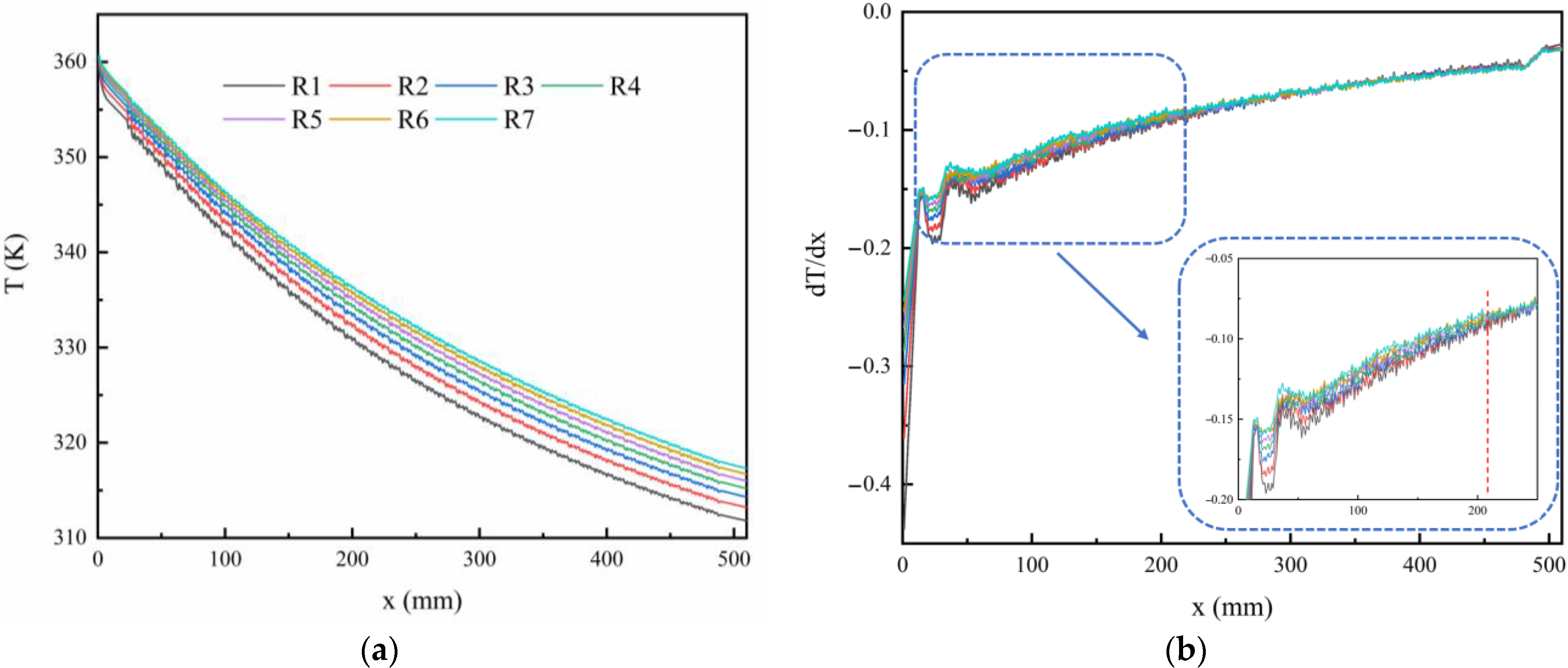
4.3. Heat Transfer Results
4.4. Prandtl Number Effects
5. Conclusions
Author Contributions
Funding
Data Availability Statement
Conflicts of Interest
Nomenclature
| Nomenclature | |||
| Hydraulic diameter (m) | Re | Reynolds number (-) | |
| f | Friction factor (-) | T | Static temperature (K) |
| Proportionality constant (-) | |||
| j | Heat transfer factor (-) | Greek symbols | |
| Mass flow (kg·s−1) | Kronecker tensor (-) | ||
| Conductive heat flux (W·m−2) | Coefficient of heat conductivity (W·m−1·K−1) | ||
| Flow velocity (m·s−1) | Viscosity (kg·m−1·s−1) | ||
| Cross-sectional area at the entrance (m2) | Density (kg·m−3) | ||
| Total heat exchange area (m2) | Shear stress tensor (-) | ||
| Cp | Specific heat capacity (J·kg−1·K−1) | ||
| Total energy (J) | Subscripts | ||
| Contraction loss coefficient (-) | in | Inlet condition | |
| Expansion loss coefficient (-) | out | Outlet condition | |
| Nu | Nusselt number (-) | w | Wall condition |
| Pressure (Pa) | tot | Total pressure | |
| Pr | Prandtl number (-) | exp | Area expansion |
| Q | Flow rate (L min−1) | con | Area contraction |
References
- Chyu, M.K.; Yu, Y.; Ding, H.; Downs, J.P.; Soechting, F.O. Concavity enhanced heat transfer in an internal cooling passage. Turbo Expo Power Land Sea Air 1997, 7. [Google Scholar] [CrossRef]
- Rao, Y.; Feng, Y.; Li, B.; Weigand, B. Experimental and numerical study of heat transfer and flow friction in channels with dimples of different shapes. J. Heat Transfer 2015, 137, 031901. [Google Scholar] [CrossRef]
- Rao, Y.; Zhang, P.; Yu, Y.; Ke, H. Experimental study and numerical analysis of heat transfer enhancement and turbulent flow over shallowly dimpled channel surfaces. Int. J. Heat Mass Transfer 2020, 160, 120195. [Google Scholar] [CrossRef]
- Xie, Y.; Rao, Y.; Li, W.C.; Jiang, Q. Experiments and Stress-Blended eddy simulations of turbulent flow over edge-rounded dimples. Int. J. Therm. Sci. 2020, 154, 106380. [Google Scholar] [CrossRef]
- Xie, S.; Guo, Z.; Gong, Y.; Dong, C.; Liu, J.; Ren, L. Numerical investigation of thermal-hydraulic performance of a heat exchanger tube with helical dimples. Int. J. Therm. Sci. 2022, 177, 107530. [Google Scholar] [CrossRef]
- Ligrani, P.M.; Harrison, J.L.; Mahmmod, G.I.; Hill, M.L. Flow structure due to dimple depressions on a channel surface. Phys. Fluids 2001, 13, 3451–3452. [Google Scholar] [CrossRef]
- Ligrani, P.M.; Mahmood, G.I.; Harrison, J.L.; Clayton, C.M.; Nelson, D.L. Flow structure and local nusselt number variations in a channel with dimples and protrusions on opposite walls. Int. J. Heat Mass Transfer 2001, 44, 4413–4425. [Google Scholar] [CrossRef]
- Wang, T.; Zhang, Q.; Song, K.; Zhang, K.; Su, M.; Wu, X. Thermodynamic characteristics of a novel combination of three-start twisted tube and oval dimples. Case Stud. Therm. Eng. 2022, 37, 102284. [Google Scholar] [CrossRef]
- Burgess, N.K.; Ligrani, P.M. Effects of Dimple Depth on Channel Nusselt Numbers and Friction Factors. J. Heat Transfer 2005, 127, 839–847. [Google Scholar] [CrossRef]
- Xie, S.; Liang, Z.; Zhang, J.; Zhang, L.; Wang, Y.; Ding, H. Numerical investigation on flow and heat transfer in dimpled tube with teardrop dimples. Int. J. Heat Mass Transfer 2019, 131, 713–723. [Google Scholar] [CrossRef]
- Tay, C.M.J.; Khoo, B.C.; Chew, Y.T. Mechanics of drag reduction by shallow dimples in channel flow. Phys. Fluids 2015, 27, 035109. [Google Scholar] [CrossRef]
- Okab, A.K.; Hasan, H.M.; Hamzah, M.; Egab, K.; Al-Manea, A.; Yusaf, T. Analysis of heat transfer and fluid flow in a microchannel heat sink with sidewall dimples and fillet profile. Int. J. Fluids 2022, 15, 100192. [Google Scholar] [CrossRef]
- Farsad, S.; Mashayekhi, M.; Zolfagharnasab, M.H.; Lakhi, M.; Farhani, F.; Zareinia, K.; Okati, V. The effects of tube Dimples-Protrusions on the thermo-fluidic properties of turbulent forced-convection. Case Stud. Therm. Eng. 2022, 35, 102033. [Google Scholar] [CrossRef]
- Cheraghi, M.H.; Ameri, M.; Shahabadi, M. Numerical study on the heat transfer enhancement and pressure drop inside deep dimpled tubes. Int. J. Heat Mass Transfer 2020, 147, 118845. [Google Scholar] [CrossRef]
- Chadi, K.; Belghar, N.; Falek, M.; Driss, Z.; Guerira, B. Effect of the Position of Parallelogram Ribs in Micro Channel on Heat Transfer Using Diamond Nanoparticles. Metall. Mater. Eng. 2020, 27, 351–370. [Google Scholar] [CrossRef]
- Guo, A.N.; Wang, L.B. Parametrization of secondary flow intensity for laminar forced convection in twisted elliptical tube and derivation of loss coefficient and Nusselt number correlations by numerical analysis. Int. J. Therm. Sci. 2020, 155, 106425. [Google Scholar] [CrossRef]
- Arun, M.; Barik, D.; Sridhar, K.P.; Vignesh, G. Experimental and CFD analysis of copper plain and dimples tube at application of solar water heater. Mater. Today Proc. 2021, 42, 410–415. [Google Scholar] [CrossRef]
- Hsieh, W.H.; Wu, J.Y.; Shih, W.H.; Chiu, W.C. Experimental Investigation of Heat-Transfer Characteristics of Aluminum-Foam Heat Sinks. Int. J. Heat Mass Transfer 2004, 47, 5149–5157. [Google Scholar] [CrossRef]
- Vajravel, L.V.; Swaminathan, S.K.; Baskaran, S.; Sekar, R.K. Experimental Investigations on Heat Transfer in a New Minichannel heat sink. Int. J. Therm. Sci. 2019, 140, 144–153. [Google Scholar] [CrossRef]
- Kaood, A.; Aboulmagd, A.; Othman, H.; ElDegwy, A. Numerical investigation of the thermal-hydraulic characteristics of turbulent flow in conical tubes with dimples. Case Stud. Therm. Eng. 2022, 36, 102166. [Google Scholar] [CrossRef]
- Isaev, S.A.; Kornev, N.V.; Leontiev, A.I.; Hassel, E. Influence of the Reynolds Number and the Spherical Dimple Depth on Turbulent Heat Transfer and Hydraulic Loss in a Narrow Channel. Int. J. Heat Mass Transfer 2009, 53, 178–197. [Google Scholar] [CrossRef]
- Su, L.; Duan, Z.; He, B.; Ma, H.; Ning, X.; Ding, G.; Cao, Y. Heat Transfer Characteristics of Thermally Developing Flow in Rectangular Microchannels with Constant Wall Temperature. Int. J. Therm. Sci. 2020, 155, 106412. [Google Scholar] [CrossRef]
- Ma, H.; Duan, Z.; Ning, X.; Su, L. Numerical Investigation on Heat Transfer Behavior of Thermally Developing Flow Inside Rectangular Microchannels. Case Stud. Therm. Eng. 2021, 24, 100856. [Google Scholar] [CrossRef]
- Renksizbulut, M.; Niazmand, H. Laminar Flow and Heat Transfer in the Entrance Region of Trapezoidal Channels with Constant Wall Temperature. J. Heat Transfer 2006, 128, 63–74. [Google Scholar] [CrossRef]
- Raju, B.; Nath, D.; Pati, S. Analysis of Mixed Convective Heat Transfer Past an Isoflux/Isothermal Sphere: Influence of Prandtl Number. Phys. Scripta 2020, 95, 085211. [Google Scholar] [CrossRef]
- Jing, Q.; Xie, Y.; Zhang, D. Thermal-Hydraulic Performance and Entropy Generation of Supercritical Carbon Dioxide in Heat Exchanger Channels with Teardrop Dimple/Protrusion. Int. J. Heat Mass Transfer 2019, 135, 1082–1096. [Google Scholar] [CrossRef]
- Chatterjee, R.; Duryodhan, V.S.; Agrawal, A. Impact of Aspect Ratio and Thermophysical Properties on Heat Transfer Behavior in Spiral Microchannel. Int. J. Therm. Sci. 2022, 172, 107335. [Google Scholar] [CrossRef]
- Kumar, V.; Gupta, P.; Nigam, K.D. Fluid Flow and Heat Transfer in Curved Tubes with Temperature-Dependent Properties. Ind. Eng. Chem. Res. 2007, 46, 3226–3236. [Google Scholar] [CrossRef]
- Sehyun, S.; Cho, Y.I.; Gringrich, W.K.; Shyy, W. Numerical Study of Laminar Heat Transfer with Temperature Dependent Fluid Viscosity in a 2:1 Rectangular Duct. Int. J. Heat Mass Transfer 1993, 36, 4365–4373. [Google Scholar] [CrossRef]
- Zhao, H.; Li, X.; Wu, X. New friction factor and Nusselt number equations for turbulent convection of liquids with variable properties in circular tubes. Int. J. Heat Mass Transfer 2018, 124, 454–462. [Google Scholar] [CrossRef]
- Wilcox, D.C. Turbulence Modeling for CFD; DCW Industries: La Canada, CA, USA, 1998. [Google Scholar]
- Kays, W.M.; London, A.L. Compact Heat Exchangers, 3rd ed.; McGraw-Hill Book Co.: New York, NY, USA, 1984. [Google Scholar]

























| Tube Configuration | Size |
|---|---|
| Width (mm) | 9.51 |
| Height (mm) | 1.12 |
| Length (mm) | 510 |
| Radius(mm) | 0.56 |
| Number of dimples | 212 |
Publisher’s Note: MDPI stays neutral with regard to jurisdictional claims in published maps and institutional affiliations. |
© 2022 by the authors. Licensee MDPI, Basel, Switzerland. This article is an open access article distributed under the terms and conditions of the Creative Commons Attribution (CC BY) license (https://creativecommons.org/licenses/by/4.0/).
Share and Cite
Qi, R.; Chen, F.; Xu, L.; Yu, J.; Chen, X. Effects of Reynolds Number on the Overall Characteristics of Flow and Heat Transfer in the Long Micro-Tube with Dimples. Processes 2022, 10, 2696. https://doi.org/10.3390/pr10122696
Qi R, Chen F, Xu L, Yu J, Chen X. Effects of Reynolds Number on the Overall Characteristics of Flow and Heat Transfer in the Long Micro-Tube with Dimples. Processes. 2022; 10(12):2696. https://doi.org/10.3390/pr10122696
Chicago/Turabian StyleQi, Ruibai, Fangfang Chen, Linjie Xu, Jiawen Yu, and Xiaoping Chen. 2022. "Effects of Reynolds Number on the Overall Characteristics of Flow and Heat Transfer in the Long Micro-Tube with Dimples" Processes 10, no. 12: 2696. https://doi.org/10.3390/pr10122696
APA StyleQi, R., Chen, F., Xu, L., Yu, J., & Chen, X. (2022). Effects of Reynolds Number on the Overall Characteristics of Flow and Heat Transfer in the Long Micro-Tube with Dimples. Processes, 10(12), 2696. https://doi.org/10.3390/pr10122696

